Sign in to use this feature.

Years

Between: -

Subjects

remove_circle_outline
remove_circle_outline
remove_circle_outline
remove_circle_outline
remove_circle_outline
remove_circle_outline
remove_circle_outline

Journals

Article Types

Countries / Regions

Search Results (11)

Search Parameters:
Keywords = K-order Markov chain

Order results
Result details
Results per page
Select all
Export citation of selected articles as:
26 pages, 9154 KB  
Article
Prediction of Urban Growth and Sustainability Challenges Based on LULC Change: Case Study of Two Himalayan Metropolitan Cities
by Bhagawat Rimal, Sushila Rijal and Abhishek Tiwary
Land 2025, 14(8), 1675; https://doi.org/10.3390/land14081675 - 19 Aug 2025
Viewed by 2146
Abstract
Urbanization, characterized by population growth and socioeconomic development, is a major driving factor of land use land cover (LULC) change. A spatio-temporal understanding of land cover change is crucial, as it provides essential insights into the pattern of urban development. This study conducted [...] Read more.
Urbanization, characterized by population growth and socioeconomic development, is a major driving factor of land use land cover (LULC) change. A spatio-temporal understanding of land cover change is crucial, as it provides essential insights into the pattern of urban development. This study conducted a longitudinal analysis of LULC change in order to evaluate the tradeoffs of urban growth and sustainability challenges in the Himalayan region. Landsat time-series satellite imagery from 1988 to 2024 were analyzed for two major cities in Nepal—Kathmandu metropolitan city (KMC) and Pokhara metropolitan city (PMC). The LULC classification was conducted using a machine learning support vector machine (SVM) approach. For this study period, our analysis showed that KMC and PMC witnessed urban growth of over 400% and 250%, respectively. In the next step, LULC change and urban expansion patterns were predicted based on the urban development indicator using the Cellular Automata Markov chain (CA-Markov) model for the years 2040 and 2056. Based on the CA-Markov chain analysis, the projected expansion areas of the urban area for the two future years are 282.39 km2 and 337.37 km2 for Kathmandu, and 93.17 km2 and 114.15 km2 for PMC, respectively. The model was verified using several Kappa variables (K-location, K-standard, and K-no). Based on the LULC trends, the majority of urban expansion in both the study areas has occurred at the expense of prime farmlands, which raises grave concern over the sustainability of the food supply to feed an ever-increasing urban population. This haphazard urban sprawl poses a significant challenge for future planning and highlights the urgent need for effective strategies to ensure sustainable urban growth, especially in restoring local food supply to alleviate over-reliance on long-distance transport of agro-produce in high-altitude mountain regions. The alternative planning of sustainable urban growth could involve adequate consideration for urban farming and community gardening as an integral part of the urban fabric, both at the household and city infrastructure levels. Full article
(This article belongs to the Special Issue Spatial Patterns and Urban Indicators on Land Use and Climate Change)
Show Figures

Figure 1

17 pages, 5507 KB  
Article
Markov-CVAELabeller: A Deep Learning Approach for the Labelling of Fault Data
by Christian Velasco-Gallego and Nieves Cubo-Mateo
Informatics 2025, 12(2), 35; https://doi.org/10.3390/informatics12020035 - 25 Mar 2025
Viewed by 2047
Abstract
The lack of fault data is still a major concern in the area of smart maintenance, as these data are required to perform an adequate diagnostics and prognostics of the system. In some instances, fault data are adequately collected, even though the fault [...] Read more.
The lack of fault data is still a major concern in the area of smart maintenance, as these data are required to perform an adequate diagnostics and prognostics of the system. In some instances, fault data are adequately collected, even though the fault labels are missing. Accordingly, the development of methodologies that generate these missing fault labels is required. In this study, Markov-CVAELabeller is introduced in an attempt to address the lack of fault label challenge. Markov-CVAELabeller comprises three main phases: (1) image encoding through the application of the first-order Markov chain, (2) latent space representation through the consideration of a convolutional variational autoencoder (CVAE), and (3) clustering analysis through the implementation of k-means. Additionally, to evaluate the accuracy of the method, a convolutional neural network (CNN) is considered as part of the fault classification task. A case study is also presented to highlight the performance of the method. Specifically, a hydraulic test rig is considered to assess its condition as part of the fault diagnosis framework. Results indicate the promising applications that this type of methods can facilitate, as the average accuracy presented in this study was 97%. Full article
Show Figures

