Abstract
Truss systems are essential structural elements widely utilized for their lightweight design, high load-bearing capacity, and structural efficiency. This study introduces a novel energy-based method for analyzing time-dependent deformations in viscoelastic truss systems, applicable to both statically determinate and indeterminate configurations. The primary objective is to develop a total potential energy (TPE) functional that explicitly incorporates viscoelastic effects, system parameters, material properties, and loading conditions. Unlike conventional methods that treat viscous terms as non-conservative and lacking a clear energy representation, the proposed approach facilitates a direct and efficient energy-based formulation of the governing equations. The methodology employs the Laplace transform to simplify the problem and an inverse Laplace transform to recover solutions in the time domain. This systematic approach ensures accurate results while reducing computational effort, making it both time-efficient and straightforward to implement. A key advantage of the proposed method is its adaptability to various viscoelastic material models, such as the Kelvin–Voigt and Standard Linear Solid (SLS) models, and its applicability to diverse loading conditions, including step and impulsive loads. To validate the method, numerical analyses are conducted on truss systems subjected to different time-dependent loading scenarios. The results demonstrate the method’s capability to accurately predict the time-dependent behavior of viscoelastic trusses, addressing a significant gap in the literature by providing benchmark solutions. The proposed framework offers a computationally efficient alternative for analyzing viscoelastic structures, facilitating their integration into practical structural design and improving the prediction of long-term deformation behavior. This study provides a reliable and innovative solution for analyzing viscoelastic truss systems, making it a valuable tool for engineers and researchers working with time-dependent materials in structural applications.
1. Introduction
Truss systems are fundamental structural elements, widely valued for their lightweight design, which minimizes additional loads and enhances earthquake resistance. These systems are highly efficient for spanning large distances and are recognized for their ease of installation and long-term cost-effectiveness due to their durability. Trusses are commonly employed as load-bearing structures and have specialized applications in industrial buildings, bridges, stadiums, aircraft hangars, communication towers, and offshore platforms. A typical truss system consists of axially aligned members connected at their ends by frictionless joints (nodes) to form a rigid framework. The design of a truss system is tailored to meet the specific structural and architectural requirements of a project. Key components typically include the upper and lower chords, web members, and the apex point. The distribution of forces within the system among its individual elements enhances structural efficiency. The performance of a truss system is optimized by selecting the most suitable configuration for the intended design, evaluated based on material efficiency and construction quality.
Truss systems typically use materials such as aluminum, steel, and wood for their structural components. To ensure reliable connections between the bar elements, specialized joining methods—such as riveting, welding, bolting, nuts, or spherical connectors—are employed. Research indicates that under specific loading conditions, and when environmental factors like temperature and humidity remain constant, wood can exhibit linear viscoelastic behavior [1,2,3]. Similarly, metals display viscoelastic properties when exposed to elevated temperatures [4]. Viscoelastic materials are characterized by a combination of elastic and viscous behaviors. Elasticity represents a time-independent response, while viscosity describes a time-dependent response. The interaction of these properties results in the time-dependent behavior of the material, referred to as viscoelasticity. Comprehensive discussions of viscoelastic material behavior are available in [5,6,7,8,9,10,11,12].
Key phenomena associated with viscoelastic materials include the following: (i) the presence of a hysteresis loop in the stress–strain curve, (ii) stress relaxation, and (iii) creep. Unlike purely elastic materials, which do not dissipate energy during loading and unloading cycles, viscoelastic materials dissipate energy, as evidenced by the area enclosed within the hysteresis loop. A behavior known as recovery occurs when deformation gradually diminishes to zero after unloading. Under conditions of constant strain, viscoelastic materials exhibit stress relaxation, where the stress decreases over time. Conversely, when subjected to constant stress, these materials experience creep, characterized by a gradual and progressive increase in deformation. Upon removal of the applied stress, there is an immediate reduction in elastic deformation, followed by a delayed decrease in total deformation, which highlights the time-dependent nature of viscoelasticity. If the applied stress exceeds the material’s elastic limit, permanent (plastic) deformation may occur.
Creep is a time-dependent deformation that occurs in various materials, including metals at elevated temperatures, as well as concrete, wood, and plastics under ambient conditions. When creep-induced deformations exceed critical thresholds, they can compromise the structural integrity, functionality, appearance, and safety of a system. Although initial creep deformations may seem minor, their long-term progression can result in strains several times greater than the initial values [13]. For example, in prestressed concrete, creep can lead to significant stress losses, requiring adjustments in strength calculations to ensure structural adequacy [14]. Mitigating these effects necessitates the careful selection of materials and the implementation of effective design strategies. This is particularly important in high-rise buildings, where differential creep can cause severe cracking and structural damage.
In addition to creep, stress relaxation is another critical time-dependent phenomenon that must be addressed in specific applications. For example, in prestressed concrete elements, minimizing or eliminating relaxation in the reinforcing steel is essential to maintain structural performance. While concrete creep may persist for several years, stress relaxation in steel typically occurs within 2–3 weeks, with up to two-thirds of the total relaxation occurring within the first 12 h [15]. Stress relaxation is particularly significant in bolted and riveted joints in steel structures. The inadequate pre-stressing of bolts, such as those securing engine cylinder covers, can result in functional failures [16]. Therefore, both creep and stress relaxation must be carefully considered to ensure the structural integrity and long-term performance of materials subjected to sustained stress.
