Sign in to use this feature.

Years

Between: -

Subjects

remove_circle_outline
remove_circle_outline
remove_circle_outline
remove_circle_outline
remove_circle_outline
remove_circle_outline
remove_circle_outline
remove_circle_outline
remove_circle_outline

Journals

Article Types

Countries / Regions

Search Results (65)

Search Parameters:
Keywords = LRD

Order results
Result details
Results per page
Select all
Export citation of selected articles as:
20 pages, 2759 KB  
Article
Microaeration for Enhancement of Methane Productivity from Cassava Wastewater and Digestibility of Added Cassava Residue
by Kessara Seneesrisakul, Oijai Khongsumran, Krittiya Pornmai, Ee Ling Yong, Malinee Leethochawalit and Sumaeth Chavadej
Fermentation 2026, 12(5), 212; https://doi.org/10.3390/fermentation12050212 - 25 Apr 2026
Viewed by 182
Abstract
Microaeration has been applied to enhance anaerobic digestion (AD), although the underlying mechanisms remain unclear. This work proposes that improving methanogenic activity can be achieved by alleviating micronutrient deficiencies and enhancing digestibility. The microaeration technique was employed to enhance the methanogenic activity of [...] Read more.
Microaeration has been applied to enhance anaerobic digestion (AD), although the underlying mechanisms remain unclear. This work proposes that improving methanogenic activity can be achieved by alleviating micronutrient deficiencies and enhancing digestibility. The microaeration technique was employed to enhance the methanogenic activity of cassava wastewater (CW) both with and without added cassava residue (CR) and to improve CR digestibility in a continuous stirred tank reactor (CSTR) at 37 °C. The sole CW had the optimal COD loading rate of 1.71 kg/m3d. The addition of CR at 1000 mg/L to the CW resulted in the greatest methanogenic improvement of 88% compared with the sole CW and provided the greatest digestibility of CR. Under the optimal specific O2 dosage rate (3 mL/LRd), the improvements in CH4 yields were 251% and 140% in comparison to those of the sole CW and the CW with added CR, respectively. Additionally, it achieved substantial improvements in digestibility for the cellulose (59%), hemicellulose (61%), and remaining starch (67%) fractions of added CR. However, lignin degradation remained unaffected, a potential area for future optimization. This work opens new avenues for enhancing biogas production from wastewater by adding agricultural residue in conjunction with microaeration. Full article
(This article belongs to the Special Issue Process Intensification in Microbial Biotechnology for Fermentation)
Show Figures

Figure 1

26 pages, 10629 KB  
Article
LRD-DETR: A Lightweight RT-DETR-Based Model for Road Distress Detection
by Chen Dong and Yunwei Zhang
Sensors 2026, 26(8), 2375; https://doi.org/10.3390/s26082375 - 12 Apr 2026
Viewed by 318
Abstract
Intelligent road distress detection technology has emerged as an important research topic in the field of highway maintenance. However, the accuracy and practicality of pavement distress detection are constrained by multiple factors, primarily including the irregular shapes of distress, the tendency for fine [...] Read more.
Intelligent road distress detection technology has emerged as an important research topic in the field of highway maintenance. However, the accuracy and practicality of pavement distress detection are constrained by multiple factors, primarily including the irregular shapes of distress, the tendency for fine cracks to be overlooked, and the high parameter count of detection models that makes deployment difficult. Therefore, this study proposes a lightweight road distress detection model based on an improved RT-DETR architecture—LRD-DETR. First, this work integrates the C2f-LFEM module with the ADown adaptive down-sampling strategy into the backbone network, significantly reducing the number of model parameters and computational load while effectively enhancing the representation capacity of multi-scale pavement distress features. Second, a frequency-domain spatial attention is embedded in the S4 feature layer, where synergistic integration of frequency-domain filtering and spatial attention enables detail enhancement of distress edges and contours, automatically focuses on the distress regions, and suppresses background interference. The polarity-aware linear attention is incorporated into the S5 feature layer, by explicitly modeling polarity interactions, it effectively captures textural discrepancies between damaged regions and the intact road surface, and a learnable power function dynamically rescales attention weights to strengthen distress-specific feature responses. Finally, a cross-scale spatial feature fusion module (CSF2M) is developed to reconstruct and fuse multi-level spatial featurez, thereby improving detection robustness for pavement distresses with diverse morphologies under complex background conditions. Quantitative experiments indicate that, in contrast with the baseline RT-DETR, the presented framework improves the F1-score by 7.1% and mAP@50 by 9.0%, while reducing computational complexity and parameter quantity by 43.8% and 38.0%, respectively. These advantages enable LRD-DETR to be suitably deployed on resource-limited embedded platforms for real-time road distress detection. Full article
(This article belongs to the Special Issue AI and Smart Sensors for Intelligent Transportation Systems)
Show Figures

