Sign in to use this feature.

Years

Between: -

Subjects

remove_circle_outline
remove_circle_outline
remove_circle_outline
remove_circle_outline
remove_circle_outline
remove_circle_outline
remove_circle_outline
remove_circle_outline
remove_circle_outline

Journals

Article Types

Countries / Regions

Search Results (69)

Search Parameters:
Keywords = Kelvin–Voigt visco-elasticity

Order results
Result details
Results per page
Select all
Export citation of selected articles as:
22 pages, 3364 KB  
Article
Empirical Rules for Oscillation and Harmonic Approximation of Fractional Kelvin–Voigt Oscillators
by Paweł Łabędzki
Appl. Sci. 2025, 15(19), 10385; https://doi.org/10.3390/app151910385 - 24 Sep 2025
Viewed by 5
Abstract
Fractional Kelvin–Voigt (FKV) oscillators describe vibrations in viscoelastic structures with memory effects, leading to dynamics that are often more complex than those of classical harmonic oscillators. Since the harmonic oscillator is a simple, widely known, and broadly applied model, it is natural to [...] Read more.
Fractional Kelvin–Voigt (FKV) oscillators describe vibrations in viscoelastic structures with memory effects, leading to dynamics that are often more complex than those of classical harmonic oscillators. Since the harmonic oscillator is a simple, widely known, and broadly applied model, it is natural to ask under which conditions the dynamics of an FKV oscillator can be reliably approximated by a classical harmonic oscillator. In this work, we develop practical tools for such analysis by deriving approximate formulas that relate the parameters of an FKV oscillator to those of a best-fitting harmonic oscillator. The fitting is performed by minimizing a so-called divergence coefficient, a discrepancy measure that quantifies the difference between the responses of the FKV oscillator and its harmonic counterpart, using a genetic algorithm. The resulting data are then used to identify functional relationships between FKV parameters and the corresponding frequency and damping ratio of the approximating harmonic oscillator. The quality of these approximations is evaluated across a broad range of FKV parameters, leading to the identification of parameter regions where the approximation is reliable. In addition, we establish an empirical criterion that separates oscillatory from non-oscillatory FKV systems and employ statistical tools to validate both this classification and the accuracy of the proposed formulas over a wide parameter space. The methodology supports simplified modeling of viscoelastic dynamics and may contribute to applications in structural vibration analysis and material characterization. Full article
(This article belongs to the Section Mechanical Engineering)
Show Figures

Figure 1

13 pages, 5000 KB  
Article
Comprehensive Analysis of Shear Deformation Cytometry Based on Numerical Simulation Method
by Jun Wang, Jiahe Chen, Wenlai Tang and Shu Zhu
Biosensors 2025, 15(6), 389; https://doi.org/10.3390/bios15060389 - 17 Jun 2025
Cited by 1 | Viewed by 616
Abstract
The deformability of cells reflects their capacity for shape changes under external forces; however, the systematic investigation of deformation-influencing factors remains conspicuously underdeveloped. In this work, by using an incompressible neo-Hookean viscoelastic solid model, coupled with the Kelvin–Voigt model, the effects of flow [...] Read more.
The deformability of cells reflects their capacity for shape changes under external forces; however, the systematic investigation of deformation-influencing factors remains conspicuously underdeveloped. In this work, by using an incompressible neo-Hookean viscoelastic solid model, coupled with the Kelvin–Voigt model, the effects of flow rate, fluid viscosity, cell diameter, and shear modulus on cell deformability were systematically calculated and simulated. Additionally, the relationship between cell deformability and relaxation time within a dissipative process was also simulated. The results indicate that cell deformation is positively correlated with flow rate, with an approximate linear relationship between the deformation index and flow velocity. Fluid viscosity also significantly affects cell deformation, as an approximate linear relationship with the deformation index is observed. Cell diameter has a more prominent impact on cell deformability than do flow rate or fluid viscosity, with the deformation index increasing more rapidly than the cell diameter. As the Young’s modulus increases, cell deformation decreases non-linearly. Cell deformation in the channel also gradually decreases with the increase in relaxation time. These findings enhance the understanding of cell biophysical characteristics and provide a basis for the precise control of cell deformation in deformability cytometry. This research holds significant implications for cell analysis-based animal health monitoring in the field of agriculture, as well as for other related areas. Full article
(This article belongs to the Section Nano- and Micro-Technologies in Biosensors)
Show Figures