The time-dependent behavior of materials, as evidenced by various phenomena, highlights the importance of incorporating time as a variable in structural analysis. Although many engineering materials exhibit significant viscoelastic behavior, most structural designs overlook this characteristic and instead assume time-independent material properties. In viscoelastic materials, constitutive equations relate stress and strain, explicitly considering time as a variable. Accurately modeling this time-dependent behavior is essential for the precise analysis of structures made from such materials.
Rheology provides the theoretical framework for understanding these deformations, using mechanical models to describe the governing material laws. These rheological models typically combine the Hookean element (represented by a linear elastic spring) to characterize elastic behavior and the Newtonian element (represented by a dashpot) to capture viscous effects. Linear viscoelastic behavior is effectively modeled using various configurations of springs and dashpots arranged in series, parallel, or more complex arrangements.
In the analysis of viscoelastic systems, three primary approaches are commonly employed: the Laplace transform, the Fourier transform, and the time integration method. The Laplace and Fourier transforms facilitate the solution process by converting differential equations into algebraic equations within their respective transformed domains. The results are then obtained in the physical domain through inverse transformations. In contrast, the time integration method analyzes the system’s behavior by discretizing and numerically integrating it over successive time steps. Each of these methods has unique advantages and is tailored to specific applications, as extensively discussed in studies [17,18,19,20,21].
Numerous studies have explored the static and dynamic behavior of viscoelastic truss systems, primarily focusing on enhancing damping properties and reducing vibrations. For instance, ref. [22] extended a finite element formulation for undamped structures by incorporating viscoelastic damping through dissipation coordinates within a time-domain framework. Similarly, ref. [23] introduced the GHM (Golla–Hughes–McTavish) method, which models viscoelastic trusses by integrating both time-domain and frequency-domain analyses. Using fractional-order modeling, ref. [24] analyzed the dynamic response of a two-member truss system subjected to harmonic loads, while ref. [25] investigated the equilibrium paths of a two-member truss under vertical, horizontal, and combined load conditions using fractional derivatives. To study viscoelastic behavior under time-dependent creep conditions, ref. [26] applied the Positional Finite Element Method (PFEM) to space trusses. More recently, ref. [27] developed a methodology for analyzing truss systems with viscoelastic materials, emphasizing member forces, nodal displacements, and support reactions by employing rate-type and integral-type constitutive relations. Additionally, ref. [28] presented a finite element formulation for trusses composed of elastic and viscoelastic materials, focusing on transient nonlinear analysis. This analysis utilized a generalized Kelvin rheological model to account for rate effects and employed the mean acceleration method to solve transient problems, revealing the significant influence of material properties and constitutive laws on structural responses. Furthermore, ref. [29] proposed a one-dimensional finite element formulation for the transient analysis of geometrically nonlinear trusses made from viscoelastic–viscoplastic materials with mechanical degradation. This formulation incorporated the Newmark algorithm and an incremental-iterative Newton–Raphson procedure to solve the dynamic equilibrium equations. It also combined the Kelvin–Voigt and Perzyna models to characterize viscoelastic and viscoplastic behavior, respectively, while employing Continuum Damage Mechanics to capture material degradation. Numerical simulations highlighted the method’s capability in analyzing polymeric truss structures subjected to high strain rates and snap-through behavior. Collectively, these studies underscore the efficacy of viscoelastic materials in enhancing vibration control and damping performance, offering valuable insights for practical engineering applications.
This study introduces a novel and efficient energy-based method for analyzing time-dependent deformations in viscoelastic truss systems, applicable to both statically determinate and indeterminate configurations. Unlike conventional approaches, which often treat the “viscous” term as a non-conservative element lacking a clear total energy representation in the time domain, this research proposes an innovative framework that explicitly and practically represents viscoelastic effects within the time domain. The proposed method establishes a robust theoretical foundation while being straightforward to implement. An explicit expression for the total potential energy functional (TPE) of viscoelastic truss systems is derived, incorporating system parameters, material properties, and loading conditions. Results obtained in the Laplace domain are transformed back to the time domain using inverse Laplace transformation. This systematic approach ensures computational efficiency, enabling the rapid formulation of governing equations in just a few steps, regardless of the viscoelastic material model, loading type, or the number of elements in the system. A significant advantage of the proposed method is its computational efficiency, which allows for accurate and reliable results with reduced computational effort. The flexibility of the framework facilitates its adaptation to various material models, loading scenarios, and truss configurations, making it suitable for a wide range of viscoelastic structural applications. By enhancing the analysis of time-dependent behavior in viscoelastic materials, this research contributes to their integration into structural design and improves the prediction of long-term deformation behavior in structural systems. To demonstrate the effectiveness and versatility of the proposed method, numerical examples involving various truss models with different viscoelastic materials, such as the Kelvin–Voigt model and the Standard Linear Solid (SLS) model, are analyzed. The Kelvin–Voigt model is commonly used in engineering applications due to its simplicity and effectiveness in modeling materials that undergo time-dependent deformation under sustained loads. It is particularly well-suited for materials where viscous and elastic responses occur simultaneously, making it ideal for scenarios characterized by steady-state behavior. The model’s ability to predict creep deformation under constant stress aligns well with the objectives of this analysis. On the other hand, the SLS model is selected for its capability to capture more complex viscoelastic behavior. By incorporating a spring in parallel with a Maxwell element (a spring and dashpot in series), the SLS model can represent both the instantaneous elastic response and the time-dependent viscous behavior more effectively. This makes it suitable for materials that exhibit a more pronounced viscous response under varying load conditions. The addition of the parallel spring, in combination with the series spring–dashpot configuration, allows the SLS model to account for delayed deformations and stress relaxation phenomena. By utilizing both models, this study takes a comprehensive approach to viscoelastic behavior, ensuring that the results are both robust and reliable. These examples include various types of time-dependent loading, such as step loading and rectangular impulsive loading. The results are presented as benchmarks to address the lack of comparative data in the existing literature, emphasizing the method’s ability to provide accurate and efficient solutions across diverse scenarios.