Figure 1

13 pages, 1144 KB  
Article
Visual Stimulation by Viewing a Seascape from a High-Rise Window Increases Subjective Relaxation and Left–Right Differences in Prefrontal Cortex Activity
by Harumi Ikei, Hyunju Jo, Jun Yotsui and Yoshifumi Miyazaki
Buildings 2026, 16(7), 1292; https://doi.org/10.3390/buildings16071292 - 25 Mar 2026
Viewed by 460
Abstract
Stress states are increasing with global urbanization, but evidence on the physiological impact of urban blue-space exposure remains limited compared to green spaces. In this randomized within-subject crossover study, we examined the physiological effects of seascape viewing from the 29th floor of an [...] Read more.
Stress states are increasing with global urbanization, but evidence on the physiological impact of urban blue-space exposure remains limited compared to green spaces. In this randomized within-subject crossover study, we examined the physiological effects of seascape viewing from the 29th floor of an office building in 44 healthy young adults. Each participant underwent visual stimulation with a seascape window view (blue space) and a blind-covered window (control) for 90 s each after a 60 s rest. Prefrontal cortex activity was recorded using near-infrared spectroscopy, and the left–right difference (LRD) in Δoxy-Hb concentrations was used as an indicator. Autonomic nervous system activity was assessed using heart rate variability, and psychological outcomes were measured using a semantic differential scale and the Profile of Mood States—2 short form. Seascape viewing significantly increased LRD, indicating left-dominant prefrontal activation relative to the control. It also increased comfort and relaxation and improved mood states. Correlation analyses showed that LRD was positively correlated with comfort and relaxation. These findings suggest that intentional window-view design, including exposure to high-rise blue-space views, represents a promising environmental approach to support occupants’ well-being and provide practical implications for window-view design and operation in high-rise office environments. Full article
(This article belongs to the Section Building Energy, Physics, Environment, and Systems)
Show Figures

Figure 1

25 pages, 1991 KB  
Article
Increased Space Allowance Improves Productivity and Welfare in Growing Pigs Assessed Using Artificial Intelligence-Based Monitoring of Agonistic Behavior
by Md Kamrul Hasan, Hong-Seok Mun, Eddiemar B. Lagua, Md Sharifuzzaman, Ahsan Mehtab, Jin-Gu Kang, Young-Hwa Kim, Hae-Rang Park and Chul-Ju Yang
Biology 2026, 15(5), 423; https://doi.org/10.3390/biology15050423 - 5 Mar 2026
Cited by 1 | Viewed by 537
Abstract
Rearing density influences pig productivity and welfare, but its behavioral and physio-logical effects remain unclear. This study evaluated how increasing space allowance from 0.57 to 0.97 m2/pig affects growth, agonistic behavior, and stress in growing pigs. Seventy-six 12-week-old pigs were allocated [...] Read more.
Rearing density influences pig productivity and welfare, but its behavioral and physio-logical effects remain unclear. This study evaluated how increasing space allowance from 0.57 to 0.97 m2/pig affects growth, agonistic behavior, and stress in growing pigs. Seventy-six 12-week-old pigs were allocated to high or low rearing density (HRD: 12 pigs/pen, n = 4 pens; LRD: 7 pigs/pen, n = 4 pens) for 28 days by varying pig numbers within identical pens. Growth performance was recorded weekly, while agonistic behavior was continuously monitored using RGB cameras and detected with a YOLOv8-based model (overall mAP50 = 0.953; aggression = 0.960, ear biting = 0.927, tail biting = 0.972). Ear base temperature was measured at baseline and twice weekly, lesion scores were assessed at trial completion, and blood biochemical parameters were also assessed. Pigs under LRD exhibited higher (p < 0.01) body weight, daily gain, and feed intake, with a lower feed conversion ratio than HRD pigs. Increased space allowance reduced (p < 0.05) agonistic behavior, lesion scores, plasma glucose, free fatty acids, cortisol, and ear base temperature. These findings indicate that increased space allowance improves growth and welfare and demonstrate the value of AI-based behavioral monitoring in pig production systems. Full article
(This article belongs to the Section Zoology)
Show Figures

