Sign in to use this feature.

Years

Between: -

Subjects

remove_circle_outline
remove_circle_outline
remove_circle_outline
remove_circle_outline
remove_circle_outline
remove_circle_outline
remove_circle_outline

Journals

Article Types

Countries / Regions

Search Results (39)

Search Parameters:
Keywords = Karhunen–Loève Expansion

Order results
Result details
Results per page
Select all
Export citation of selected articles as:
20 pages, 5097 KB  
Article
A Robust Optimization Framework for Hydraulic Containment System Design Under Uncertain Hydraulic Conductivity Fields
by Wenfeng Gao, Yawei Kou, Hao Dong, Haoran Liu and Simin Jiang
Water 2025, 17(17), 2617; https://doi.org/10.3390/w17172617 - 4 Sep 2025
Viewed by 785
Abstract
Effective containment of contaminant plumes in heterogeneous aquifers is critically challenged by the inherent uncertainty in hydraulic conductivity (K). Conventional, deterministic optimization approaches for pump-and-treat (P&T) system design often fail when confronted with real-world geological variability. This study proposes a novel robust simulation-optimization [...] Read more.
Effective containment of contaminant plumes in heterogeneous aquifers is critically challenged by the inherent uncertainty in hydraulic conductivity (K). Conventional, deterministic optimization approaches for pump-and-treat (P&T) system design often fail when confronted with real-world geological variability. This study proposes a novel robust simulation-optimization framework to design reliable hydraulic containment systems that explicitly account for this subsurface uncertainty. The framework integrates the Karhunen–Loève Expansion (KLE) for efficient stochastic representation of heterogeneous K-fields with a Genetic Algorithm (GA) implemented via the pymoo library, coupled with the MODFLOW groundwater flow model for physics-based performance evaluation. The core innovation lies in a multi-scenario assessment process, where candidate well configurations (locations and pumping rates) are evaluated against an ensemble of K-field realizations generated by KLE. This approach shifts the design objective from optimality under a single scenario to robustness across a spectrum of plausible subsurface conditions. A structured three-step filtering method—based on mean performance, consistency (pass rate), and stability (low variability)—is employed to identify the most reliable solutions. The framework’s effectiveness is demonstrated through a numerical case study. Results confirm that deterministic designs are highly sensitive to the specific K-field realization. In contrast, the robust framework successfully identifies well configurations that maintain a high and stable containment performance across diverse K-field scenarios, effectively mitigating the risk of failure associated with single-scenario designs. Furthermore, the analysis reveals how varying degrees of aquifer heterogeneity influence both the required operational cost and the attainable level of robustness. This systematic approach provides decision-makers with a practical and reliable strategy for designing cost-effective P&T systems that are resilient to geological uncertainty, offering significant advantages over traditional methods for contaminated site remediation. Full article
(This article belongs to the Special Issue Groundwater Quality and Contamination at Regional Scales)
Show Figures

Figure 1

13 pages, 1454 KB  
Article
Karhunen–Loève Expansion Using a Parametric Model of Oscillating Covariance Function
by Vitaly Kober, Artyom Makovetskii and Sergei Voronin
Mathematics 2025, 13(16), 2569; https://doi.org/10.3390/math13162569 - 11 Aug 2025
Viewed by 659
Abstract
The Karhunen–Loève (KL) expansion decomposes a stochastic process into a set of orthogonal functions with random coefficients. The basic idea of the decomposition is to solve the Fredholm integral equation associated with the covariance kernel of the process. The KL expansion is a [...] Read more.
The Karhunen–Loève (KL) expansion decomposes a stochastic process into a set of orthogonal functions with random coefficients. The basic idea of the decomposition is to solve the Fredholm integral equation associated with the covariance kernel of the process. The KL expansion is a powerful mathematical tool used to represent stochastic processes in a compact and efficient way. It has wide applications in various fields including signal processing, image compression, and complex systems modeling. The KL expansion has high computational complexity, especially for large data sets, since there is no single unique transformation for all stochastic processes and there are no fast algorithms for computing eigenvalues and eigenfunctions. One way to solve this problem is to use parametric models for the covariance function. In this paper, an explicit analytical solution of the KL expansion for a parametric model of oscillating covariance function with a small number of parameters is proposed. This model approximates the covariance functions of real images very well. Computer simulation results using a real image are presented and discussed. Full article
Show Figures