Figure 1

20 pages, 4313 KB  
Article
A Time-Domain Solution Method for the Vibration Performance of Viscoelastic Functionally Graded Porous Beams
by Yuhua Cui, Tao Zeng, Yipeng Yang, Xiaohong Wang, Guodong Xu and Su Cheng
Vibration 2025, 8(2), 28; https://doi.org/10.3390/vibration8020028 - 29 May 2025
Cited by 1 | Viewed by 859
Abstract
The viscoelastic behavior of functionally graded (FG) materials significantly affects their vibration performance, making it necessary to establish theoretical analysis methods. Although fractional-order methods can be used to set up the vibration differential equations for viscoelastic, functionally graded beams, solving these fractional differential [...] Read more.
The viscoelastic behavior of functionally graded (FG) materials significantly affects their vibration performance, making it necessary to establish theoretical analysis methods. Although fractional-order methods can be used to set up the vibration differential equations for viscoelastic, functionally graded beams, solving these fractional differential equations typically involves complex iterative processes, which makes the vibration performance analysis of viscoelastic FG materials challenging. To address this issue, this paper proposes a simple method to predict the vibration behavior of viscoelastic FG beams. The fractional viscoelastic, functionally graded porous (FGP) beam is modeled based on the Euler–Bernoulli theory and the Kelvin–Voigt fractional derivative stress-strain relation. Employing the variational principle and the Hamilton principle, the partial fractional differential equation is derived. A method based on Bernstein polynomials is proposed to directly solve fractional vibration differential equations in the time domain, thereby avoiding the complex iterative procedures of traditional methods. The viscoelastic, functionally graded porous beams with four porosity distributions and four boundary conditions are investigated. The effects of the porosity coefficient, pore distribution, boundary conditions, fractional order, and viscoelastic coefficient are analyzed. The results show that this is a feasible method for analyzing the viscoelastic behavior of FGP materials. Full article
Show Figures

Figure 1

18 pages, 6221 KB  
Article
Fractional Kelvin–Voigt Model for Beam Vibrations: Numerical Simulations and Approximation Using a Classical Model
by Paweł Łabędzki
Electronics 2025, 14(10), 1918; https://doi.org/10.3390/electronics14101918 - 8 May 2025
Viewed by 687
Abstract
In this study, a cantilever beam with a tip mass under base excitation was analyzed, with system damping modeled using a fractional derivative approach. By applying the Rayleigh–Ritz method, the governing equation was decomposed into spatial and temporal components. Analytical solutions for the [...] Read more.
In this study, a cantilever beam with a tip mass under base excitation was analyzed, with system damping modeled using a fractional derivative approach. By applying the Rayleigh–Ritz method, the governing equation was decomposed into spatial and temporal components. Analytical solutions for the temporal equation were derived; however, their complexity posed challenges for practical application. To address this, convergence acceleration techniques were employed to efficiently evaluate slowly converging series representations. Additionally, two methods for identifying the parameters of a classical model approximating the fractional system were investigated: a geometric approach based on waveform shape analysis and an optimization procedure utilizing a genetic algorithm. The identified harmonic oscillator reproduced the dynamic response of the fractional model with an average relative error typically below 5% for off-resonance excitation. Overall, the study presents a robust analytical framework for solving fractional-order vibration problems and demonstrates effective strategies for their approximation using classical harmonic models. Full article
(This article belongs to the Section Systems & Control Engineering)
Show Figures