Figure 1

11 pages, 2379 KB  
Article
Fractional Long-Range Dependence Model for Remaining Useful Life Estimation of Roller Bearings
by Shoukun Chen, Piercarlo Cattani, Hongqing Zheng, Qinglan Zheng and Wanqing Song
Fractal Fract. 2026, 10(1), 12; https://doi.org/10.3390/fractalfract10010012 - 25 Dec 2025
Viewed by 1637
Abstract
Estimation of remaining useful life (RUL) of roller bearings is a prevalent problem for predictive maintenance in manufacturing. However, roller bearings are subject to a variety of factors during their operation. As a result, we deal with a slow nonlinear degradation process, which [...] Read more.
Estimation of remaining useful life (RUL) of roller bearings is a prevalent problem for predictive maintenance in manufacturing. However, roller bearings are subject to a variety of factors during their operation. As a result, we deal with a slow nonlinear degradation process, which is long-range dependent, self-similar and has non-Gaussian characteristics. Proper data pre-processing enables us to use Pareto’s probability density function (PDF), Generalized Pareto motion (GPm) and its fractional-order extension (fGPm) as the degradation predictive model. Estimation of the Hurst exponent shows that this model has a long-range correlation and self-similarity. Through the analysis of the uncertainty of the end point of the bearing’s RUL and the prediction process, not only did it verify the high adaptability of fGPm in simulating complex degradation processes but also the criteria for judging self-similarity, and LRD characteristics were established. The case study mainly proves the validity of the theory, providing an effective analytical tool for a deeper understanding of the degradation mechanism. Full article
(This article belongs to the Special Issue Fractional Order Modeling and Fault Detection in Complex Systems)
Show Figures

Figure 1

26 pages, 1367 KB  
Article
Supermassive Dark Stars and Their Remnants as a Possible Solution to Three Recent Cosmic Dawn Puzzles
by Cosmin Ilie, Jillian Paulin, Andreea Petric and Katherine Freese
Universe 2026, 12(1), 1; https://doi.org/10.3390/universe12010001 - 19 Dec 2025
Viewed by 2530
Abstract
The James Webb Space Telescope (JWST) has begun to revolutionize our view of the Cosmos. The discovery of Blue Monsters (i.e., ultra-compact yet very bright high-z galaxies) and the Little Red Dots (i.e., very compact dustless strong Balmer break cosmic dawn sources) pose [...] Read more.
The James Webb Space Telescope (JWST) has begun to revolutionize our view of the Cosmos. The discovery of Blue Monsters (i.e., ultra-compact yet very bright high-z galaxies) and the Little Red Dots (i.e., very compact dustless strong Balmer break cosmic dawn sources) pose significant challenges to pre-JWST era models of the assembly of first stars and galaxies. In addition, JWST data further strengthen the problem posed by the origin of the supermassive black holes that power the most distant quasars observed. Stars powered by Dark Matter annihilation (i.e., Dark Stars) can form out of primordial gas clouds during the cosmic dawn era and subsequently might grow via accretion and become supermassive. In this paper we argue that Supermassive Dark Stars (SMDSs) offer natural solutions to the three puzzles mentioned above. Full article
(This article belongs to the Special Issue Astrophysics and Cosmology at High Z)
Show Figures

