Uncertainty Modeling of Fouling Thickness and Morphology on Compressor Blade
Abstract
1. Introduction
2. Fouling Uncertainty Modeling Method
2.1. Description of Fouling Morphology
2.2. Uncertainty Modeling Method of Dense Fouling Layer Thickness
2.3. Uncertainty Modeling Method of Loose Fouling Layer
2.4. Specific Steps for Modeling the Uncertainty of Fouling
2.5. Methods for Modeling Fouling Blades
2.6. Verification of Uncertainty Model of Fouling Rough Structures
2.6.1. The Control Parameters in the FLH Model
2.6.2. Validation of the FLH Model
2.7. Sparse Grid Non-Intrusive Polynomial Chaos (SGNIPC)
3. Research Object and Research Scheme
3.1. Research Object
3.2. Numerical Simulation Methods
3.3. The Scheme of Fouling Modeling
4. Case Validation and Analysis
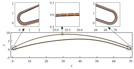
4.1. Thickness Uncertainty Modeling of Blade Fouling
4.2. Rough Structure Uncertainty Modeling of Blade Fouling
4.3. Numerical Method of Fouling Cascade
4.4. Aerodynamic Uncertainty Response of Blade Fouling
5. Conclusions
- Considering the uncertainty of operating conditions and particle size distribution, the mathematical description method of compressor blade fouling is proposed, which is divided into the thickness of the dense layer and the rough structures of the loose layer. Based on the sparse grid numerical integration and KL expansion method to construct the uncertainty model of the thickness of the dense fouling layer for the compressor blade, and the FLH model is proposed to describe the size of the loose fouling layer roughness and the uncertainty of the rough structures. Using a two-dimensional cascade as the test case, a geometric uncertainty model for a fouling compressor cascade was developed based on the aforementioned modeling approach, demonstrating the feasibility of the methodology. The FLH model has been validated using actual fouling morphology and found to describe fouling with different rough characteristics. Due to the exponential growth in the number of geometric uncertainty models for fouling blades with increasing dimensionality, a 3D compressor blade fouling geometric uncertainty model has not yet been established. Future work will extend this methodology to three-dimensional fouled blades.
- Considering the uncertainty characteristics of the fouling rough structures, the influence law of the control parameters of the FLH model on the roughness of the loose fouling layer is given. When the wavelength control parameters of the rough structure follow a Gaussian distribution, it is guaranteed that the larger an is, the greater the roughness is, and the larger c is, the rougher the model is and the smaller the wavelength between the two wave peaks is when other parameters are kept constant. In addition, the parameter is adjusted to achieve the skew feature and randomness with the same roughness of the rough structures for the loose fouling layer. In addition, the variation of affects the roughness within ±1 μm when other control parameters are conserved constants.
- A method based on the sparse grid chaotic polynomial expansion of the uncertainty fouling model and aerodynamic performance uncertainty response of compressor blade fouling was developed. Assuming both fouling thickness and the wavelength control parameters of fouling roughness structures follow Gaussian distributions, the quantification of the aerodynamic performance uncertainty of compressor blade fouling in dense fouling layer and loose fouling layer was carried out. The results showed that there is a 75.8% probability of aerodynamic performance degradation due to the dense fouling layer, and the probability of aerodynamic performance degradation caused by the morphology uncertainty of the loose fouling layer is 97.2% when the roughness is 50 μm. It is further illustrated that rough structures have a large impact on aerodynamic performance degradation, and therefore it is not sufficient to describe blade fouling in terms of roughness alone; the effect of rough structures on aerodynamic performance must also be considered. With advancements in measurement technology, future research will yield more fouling morphology data from service-exposed blades. The statistical distribution characteristics of this data and its impact on aerodynamic performance degradation can be effectively analyzed using the methodology developed in this study.