Figure 1

18 pages, 382 KB  
Article
The Kelvin–Voigt–Brinkman–Forchheimer Equations with Non-Homogeneous Boundary Conditions
by Evgenii S. Baranovskii, Mikhail A. Artemov, Sergey V. Ershkov and Alexander V. Yudin
Mathematics 2025, 13(6), 967; https://doi.org/10.3390/math13060967 - 14 Mar 2025
Cited by 1 | Viewed by 497
Abstract
We investigate the well-posedness of an initial boundary value problem for the Kelvin–Voigt–Brinkman–Forchheimer equations with memory and variable viscosity under a non-homogeneous Dirichlet boundary condition. A theorem about the global-in-time existence and uniqueness of a strong solution of this problem is proved under [...] Read more.
We investigate the well-posedness of an initial boundary value problem for the Kelvin–Voigt–Brinkman–Forchheimer equations with memory and variable viscosity under a non-homogeneous Dirichlet boundary condition. A theorem about the global-in-time existence and uniqueness of a strong solution of this problem is proved under some smallness requirements on the size of the model data. For obtaining this result, we used a new technique, which is based on the operator treatment of the initial boundary value problem with the consequent application of an abstract theorem about the local unique solvability of an operator equation containing an isomorphism between Banach spaces with two kind perturbations: bounded linear and differentiable nonlinear having a zero Fréchet derivative at a zero element. Our work extends the existing frameworks of mathematical analysis and understanding of the dynamics of non-Newtonian fluids in porous media. Full article
(This article belongs to the Special Issue Mathematical Dynamic Flow Models, 2nd Edition)
Show Figures

Figure 1

45 pages, 5094 KB  
Article
New Class of Complex Models of Materials with Piezoelectric Properties with Differential Constitutive Relations of Fractional Order: An Overview
by Katica R. (Stevanović) Hedrih
Fractal Fract. 2025, 9(3), 170; https://doi.org/10.3390/fractalfract9030170 - 11 Mar 2025
Cited by 1 | Viewed by 782
Abstract
Rheological complex models of various elastoviscous and viscoelastic fractional-type substances with polarized piezoelectric properties are of interest due to the widespread use of viscoelastic–plastic bodies under loading. The word “overview” used in the title means and corresponds to the content of the manuscript [...] Read more.
Rheological complex models of various elastoviscous and viscoelastic fractional-type substances with polarized piezoelectric properties are of interest due to the widespread use of viscoelastic–plastic bodies under loading. The word “overview” used in the title means and corresponds to the content of the manuscript and aims to emphasize that it presents an overview of a new class of complex rheological models of the fractional type of ideal elastoviscous, as well as viscoelastic, materials with piezoelectric properties. Two new elementary rheological elements were introduced: a rheological basic Newton’s element of ideal fluid fractional type and a basic Faraday element of ideal elastic material with the property of polarization under mechanical loading and piezoelectric properties. By incorporating these newly introduced rheological elements into classical complex rheological models, a new class of complex rheological models of materials with piezoelectric properties described by differential fractional-order constitutive relations was obtained. A set of seven new complex rheological models of materials are presented with appropriate structural formulas. Differential constitutive relations of the fractional order, which contain differential operators of the fractional order, are composed. The seven new complex models describe the properties of ideal new materials, which can be elastoviscous solids or viscoelastic fluids. The purpose of the work is to make a theoretical contribution by introducing, designing, and presenting a new class of rheological complex models with appropriate differential constitutive relations of the fractional order. These theoretical results can be the basis for further scientific and applied research. It is especially important to point out the possibility that these models containing a Faraday element can be used to collect electrical energy for various purposes. Full article
Show Figures