Figure 1

22 pages, 10903 KB  
Article
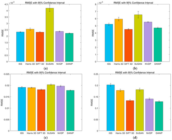
Enhancing Point Cloud Registration for Pipe Fittings: A Coarse-to-Fine Approach with DANIP Keypoint Detection and ICP Optimization
by Zeyuan Liu and Xiaofeng Yue
Sensors 2025, 25(22), 7012; https://doi.org/10.3390/s25227012 - 17 Nov 2025
Viewed by 681
Abstract
In 3D reconstruction, loss of depth data caused by highly reflective surfaces often undermines the accuracy of point cloud registration. Traditional registration methods suffer from reduced accuracy and computational efficiency under such conditions. This paper presents a novel coarse-to-fine point cloud registration approach [...] Read more.
In 3D reconstruction, loss of depth data caused by highly reflective surfaces often undermines the accuracy of point cloud registration. Traditional registration methods suffer from reduced accuracy and computational efficiency under such conditions. This paper presents a novel coarse-to-fine point cloud registration approach that combines a density-aware keypoint detection method with iterative closest point optimization to enhance both precision and computational performance. The proposed keypoint detection method optimizes registration by progressively refining the initial pose estimate through multi-scale geometric feature detection. This process includes a density-aware mechanism for removing edge outliers and an adaptive threshold based on normal vector inner products. This improves both keypoint identification accuracy and matching efficiency, providing better initial registration for the iterative closest point algorithm in scenarios with significant data loss. The approach prevents the iterative closest point algorithm from converging to local optima, which improves both convergence speed and overall computational performance. Experimental results show that, under optimal conditions, the runtime is reduced by up to 78.01% across several datasets, including those from Stanford, Kinect, Queen, and ASL-LRD. Compared to other traditional methods, the proposed approach delivers higher registration accuracy, even for multi-view point clouds with severe data loss, which demonstrates its robustness and potential for engineering applications. Full article
(This article belongs to the Section Optical Sensors)
Show Figures

Figure 1

13 pages, 1587 KB  
Article
Glioma Grading by Integrating Radiomic Features from Peritumoral Edema in Fused MRI Images and Automated Machine Learning
by Amir Khorasani
J. Imaging 2025, 11(10), 336; https://doi.org/10.3390/jimaging11100336 - 27 Sep 2025
Cited by 1 | Viewed by 1308
Abstract
We aimed to investigate the utility of peritumoral edema-derived radiomic features from magnetic resonance imaging (MRI) image weights and fused MRI sequences for enhancing the performance of machine learning-based glioma grading. The present study utilized the Multimodal Brain Tumor Segmentation Challenge 2023 (BraTS [...] Read more.
We aimed to investigate the utility of peritumoral edema-derived radiomic features from magnetic resonance imaging (MRI) image weights and fused MRI sequences for enhancing the performance of machine learning-based glioma grading. The present study utilized the Multimodal Brain Tumor Segmentation Challenge 2023 (BraTS 2023) dataset. Laplacian Re-decomposition (LRD) was employed to fuse multimodal MRI sequences. The fused image quality was evaluated using the Entropy, standard deviation (STD), peak signal-to-noise ratio (PSNR), and structural similarity index measure (SSIM) metrics. A comprehensive set of radiomic features was subsequently extracted from peritumoral edema regions using PyRadiomics. The Boruta algorithm was applied for feature selection, and an optimized classification pipeline was developed using the Tree-based Pipeline Optimization Tool (TPOT). Model performance for glioma grade classification was evaluated based on accuracy, precision, recall, F1-score, and area under the curve (AUC) parameters. Analysis of fused image quality metrics confirmed that the LRD method produces high-quality fused images. From 851 radiomic features extracted from peritumoral edema regions, the Boruta algorithm selected different sets of informative features in both standard MRI and fused images. Subsequent TPOT automated machine learning optimization analysis identified a fine-tuned Stochastic Gradient Descent (SGD) classifier, trained on features from T1Gd+FLAIR fused images, as the top-performing model. This model achieved superior performance in glioma grade classification (Accuracy = 0.96, Precision = 1.0, Recall = 0.94, F1-Score = 0.96, AUC = 1.0). Radiomic features derived from peritumoral edema in fused MRI images using the LRD method demonstrated distinct, grade-specific patterns and can be utilized as a non-invasive, accurate, and rapid glioma grade classification method. Full article
(This article belongs to the Topic Machine Learning and Deep Learning in Medical Imaging)
Show Figures