2. Methodology
In structural mechanics, two fundamental approaches are commonly used to analyze structural systems. The first approach involves solving differential equations or systems derived from equilibrium conditions, compatibility requirements, and material constitutive relations, while ensuring the satisfaction of specified boundary conditions. Although effective for simple problems, this method becomes increasingly complex when applied to structures with intricate geometries or unconventional material properties.
In contrast, the second approach avoids directly solving differential equations by employing energy-based methods. These methods utilize scalar quantities, such as work and energy, which are fundamental in many engineering applications. The energy-based approach offers greater flexibility in addressing complex deformation problems and is particularly advantageous for analyzing systems where direct methods become impractical. As a result, a wide range of engineering challenges can be efficiently tackled using energy principles.
The first law of thermodynamics, which governs the principle of energy conservation, is expressed as:
where ΔU represents the change in internal energy, Q is the heat added to the system, and W is the work done on the system. In the absence of heat exchange between the system and its surroundings (i.e., Q = 0), the equation simplifies to
This expression indicates that the change in internal energy is equal to the work done on the system. When an external force F is gradually applied to a body, it induces deformation. As the body deforms and undergoes a displacement x, the total work done by the force is given by the integral: . Similarly, the internal energy U of the system can be calculated by considering the nodal displacements as the unknowns in the problem. If a stress σ is applied to a point within the body, causing a strain , the energy stored per unit volume when the strain reaches a value is given by the integral . To evaluate this integral, the stress–strain relationship (constitutive relation) of the material must be known. For elastic materials, stress is a function of strain alone, expressed as . However, in viscoelastic materials, stress depends on both strain and its rate of change over time, represented as , where is the strain rate.
The constitutive relations for linear viscoelastic materials are typically derived using the Boltzmann superposition principle, which states that the strain at any given time is the cumulative effect of strains produced by successive, independent applications of forces. This relationship can be mathematically expressed as follows:
where represents the creep compliance and is the applied stress at time . Similarly, when successive deformations are applied, the stress response can be described using the Boltzmann superposition principle:
In this expression, represents the relaxation function, and is the applied strain at time .
The convolution integral allows the expression of viscoelastic constitutive equations as follows:
Linear viscoelastic constitutive equations are commonly represented by convolution integrals, which can be converted into algebraic equations through the application of the Laplace transform. The Laplace transform F(s) of a function f(t) is defined as
Two properties of the Laplace transform are commonly used to convert convolution integrals in the time domain (t) into algebraic expressions in the transform variable (s):
- Transform of the first derivative:
- 2.
- Transform of the convolution:
By applying these properties to the convolution forms in Equations (5) and (6), the following algebraic expressions for the constitutive equations are obtained:
Here, and represent the Laplace transforms of the creep compliance and relaxation modulus, respectively, while s denotes the complex frequency variable in the Laplace domain. The strain energy density for viscoelastic materials is expressed as
where, is a time variable such that .
In mechanics, the principle of virtual work states that for a system in equilibrium, the virtual work done by both internal and external forces during a virtual displacement is zero. Mathematically, for a system of forces Fi acting at points with corresponding virtual displacements , the principle of virtual work can be expressed as:
This equation represents the equilibrium condition of the system, where the sum of the virtual work done by all forces is zero. This principle forms the foundation for deriving the equilibrium equations in terms of the system’s total potential energy . The total potential energy is the sum of the strain energy and the potential energy due to external forces , given by:
The equilibrium condition of the system can be formulated variationally using the variation operator . The system is in equilibrium when the total potential energy is stationary, meaning that the first variation of vanishes:
Here, represents the variation in strain energy, and represents the variation in potential energy. The variation operator in variational calculus is crucial for translating the principle of virtual work into a functional framework. It enables the derivation of the equilibrium conditions of mechanical systems by applying the stationary condition to the total potential energy functional.