Figure 1

20 pages, 5772 KB  
Article
A Generalized Shape Function for Vibration Suppression Analysis of Acoustic Black Hole Beams Based on Fractional Calculus Theory
by Jun Xu and Ning Chen
Appl. Sci. 2025, 15(5), 2768; https://doi.org/10.3390/app15052768 - 4 Mar 2025
Cited by 2 | Viewed by 946
Abstract
In this paper, a generalized acoustic black hole (ABH) beam covered with a viscoelastic layer is proposed to improve the energy dissipation based on the double-parameter Mittag–Leffler (ML) function. Since fractional-order constitutive models can more accurately capture the properties of viscoelastic materials, a [...] Read more.
In this paper, a generalized acoustic black hole (ABH) beam covered with a viscoelastic layer is proposed to improve the energy dissipation based on the double-parameter Mittag–Leffler (ML) function. Since fractional-order constitutive models can more accurately capture the properties of viscoelastic materials, a fractional dynamic model of an ABH structure covered with viscoelastic film is established based on the fractional Kelvin–Voigt constitutive equation and the mechanical analysis of composite structures. To analyze the energy dissipation of the viscoelastic ML-ABH structures under steady-state conditions, the wave method is introduced, and the theory of vibration wave transmission in such non-uniform structures is extended. The effects of the fractional order, the film thickness and length, and shape function parameters on the dynamic characteristics of the ABH structure are systematically investigated. The study reveals that these parameters have a significant impact on the vibration characteristics of the ABH structure. To obtain the best parameters of the shape function under various parameters, the Particle Swarm Optimization (PSO) algorithm is employed. The results demonstrate that by selecting appropriate ML parameters and viscoelastic materials, the dissipation characteristics of the structure can be significantly improved. This research provides a theoretical foundation for structural vibration reduction in ABH structures. Full article
Show Figures

Figure 1

22 pages, 1121 KB  
Article
Studying the Dynamics Response of Viscoelastic Orthotropic Plates Based on Fractional-Order Derivatives and Shifted Legendre Polynomials
by Qianqian Fan, Qiumei Liu, Yiming Chen, Yuhuan Cui, Jingguo Qu and Lei Wang
Mathematics 2025, 13(4), 622; https://doi.org/10.3390/math13040622 - 14 Feb 2025
Cited by 1 | Viewed by 621
Abstract
This paper primarily investigates the dynamics response of viscoelastic orthotropic plates under a fractional-order derivative model, which is efficiently simulated numerically using the FKV (Fractional Kelvin–Voigt) model and the shifted Legendre polynomial algorithm. By establishing the fractional-order governing equation and directly solving it [...] Read more.
This paper primarily investigates the dynamics response of viscoelastic orthotropic plates under a fractional-order derivative model, which is efficiently simulated numerically using the FKV (Fractional Kelvin–Voigt) model and the shifted Legendre polynomial algorithm. By establishing the fractional-order governing equation and directly solving it in the time domain using a shifted Legendre polynomial, the approach achieves low error and high accuracy. The analysis shows that the load, plate thickness, and creep time all affect the plate displacement, and the fractional-order model outperforms the integer-order model to better capture the dynamics response of the material. Full article
Show Figures

Figure 1

23 pages, 10915 KB  
Article
Modeling of Stress Relaxation Behavior in HDPE and PP Using Fractional Derivatives
by Karla L. Segura-Méndez, Jesús G. Puente-Córdova, Flor Y. Rentería-Baltiérrez, Juan F. Luna-Martínez and Nasser Mohamed-Noriega
Polymers 2025, 17(4), 453; https://doi.org/10.3390/polym17040453 - 9 Feb 2025
Cited by 3 | Viewed by 2812
Abstract
In this work, the viscoelastic behavior of high-density polyethylene (HDPE) and polypropylene (PP) was studied through stress relaxation experiments conducted at different strain levels. The main objective was to evaluate classical, fractional, and conformable derivatives to analyze molecular mobility, using statistical methods to [...] Read more.
In this work, the viscoelastic behavior of high-density polyethylene (HDPE) and polypropylene (PP) was studied through stress relaxation experiments conducted at different strain levels. The main objective was to evaluate classical, fractional, and conformable derivatives to analyze molecular mobility, using statistical methods to identify the most accurate representation of the viscoelastic response. Besides the coefficient of determination (R2), the average absolute deviation (AAD) and mean squared error (MSE) were used as evaluation metrics, along with a multivariate analysis of variance (MANOVA) and the response surface methodology (RSM) to optimize the correspondence between experimental data and model predictions. The findings demonstrate that the spring-pot, Fractional Maxwell (FMM), Fractional Voigt–Kelvin (FVKM), and Kohlrausch–Williams-Watts (KWW) models effectively describe stress relaxation under statistical criteria. However, a joint analysis using RSM revealed that the choice of mathematical model significantly influences the outcomes. The FVKM was identified as the most effective for HDPE, while the KWW model best characterized PP. These results highlight the importance of optimization tools in advancing the characterization of polymer viscoelasticity. The ability to select the most accurate models for HDPE and PP under varying conditions can directly improve the performance and durability of products in critical industrial sectors such as packaging, automotive, and medical devices, where long-term mechanical behavior is crucial. By offering a framework adaptable to other materials and modeling approaches, this work provides valuable insights for optimizing polymer processing, improving product design, and enhancing the reliability of polymer-based components in a range of industrial applications. Full article
(This article belongs to the Section Polymer Physics and Theory)
Show Figures