Figure 1

28 pages, 7775 KB  
Article
Uncertainty Modeling of Fouling Thickness and Morphology on Compressor Blade
by Limin Gao, Panpan Tu, Guang Yang and Song Yang
Aerospace 2025, 12(6), 547; https://doi.org/10.3390/aerospace12060547 - 16 Jun 2025
Viewed by 400
Abstract
To describe the fouling characteristics of compressor blades, fouling is categorized into dense and loose layers to characterize thickness and rough structures. An uncertainty model for dense fouling layer thickness distribution is constructed using the numerical integration and the Karhunen–Loève (KL) expansion method, [...] Read more.
To describe the fouling characteristics of compressor blades, fouling is categorized into dense and loose layers to characterize thickness and rough structures. An uncertainty model for dense fouling layer thickness distribution is constructed using the numerical integration and the Karhunen–Loève (KL) expansion method, while the Fouling Longuet-Higgins (FLH) model is proposed to address the uncertainty of loose fouling layer roughness. The FLH model effectively simulates the morphology characteristics of actual blade fouling and elucidates how parameters influence fouling roughness, morphology, and randomness. Based on the uncertainty modeling method, models for dense fouling layer thickness and loose fouling layer morphology are constructed, followed by numerical calculations and aerodynamic performance uncertainty quantification. Results indicate a 75.8% probability of aerodynamic performance degradation due to a dense fouling layer and a 97.2% probability related to the morphology uncertainty of a loose fouling layer when the roughness is 50 μm. This underscores that a mere focus on roughness is inadequate for characterizing blade fouling, and a comprehensive evaluation must also incorporate the implications of rough structures on aerodynamic performance. Full article
(This article belongs to the Special Issue Advances in Thermal Fluid, Dynamics and Control)
Show Figures

Figure 1

25 pages, 1170 KB  
Article
Partially Functional Linear Regression Based on Gaussian Process Prior and Ensemble Learning
by Weice Sun, Jiaqi Xu and Tao Liu
Mathematics 2025, 13(5), 853; https://doi.org/10.3390/math13050853 - 4 Mar 2025
Viewed by 1275
Abstract
A novel partially functional linear regression model with random effects is proposed to address the case of Euclidean covariates and functional covariates. Specifically, the model assumes that the random effects follow a Gaussian process prior to establish the linkage structure between Euclidean covariates [...] Read more.
A novel partially functional linear regression model with random effects is proposed to address the case of Euclidean covariates and functional covariates. Specifically, the model assumes that the random effects follow a Gaussian process prior to establish the linkage structure between Euclidean covariates and scalar responses. For functional covariates, a linear relationship with scalar responses is assumed, and the functional covariates are approximated using the Karhunen–Loève expansion. To enhance the robustness of the predictive model, a cross-validation-based ensemble strategy is employed to optimize the proposed method. Results from both simulation studies and real-world data analyses demonstrate the superior performance and competitiveness of the proposed approach in terms of prediction accuracy and model stability. Full article
(This article belongs to the Special Issue Nonparametric Regression Models: Theory and Applications)
Show Figures