2.1. Numerical Examples
To demonstrate the accuracy and efficiency of the proposed algorithm, numerical examples involving both statically determinate and indeterminate viscoelastic trusses are presented. The analysis incorporates two constitutive models: the Kelvin–Voigt model and the Standard Linear Solid (SLS) model. For the Kelvin–Voigt rheological model (Figure 1), the corresponding constitutive relation is as follows:
Figure 1.
Mechanical representation of the Kelvin–Voigt model.
The constitutive relation for the Standard Linear Solid (SLS) rheological model, shown in Figure 2, is given by:
Figure 2.
Mechanical representation of the Standard Linear Solid (SLS) model.
In the proposed energy-based method, the dissipation parameter is associated with the viscous coefficient (η) in the viscoelastic material’s constitutive relations. This parameter represents the material’s capacity to dissipate mechanical energy through internal damping, converting it into heat or other forms of energy loss. Within the viscoelastic truss system, the dissipation parameter plays a critical role in characterizing the time-dependent behavior of nodal displacements under applied loads. By influencing the balance between energy storage (elastic behavior) and energy dissipation (viscous behavior), the dissipation parameter governs how the displacements of the truss nodes evolve over time. Systems with higher dissipation parameters exhibit slower changes in displacement due to greater damping effects, while systems with lower dissipation parameters behave more elastically, with faster adjustments to applied stresses. In our analysis, incorporating this parameter ensures an accurate representation of the viscoelastic response of the truss system over time. It highlights the importance of the dissipation parameter in determining the deformation characteristics of the system, capturing both the immediate and longer-term time-dependent responses under applied stresses.
2.2. Total Potential Energy (TPE) Functionals in the Laplace Domain
2.2.1. Statically Indeterminate Viscoelastic Truss
A statically indeterminate planar truss, with the geometric properties and loading conditions shown in Figure 3, is analyzed. The truss system consists of six bars and four nodes.
Figure 3.
Plane truss: initial geometry, nodes, elements, and loading (circled number denote node number and non-circled number denote member number).
The truss is externally statically determinate but internally statically indeterminate. All members are assumed to be made of the same material, with a uniform cross-sectional area, denoted by A. The viscoelastic material properties are modeled using the Kelvin–Voigt and Standard Linear Solid (SLS) models. The following material properties are adopted for the viscoelastic analysis of the truss elements:
- Kelvin–Voight Model:
- Elastic modulus (or spring coefficient) (E): 50 kPa
- Viscosity coefficient (η): 100 kPa·s
- SLS Model:
- Spring 1 modulus (E): 50 kPa
- Spring 2 modulus (E1): 50 kPa
- Viscosity coefficient (η): 100 kPa·s
New time-dependent potential energy (TPE) functionals are introduced for statically indeterminate viscoelastic truss systems with varying material laws. The trusses are analyzed under two distinct loading histories: step loading with a magnitude of P, and rectangular impulsive loading with a magnitude of P applied over a duration of 10 s, as depicted in Figure 4a and Figure 4b, respectively.
Figure 4.
Load history: (a) Step loading (b) Rectangular impulsive loading.
The nodal displacements qi(t) are defined according to the positive directions of the specified X-Y coordinate system. The system consists of five time-dependent unknowns, represented by the nodal displacements qi(t), where i = 1, 2, …, 5. To solve for these unknowns, five equations are derived using the TPE functional in the Laplace domain.
To derive the governing equations, the internal energy of each member, Ui(t), is expressed as a function of the nodal displacements, qi(t). This requires establishing a relationship between the time-dependent elongation of each member, Δi(t), and the nodal displacements. The elongation of each truss member is determined based on its geometry and the chosen coordinate system, ensuring consistency with the system’s kinematic constraints. The time-dependent displacements of each node, along with their contributions to the elongation of each member, are computed following the procedure outlined below.
Consider a member with an initial length L, as shown in Figure 5, undergoing elongation Δ(t), resulting in a total length of L + Δ(t). The projections of the elongation onto the X and Y axes are given by Lx + Δx(t) and Ly + Δy(t), respectively. By neglecting second-order terms and using directional cosines, the elongation Δ(t) is expressed as follows:
where
Figure 5.
The global (X, Y) coordinate system for the truss element.
The deformation of each element is described in terms of its nodal displacements and directional cosines.
The internal energy of the system is calculated as the sum of the internal energies of the individual elements. In the Laplace domain, this energy is represented as . The total potential energy functional of the system in the Laplace domain, denoted as , is expressed as:
where represents the work done by external forces. The Laplace transform of the time-dependent deformations of each element, , is given by:
where and are the Laplace transforms of the nodal displacements for the i-th element along the x and y axes, respectively. To satisfy the equilibrium condition, the first derivative of the total potential energy functional with respect to each nodal displacement is set to zero:
This results in a system of equations in the Laplace domain. When expressed in matrix form, these equations are represented as:
where is the coefficient matrix in the Laplace domain, derived from the partial derivatives of , represents the unknown nodal displacements in the Laplace domain, and denotes the external forces transformed into the Laplace domain.
The total potential energy (TPE) functionals in the Laplace domain for trusses modeled using the Kelvin–Voigt and Standard Linear Solid (SLS) rheological models are presented in matrix form in Equations (25) and (26), respectively. These functionals include system parameters, material properties, and loading conditions.