Author Contributions
Funding
Data Availability Statement
Conflicts of Interest
References
- Doring, F.; Staudacher, S.; Koch, C.; Weißschuh, M. Modeling particle deposition effects in aircraft engine compressors. J. Turbomach. 2017, 139, 051003. [Google Scholar] [CrossRef]
- Igie, U. Gas Turbine Compressor Fouling and Washing in Power and Aerospace Propulsion. J. Eng. Gas Turbines Power 2017, 139, 122602. [Google Scholar] [CrossRef]
- Giesecke, D.; Igie, U.; Pilidis, P.; Ramsden, K.; Lambart, P. Performance and Techno-Economic Investigation of On-Wing Compressor Wash for a Short-Range Aero Engine. In Proceedings of the ASME Turbo Expo 2012: Turbine Technical Conference and Exposition, Copenhagen, Denmark, 11–15 June 2012. [Google Scholar]
- Alqallaf, J.; Teixeira, J.A. Blade roughness effects on compressor and engine performance—A cfd and thermodynamic study. Aerospace 2021, 8, 330. [Google Scholar] [CrossRef]
- Vulpio, A.; Suman, A.; Casari, N.; Pinelli, M. Dust ingestion in a rotorcraft engine compressor: Experimental and numerical study of the fouling rate. Aerospace 2021, 8, 81. [Google Scholar] [CrossRef]
- Bojdo, N.; Filippone, A. A simple model to assess the role of dust composition and size on deposition in rotorcraft engines. Aerospace 2019, 6, 44. [Google Scholar] [CrossRef]
- Meher-Homji, C.B.; Focke, A.B.; Wooldridge, M.B. Fouling of Axial Flow Compressors-Causes, Effects, Detection, and Control. In Proceedings of the 18th Turbomachinery Symposium; Texas A&M University, Turbomachinery Laboratories: College Station, TX, USA, 1989. [Google Scholar]
- Kolkman, H.J. Performance of Gas Turbine Compressor Cleaners. J. Eng. Gas Turbines Power 1993, 115, 674–677. [Google Scholar] [CrossRef]
- Ju, Y.; Zhang, C. Robust design optimization method for centrifugal impellers under surface roughness uncertainties due to blade fouling. Chin. J. Mech. Eng. (Engl. Ed.) 2016, 29, 301–314. [Google Scholar] [CrossRef]
- Shi, X.; Long, F.; Yan, Z.; Tang, J. A review of aero-engine blade fouling mechanism. In Proceedings of the AUS 2016-2016 IEEE/CSAA International Conference on Aircraft Utility Systems, Beijing, China, 8–14 October 2016; pp. 278–283. [Google Scholar]
- Templalexis, I.; Pachidis, V. Simulation of Fouling in Axial Flow Compressor Using a Throughflow Method. J. Energy Eng. 2017, 143, 04016028. [Google Scholar] [CrossRef]
- Taylor, R.P. Surface Roughness Measurements on Gas Turbine Blades. J. Turbomach. 1990, 112, 175–180. [Google Scholar] [CrossRef]
- Mullaney, D.; Jones, M.; Bojdo, N.; Covey-Crump, S.; Pawley, A. the Effect of Additive ‘Depositional’ Reprofiling of Compressor Blade Leading Edges on Engine Performance. Proc. ASME Turbo Expo 2024, 12B, 1–12. [Google Scholar]
- Vigueras Zuñiga M, O. Analysis of Gas Turbine Compressor Fouling and Washing on Line; Cranfield University: Cranfield, UK, 2007. [Google Scholar]
- Syverud, E.; Brekke, O.; Bakken, L.E. Axial compressor deterioration caused by saltwater ingestion. J. Turbomach.-Trans. ASME 2007, 129, 119–126. [Google Scholar] [CrossRef]
- Casari, N.; Pinelli, M.; Spina, P.R.; Suman, A.; Vulpio, A. Experimental Assessment of Fouling Effects in a Multistage Axial Compressor. In Proceedings of the E3S Web of Conferences; EDP Sciences, Online, 22 October 2020; Volume 197. Available online: https://www.e3s-conferences.org/articles/e3sconf/abs/2020/57/e3sconf_ati2020_11007/e3sconf_ati2020_11007.html (accessed on 26 July 2024).