Figure 1

14 pages, 11425 KB  
Article
Reliability Analysis of Three-Dimensional Slopes Considering the Soil Spatial Variability Based on Particle Swarm Optimization Algorithm
by Xin Chen, Jiale Xu, Yukuai Wan, Rong Yang, Jiewen Sun and Di Wu
Appl. Sci. 2025, 15(5), 2652; https://doi.org/10.3390/app15052652 - 1 Mar 2025
Viewed by 1000
Abstract
This paper presents a new algorithm for assessing the reliability of three-dimensional (3D) slope stability considering the spatial variability of soil based on the Particle Swarm Optimization (PSO) algorithm. First, a 3D random field is generated using the Karhunen–Loève (K-L) expansion method. Then, [...] Read more.
This paper presents a new algorithm for assessing the reliability of three-dimensional (3D) slope stability considering the spatial variability of soil based on the Particle Swarm Optimization (PSO) algorithm. First, a 3D random field is generated using the Karhunen–Loève (K-L) expansion method. Then, the simplified Bishop method of limit equilibrium is coupled with the PSO algorithm to calculate safety factors of the slope. Finally, the failure probability of the slope is determined using the Monte Carlo Simulation method. After validating the rationality of the proposed method through a typical case study, this paper offers an in-depth examination of how soil spatial variability affects the stability of 3D slopes. It is observed that, given identical soil correlation lengths, slope geometric parameters, and failure surface widths, the failure probability is positively correlated with soil spatial variability parameters, while the mean safety factor demonstrates an inverse relationship with these variability parameters. Additionally, the failure probability tends to increase as the soil correlation lengths increase, and it also escalates with the expansion of the failure surface width. In contrast, the mean safety factor exhibits an upward trend with the augmentation of the horizontal correlation length, while it diminishes progressively as the vertical correlation length grows, and it also shows a decline with the widening of the failure surface width. The proposed algorithm significantly improves computational efficiency while ensuring accuracy, making it suitable for the reliability analysis of three-dimensional slopes. Full article
(This article belongs to the Special Issue Advances in Geotechnical and Geological Engineering)
Show Figures

Figure 1

29 pages, 481 KB  
Article
Reduced-Order Models and Conditional Expectation: Analysing Parametric Low-Order Approximations
by Hermann G. Matthies
Computation 2025, 13(2), 58; https://doi.org/10.3390/computation13020058 - 19 Feb 2025
Viewed by 509
Abstract
Systems may depend on parameters that can be controlled, serve to optimise the system, are imposed externally, or are uncertain. This last case is taken as the “Leitmotiv” for the following discussion.A reduced-order model is produced from the full-order model through some kind [...] Read more.
Systems may depend on parameters that can be controlled, serve to optimise the system, are imposed externally, or are uncertain. This last case is taken as the “Leitmotiv” for the following discussion.A reduced-order model is produced from the full-order model through some kind of projection onto a relatively low-dimensional manifold or subspace. The parameter-dependent reduction process produces a function mapping the parameters to the manifold.One now wants to examine the relation between the full and the reduced state for all possible parameter values of interest. Similarly, in the field of machine learning, a function mapping the parameter set to the image space of the machine learning model is learned from a training set of samples, typically minimising the mean square error. This set may be seen as a sample from some probability distribution, and thus the training is an approximate computation of the expectation, giving an approximation of the conditional expectation—a special case of Bayesian updating, where the Bayesian loss function is the mean square error. This offers the possibility of having a combined view of these methods and also of introducing more general loss functions. Full article
(This article belongs to the Special Issue Synergy between Multiphysics/Multiscale Modeling and Machine Learning)
25 pages, 4205 KB  
Article
Method of Dynamic Modeling and Robust Optimization for Chain Transmission Mechanism with Time-Varying Load Uncertainty
by Taisu Liu, Yuan Liu, Peitong Liu and Xiaofei Du
Machines 2025, 13(2), 166; https://doi.org/10.3390/machines13020166 - 19 Feb 2025
Viewed by 752
Abstract
Time-varying driving loads and uncertain structural parameters affect the transmission accuracy of chain transmission mechanisms. To enhance the transmission accuracy and placement consistency of these mechanisms, a robust optimization design method based on Karhunen–Loeve expansion and Polynomial Chaos Expansion (KL-PCE) is proposed. First, [...] Read more.
Time-varying driving loads and uncertain structural parameters affect the transmission accuracy of chain transmission mechanisms. To enhance the transmission accuracy and placement consistency of these mechanisms, a robust optimization design method based on Karhunen–Loeve expansion and Polynomial Chaos Expansion (KL-PCE) is proposed. First, a dynamic model of the chain transmission mechanism, considering multiple contact modes, is established, and the model’s accuracy is verified through experiments. Then, based on the KL-PCE method, a mapping relationship between uncertain input parameters and output responses is established. A robust optimization design model for the chain transmission process is formulated, with transmission accuracy and consistency as objectives. Finally, case studies are used to verify the effectiveness of the proposed method. Thus, the transmission accuracy of the chain transmission mechanism is improved, providing a theoretical foundation for the design of chain transmission mechanisms under time-varying load uncertainties and for improving the accuracy of other complex mechanisms. Full article
(This article belongs to the Special Issue Advancements in Mechanical Power Transmission and Its Elements)
Show Figures