The matrix equations are solved to obtain the Laplace transform of the nodal displacements of viscoelastic trusses modeled using the Kelvin–Voigt and Standard Linear Solid (SLS) models. The inverse Laplace transform is then applied to determine the time-dependent horizontal and vertical displacements at critical points within the truss system. The inverse Laplace transform is used to convert a function F(s) from the Laplace domain back into its corresponding time-domain function f(t). It is defined as follows:
where t is the time variable, s is a complex variable in the Laplace domain, and a is a real number chosen such that the contour of integration lies within the region of convergence of F(s).
The horizontal and vertical displacement histories for nodes 2 and 3 are shown in Figure 6, Figure 7, Figure 8 and Figure 9, which correspond to step and rectangular impulsive loads.
Figure 6.
Horizontal displacement history of node 2 under step loading.
Figure 7.
Horizontal displacement history of node 3 under step loading.
Figure 8.
Vertical displacement history of node 3 under step loading.
Figure 9.
Horizontal displacement history of node 3 under rectangular impulsive loading.
As shown in Figure 6, Figure 7, Figure 8 and Figure 9, the creep behaviors of the Kelvin–Voigt and Standard Linear Solid (SLS) models exhibit distinct characteristics due to their differing mechanical configurations. The Kelvin–Voigt model, which consists of a spring and dashpot arranged in parallel, does not produce an instantaneous strain when subjected to a constant load. Instead, the strain develops gradually over time, asymptotically approaching a finite steady-state value. This behavior reflects the combined influence of the elastic spring and viscous dashpot, making the model suitable for materials that exhibit delayed elasticity. In contrast, the SLS model consists of a spring in parallel with a series combination of another spring and a dashpot, which captures both instantaneous and time-dependent responses. Under a constant load, the SLS model generates an immediate elastic strain due to the series spring, followed by a time-dependent strain governed by the Kelvin–Voigt element. This dual behavior reflects the model’s ability to simulate both instantaneous elastic deformation and delayed creep effects. The accuracy and reliability of the derived total potential energy (TPE) functionals are validated by their ability to predict the rheological responses of viscoelastic truss systems. The results for the Kelvin–Voigt and SLS models under step and rectangular impulsive loads (Figure 6, Figure 7, Figure 8 and Figure 9) demonstrate that the TPE functionals effectively capture the expected time-dependent behavior of these rheological models.
In Figure 6, both models exhibit a similar general trend of increasing values over time, gradually approaching a steady state. However, their behaviors and rates of change differ, highlighting the distinct characteristics of each model. The initial values for the Kelvin-Voigt model start at 0, as expected. The response increases gradually, but the rate of increase is slower compared to the SLS model. The value approaches a steady-state value of approximately 0.00792893 × (PL/A) at around 30 s, exhibiting a monotonic increase with a smooth approach toward equilibrium. The values stabilize after approximately 20 s, with only very minor increments in the later time steps. This suggests that the material in the Kelvin-Voigt model has a more immediate response, which gradually slows down as time progresses.
The initial value for the SLS model starts at 0.003964466 × (PL/A), which is higher than the Kelvin-Voigt model’s starting value. This suggests a stronger initial elastic response due to the combination of spring and dashpot elements in the model. The response increases more rapidly in the earlier time steps and then gradually slows down. It approaches a steady-state value of approximately 0.00792674 at 30 s. The SLS model shows a faster initial response, likely due to the dashpot (viscous element) that provides resistance to deformation. The value increases more quickly compared to the Kelvin-Voigt model, but it also shows a tendency to stabilize as time progresses, although it reaches its final value slightly faster than the Kelvin-Voigt model.
Figure 8 shows that both models stabilize at similar final displacements of approximately −0.01207, suggesting that, for this specific loading scenario, both models predict nearly the same long-term behavior. However, the SLS model takes slightly longer to converge to this value than the Kelvin-Voigt model. The SLS model has slightly higher initial negative displacement values compared with the Kelvin-Voigt model, which may indicate a slightly different balance between the spring and dashpot elements in the SLS model. The SLS model might exhibit a stronger initial response due to the combined effects of both elements, especially in the early time steps. The Kelvin-Voigt model shows a smoother and more rapid convergence toward the final displacement compared with the SLS model. The SLS model’s response is more gradual, especially visible in the first 10 s of the data. The SLS model might exhibit more pronounced damping in the initial response, as indicated by the slower convergence in comparison with the Kelvin-Voigt model. The Kelvin-Voigt model appears to have a more efficient transition to a steady state.
2.2.2. Statically Determinate Viscoelastic Howe Truss
A statically determinate Howe truss, with the geometric properties and loading conditions shown in Figure 10, is analyzed. All members of the truss are assumed to be made of Kelvin–Voigt viscoelastic material, with a uniform cross-sectional area, A. The material properties used in the analysis are as follows: Elastic modulus (E): 5 × 108 kPa, and Viscosity coefficient (η): 5 × 109 kPa·s. The truss is subjected to vertical step-type loads, each with a magnitude P, applied at nodes 8 and 12.
Figure 10.
Howe Truss: initial geometry, nodes, elements, and loading (circled number denote node number and non-circled number denote member number).
