Investigating the Impact of Random Field Element Size on Soil Slope Reliability Analysis
Abstract
1. Introduction
2. Methods
2.1. Karhunen–Loève (KL) Method
2.2. Bishop’s Method
2.3. Estimation of Failure Probability of Slope
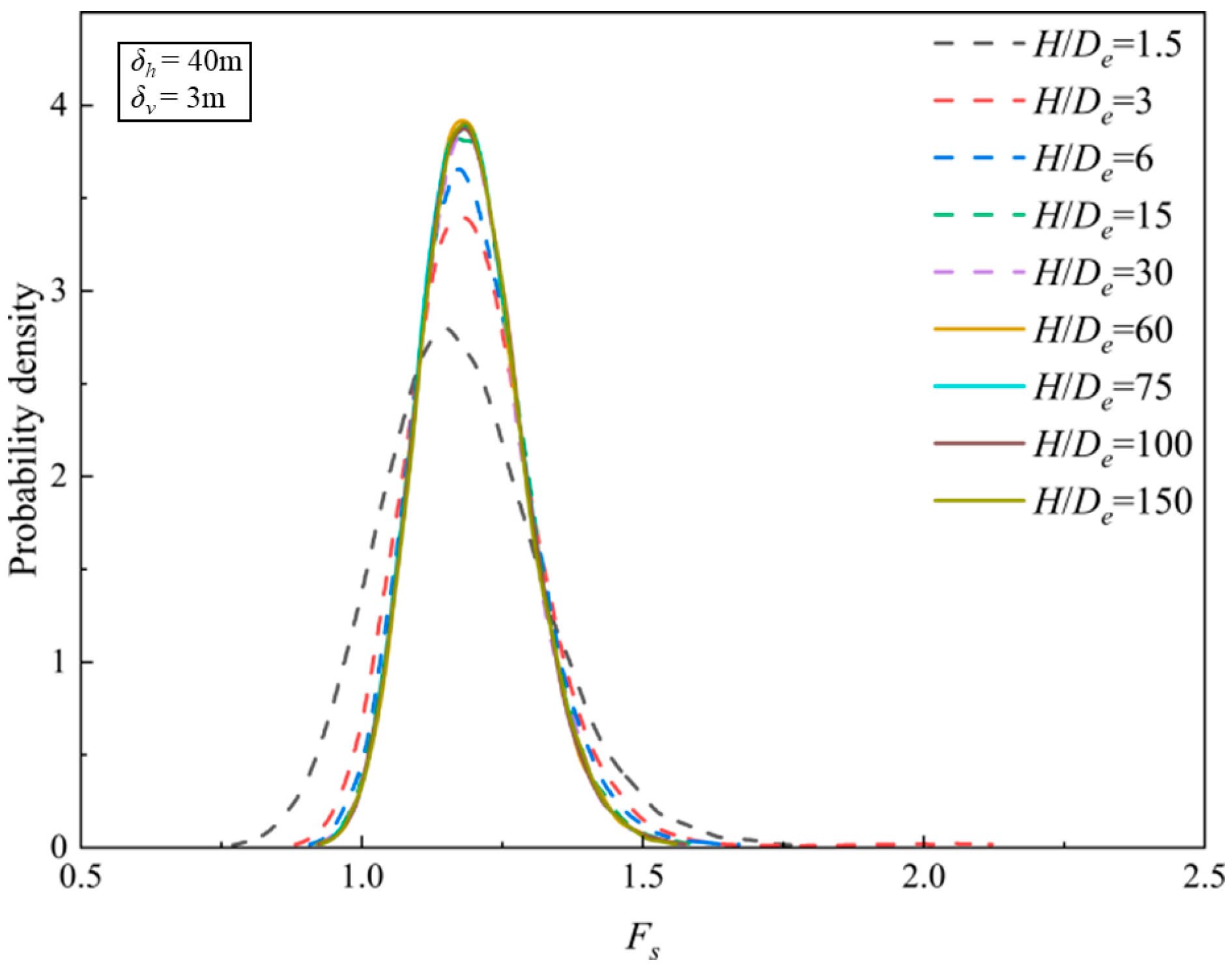
3. Results and Discussion
4. Conclusions
Author Contributions
Funding
Institutional Review Board Statement
Informed Consent Statement
Data Availability Statement
Conflicts of Interest
References
- Kasama, K.; Furukawa, Z.; Hu, L. Practical reliability analysis for earthquake-induced 3D landslide using stochastic response surface method. Comput. Geotech. 2021, 137, 104303. [Google Scholar] [CrossRef]
- Wei, W.; Tang, H.; Song, X.; Ye, X. 3D slope stability analysis considering strength anisotropy by a micro-structure tensor enhanced elasto-plastic finite element method. J. Rock. Mech. Geotech. 2024, in press. [Google Scholar] [CrossRef]
- Sheng, T.; Li, T.; Liu, X.; Qi, H. A Partitioned Rigid-Element and Interface-Element Method for Rock-Slope-Stability Analysis. Appl. Sci. 2023, 13, 7301. [Google Scholar] [CrossRef]
- Ke, L.; Gao, Y.; Fei, K.; Gu, Y.; Ji, J. Determination of depth-dependent undrained shear strength of structured marine clays based on large deformation finite element analysis of T-bar penetrations. Comput. Geotech. 2024, 176, 106758. [Google Scholar] [CrossRef]
- Li, D.; Jia, W.; Zhao, L.; Cheng, X.; Zhang, Y.; Fu, H.; Ye, B.; Zheng, L. Upper-bound limit analysis of rock slope stability with tensile strength cutoff based on the optimization strategy of dividing the tension zone and shear zone. Int. J. Geomech. 2022, 22, 6022006. [Google Scholar] [CrossRef]
- Zhang, H.; Li, C.; Chen, W.; Xie, N.; Wang, G.; Yao, W.; Jiang, X.; Long, J. Upper-bound limit analysis of the multi-layer slope stability and failure mode based on generalized horizontal slice method. J. Earth Sci. 2024, 35, 929–940. [Google Scholar] [CrossRef]
- Dai, G.; Gao, Y.; Zhang, F.; Shu, S. Stability of layered soil slope with tension crack: A closed-form solution. Can. Geotech. J. 2023, 61, 328–343. [Google Scholar] [CrossRef]
- Ouyang, W.; Liu, S.; Yang, Y. An improved morgenstern-price method using gaussian quadrature. Comput. Geotech. 2022, 148, 104754. [Google Scholar] [CrossRef]
- Zhang, F.; Ge, B.; Leshchinsky, D.; Shu, S.; Gao, Y. Effects of multitiered configuration on the internal stability of GRS walls. J. Geotech. Geoenviron. Eng. 2023, 149, 4023122. [Google Scholar] [CrossRef]
- Vanneschi, C.; Eyre, M.; Burda, J.; Zizka, L.; Francioni, M.; Coggan, J.S. Investigation of landslide failure mechanisms adjacent to lignite mining operations in North Bohemia (Czech Republic) through a limit equilibrium/finite element modelling approach. Geomorphology 2018, 320, 142–153. [Google Scholar] [CrossRef]