Figure 1

19 pages, 4920 KB  
Article
Analytical and Computational Investigations of Stochastic Functional Integral Equations: Solution Existence and Euler–Karhunen–Loève Simulation
by Manochehr Kazemi, AliReza Yaghoobnia, Behrouz Parsa Moghaddam and Alexandra Galhano
Mathematics 2025, 13(3), 427; https://doi.org/10.3390/math13030427 - 27 Jan 2025
Viewed by 906
Abstract
This paper presents a comprehensive investigation into the solution existence of stochastic functional integral equations within real separable Banach spaces, emphasizing the establishment of sufficient conditions. Leveraging advanced mathematical tools including probability measures of noncompactness and Petryshyn’s fixed-point theorem adapted for stochastic processes, [...] Read more.
This paper presents a comprehensive investigation into the solution existence of stochastic functional integral equations within real separable Banach spaces, emphasizing the establishment of sufficient conditions. Leveraging advanced mathematical tools including probability measures of noncompactness and Petryshyn’s fixed-point theorem adapted for stochastic processes, a robust analytical framework is developed. Additionally, this paper introduces the Euler–Karhunen–Loève method, which utilizes the Karhunen–Loève expansion to represent stochastic processes, particularly suited for handling continuous-time processes with an infinite number of random variables. By conducting thorough analysis and computational simulations, which also involve implementing the Euler–Karhunen–Loève method, this paper effectively highlights the practical relevance of the proposed methodology. Two specific instances, namely, the Delay Cox–Ingersoll–Ross process and modified Black–Scholes with proportional delay model, are utilized as illustrative examples to underscore the effectiveness of this approach in tackling real-world challenges encountered in the realms of finance and stochastic dynamics. Full article
(This article belongs to the Section C1: Difference and Differential Equations)
Show Figures

Figure 1

20 pages, 2178 KB  
Article
Intrinsic Functional Partially Linear Poisson Regression Model for Count Data
by Jiaqi Xu, Yu Lu, Yuanshen Su, Tao Liu, Yunfei Qi and Wu Xie
Axioms 2024, 13(11), 795; https://doi.org/10.3390/axioms13110795 - 16 Nov 2024
Viewed by 1267
Abstract
Poisson regression is a statistical method specifically designed for analyzing count data. Considering the case where the functional and vector-valued covariates exhibit a linear relationship with the log-transformed Poisson mean, while the covariates in complex domains act as nonlinear random effects, an intrinsic [...] Read more.
Poisson regression is a statistical method specifically designed for analyzing count data. Considering the case where the functional and vector-valued covariates exhibit a linear relationship with the log-transformed Poisson mean, while the covariates in complex domains act as nonlinear random effects, an intrinsic functional partially linear Poisson regression model is proposed. This model flexibly integrates predictors from different spaces, including functional covariates, vector-valued covariates, and other non-Euclidean covariates taking values in complex domains. A truncation scheme is applied to approximate the functional covariates, and the random effects related to non-Euclidean covariates are modeled based on the reproducing kernel method. A quasi-Newton iterative algorithm is employed to optimize the parameters of the proposed model. Furthermore, to capture the intrinsic geometric structure of the covariates in complex domains, the heat kernel is employed as the kernel function, estimated via Brownian motion simulations. Both simulation studies and real data analysis demonstrate that the proposed method offers significant advantages over the classical Poisson regression model. Full article
(This article belongs to the Special Issue Computational Statistics and Its Applications)
Show Figures

