Random Responses of Shield Tunnel to New Tunnel Undercrossing Considering Spatial Variability of Soil Elastic Modulus
Abstract
1. Introduction
2. Deterministic Analysis Method
2.1. Greenfield Soil Settlement Caused by New Tunneling
2.2. Soil–Existing Tunnel Interaction
2.3. Equivalent Longitudinal Flexural Stiffness and Shearing Stiffness
2.4. Verification
3. Establishment of RTSAM
3.1. Random Field of Soil Elastic Modulus
3.2. Calculation Procedure of RTSAM
4. Random Analysis
- (1)
- normalized maximum tunnel settlement wm = wmax/Umax, where wmax and Umax are the maximum tunnel settlement and greenfield soil settlement, respectively;
- (2)
- normalized maximum bending moment Mm = MmaxD2/((EI)eqUmax), where Mmax is the maximum bending moment of the existing tunnel;
- (3)
- normalized maximum shear force Qm = QmaxD/((κGA)eqUmax), where Qmax is the maximum shear force of the existing tunnel.
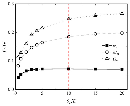
4.1. Effect of SOF θE
4.2. Effect of Coefficient of Variation COVE
4.3. Effect of Mean Value μE
4.4. Effect of Pillar Depth P
4.5. Effect of Skew Angle a
4.6. Effect of Modified Factor ξ
5. Conclusions
- (1)
- The spatial variability of the soil elastic modulus induces apparent variabilities of the longitudinal tunnel responses caused by new tunneling and may cause asymmetric tunnel responses. With the increase in θE, the mean values of the normalized maximum tunnel responses (wm, Mm and Qm) slightly decrease, but the COVs of wm, Mm, and Qm increase significantly. The variations in θE within 10D lead to a strong effect in the variation in the COVs of wm, Mm, and Qm. However, the effect of variations in θE becomes limited when θE is larger than 10D. The increasing θE causes higher probabilities of the occurrence of large wm, Mm, and Qm.
- (2)
- The increase in COVE barely affects the mean values of wm, Mm, and Qm, but it significantly increases the COVs of wm, Mm, and Qm. The larger the θE, the more obvious the effect of variations in COVE on the COVs of wm, Mm, and Qm. Furthermore, the reductions in the pillar depth and the mean value of the soil elastic modulus and the increase in the skew angle lead to larger COVs of wm, Mm, and Qm, i.e., they amplify the effect of spatial variability of the soil elastic modulus on tunnel responses.
- (3)
- There is a reduction in the mean values of wm and Qm and an increase in the mean values of Mm due to the increase in the equivalent shear stiffness of the existing tunnel. Higher variabilities in wm, Mm, and Qm are observed when the equivalent shearing stiffness increases, and the variation in COVs of wm, Mm, and Qm can be fitted well by the hyperbolic equation. The Euler–Bernoulli beam model overestimates the variabilities of the tunnel responses caused by spatial variability of the soil elastic modulus.