Figure 1

11 pages, 711 KB  
Communication
What Do Radio Emission Constraints Tell Us About Little Red Dots as Tidal Disruption Events?
by Krisztina Perger, Judit Fogasy and Sándor Frey
Universe 2025, 11(9), 294; https://doi.org/10.3390/universe11090294 - 1 Sep 2025
Viewed by 1190
Abstract
The real nature of little red dots (LRDs), a class of very compact galaxies in the early Universe recently discovered by the James Webb Space Telescope, is still poorly understood. The most popular theories competing to interpret the phenomena include active galactic nuclei [...] Read more.
The real nature of little red dots (LRDs), a class of very compact galaxies in the early Universe recently discovered by the James Webb Space Telescope, is still poorly understood. The most popular theories competing to interpret the phenomena include active galactic nuclei and enhanced star formation in dusty galaxies. To date, however, neither model gives a completely satisfactory explanation to the population as a whole; thus, alternative theories have arisen, including tidal disruption events (TDEs). By considering observational constraints on the radio emission of LRDs, we discuss whether TDEs are adequate alternatives solving these high-redshift enigmas. We utilise radio flux density upper limits from LRD stacking analyses, TDE peak radio luminosities, and volumetric density estimates. We find that the characteristic values of flux densities and luminosities allow radio-quiet TDEs as the underlying process of LRDs in any case, while the less common radio-loud TDEs are compatible with the model under special constraints only. Considering other factors, such as volumetric density estimates, delayed and long-term radio flares of TDEs, and cosmological time dilation, TDEs appear to be a plausible explanation for LRDs from the radio point of view. Full article
(This article belongs to the Special Issue Advances in Studies of Galaxies at High Redshift)
Show Figures

Figure 1

18 pages, 1324 KB  
Article
Trunk Laterality Judgement in Chronic Low Back Pain: Influence of Low Back Pain History, Task Complexity, and Clinical Correlates
by Thomas Matheve, Lotte Janssens, Annick Timmermans, Nina Goossens, Lieven Danneels, Hannes Meirezonne, Michiel Brandt and Liesbet De Baets
J. Clin. Med. 2025, 14(15), 5328; https://doi.org/10.3390/jcm14155328 - 28 Jul 2025
Viewed by 1064
Abstract
Background/Objectives: Left/right discrimination (LRD) training is increasingly being used in the treatment of chronic low back pain (CLBP). However, it is unclear whether trunk LRD-performance is impaired in CLBP patients and whether clinical parameters are related to LRD-performance. Therefore, this cross-sectional study [...] Read more.
Background/Objectives: Left/right discrimination (LRD) training is increasingly being used in the treatment of chronic low back pain (CLBP). However, it is unclear whether trunk LRD-performance is impaired in CLBP patients and whether clinical parameters are related to LRD-performance. Therefore, this cross-sectional study aimed to examine (1) whether LRD-performance differs between CLBP patients and pain-free individuals; (2) whether these differences depend on the low back pain (LBP) history in pain-free individuals; (3) if clinical factors are related to LRD-performance; (4) whether LRD-task difficulty influences these results. Methods: Participants included 150 pain-free persons (107 with no LBP-history; 43 with past LBP) and 150 patients with CLBP. All participants performed the LRD-task in a simple and complex condition. Outcomes were reaction time and accuracy. Results: CLBP patients were significantly slower (Cohen’s d = 0.47 to 0.50, p < 0.001) and less accurate (Cohen’s d = 0.30 to 0.55, p < 0.001) than pain-free individuals without LBP-history, but not compared to those with past LBP (Cohen’s d reaction time = 0.07 to 0.15, p = 0.55; Cohen’s d accuracy = 0.03 to 0.28, p-value = 0.28). All participant groups were slower and less accurate in the complex condition, but between-groups differences were independent of task difficulty. Linear mixed models showed that older age and lower education were independently associated with less accuracy. When controlling for demographics, pain intensity, disability, fear of movement, pain-related worry and pain duration were not related to LRD-performance in patients with CLBP. Conclusions: Patients with CLBP showed impaired trunk LRD-performance compared to pain-free persons without LBP history, but not compared to those with past LBP. When controlling for demographics, clinical parameters were not related to LRD-performance in patients with CLBP. Our findings indicate that LRD-performance may remain impaired after recovering from LBP. Full article
(This article belongs to the Section Clinical Rehabilitation)
Show Figures