Figure 1

11 pages, 3681 KB  
Article
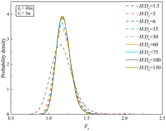
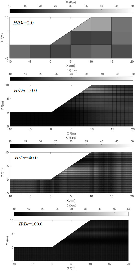
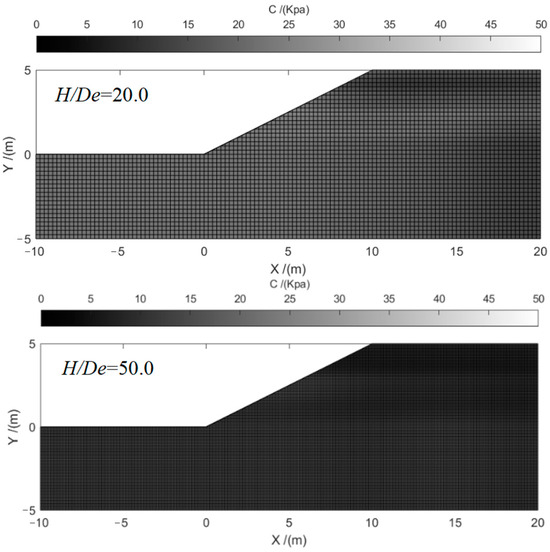
Investigating the Impact of Random Field Element Size on Soil Slope Reliability Analysis
by Jiewen Sun, Hong Guan, Boyan Sun and Yukuai Wan
Appl. Sci. 2024, 14(20), 9237; https://doi.org/10.3390/app14209237 - 11 Oct 2024
Viewed by 1094
Abstract
The determination of the optimal random field element (RFE) size is crucial in soil slope reliability analysis as it governs the trade-off between precision in failure probability calculations and computational efficiency. Given the substantial computational burden associated with smaller RFE sizes, studies on [...] Read more.
The determination of the optimal random field element (RFE) size is crucial in soil slope reliability analysis as it governs the trade-off between precision in failure probability calculations and computational efficiency. Given the substantial computational burden associated with smaller RFE sizes, studies on their impact on slope failure probability are scarce. This research examines the influence of RFE size on failure probability and safety factor, employing the Karhunen–Loève expansion to generate random fields and integrating the simplified Bishop method with particle swarm optimization (PSO) to assess slope stability. Through Monte Carlo Simulation (MCS), this study investigates the effects of the ratio of slope height to RFE size (H/De) on slope reliability metrics across two illustrative cases. Results reveal a notable influence of H/De on the distribution of safety factors (Fs) and failure probability (PF), with overestimation observed at smaller H/De ratios. When H/De exceeds 10 for Example 1 and 15 for Example 2, the Fs distribution patterns in both scenarios stabilize significantly, displaying minimal variability. The PF of Example 1 and Example 2 decreases with the increase of H/De and remains basically unchanged when H/De exceeds 10 and 15, respectively. Consequently, a recommended H/De ratio of 20 is proposed based on the analyzed cases, facilitating accurate calculations while mitigating computational overhead. Full article
Show Figures

Figure 1

22 pages, 4062 KB  
Article
A Distributed Non-Intrusive Load Monitoring Method Using Karhunen–Loeve Feature Extraction and an Improved Deep Dictionary
by Siqi Liu, Zhiyuan Xie and Zhengwei Hu
Electronics 2024, 13(19), 3970; https://doi.org/10.3390/electronics13193970 - 9 Oct 2024
Cited by 2 | Viewed by 1367
Abstract
In recent years, the non-invasive load monitoring (NILM) method based on sparse coding has shown promising research prospects. This type of method learns a sparse dictionary for each monitoring target device, and it expresses load decomposition as a problem of signal reconstruction using [...] Read more.
In recent years, the non-invasive load monitoring (NILM) method based on sparse coding has shown promising research prospects. This type of method learns a sparse dictionary for each monitoring target device, and it expresses load decomposition as a problem of signal reconstruction using dictionaries and sparse vectors. The existing NILM methods based on sparse coding have problems such as inability to be applied to multi-state and time-varying devices, single-load characteristics, and poor recognition ability for similar devices in distributed manners. Using the analysis above, this paper focuses on devices with similar features in households and proposes a distributed non-invasive load monitoring method using Karhunen–Loeve (KL) feature extraction and an improved deep dictionary. Firstly, Karhunen–Loeve expansion (KLE) is used to perform subspace expansion on the power waveform of the target device, and a new load feature is extracted by combining singular value decomposition (SVD) dimensionality reduction. Afterwards, the states of all the target devices are modeled as super states, and an improved deep dictionary based on the distance separability measure function (DSM-DDL) is learned for each super state. Among them, the state transition probability matrix and observation probability matrix in the hidden Markov model (HMM) are introduced as the basis for selecting the dictionary order during load decomposition. The KL feature matrix of power observation values and improved depth dictionary are used to discriminate the current super state based on the minimum reconstruction error criterion. The test results based on the UK-DALE dataset show that the KL feature matrix can effectively reduce the load similarity of devices. Combined with DSM-DDL, KL has a certain information acquisition ability and acceptable computational complexity, which can effectively improve the load decomposition accuracy of similar devices, quickly and accurately estimating the working status and power demand of household appliances. Full article
(This article belongs to the Special Issue New Advances in Distributed Computing and Its Applications)
Show Figures