- Casari, N.; Pinelli, M.; Suman, A.; Vulpio, A. Performance losses and washing recovery of a helicopter engine compressor operating in ground-idle conditions. CEAS Aeronaut. J. 2022, 13, 113–125. [Google Scholar] [CrossRef]
- Suman, A.; Casari, N.; Fabbri, E.; di Mare, L.; Montomoli, F.; Pinelli, M. Generalization of particle impact behavior in gas turbine via non-dimensional grouping. Prog. Energy Combust. Sci. 2019, 74, 103–151. [Google Scholar] [CrossRef]
- Whitaker, S.M.; Peterson, B.; Miller, A.F.; Bons, J.P. The effect of particle loading, size, and temperature on deposition in a vane leading edge impingement cooling geometry. In Proceedings of the Turbo Expo: Power for Land, Sea, and Air, Seoul, South Korea, 13–17 June 2016; American Society of Mechanical Engineers: Houston, TX, USA, 2016; Volume 49798. [Google Scholar]
- Wang, Q.; Lin, X.; Chen, D.-R. Effect of dust loading rate on the loading characteristics of high efficiency filter media. Powder Technol. 2016, 287, 20–28. [Google Scholar] [CrossRef]
- Suder, K.L.; Chime, R.V.; Strazisar, A.J.; Roberts, W.B. The effect of adding roughness and thickness to a transonic axial compressor rotor. In Proceedings of the American Society of Mechanical Engineers, Den Haag, The Netherlands, 13–16 June 1994. [Google Scholar]
- Suman, A.; Zanini, N.; Pinelli, M. Experimental Analysis of the Time-Wise Compressor Fouling Phenomenon. J. Turbomach. 2024, 146, 101004. [Google Scholar] [CrossRef]
- Lei, G.; Zi-Nan, W.; Shao-Juan, G.; Hong-Wu, Z.; Chao-Qun, N. Experimental Study for Effects of Surface Roughness on Compressor Cascade Loss Characteristics. J. Propuls. Technol. 2016, 37, 1263–1270. [Google Scholar]
- Chul Back, S.; Hobson, G.V.; Jin Song, S.; Millsaps, K.T. GT2010-22208 Effect of Surface Roughness Location and Reynolds Number on Compressor Cascade Performance; Power for Land: 2010. Available online: https://asmedigitalcollection.asme.org/GT/proceedings-abstract/GT2010/44021/121/347100 (accessed on 26 July 2024).
- Morini, M.; Pinelli, M.; Spina, P.R.; Venturini, M. Computational Fluid Dynamics Simulation of Fouling on Axial Compressor Stages. J. Eng. Gas Turbines Power 2010, 132, 331–342. [Google Scholar] [CrossRef]
- Laycock, R.G.; Fletcher, T.H. Time-Dependent Deposition Characteristics of Fine Coal Fly Ash in a Laboratory Gas Turbine Environment. J. Turbomach. 2012, 135, 021003. [Google Scholar] [CrossRef]
- Wang, L.S.; Wang, Z.Y.; Wang, Y.H.; Wang, M.; Sun, H.O. Numerical simulation of low reynolds number 2-d rough blade compressor cascade. Front. Energy Res. 2022, 10, 950559. [Google Scholar] [CrossRef]
- Sun, H.O.; Wang, L.S.; Wang, Z.Y.; Wang, M.; Wang, Y.H.; Wan, L. Simulation of the effect of nonuniform fouling thickness on an axial compressor stage performance. Adv. Mech. Eng. 2021, 13, 1–11. [Google Scholar] [CrossRef]
- Aldi, N.; Morini, M.; Pinelli, M.; Spina, P.R.; Suman, A.; Venturini, M. Performance Evaluation of Nonuniformly Fouled Axial Compressor Stages by Means of Computational Fluid Dynamics Analyses. J. Turbomach. 2013, 136, 021016. [Google Scholar] [CrossRef]
- Ling, W.; Gao, S.; Wang, Z.; Zeng, M.; Huang, W.; Xi, G. Direct numerical simulation of boundary layer transition induced by roughness element in a low Reynolds number compressor blade. Phys. Fluids 2024, 36, 124109. [Google Scholar] [CrossRef]