Figure 1

17 pages, 472 KB  
Article
Long-Range Dependence in Word Time Series: The Cosine Correlation of Embeddings
by Paweł Wieczyński and Łukasz Dębowski
Entropy 2025, 27(6), 613; https://doi.org/10.3390/e27060613 - 9 Jun 2025
Viewed by 1554
Abstract
We analyze long-range dependence (LRD) for word time series, understood as a slower than exponential decay of the two-point Shannon mutual information. We achieve this by examining the decay of the cosine correlation, a proxy object defined in terms of the cosine similarity [...] Read more.
We analyze long-range dependence (LRD) for word time series, understood as a slower than exponential decay of the two-point Shannon mutual information. We achieve this by examining the decay of the cosine correlation, a proxy object defined in terms of the cosine similarity between word2vec embeddings of two words, computed by an analogy to the Pearson correlation. By the Pinsker inequality, the squared cosine correlation between two random vectors lower bounds the mutual information between them. Using the Standardized Project Gutenberg Corpus, we find that the cosine correlation between word2vec embeddings exhibits a readily visible stretched exponential decay for lags roughly up to 1000 words, thus corroborating the presence of LRD. By contrast, for the Human vs. LLM Text Corpus entailing texts generated by large language models, there is no systematic signal of LRD. Our findings may support the need for novel memory-rich architectures in large language models that exceed not only hidden Markov models but also Transformers. Full article
(This article belongs to the Special Issue Complexity Characteristics of Natural Language)
Show Figures

Figure 1

22 pages, 1502 KB  
Article
Microclimatic Influences on Soil Nitrogen Dynamics and Plant Diversity Across Rocky Desertification Gradients in Southwest China
by Qian Wu, Chengjiao Rao, Wende Yan, Yuanying Peng, Enwen Wang and Xiaoyong Chen
Plants 2025, 14(8), 1251; https://doi.org/10.3390/plants14081251 - 20 Apr 2025
Cited by 1 | Viewed by 876
Abstract
Soil active nitrogen (N) fractions are essential for plant growth and nutrient cycling in terrestrial ecosystems. While previous studies have primarily focused on the impact of vegetation restoration on soil active nitrogen in karst ecosystems, the role of microclimate variation in rocky desertification [...] Read more.
Soil active nitrogen (N) fractions are essential for plant growth and nutrient cycling in terrestrial ecosystems. While previous studies have primarily focused on the impact of vegetation restoration on soil active nitrogen in karst ecosystems, the role of microclimate variation in rocky desertification areas has not been well explored. This study investigates soil active nitrogen fractions and key biotic and abiotic factors across four grades of rocky desertification—non-rocky desertification (NRD), light rocky desertification (LRD), moderate rocky desertification (MRD), and intense rocky desertification (IRD)—within two distinct microclimates: a dry-hot valley and a humid monsoon zone in the karst region of Guizhou Province, China. We evaluate soil organic carbon (SOC), total nitrogen (TN), total phosphorus (TP), soil nitrate nitrogen (NO3-N), ammonium nitrogen (NH4+-N), microbial biomass nitrogen (MBN), soluble organic nitrogen (SON), and plant diversity. Results showed that SOC, TN, and TP were significantly higher in IRD areas. Soil NO3-N, MBN, and SON initially decreased before increasing, with consistent MBN growth in the dry-hot valley. NH4+-N did not differ significantly under NRD but was higher in the dry-hot valley under LRD, MRD, and IRD. The dry-hot valley had higher MBN and SON across most desertification grades. Microclimate significantly influenced soil active N, with higher levels in the dry-hot valley under LRD and MRD conditions. Plant diversity and regeneration varied markedly between the microclimates. In the dry-hot valley, Artemisia dominated herbaceous regeneration, especially in MRD areas. Conversely, the humid monsoon zone showed more diverse regeneration, with Artemisia and Bidens prevalent in MRD and NRD grades. Despite declining plant diversity with desertification, the humid monsoon zone displayed greater resilience. These findings highlight the role of microclimate in influencing soil nitrogen dynamics and plant regeneration across rocky desertification gradients, offering insights for restoration strategies in karst ecosystems. Full article
Show Figures