- Kalantari, A.R.; Johari, A.; Zandpour, M.; Kalantari, M. Effect of spatial variability of soil properties and geostatistical conditional simulation on reliability characteristics and critical slip surfaces of soil slopes. Transp. Geotech. 2023, 39, 100933. [Google Scholar] [CrossRef]
- Savvides, A.; Papadrakakis, M. Uncertainty quantification of failure of shallow foundation on clayey soils with a modified cam-clay yield criterion and stochastic fem. Geotechnics 2022, 2, 348–384. [Google Scholar] [CrossRef]
- Savvides, A.A.; Papadrakakis, M. A computational study on the uncertainty quantification of failure of clays with a modified Cam-Clay yield criterion. SN Appl. Sci. 2021, 3, 659. [Google Scholar] [CrossRef]
- Cho, S.E. Probabilistic Assessment of Slope Stability That Considers the Spatial Variability of Soil Properties. J. Geotech. Geoenviron. Eng. 2010, 136, 975–984. [Google Scholar] [CrossRef]
- Wang, Y.; Shao, L.; Wan, Y.; Chen, H. Reliability analysis of three-dimensional reinforced slope considering the spatial variability in soil parameters. Stoch. Environ. Res. Risk Assess. 2024, 38, 1583–1596. [Google Scholar] [CrossRef]
- Wan, Y.; Gao, X.; Wu, D.; Zhu, L.; Glade, T.; Murty, T.S. Reliability of spatially variable soil slope based on nonlinear failure criterion. Nat. Hazards 2023, 117, 1179–1189. [Google Scholar] [CrossRef]
- Dong-Ping, D.; Liang, L.; Lian-Heng, Z. Limit-Equilibrium Method for Reinforced Slope Stability and Optimum Design of Antislide Micropile Parameters. Int. J. Geomech. 2017, 17, 6016011–6016019. [Google Scholar] [CrossRef]
- Javankhoshdel, S.; Cami, B.; Chenari, R.J.; Dastpak, P. Probabilistic analysis of slopes with linearly increasing undrained shear strength using RLEM approach. Transp. Infrastruct. Geotechnol. 2021, 8, 114–141. [Google Scholar] [CrossRef]
- Wang, Y.; Shao, L.; Jiang, R.Y.X.W. Three-dimensional reliability stability analysis of earth-rock dam slopes reinforced with permeable polymer. Probabilist Eng. Mech. 2023, 74, 1. [Google Scholar] [CrossRef]
- Liu, L.; Deng, Z.; Zhang, S.; Cheng, Y. Simplified framework for system reliability analysis of slopes in spatially variable soils. Eng. Geol. 2018, 239, 330–343. [Google Scholar] [CrossRef]
- Wan, Y.; Xu, R.; Yang, R.; Zhu, L. Application of the improved particle swarm optimization method in slope probability analysis. Mar. Georesour Geotec. 2023, 42, 1531–1541. [Google Scholar] [CrossRef]
- Cheng, Y.M.; Li, L.; Chi, S.; Wei, W.B. Particle swarm optimization algorithm for the location of the critical non-circular failure surface in two-dimensional slope stability analysis. Comput. Geotech. 2007, 34, 92–103. [Google Scholar] [CrossRef]