- Clausert, F.H. Turbulent Boundary Layers in Adverse Pressure Gradients. J. Aeronaut. Sci. 1954, 21, 91–108. [Google Scholar] [CrossRef]
- Rath, N.; Mishra, R.K.; Kushari, A. Investigation of Performance Degradation in a Mixed Flow Low Bypass Turbofan Engine. J. Fail. Anal. Prev. 2023, 23, 378–388. [Google Scholar] [CrossRef]
- Gbadebo, S.A.; Hynes, T.P.; Cumpsty, N.A. Influence of surface roughness on three-dimensional separation in axial compressors. In Proceedings of the ASME Turbo Expo 2004: Power for Land, Sea, and Air, Vienna, Austria, 14–17 June 2004. [Google Scholar]
- Bons, J.P.; Taylor, R.P.; McClain, S.T.; Rivir, R.B. The many faces of turbine surface roughness. J. Turbomach. 2001, 123, 739–748. [Google Scholar] [CrossRef]
- Suman, A.; Vulpio, A.; Pinelli, M.; D’Amico, L. Microtomography of Soil and Soot Deposits: Analysis of Three-Dimensional Structures and Surface Morphology. J. Eng. Gas Turbines Power 2022, 144, 101010. [Google Scholar] [CrossRef]
- TurnerFathi, A.B.; Tarada Fathi, F.J.B. Effects of surface roughness on heat transfer to gas turbine blades. In Proceedings of the Heat Transfer and Cooling in Gas Turbines, Bergen, Norway, 6–10 May 1993. [Google Scholar]
- Kadivar, M.; Tormey, D.; McGranaghan, G. A review on turbulent flow over rough surfaces: Fundamentals and theories. Int. J. Thermofluids 2021, 10, 100077. [Google Scholar] [CrossRef]
- Deng, B.; Deng, Y.; Liu, M.; Chen, Y.; Wu, Q.; Guo, H. Integrated models for prediction and global factors sensitivity analysis of ultrafiltration (UF) membrane fouling: Statistics and machine learning approach. Sep. Purif. Technol. 2023, 313, 123326. [Google Scholar] [CrossRef]
- Azuri, I.; Rosenhek-Goldian, I.; Regev-Rudzki, N.; Fantner, G.; Cohen, S.R. The role of convolutionsl neural networks in scanning probe microscopy: A review. Beilstein J. Nanotechnol. 2021, 12, 878–901. [Google Scholar] [CrossRef]
- Manami, M.; Seddighi, S.; Örlü, R. Deep learning models for improved accuracy of a multiphase flowmeter. Meas. J. Int. Meas. Confed. 2023, 206, 112254. [Google Scholar] [CrossRef]
- Chen, J.; Tang, X.; Lu, J.; Zhang, H. A Compressor Off-Line Washing Schedule Optimization Method With a LSTM Deep Learning Model Predicting the Fouling Trend. J. Eng. Gas Turbines Power 2022, 144, 081005. [Google Scholar] [CrossRef]
- Jin, Y.; Liu, C.; Tian, X.; Huang, H.; Deng, G.; Guan, Y.; Jiang, D. A hybrid model of LSTM neural networks with a thermodynamic model for condition-based maintenance of compressor fouling. Meas. Sci. Technol. 2021, 32, 124007. [Google Scholar] [CrossRef]
- Longuet-Higgins, M.S. On the statistical distribution of the height of sea waves. J. Mar. Res. 1952, 11. [Google Scholar]
- Grimmett, D.; Wang, P.-F.; Chen, H.-C. Modeling of Longuet-Higgins pressure waves at the seafloor for energy harvesting. In Proceedings of the OCEANS 2021: San Diego–Porto, San Diego, CA, USA, 20–23 September 2021; pp. 1–9. [Google Scholar]
- Romero-Rochin, V.; Cina, J.A. Time development of geometric phases in the Longuet-Higgins model. J. Chem. Phys. 1989, 91, 6103–6112. [Google Scholar] [CrossRef]