Figure 1

24 pages, 5066 KB  
Article
Physicochemical and Mineralogical Characterizations of Two Natural Laterites from Burkina Faso: Assessing Their Potential Usage as Adsorbent Materials
by Corneille Bakouan, Louise Chenoy, Boubié Guel and Anne-Lise Hantson
Minerals 2025, 15(4), 379; https://doi.org/10.3390/min15040379 - 4 Apr 2025
Viewed by 1795
Abstract
In the framework of lateritic material valorization, we demonstrated how the geological environment determines the mineralogical characterizations of two laterite samples, KN and LA. KN and LA originate from the Birimian and Precambrian environments, respectively. We showed that the geological criterion alone does [...] Read more.
In the framework of lateritic material valorization, we demonstrated how the geological environment determines the mineralogical characterizations of two laterite samples, KN and LA. KN and LA originate from the Birimian and Precambrian environments, respectively. We showed that the geological criterion alone does not determine the applicability of these laterites as potential adsorbents but must be associated with their physicochemical properties. The characterizations were carried out using Fourier transform infrared spectroscopy (FTIR), X-ray diffraction (XRD), Thermal analysis, and Atomic Emission Spectrometry Coupled with an Inductive Plasma Source. The major mineral phases obtained by X-ray diffraction analysis coupled with infrared analysis showed that the KN and LA laterite samples were composed of quartz (33.58% to 45.77%), kaolinite (35.64% to 17.05%), hematite (13.36% to 11.43%), and goethite (7.44% to 6.31%). The anionic exchange capacity of the KN and LA laterites ranged from 86.50 ± 3.40 to 73.91 ± 9.94 cmol(-)·kg−1 and from 73.59 ± 3.02 to 64.56 ± 4.08 cmol(-)·kg−1, respectively, and the cation exchange capacity values are in the order of 52.3 ± 2.3 and 58.7 ± 3.4 cmol(+)/Kg for the KN and LA samples, respectively. The specific surface values determined by the BET method were 58.65 m2/g and 41.15 m2/g for the KN and LA samples, respectively. The effects of adsorbent doses on As(III,V), Pb(II), and Cu(II) adsorption were studied. At 5 mg/L As and 15 g/L adsorbent (pH 6.5–7), arsenate removal was 99.72 ± 0.35% and 99.58 ± 0.45% for KN and LA, respectively, whereas arsenite removal reached 83.52 ± 2.21% and 98.59 ± 0.64% for LA and KN, respectively. The Pb(II) and Cu(II) removal rates were 74.20 ± 0.95% for 2.4 g/L KN and 54.18 ± 0.01% for 8 g/L KN, respectively. Based on their physicochemical and mineralogical characteristics, the KN and LA laterite samples were shown to possess a high potential as adsorbent material candidates for removing heavy metals and/or anionic species from groundwater. Full article
Show Figures