Figure 1

25 pages, 7836 KB  
Article
Efficient Numerical Implementation of the Time-Fractional Stochastic Stokes–Darcy Model
by Zharasbek Baishemirov, Abdumauvlen Berdyshev, Dossan Baigereyev and Kulzhamila Boranbek
Fractal Fract. 2024, 8(8), 476; https://doi.org/10.3390/fractalfract8080476 - 14 Aug 2024
Cited by 2 | Viewed by 1204
Abstract
This paper presents an efficient numerical method for the fractional-order generalization of the stochastic Stokes–Darcy model, which finds application in various engineering, biomedical and environmental problems involving interaction between free fluid flow and flows in porous media. Unlike the classical model, this model [...] Read more.
This paper presents an efficient numerical method for the fractional-order generalization of the stochastic Stokes–Darcy model, which finds application in various engineering, biomedical and environmental problems involving interaction between free fluid flow and flows in porous media. Unlike the classical model, this model allows taking into account the hereditary properties of the process under uncertainty conditions. The proposed numerical method is based on the combined use of the sparse grid stochastic collocation method, finite element/finite difference discretization, a fast numerical algorithm for computing the Caputo fractional derivative, and a cost-effective ensemble strategy. The hydraulic conductivity tensor is assumed to be uncertain in this problem, which is modeled by the reduced Karhunen–Loève expansion. The stability and convergence of the deterministic numerical method have been rigorously proved and validated by numerical tests. Utilizing the ensemble strategy allowed us to solve the deterministic problem once for all samples of the hydraulic conductivity tensor, rather than solving it separately for each sample. The use of the algorithm for computing the fractional derivatives significantly reduced both computational cost and memory usage. This study also analyzes the influence of fractional derivatives on the fluid flow process within the fractional-order Stokes–Darcy model under uncertainty conditions. Full article
(This article belongs to the Section Numerical and Computational Methods)
Show Figures