- Zou, J.; Chen, H.; Jiang, Y.; Zhang, W.; Liu, A. An effective method for real-time estimation of slope stability with numerical back analysis based on particle swarm optimization. Appl. Rheol. 2023, 33, 20220143. [Google Scholar] [CrossRef]
- Himanshu, N.; Burman, A. Determination of critical failure surface of slopes using particle swarm optimization technique considering seepage and seismic loading. Geotech. Geol. Eng. 2019, 37, 1261–1281. [Google Scholar] [CrossRef]
- Shinoda, M.; Miyata, Y. PSO-based stability analysis of unreinforced and reinforced soil slopes using non-circular slip surface. Acta Geotech. 2018, 14, 907–919. [Google Scholar] [CrossRef]
- Yang, Z.; Nie, J.; Peng, X.; Tang, D.; Li, X. Effect of random field element size on reliability and risk assessment of soil slopes. B Eng. Geol. Environ. 2021, 80, 7423–7439. [Google Scholar] [CrossRef]
- Spencer, E. A method of analysis of the stability of embankments assuming parallel inter-slice forces. Geotechnique 1967, 17, 11–26. [Google Scholar] [CrossRef]










| Examples | μc/(kPa) | COVc | γ/(kN/m3) | μφ | COVφ |
|---|---|---|---|---|---|
| Example 1 | 23 | 0.3 | 20 | 0 | 0.0 |
| Example 2 | 10 | 0.3 | 20 | 30 | 0.2 |
Disclaimer/Publisher’s Note: The statements, opinions and data contained in all publications are solely those of the individual author(s) and contributor(s) and not of MDPI and/or the editor(s). MDPI and/or the editor(s) disclaim responsibility for any injury to people or property resulting from any ideas, methods, instructions or products referred to in the content. |
© 2024 by the authors. Licensee MDPI, Basel, Switzerland. This article is an open access article distributed under the terms and conditions of the Creative Commons Attribution (CC BY) license (https://creativecommons.org/licenses/by/4.0/).
Share and Cite
Sun, J.; Guan, H.; Sun, B.; Wan, Y. Investigating the Impact of Random Field Element Size on Soil Slope Reliability Analysis. Appl. Sci. 2024, 14, 9237. https://doi.org/10.3390/app14209237
Sun J, Guan H, Sun B, Wan Y. Investigating the Impact of Random Field Element Size on Soil Slope Reliability Analysis. Applied Sciences. 2024; 14(20):9237. https://doi.org/10.3390/app14209237
Chicago/Turabian StyleSun, Jiewen, Hong Guan, Boyan Sun, and Yukuai Wan. 2024. "Investigating the Impact of Random Field Element Size on Soil Slope Reliability Analysis" Applied Sciences 14, no. 20: 9237. https://doi.org/10.3390/app14209237
APA StyleSun, J., Guan, H., Sun, B., & Wan, Y. (2024). Investigating the Impact of Random Field Element Size on Soil Slope Reliability Analysis. Applied Sciences, 14(20), 9237. https://doi.org/10.3390/app14209237