Graphical abstract

33 pages, 12510 KB  
Article
Viscoelastic Memory Effects in Cyclic Thermomechanical Loading of Epoxy Polymer and Glass-Reinforced Composite: An Experimental Study and Modeling Under Variable Initial Stress and Cycle Durations
by Maxim Mishnev, Alexander Korolev, Alexander Zadorin, Daria Alabugina, Denis Malikov and Fedor Zyrianov
Polymers 2025, 17(3), 344; https://doi.org/10.3390/polym17030344 - 27 Jan 2025
Viewed by 1503
Abstract
This article presents a study of the viscoelastic behavior of an epoxy polymer and a glass-reinforced composite based on it under cyclic thermomechanical loading. The goal is to model and explain the experimentally observed stress state formation, including the accumulation of residual stresses [...] Read more.
This article presents a study of the viscoelastic behavior of an epoxy polymer and a glass-reinforced composite based on it under cyclic thermomechanical loading. The goal is to model and explain the experimentally observed stress state formation, including the accumulation of residual stresses under various initial mechanical stress levels and heating/cooling cycle durations. An improved material model, implemented as a Python script, is used, allowing for the consideration of memory effects on thermomechanical loading depending on the level and nature (mechanical or thermal) of the initial stresses. A Python script was developed to determine the viscoelastic parameters (elastic modulus E1, elastic parameter E2, and viscosity) for the three-element Kelvin–Voigt model. These parameters were determined at different temperatures for both the polymer and the glass-reinforced composite used in the modeling. The accumulation of stresses under different ratios of mechanical and thermal stresses was also investigated. Experiments showed that high levels of residual stress could form in the pure epoxy polymer. The initial stress state significantly influences residual stress accumulation in the pure epoxy polymer. Low initial tensile stresses (0–1.5 MPa) resulted in substantial residual stress accumulation, exceeding the initial stresses by up to 2.7 times and reaching values of up to 2.1 MPa. Conversely, high initial stresses (around 4 MPa) suppressed residual stress accumulation due to the dominance of relaxation processes. This highlights the critical role of the initial loading conditions in predicting long-term material behavior. In the glass-reinforced plastic, the effect of residual stress accumulation was significantly weaker, possibly due to the reinforcement and high residual stiffness, even at elevated temperatures (the studies were conducted from 30 to 180 °C for the composite and from 30 to 90 °C for the polymer). The modeling results show satisfactory qualitative and quantitative agreement with the experimental data, offering a plausible explanation for the observed effects. The proposed approach and tools can be used to predict the stress–strain state of polymer composite structures operating under cyclic thermomechanical loads. Full article
(This article belongs to the Special Issue Study and Applications of Resins in Civil Engineering)
Show Figures