Figure 1

23 pages, 361 KB  
Article
A Discrete Cramér–Von Mises Statistic Related to Hahn Polynomials with Application to Goodness-of-Fit Testing for Hypergeometric Distributions
by Jean-Renaud Pycke
Axioms 2024, 13(6), 369; https://doi.org/10.3390/axioms13060369 - 30 May 2024
Viewed by 858
Abstract
We give the Karhunen–Loève expansion of the covariance function of a family of discrete weighted Brownian bridges, appearing as discrete analogues of continuous Gaussian processes related to Cramér –von Mises and Anderson–Darling statistics. This analogy enables us to introduce a discrete Cramér–von Mises [...] Read more.
We give the Karhunen–Loève expansion of the covariance function of a family of discrete weighted Brownian bridges, appearing as discrete analogues of continuous Gaussian processes related to Cramér –von Mises and Anderson–Darling statistics. This analogy enables us to introduce a discrete Cramér–von Mises statistic and show that this statistic satisfies a property of local asymptotic Bahadur optimality for a statistical test involving the classical hypergeometric distributions. Our statistic and the goodness-of-fit problem we deal with are based on basic properties of Hahn polynomials and are, therefore, subject to some extension to all families of classical orthogonal polynomials, as well as their q-analogues. Due probably to computational difficulties, the family of discrete Cramér–von Mises statistics has received less attention than its continuous counterpart—the aim of this article is to bridge part of this gap. Full article
(This article belongs to the Special Issue New Trends in Discrete Probability and Statistics)
15 pages, 3299 KB  
Article
High-Resolution Estimation of Soil Saturated Hydraulic Conductivity via Upscaling and Karhunen–Loève Expansion within DREAM(ZS)
by Yang Xia and Na Li
Appl. Sci. 2024, 14(11), 4521; https://doi.org/10.3390/app14114521 - 24 May 2024
Cited by 1 | Viewed by 1270
Abstract
Quantification of the soil hydraulic conductivity is key to the study of water flow and solute transport in unsaturated soils. Rapid advances in measurement technology have provided a large number of observations at different scales, offering unprecedented opportunities and challenges for the estimation [...] Read more.
Quantification of the soil hydraulic conductivity is key to the study of water flow and solute transport in unsaturated soils. Rapid advances in measurement technology have provided a large number of observations at different scales, offering unprecedented opportunities and challenges for the estimation of hydraulic parameters. This paper proposes an inverse estimation method for downscaling of observations on coarse scales to estimate hydraulic parameters on high-resolution scales. Due to the significant spatial heterogeneity, the inversion faces the problems of dynamics-based integration of data at different scales, model uncertainty due to hundreds and thousands of parameters, and computational consumption due to the large number of forward simulations. To overcome these problems, this paper uses an efficient Bayesian optimization DREAM(ZS) as an inverse framework, and incorporates an analytical upscaling method and Karhunen–Loève (KL) expansion to infer finer-scale saturated hydraulic conductivity distribution conditioned on coarse-scale measurements. The efficient upscaling method is used to link measurements and hydraulic parameters at different scales, and Karhunen–Loève (KL) expansion is incorporated to greatly reduce the dimension of the parameter to be estimated. To further improve the efficiency of the inversion, a locally one-dimensional (LOD) algorithm is used to solve the multidimensional water flow model at coarse scales. The proposed inverse model is applied in a series of numerical experiments to demonstrate its applicability and effectiveness under different flow boundary conditions, different levels of ratio between coarse- and fine-scale grids, different densities of observation points, and different degrees of statistic heterogeneity of soil mediums. Full article
Show Figures

Figure 1

29 pages, 8036 KB  
Article
Random Responses of Shield Tunnel to New Tunnel Undercrossing Considering Spatial Variability of Soil Elastic Modulus
by Xiaolu Gan, Nianwu Liu, Adam Bezuijen and Xiaonan Gong
Appl. Sci. 2024, 14(9), 3949; https://doi.org/10.3390/app14093949 - 6 May 2024
Cited by 4 | Viewed by 1593
Abstract
This paper investigates the effect of spatial variability of soil elastic modulus on the longitudinal responses of the existing shield tunnel to the new tunnel undercrossing using a random two-stage analysis method (RTSAM). The Timoshenko–Winkler-based deterministic method considering longitudinal variation in the subgrade [...] Read more.
This paper investigates the effect of spatial variability of soil elastic modulus on the longitudinal responses of the existing shield tunnel to the new tunnel undercrossing using a random two-stage analysis method (RTSAM). The Timoshenko–Winkler-based deterministic method considering longitudinal variation in the subgrade reaction coefficient and the random field of the soil elastic modulus discretized by the Karhunen–Loeve expansion method are combined to establish the RTSAM. Then, the proposed RTSAM is applied to carry out a random analysis based on an actual engineering case. Results show that the increases in the scale of fluctuation and the coefficient of variation of the soil elastic modulus lead to higher variabilities of tunnel responses. A decreasing pillar depth and mean value of the soil elastic modulus and an increasing skew angle strengthen the effect of the spatial variability of the soil elastic modulus on tunnel responses. The variabilities of tunnel responses under the random field of the soil elastic modulus are overestimated by the Euler–Bernoulli beam model. The results of this study provide references for the uncertainty analysis of the new tunneling-induced responses of the existing tunnel under the random field of soil properties. Full article
(This article belongs to the Section Civil Engineering)
Show Figures

Figure 1

Back to TopTop