Under vertical loading, the top chord of a Howe truss typically experiences compression, as it resists bending moments. Conversely, the bottom chord is under tension. The diagonal members of the truss are primarily designed to carry compressive forces, as they slope upward toward the center from the supports. In contrast, the vertical members predominantly resist tensile forces under the applied loading condition.
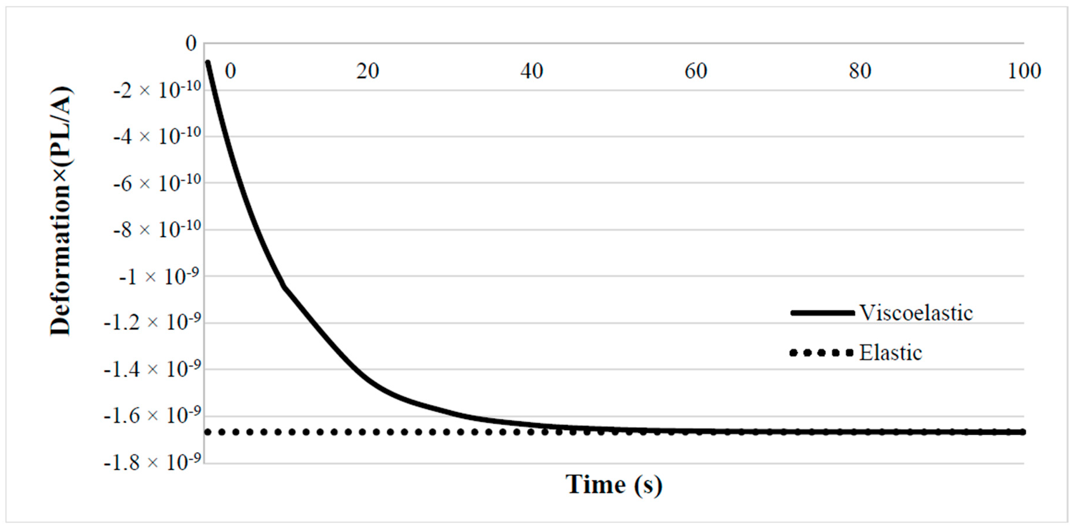
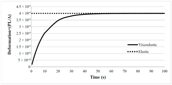
The viscoelastic deformations of the vertical and diagonal elements, numbered 11 and 13, are shown in Figure 11 and Figure 12, respectively. The figures accurately depict the system’s response.
Figure 11.
Elastic and viscoelastic deformation of element 11 under step loading.
Figure 12.
Elastic and viscoelastic deformation of element 13 under step loading.
Additionally, the results for the elastic deformations are presented in Figure 11 and Figure 12. As the viscosity coefficient (η) approaches zero, the dashpot becomes ineffective at resisting deformation, essentially behaving as if it is absent. In this case, the model reduces to a purely elastic spring, with only the spring contributing to the deformation. Under a constant load, the strain becomes instantaneous and exhibits no time dependence, thereby resembling elastic behavior, as demonstrated in Figure 11 and Figure 12. Thus, the performance of the proposed TPE functionals is validated by comparison with the elastic results.
The time-dependent horizontal displacement values at the roller support of the truss system are presented in Figure 13 for both elastic and viscoelastic cases. As illustrated in the figure, under certain conditions (such as the type of loading, the material model, and the ratio of viscous to elastic properties) viscoelastic materials can exhibit elastic-like behavior over long timescales, once the transient effects of viscosity have diminished or stabilized. However, viscoelastic materials are not purely elastic, as they may experience irreversible deformation and time-dependent changes in stiffness.
Figure 13.
Elastic and viscoelastic horizontal displacement history of node 7 under step loading.
Elastic and viscoelastic displacement values at the roller support of the Howe truss are presented in Table 1 for a few selected time points. The displacement values for the elastic material remain constant at every time step, as the elastic response does not change over time. In contrast, the response of the viscoelastic material changes over time (e.g., increasing displacement) due to its time-dependent behavior. Over long durations, the viscoelastic material response, though initially time-dependent, may stabilize and resemble the constant behavior characteristic of elastic materials.
Table 1.
Elastic and viscoelastic displacement values at the roller support under step loading.
The total potential energy functional (TPE) in the Laplace domain for the Howe truss, modeled using the Kelvin–Voigt rheological model, is expressed in matrix form (as ) in Equation (28). This formulation includes system parameters, material properties, and loading conditions.
The proposed method clearly facilitates the direct formulation of the energy functional, making it easily applicable regardless of variations in the viscoelastic material model, the number of system elements, or the type of loading. Additionally, the time-dependent horizontal and vertical displacement values at critical points of the Howe truss, obtained using the Kelvin–Voigt model, are presented in Table 2 for step loading.
Table 2.
Horizontal and vertical displacement values at nodes 8 and 10 under step loading.
3. Conclusions
In this study, a novel energy-based method is proposed for the analysis of viscoelastic trusses subjected to time-dependent loading. The approach is based on the total potential energy principle, which is used to determine the internal energies of each bar within the truss system. These internal energies are initially formulated in the Laplace domain, simplifying the problem. An inverse Laplace transform is then applied to obtain the time responses, which accurately capture time-dependent deformations.