Figure 1

20 pages, 3712 KB  
Article
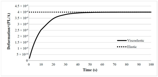
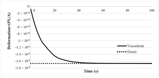
Energy-Based Analysis of Time-Dependent Deformations in Viscoelastic Truss Systems
by Gülçin Tekin
Buildings 2025, 15(3), 362; https://doi.org/10.3390/buildings15030362 - 24 Jan 2025
Viewed by 852
Abstract
Truss systems are essential structural elements widely utilized for their lightweight design, high load-bearing capacity, and structural efficiency. This study introduces a novel energy-based method for analyzing time-dependent deformations in viscoelastic truss systems, applicable to both statically determinate and indeterminate configurations. The primary [...] Read more.
Truss systems are essential structural elements widely utilized for their lightweight design, high load-bearing capacity, and structural efficiency. This study introduces a novel energy-based method for analyzing time-dependent deformations in viscoelastic truss systems, applicable to both statically determinate and indeterminate configurations. The primary objective is to develop a total potential energy (TPE) functional that explicitly incorporates viscoelastic effects, system parameters, material properties, and loading conditions. Unlike conventional methods that treat viscous terms as non-conservative and lacking a clear energy representation, the proposed approach facilitates a direct and efficient energy-based formulation of the governing equations. The methodology employs the Laplace transform to simplify the problem and an inverse Laplace transform to recover solutions in the time domain. This systematic approach ensures accurate results while reducing computational effort, making it both time-efficient and straightforward to implement. A key advantage of the proposed method is its adaptability to various viscoelastic material models, such as the Kelvin–Voigt and Standard Linear Solid (SLS) models, and its applicability to diverse loading conditions, including step and impulsive loads. To validate the method, numerical analyses are conducted on truss systems subjected to different time-dependent loading scenarios. The results demonstrate the method’s capability to accurately predict the time-dependent behavior of viscoelastic trusses, addressing a significant gap in the literature by providing benchmark solutions. The proposed framework offers a computationally efficient alternative for analyzing viscoelastic structures, facilitating their integration into practical structural design and improving the prediction of long-term deformation behavior. This study provides a reliable and innovative solution for analyzing viscoelastic truss systems, making it a valuable tool for engineers and researchers working with time-dependent materials in structural applications. Full article
(This article belongs to the Section Building Structures)
Show Figures

Figure 1

20 pages, 581 KB  
Article
Mathematical Modelling of Viscoelastic Media Without Bulk Relaxation via Fractional Calculus Approach
by Marina V. Shitikova and Konstantin A. Modestov
Mathematics 2025, 13(3), 350; https://doi.org/10.3390/math13030350 - 22 Jan 2025
Cited by 1 | Viewed by 975
Abstract
In the present paper, several viscoelastic models are studied for cases when time-dependent viscoelastic operators of Lamé’s parameters are represented in terms of the fractional derivative Kelvin–Voigt, Scott-Blair, Maxwell, and standard linear solid models. This is practically important since precisely these parameters define [...] Read more.
In the present paper, several viscoelastic models are studied for cases when time-dependent viscoelastic operators of Lamé’s parameters are represented in terms of the fractional derivative Kelvin–Voigt, Scott-Blair, Maxwell, and standard linear solid models. This is practically important since precisely these parameters define the velocities of longitudinal and transverse waves propagating in three-dimensional media. Using the algebra of dimensionless Rabotnov’s fractional exponential functions, time-dependent operators for Poisson’s ratios have been obtained and analysed. It is shown that materials described by some of such models are viscoelastic auxetics because the Poisson’s ratios of such materials are time-dependent operators which could take on both positive and negative magnitudes. Full article
Show Figures

Figure 1

37 pages, 9612 KB  
Article
Rheological Burgers–Faraday Models and Rheological Dynamical Systems with Fractional Derivatives and Their Application in Biomechanics
by Katica R. (Stevanović) Hedrih and Andjelka N. Hedrih
Fractal Fract. 2024, 8(12), 742; https://doi.org/10.3390/fractalfract8120742 - 16 Dec 2024
Cited by 2 | Viewed by 1154
Abstract
Two rheological Burgers–Faraday models and rheological dynamical systems were created by using two new rheological models: Kelvin–Voigt–Faraday fractional-type model and Maxwell–Faraday fractional-type model. The Burgers–Faraday models described in the paper are new models that examine the dynamical behavior of materials with coupled fields: [...] Read more.
Two rheological Burgers–Faraday models and rheological dynamical systems were created by using two new rheological models: Kelvin–Voigt–Faraday fractional-type model and Maxwell–Faraday fractional-type model. The Burgers–Faraday models described in the paper are new models that examine the dynamical behavior of materials with coupled fields: mechanical stress and strain and the electric field of polarization through the Faraday element. The analysis of the constitutive relation of the fractional order for Burgers–Faraday models is given. Two Burgers–Faraday fractional-type dynamical systems were created under certain approximations. Both rheological Burgers-Faraday dynamic systems have two internal degrees of freedom, which are introduced into the system by each standard light Burgers-Faraday bonding element. It is shown that the sequence of bonding elements in the structure of the standard light Burgers-Faraday bonding element changes the dynamic properties of the rheological dynamic system, so that in one case the system behaves as a fractional-type oscillator, while in the other case, it exhibits a creeping or pulsating behavior under the influence of an external periodic force. These models of rheological dynamic systems can be used to model new natural and synthetic biomaterials that possess both viscoelastic/viscoplastic and piezoelectric properties and have dynamical properties of stress relaxation. Full article
Show Figures