Author Contributions
Funding
Institutional Review Board Statement
Informed Consent Statement
Data Availability Statement
Conflicts of Interest
Abbreviations
| D | Diameter of new tunnel | nb | Number of longitudinal steel bolt |
| R | Radius of new tunnel | Ec | Elastic modulus of shield segment |
| De | Diameter of existing tunnel | Eb | Elastic modulus of steel bolt |
| H | Buried depth of new tunnel | Ac | Cross-section area of shield segment |
| Z | Buried depth of existing tunnel | Ab | Cross-section area of steel bolt |
| a | Skew angle between new and existing tunnel | ξ | Modified factor of equivalent shear stiffness |
| VL | Volume loss induced by new tunneling | κc | Shear coefficient of shield segment |
| U | Greenfield soil settlement | κb | Shear coefficient of bolt |
| Umax | Maximum greenfield soil settlement | Gc | Shear modulus of shield segment |
| k | Subgrade reaction coefficient | Gb | Shear modulus of steel bolt |
| ν | Poisson’s ratio of soil | μE | Mean value of soil elastic modulus |
| Es | Soil elastic modulus | σE | Standard deviation of soil elastic modulus |
| ρ | Depth parameter | θE | Scale of fluctuation of soil elastic modulus |
| (EI)eq | Equivalent longitudinal flexural stiffness of existing tunnel | COVE | Coefficient of variation of soil elastic modulus |
| (κGA)eq | Equivalent longitudinal shearing stiffness of existing tunnel | GE | Lognormal random field of soil elastic modulus |
| M | Bending moment of existing tunnel | G | Correlated standard normal random field of soil elastic modulus |
| Q | Shear force of existing tunnel | μlnE | Mean value of correlated standard normal random field |
| w | Settlement of existing tunnel | σlnE | Standard deviation of correlated standard normal random field |
| θ | Shear angle of existing tunnel | ρk | Autocorrelation function |
| wmax | Maximum tunnel settlement | ξi | Independent standard normal distribution random variable |
| Mmax | Maximum tunnel bending moment | λi | Eigenvalues of autocorrelation function |
| Qmax | Maximum tunnel shear force | φi | Eigenfunctions of autocorrelation function |
| wm | Normalized maximum tunnel settlement | Mk | Number of truncation term of K-L expansion |
| Mm | Normalized maximum tunnel bending moment | εr | Truncation error |
| Qm | Normalized maximum tunnel shear force | Ma | Total number of discretized nodes in random field |
| w | Vector of tunnel settlement | εa | Allowable truncation error |
| K1, K2, K3, K4, K5 | Stiffness matrices | COVn | Coefficient of variation of normalized maximum tunnel response |
| f1, f2, f3, f4, f5 | Loading vector for greenfield soil settlement | ah, bh | Coefficients of hyperbolic equation |
| ls | Length of shield segment | ||
| lb | Length of longitudinal steel bolt | ||
| λ | Influencing factor for circumferential joint | ||
| ψ | Neutral axis angle | ||
| I | Moment of inertia of tunnel cross-section |
Appendix A. Vectors and Matrices of Equation (27)
References
- Cooper, M.L.; Chapman, D.N.; Rogers, C.D.F.; Chan, A.H.C. Movements in the piccadilly Line tunnels due to the heathrow express construction. Geotechnique 2002, 52, 243–257. [Google Scholar] [CrossRef]
- Chen, R.P.; Lin, X.T.; Kang, X.; Zhong, Z.Q.; Liu, Y.; Zhang, P.; Wu, H.N. Deformation and stress characteristics of existing twin tunnels induced by close-distance EPBS under-crossing. Tunn. Undergr. Space Technol. 2018, 82, 468–481. [Google Scholar] [CrossRef]