- Yang, G.; Gao, L.; Tu, P.; Dan, Y. Effects of uniform profile tolerance on aerodynamic performance eligibility of high subsonic cascade. Aerosp. Sci. Technol. 2025, 160, 110028. [Google Scholar] [CrossRef]
- Wang, H.; Gao, L.; Yang, G.; Wu, B. A data-driven robust design optimization method and its application in compressor blade. Phys. Fluids 2023, 35, 066114. [Google Scholar]
- Wang, H.; Gao, L.; Wu, B. Critical Sample-Size Analysis for Uncertainty Aerodynamic Evaluation of Compressor Blades with Stagger-Angle Errors. Aerospace 2023, 10, 990. [Google Scholar] [CrossRef]
- Cui, T.; Wang, S.; Tang, X.; Wen, F.; Wang, Z. Effect of leading-edge optimization on the loss characteristics in a low-pressure turbine linear cascade. J. Therm. Sci. 2019, 28, 886–904. [Google Scholar] [CrossRef]
- Langtry, R.B.; Menter, F.R.; Likki, S.R.; Suzen, Y.B.; Huang, P.G.; Völker, S. A correlation-based transition model using local variables—Part II: Test cases and industrial applications. J. Turbomach. 2006, 128, 423–434. [Google Scholar] [CrossRef]
- Yang, G.; Gao, L.; Ma, C.; Wang, H.; Ge, N. Investigation on Aerodynamic Robustness of Compressor Blade with Asymmetric Leading Edge. J. Appl. Fluid Mech. 2023, 17, 337–351. [Google Scholar]
- Templalexis, I.; Pachidis, V.; Aguirre, H.A. Comparative Assessment of Fouling Scenarios in an Axial Flow Compressor. J. Eng. Gas Turbines Power 2021, 143, 081003. [Google Scholar] [CrossRef]
- Jia, H.; Xi, G.; Gao, L.; Wen, S. Effects of Deposition Models on Deposition and Performance Deterioration in Axial Compressor Cascade. Chin. J. Aeronaut. 2005, 18, 20–24. [Google Scholar] [CrossRef]
- Borello, D.; Rispoli, F.; Venturini, P. An integrated particle-tracking impact/adhesion model for the prediction of fouling in a subsonic compressor. J. Eng. Gas Turbines Power 2012, 134, 092002. [Google Scholar] [CrossRef]
























Disclaimer/Publisher’s Note: The statements, opinions and data contained in all publications are solely those of the individual author(s) and contributor(s) and not of MDPI and/or the editor(s). MDPI and/or the editor(s) disclaim responsibility for any injury to people or property resulting from any ideas, methods, instructions or products referred to in the content. |
© 2025 by the authors. Licensee MDPI, Basel, Switzerland. This article is an open access article distributed under the terms and conditions of the Creative Commons Attribution (CC BY) license (https://creativecommons.org/licenses/by/4.0/).
Share and Cite
Gao, L.; Tu, P.; Yang, G.; Yang, S. Uncertainty Modeling of Fouling Thickness and Morphology on Compressor Blade. Aerospace 2025, 12, 547. https://doi.org/10.3390/aerospace12060547
Gao L, Tu P, Yang G, Yang S. Uncertainty Modeling of Fouling Thickness and Morphology on Compressor Blade. Aerospace. 2025; 12(6):547. https://doi.org/10.3390/aerospace12060547
Chicago/Turabian StyleGao, Limin, Panpan Tu, Guang Yang, and Song Yang. 2025. "Uncertainty Modeling of Fouling Thickness and Morphology on Compressor Blade" Aerospace 12, no. 6: 547. https://doi.org/10.3390/aerospace12060547
APA StyleGao, L., Tu, P., Yang, G., & Yang, S. (2025). Uncertainty Modeling of Fouling Thickness and Morphology on Compressor Blade. Aerospace, 12(6), 547. https://doi.org/10.3390/aerospace12060547