Figure 1

13 pages, 1088 KB  
Article
Generalized Kelvin–Voigt Creep Model in Fractal Space–Time
by Eduardo Reyes de Luna, Andriy Kryvko, Juan B. Pascual-Francisco, Ignacio Hernández and Didier Samayoa
Mathematics 2024, 12(19), 3099; https://doi.org/10.3390/math12193099 - 3 Oct 2024
Cited by 3 | Viewed by 1810
Abstract
In this paper, we study the creep phenomena for self-similar models of viscoelastic materials and derive a generalization of the Kelvin–Voigt model in the framework of fractal continuum calculus. Creep compliance for the Kelvin–Voigt model is extended to fractal manifolds through local fractal-continuum [...] Read more.
In this paper, we study the creep phenomena for self-similar models of viscoelastic materials and derive a generalization of the Kelvin–Voigt model in the framework of fractal continuum calculus. Creep compliance for the Kelvin–Voigt model is extended to fractal manifolds through local fractal-continuum differential operators. Generalized fractal creep compliance is obtained, taking into account the intrinsic time τ and the fractal dimension of time-scale β. The model obtained is validated with experimental data obtained for resin samples with the fractal structure of a Sierpinski carpet and experimental data on rock salt. Comparisons of the model predictions with the experimental data are presented as the curves of slow continuous deformations. Full article
Show Figures

Figure 1

17 pages, 5709 KB  
Article
Settlement of a Pile Foundation Considering Linear and Rheological Properties of Soils
by Armen Z. Ter-Martirosyan, Lyubov Yu. Ermoshina and George O. Anzhelo
Buildings 2024, 14(9), 2830; https://doi.org/10.3390/buildings14092830 - 8 Sep 2024
Viewed by 1629
Abstract
Despite numerous studies of single piles and practical experience with their application, methods for calculating settlements of pile foundations remain limited. The existing objective need for specialized methods of pile foundation settlement calculation that take into account the rheological properties of the base [...] Read more.
Despite numerous studies of single piles and practical experience with their application, methods for calculating settlements of pile foundations remain limited. The existing objective need for specialized methods of pile foundation settlement calculation that take into account the rheological properties of the base soils is becoming more and more important, especially in the construction of unique objects in complex ground conditions. When predicting the stress–strain state of the pile–raft-surrounding soil mass system, it is allowed to consider not the entire pile foundation as a whole, but only a part of it—the computational cell. In the present work, we have solved the problems of determining the strains of the computational cell consisting of the pile, the raft and the surrounding soil according to the column pile scheme and hanging pile scheme, on the basis of the Kelvin–Voigt rheological model, which is a model of a viscoelastic body consisting of parallel connected elements: Hooke’s elastic spring and Newtonian fluid. According to our results, we obtained graphs of the dependence of strains of the computational cell on time at different pile spacing and different values of coefficients of viscosity of the surrounding soil, and a formula for calculating the reduced modulus of deformation of the pile. The results of the present study can significantly improve the accuracy of calculations during construction on clayey soils with pronounced rheological properties and, as a result, increase the reliability of pile structures in general. Full article
(This article belongs to the Special Issue Building Foundation Analysis: Soil–Structure Interaction)
Show Figures

Figure 1

Back to TopTop