Figure 1

19 pages, 1903 KB  
Review
Recent Advances in Gene Mining and Hormonal Mechanism for Brown Planthopper Resistance in Rice
by Xiao Zhang, Dongfang Gu, Daoming Liu, Muhammad Ahmad Hassan, Cao Yu, Xiangzhi Wu, Shijie Huang, Shiquan Bian, Pengcheng Wei and Juan Li
Int. J. Mol. Sci. 2024, 25(23), 12965; https://doi.org/10.3390/ijms252312965 - 2 Dec 2024
Cited by 9 | Viewed by 3491
Abstract
Rice (Oryza sativa L.) feeds half the world’s population and serves as one of the most vital staple food crops globally. The brown planthopper (BPH, Nilaparvata lugens Stål), a major piercing–sucking herbivore specific to rice, accounts for large yield losses annually in [...] Read more.
Rice (Oryza sativa L.) feeds half the world’s population and serves as one of the most vital staple food crops globally. The brown planthopper (BPH, Nilaparvata lugens Stål), a major piercing–sucking herbivore specific to rice, accounts for large yield losses annually in rice-growing areas. Developing rice varieties with host resistance has been acknowledged as the most effective and economical approach for BPH control. Accordingly, the foremost step is to identify BPH resistance genes and elucidate the resistance mechanism of rice. More than 70 BPH resistance genes/QTLs with wide distributions on nine chromosomes have been identified from rice and wild relatives. Among them, 17 BPH resistance genes were successfully cloned and principally encoded coiled-coil nucleotide-binding leucine-rich repeat (CC-NB-LRR) protein and lectin receptor kinase (LecRK), as well as proteins containing a B3 DNA-binding domain, leucine-rich repeat domain (LRD) and short consensus repeat (SCR) domain. Multiple mechanisms contribute to rice resistance against BPH attack, including transcription factors, physical barriers, phytohormones, defense metabolites and exocytosis pathways. Plant hormones, including jasmonic acid (JA), salicylic acid (SA), ethylene (ET), abscisic acid (ABA), gibberellins (GAs), cytokinins (CKs), brassinosteroids (BRs) and indoleacetic-3-acid (IAA), play crucial roles in coordinating rice defense responses to the BPH. Here, we summarize some recent advances in the genetic mapping, cloning and biochemical mechanisms of BPH resistance genes. We also review the latest studies on our understanding of the function and crosstalk of phytohormones in the rice immune network against BPHs. Further directions for rice BPH resistance studies and management are also proposed. Full article
(This article belongs to the Special Issue Plant Development and Hormonal Signaling)
Show Figures

Figure 1

20 pages, 4043 KB  
Article
Short-Term Wind Power Forecasting Based on OMNIC and Adaptive Fractional Order Generalized Pareto Motion Model
by Fan Cai, Dongdong Chen, Yuesong Jiang and Tongbo Zhu
Energies 2024, 17(23), 5848; https://doi.org/10.3390/en17235848 - 22 Nov 2024
Cited by 2 | Viewed by 1304
Abstract
With the rapid development of renewable energy, accurately forecasting wind power is crucial for the stable operation of power systems and effective energy management. This paper proposes a short-term wind power forecasting method based on the Orthogonalized Maximal Information Coefficient (OMNIC) combined with [...] Read more.
With the rapid development of renewable energy, accurately forecasting wind power is crucial for the stable operation of power systems and effective energy management. This paper proposes a short-term wind power forecasting method based on the Orthogonalized Maximal Information Coefficient (OMNIC) combined with an Adaptive fractional Generalized Pareto motion (fGPm) model. The method quantifies the influence of meteorological factors on wind power prediction and identifies the optimal set and number of influencing factors. The model accounts for long-range dependence (LRD) in time series data and constructs an uncertainty model using the properties and parameters of the fractional generalized Pareto distribution (GPD), significantly improving prediction accuracy under nonlinear conditions. The proposed approach was validated using a real dataset from a wind farm in northwest China and compared with other models such as Convolutional Neural Network-Long Short-Term Memory (CNN-LSTM) and Convolutional Neural Network-Gated Recurrent Unit (CNN-GRU). Results show that the adaptive fGPm model reduces RMSE by 0.448 MW and 0.466 MW, MAPE by 6.936% and 9.702%, and achieves an average R2 of 0.9826 compared to CNN-GRU and CNN-LSTM. The improvement is due to the dynamic adjustment to data trends and effective use of LRD features. This method provides practical value in improving wind power prediction accuracy and addressing grid integration and regulation challenges. Full article
(This article belongs to the Section A3: Wind, Wave and Tidal Energy)
Show Figures

Figure 1

Back to TopTop