- Gan, X.L.; Yu, J.L.; Gong, X.N.; Zhu, M. Characteristics and Countermeasures of Tunnel Heave due to Large-Diameter Shield Tunneling Underneath. J. Perform. Constr. Facil. 2020, 34, 04019081. [Google Scholar] [CrossRef]
- Jin, D.L.; Yuan, D.J.; Li, X.; Zheng, H. An in-tunnel grouting protection method for excavating twin tunnels beneath an existing tunnel. Tunn. Undergr. Space Technol. 2018, 71, 27–35. [Google Scholar] [CrossRef]
- Gan, X.L.; Yu, J.L.; Gong, X.N.; Liu, N.W.; Zheng, D.Z. Behaviours of existing shield tunnels due to tunnelling underneath considering asymmetric ground settlements. Undergr. Space 2022, 7, 882–897. [Google Scholar] [CrossRef]
- Chakeri, H.; Hasanpour, R.; Hindistan, M.A. Bahtiyar ünver, Analysis of interaction between tunnels in soft ground by 3D numerical modeling. Bull. Eng. Geol. Environ. 2011, 70, 439–448. [Google Scholar] [CrossRef]
- Avgerinos, V.; Potts, D.M.; Standing, J.R. Numerical investigation of the effects of tunnelling on existing tunnels. Géotechnique 2017, 67, 808–822. [Google Scholar] [CrossRef]
- Chen, F.Y.; Wang, L.; Zhang, W.G. Reliability assessment on stability of tunnelling perpendicularly beneath an existing tunnel considering spatial variabilities of rock mass properties. Tunn. Undergr. Space Technol. 2019, 88, 276–289. [Google Scholar] [CrossRef]
- Huang, M.S.; Chen, Z.R.; Li, Z. A simplified analysis method for the influence of tunneling on grouped piles. Tunn. Undergr. Space Technol. 2009, 24, 410–422. [Google Scholar] [CrossRef]
- Liang, R.Z.; Xia, T.D.; Huang, M.S.; Lin, C.G. Simplified analytical method for evaluating the effects of adjacent excavation on shield tunnel considering the shearing effect. Comput. Geotech. 2017, 81, 167–187. [Google Scholar] [CrossRef]
- Liang, R.Z.; Kang, C.; Xiang, L.M.; Li, Z.C.; Lin, C.G.; Gao, K.; Guo, Y. Responses of in-service shield tunnel to overcrossing tunnelling in soft ground. Environ. Earth. Sci. 2021, 80, 183. [Google Scholar] [CrossRef]
- Ding, Z.; Zhang, M.B.; Zhang, X.; Wei, X.J. Theoretical analysis on the deformation of existing tunnel caused by under-crossing of large-diameter slurry shield considering construction factors. Tunn. Undergr. Space Technol. 2023, 133, 104913. [Google Scholar] [CrossRef]
- Peck, R.B. Deep excavations and tunneling in soft ground. In Proceedings of the 7th International Conference on Soil Mechanics and Foundation Engineering, State of the Art Report, Mexico City, Mexico, 25–29 August 1969; Edinburgh University Library Catalogue: Edinburgh, Scotland, 1969; pp. 225–290. [Google Scholar]
- Sagaseta, C. Analysis of undrained soil deformation due to ground loss. Géotechnique 1987, 37, 301–320. [Google Scholar] [CrossRef]
- Verruijt, A.; Booker, J.R. Surface settlements due to deformation of a tunnel in an elastic half plane. Géotechnique 1996, 46, 753–756. [Google Scholar] [CrossRef]
- Loganathan, N.; Poulos, H.G. Analytical Prediction for Tunneling-Induced Ground Movements in Clays. J. Geotech. Geoenviron. Eng. 1998, 124, 846–856. [Google Scholar] [CrossRef]
- Zhang, Z.G.; Huang, M.S. Geotechnical influence on existing subway tunnels induced by multiline tunneling in Shanghai soft soil. Comput. Geotech. 2014, 56, 121–132. [Google Scholar] [CrossRef]
- Li, P.; Du, S.J.; Shen, S.L.; Wang, Y.H.; Zhao, H.H. Timoshenko beam solution for the response of existing tunnels because of tunneling underneath. Int. J. Numer. Anal. Methods Geomech. 2016, 40, 766–784. [Google Scholar] [CrossRef]