The primary advantage of this method lies in its generality and flexibility. It can be applied to any type of viscoelastic material model, accommodating a broad spectrum of material behaviors. Moreover, the method is not restricted to specific types of time-dependent loading, making it highly adaptable to various real-world scenarios. It is also applicable to any truss system, regardless of its complexity or size.
A distinctive feature of the proposed method is its simplicity and practicality. The energies of the truss elements are expressed in terms of the displacements of the nodes at the junction points of the elements, with the actual displacements being those that minimize the total potential energy of the system. This criterion is straightforward and intuitive, eliminating the need for discretization or complex finite element models. As a result, the method simplifies the analysis process and reduces computational costs.
This energy-based approach does not rely on finite element analysis (FEA) or mesh generation, which can be computationally expensive and time-consuming, particularly for large-scale systems. Instead, it provides a more efficient alternative, making it a valuable tool for solving problems involving complex material behaviors and loading conditions. By determining the internal energies in the Laplace domain and applying the inverse Laplace transform, the method captures time-dependent deformations with high accuracy and efficiency, without the need for complex numerical methods. In conclusion, the proposed energy-based method offers a practical, flexible, and computationally efficient solution for the analysis of viscoelastic trusses under time-dependent loading. Its versatility makes it suitable for a wide range of applications in structural engineering.
To validate the accuracy and efficiency of the proposed method, numerical examples involving both statically indeterminate and statically determinate viscoelastic trusses are analyzed. Two distinct constitutive models, the Kelvin–Voigt model and the Standard Linear Solid (SLS) model, are employed to capture different rheological responses. The total potential energy functionals for each model are derived, and the resulting matrix equations are solved to obtain the Laplace transforms of nodal displacements. The inverse Laplace transform is then applied to compute the time-dependent displacements at critical points.
The results highlight significant differences in the creep behavior between the two viscoelastic models:
- The Kelvin–Voigt model exhibited delayed elasticity with no instantaneous strain under step loading, reflecting the influence of its parallel spring-dashpot configuration.
- In contrast, the Standard Linear Solid (SLS) model captured both instantaneous elastic strain and time-dependent deformation, demonstrating its ability to simulate more complex viscoelastic behavior.
- Both the Kelvin–Voigt and SLS models predict similar final responses, but the Kelvin–Voigt model reaches the steady-state displacement more quickly and smoothly, while the SLS model takes longer and has a more gradual approach.
- The SLS model may be more suitable for systems where slower damping effects are significant, while the Kelvin–Voigt model could be more appropriate when quicker stabilization is required.
For the statically indeterminate truss, the horizontal and vertical displacements under step and impulsive loads confirmed the accuracy of the method in predicting time-dependent structural responses. Similarly, the analysis of the statically determinate Howe truss subjected to vertical step-type loading provided valuable insights into the internal force distributions and deformations of viscoelastic members. Comparative results with purely elastic cases further validated the reliability of the TPE functionals.
Future research can expand upon this benchmark study by exploring the following directions:
- i.
- Extending the proposed method to three-dimensional truss systems and more complex geometries.
- ii.
- Integrating nonlinear viscoelastic material models to simulate more advanced rheological behaviors.
The findings of this study establish a solid foundation for the analysis of viscoelastic trusses, providing a versatile framework for future research and practical applications in structural engineering.
Funding
This research received no external funding.
Data Availability Statement
The original contributions presented in this study are included in the article. Further inquiries can be directed to the corresponding author.
Conflicts of Interest
The author declares no conflicts of interest.
References
- Schniewind, A.P. Recent progress in the study of the rheology of wood. Wood Sci. Technol. 1968, 2, 88–206. [Google Scholar] [CrossRef]
- Holzer, S.M.; Loferski, J.R.; Dillard, D.A. A review of creep in wood: Concepts relevant to develop long-term behavior predictions for wood structures. Wood Fiber Sci. 1989, 21, 376–392. [Google Scholar]
- Güntekin, E. Factors effecting creep in wood and wood composites. J. Fac. Suleyman Demirel Univ. 2003, 4, 87–102. [Google Scholar]
- Pürçek, G. Mechanical Tests Applied to Metallic Materials (Lecture Notes). 2014. Available online: https://avesis.ktu.edu.tr/purcek/dokumanlar (accessed on 5 September 2022).