- Zhang, D.M.; Huang, Z.K.; Li, Z.L.; Zong, X.; Zhang, D.M. Analytical solution for the response of an existing tunnel to a new tunnel excavation underneath. Comput. Geotech. 2019, 108, 197–211. [Google Scholar] [CrossRef]
- Franza, A.; Viggiani, G.M.B. Role of shear deformability on the response of tunnels and pipelines to single and twin tunneling. J. Geotechn. Geoenviron. Eng. ASCE. 2021, 147, 04021145. [Google Scholar] [CrossRef]
- Vanmarcke, E.H. Probabilistic modeling of soil profiles. J. Geotech. Eng. Div. 1977, 103, 1227–1246. [Google Scholar] [CrossRef]
- Phoon, K.K.; Kulhawy, F.H. Characterization of geotechnical variability. Can. Geotech. J. 1999, 36, 612–624. [Google Scholar] [CrossRef]
- Mollon, G.; Phoon, K.K.; Dias, D. Validation of a new 2D failure mechanism for the stability analysis of a pressurized tunnel face in a spatially varying sand. J. Eng. Mech. ASCE 2011, 137, 8–21. [Google Scholar] [CrossRef]
- Phoon, K.K.; Ching, J. Risk and Reliability in Geotechnical Engineering; CRC Press: Boca Raton, FL, USA, 2015. [Google Scholar]
- Guo, X.F.; Du, D.C.; Dias, D. Reliability analysis of tunnel lining considering soil spatial variability. Eng. Struct. 2019, 196, 109332. [Google Scholar] [CrossRef]
- Huang, H.W.; Gong, W.P.; Khoshnevisan, S.; Juang, C.H.; Zhang, D.M.; Wang, L. Simplified procedure for finite element analysis of the longitudinal performance of shield tunnels considering spatial soil variability in longitudinal direction. Comput. Geotech. 2015, 64, 132–145. [Google Scholar] [CrossRef]
- Gong, W.; Juang, C.; Martin, J.; Tang, H.; Wang, Q.; Huang, H.W. Probabilistic analysis of tunnel longitudinal performance based upon conditional random field simulation of soil properties. Tunn. Undergr. Space Technol. 2018, 73, 1–14. [Google Scholar] [CrossRef]
- Huang, W.M.; Wang, J.C.; Yang, Z.X.; Xu, R.Q. Analytical analysis of the longitudinal response of shield tunnel lining considering ring-to-ring interaction. Comput. Geotech. 2022, 146, 104705. [Google Scholar] [CrossRef]
- Huang, H.W.; Xiao, L.; Zhang, D.M.; Zhang, J. Influence of spatial variability of soil Young’s modulus on tunnel convergence in soft soils. Eng. Geol. 2017, 228, 357–370. [Google Scholar] [CrossRef]
- Zhang, J.Z.; Huang, H.W.; Zhang, D.M.; Zhou, M.L.; Tang, C.; Liu, D.J. Effect of ground surface surcharge on deformational performance of tunnel in spatially variable soil. Comput. Geotech. 2021, 136, 104229. [Google Scholar] [CrossRef]
- Yu, J.; Zhang, C.R.; Huang, M.S. Soil-pipe interaction due to tunnelling: Assessment of Winkler modulus for underground pipelines. Comput. Geotech. 2013, 50, 17–28. [Google Scholar] [CrossRef]
- Gan, X.L.; Yu, J.L.; Gong, X.N.; Liu, N.W.; Zhu, M. Probabilistic analysis for twin tunneling-induced longitudinal responses of existing shield tunnel, Tunn. Undergr. Space Technol. 2022, 120, 104317. [Google Scholar] [CrossRef]
- Timoshenko, S.P. On the correction for shear of the differential equation for transverse vibration of prismatic bars. Philo. Mag. 1921, 41, 744. [Google Scholar] [CrossRef]
- Wu, H.N.; Shen, S.L.; Liao, S.M.; Yin, Z.Y. Longitudinal structural modelling of shield tunnels considering shearing dislocation between segmental rings. Tunn. Undergr. Space Technol. 2015, 50, 317–323. [Google Scholar] [CrossRef]
- Wu, H.N.; Shen, S.L.; Yang, J.; Zhou, A. Soil-tunnel interaction modelling for shield tunnels considering shearing dislocation in longitudinal joints. Tunn. Undergr. Space Technol. 2018, 78, 168–177. [Google Scholar] [CrossRef]
- Cheng, H.Z.; Chen, R.P.; Wu, H.N.; Meng, F.Y.; Yi, Y.L. General solutions for the longitudinal deformation of shield tunnels with multiple discontinuities in strata. Tunn. Undergr. Space Technol. 2021, 107, 103652. [Google Scholar] [CrossRef]
- Pan, Q.; Dias, D. Probabilistic evaluation of tunnel face stability in spatially random soils using sparse polynomial chaos expansion with global sensitivity analysis. Acta Geotech. 2017, 12, 1415–1429. [Google Scholar] [CrossRef]
- Griffiths, D.V.; Fenton, G.A. Bearing capacity of spatially random soil: The undrained clay Prandtl problem revisited. Geotechnique 2001, 51, 351–359. [Google Scholar] [CrossRef]
- Ghanem, R.G.; Spanos, P.D. Stochastic Finite Element—A Spectral Approach; Dover Publications: New York, NY, USA, 2003. [Google Scholar]
- Cho, S.E. Probabilistic stability analysis of rainfall-induced landslides considering spatial variability of permeability. Eng. Geol. 2014, 171, 11–20. [Google Scholar] [CrossRef]
- Jiang, S.H.; Li, D.Q.; Cao, Z.J.; Zhou, C.B.; Phoon, K.K. Efficient System Reliability Analysis of Slope Stability in Spatially Variable Soils Using Monte Carlo Simulation. J. Geotech. Geoenviron. Eng. 2016, 141, 04014096. [Google Scholar] [CrossRef]
- Xu, L. Study on the Longitudinal Settlement of Shield Tunnel in Soft Soil; Tongji University: Shanghai, China, 2005. [Google Scholar]
- Vorster TE, B.; Klar, A.; Soga, K.; Mair, R.J. Estimating the effects of tunneling on existing pipelines. J. Geotech. Geoenviron. Eng. 2005, 131, 1399–1410. [Google Scholar] [CrossRef]





















| Parameter | Value |
|---|---|
| Segmental rings | |
| Outer diameter (m) | 6.2 |
| Inner diameter (m) | 5.5 |
| Thickness (m) | 0.35 |
| Elastic modulus (MPa) | 3.45 × 104 |
| Length (m) | 1 |
| Poisson’s ratio | 0.2 |
| Bolts | |
| Longitudinal bolts number | 17 |
| Length (mm) | 400 |
| Diameter (mm) | 30 |
| Elastic modulus (MPa) | 2.06 × 105 |
| Poisson’s ratio | 0.3 |
Disclaimer/Publisher’s Note: The statements, opinions and data contained in all publications are solely those of the individual author(s) and contributor(s) and not of MDPI and/or the editor(s). MDPI and/or the editor(s) disclaim responsibility for any injury to people or property resulting from any ideas, methods, instructions or products referred to in the content. |
© 2024 by the authors. Licensee MDPI, Basel, Switzerland. This article is an open access article distributed under the terms and conditions of the Creative Commons Attribution (CC BY) license (https://creativecommons.org/licenses/by/4.0/).
Share and Cite
Gan, X.; Liu, N.; Bezuijen, A.; Gong, X. Random Responses of Shield Tunnel to New Tunnel Undercrossing Considering Spatial Variability of Soil Elastic Modulus. Appl. Sci. 2024, 14, 3949. https://doi.org/10.3390/app14093949
Gan X, Liu N, Bezuijen A, Gong X. Random Responses of Shield Tunnel to New Tunnel Undercrossing Considering Spatial Variability of Soil Elastic Modulus. Applied Sciences. 2024; 14(9):3949. https://doi.org/10.3390/app14093949
Chicago/Turabian StyleGan, Xiaolu, Nianwu Liu, Adam Bezuijen, and Xiaonan Gong. 2024. "Random Responses of Shield Tunnel to New Tunnel Undercrossing Considering Spatial Variability of Soil Elastic Modulus" Applied Sciences 14, no. 9: 3949. https://doi.org/10.3390/app14093949
APA StyleGan, X., Liu, N., Bezuijen, A., & Gong, X. (2024). Random Responses of Shield Tunnel to New Tunnel Undercrossing Considering Spatial Variability of Soil Elastic Modulus. Applied Sciences, 14(9), 3949. https://doi.org/10.3390/app14093949