- Gurtin, M.E.; Sternberg, E. On the linear theory of viscoelasticity. Arch. Ration. Mech. Anal. 1962, 11, 291–356. [Google Scholar] [CrossRef]
- Pipkin, A.C. Lectures on Viscoelasticity Theory; Applied Mathematical Sciences; Springer: New York, NY, USA, 1972; Volume 7. [Google Scholar]
- Flügge, W. Viscoelasticity, 2nd revised ed.; Springer: Berlin/Heidelberg, Germany, 1975. [Google Scholar]
- Findley, W.N.; Lai, J.S.; Onaran, K. Creep and Relaxation of Nonlinear Viscoelastic Materials; North-Holland: New York, NY, USA, 1976. [Google Scholar]
- Christensen, R.M. Theory of Viscoelasticity, 2nd ed.; Academic Press: New York, NY, USA, 1982. [Google Scholar]
- Reddy, J.N. An Introduction to Continuum Mechanics with Applications; Cambridge University Press: New York, NY, USA, 2008. [Google Scholar]
- Lakes, R.S. Viscoelastic Materials; Cambridge University Press: New York, NY, USA, 2009. [Google Scholar]
- Gutierrez-Lemini, D. Engineering Viscoelasticity; Springer: New York, NY, USA, 2014. [Google Scholar]
- Erkek, M.Y. Modeling, Analysis and Optimization of Stress-Relaxation Behavior of Rubber Products. Ph.D. Thesis, Graduate School of Natural and Applied Sciences, Bursa Uludağ University, Bursa, Turkey, 2018. [Google Scholar]
- Balkaya, C. Creep and Damage Analysis at Concrete. Ph.D. Thesis, Graduate School of Science Engineering and Technology, Istanbul Technical University, Istanbul, Turkey, 1997. [Google Scholar]
- Atabey, V. Stress Losses in Prestressed Structural Elements. 2024. Available online: https://volkanatabey.com.tr/ongerilmeli-yapi-elemanlarinda-gerilme-kayiplari/ (accessed on 26 September 2024).
- Yalçınkaya, Ç. Building Materials. 2020. Available online: https://www.caglaryalcinkaya.com/?pnum=17&pt=Ders+Notlar%C4%B1+%28Lecture+Notes%29 (accessed on 19 August 2024).
- Xu, Q.; Rahman, M.S. Finite element analysis of layered visco-elastic system under vertical circular loading. Int. J. Numer. Anal. Methods Geomech. 2008, 32, 897–913. [Google Scholar] [CrossRef]
- Carini, A.; De Donato, O. Fundamental solutions for linear viscoelastic continua. Int. J. Solids Struct. 1992, 29, 2989–3009. [Google Scholar] [CrossRef]
- Wang, Y.-J.; Crouch, S.L. Boundary element methods for viscoelastic media. In Proceedings of the 23rd U.S Symposium on Rock Mechanics, Berkeley, CA, USA, 25–27 August 1982; pp. 704–711. [Google Scholar]
- Wapner, P.G.; Forsman, W.C. Fourier transform method in linear viscoelastic analysis: The vibrating viscoelastic reed. Trans. Soc. Rheol. 1971, 15, 603–626. [Google Scholar] [CrossRef]
- Rizzo, F.J.; Shippy, D.J. An application of the correspondence principle of linear viscoelasticity theory. SIAM J. Appl. Math. 1971, 21, 321–330. [Google Scholar] [CrossRef]
- Golla, D.F.; Hughes, P.C. Dynamics of viscoelastic structures-a time-domain, finite element formulation. J. Appl. Mech. 1985, 52, 897–906. [Google Scholar] [CrossRef]
- McTavish, D.J.; Hughes, P.C. Modeling of linear viscoelastic space structures. J. Vib. Acoust. 1993, 115, 103–110. [Google Scholar] [CrossRef]
- Li, Y.; Zhang, W. Dynamic behaviors of a fractional order viscoelastic two-member truss. Appl. Mech. Mater. 2011, 90–93, 951–957. [Google Scholar] [CrossRef]
- Tang, M.Q.; Li, Y.P. Equilibrium paths of a fractional order viscoelastic two-member truss. Adv. Mater. Res. 2012, 11, 594–597. [Google Scholar] [CrossRef]
- Rabelo, J.M.G.; Becho, J.D.S.; Greco, M.; Junior, C.A.C. Modeling the creep behavior of GRFP truss structures with positional finite element method. Lat. Am. J. Solids Struct. 2018, 15, e17. [Google Scholar] [CrossRef]
- Ananthapadmanabhan, S.; Saravanan, U. numerical techniques for solving truss problems involving viscoelastic materials. Int. J. Non-Linear Mech. 2020, 122, 103479. [Google Scholar] [CrossRef]
- Brandta, D.C.; Muñoz-Rojasb, P.A. Transient analysis of trusses considering nonlinear elastic and viscoelastic material models. Lat. Am. J. Solids Struct. 2024, 21, e521. [Google Scholar] [CrossRef]
- Carniel, T.A.; Muñoz-Rojas, P.A.; Vaz, M., Jr. A viscoelastic viscoplastic constitutive model including mechanical degradation: Uniaxial transient finite element formulation at finite strains and application to space truss structures. Appl. Math. Model. 2014, 39, 1725–1739. [Google Scholar] [CrossRef]
Disclaimer/Publisher’s Note: The statements, opinions and data contained in all publications are solely those of the individual author(s) and contributor(s) and not of MDPI and/or the editor(s). MDPI and/or the editor(s) disclaim responsibility for any injury to people or property resulting from any ideas, methods, instructions or products referred to in the content. |
© 2025 by the author. Licensee MDPI, Basel, Switzerland. This article is an open access article distributed under the terms and conditions of the Creative Commons Attribution (CC BY) license (https://creativecommons.org/licenses/by/4.0/).