Figure 1

14 pages, 302 KB  
Article
Multi-Dimensional Markov Chains of M/G/1 Type
by Valeriy Naumov and Konstantin Samouylov
Mathematics 2025, 13(2), 209; https://doi.org/10.3390/math13020209 - 9 Jan 2025
Cited by 1 | Viewed by 1014
Abstract
We consider an irreducible discrete-time Markov process with states represented as (k, i) where k is an M-dimensional vector with non-negative integer entries, and i indicates the state (phase) of the external environment. The number n of phases may [...] Read more.
We consider an irreducible discrete-time Markov process with states represented as (k, i) where k is an M-dimensional vector with non-negative integer entries, and i indicates the state (phase) of the external environment. The number n of phases may be either finite or infinite. One-step transitions of the process from a state (k, i) are limited to states (n, j) such that nk1, where 1 represents the vector of all 1s. We assume that for a vector k1, the one-step transition probability from a state (k, i) to a state (n, j) may depend on i, j, and n − k, but not on the specific values of k and n. This process can be classified as a Markov chain of M/G/1 type, where the minimum entry of the vector n defines the level of a state (n, j). It is shown that the first passage distribution matrix of such a process, also known as the matrix G, can be expressed through a family of nonnegative square matrices of order n, which is a solution to a system of nonlinear matrix equations. Full article
(This article belongs to the Special Issue Queue and Stochastic Models for Operations Research, 3rd Edition)
28 pages, 10613 KB  
Article
Analysis of Program Representations Based on Abstract Syntax Trees and Higher-Order Markov Chains for Source Code Classification Task
by Artyom V. Gorchakov, Liliya A. Demidova and Peter N. Sovietov
Future Internet 2023, 15(9), 314; https://doi.org/10.3390/fi15090314 - 18 Sep 2023
Cited by 12 | Viewed by 2961
Abstract
In this paper we consider the research and development of classifiers that are trained to predict the task solved by source code. Possible applications of such task detection algorithms include method name prediction, hardware–software partitioning, programming standard violation detection, and semantic code duplication [...] Read more.
In this paper we consider the research and development of classifiers that are trained to predict the task solved by source code. Possible applications of such task detection algorithms include method name prediction, hardware–software partitioning, programming standard violation detection, and semantic code duplication search. We provide the comparative analysis of modern approaches to source code transformation into vector-based representations that extend the variety of classification and clustering algorithms that can be used for intelligent source code analysis. These approaches include word2vec, code2vec, first-order and second-order Markov chains constructed from abstract syntax trees (AST), histograms of assembly language instruction opcodes, and histograms of AST node types. The vectors obtained with the forementioned approaches are then used to train such classification algorithms as k-nearest neighbor (KNN), support vector machine (SVM), random forest (RF), and multilayer perceptron (MLP). The obtained results show that the use of program vectors based on first-order AST-based Markov chains with an RF-based classifier leads to the highest accuracy, precision, recall, and F1 score. Increasing the order of Markov chains considerably increases the dimensionality of a vector, without any improvements in classifier quality, so we assume that first-order Markov chains are best suitable for real world applications. Additionally, the experimental study shows that first-order AST-based Markov chains are least sensitive to the used classification algorithm. Full article
(This article belongs to the Section Big Data and Augmented Intelligence)
Show Figures

Figure 1

25 pages, 2788 KB  
Article
On Estimation of Reliability Functions for the Extended Rayleigh Distribution under Progressive First-Failure Censoring Model
by Mahmoud Hamed Abu-Moussa, Najwan Alsadat and Ali Sharawy
Axioms 2023, 12(7), 680; https://doi.org/10.3390/axioms12070680 - 10 Jul 2023
Cited by 10 | Viewed by 1744
Abstract
When conducting reliability studies, the progressive first-failure censoring (PFFC) method is useful in situations in which the units of the life testing experiment are separated into groups consisting of k units each with the intention of seeing only the first failure in each [...] Read more.
When conducting reliability studies, the progressive first-failure censoring (PFFC) method is useful in situations in which the units of the life testing experiment are separated into groups consisting of k units each with the intention of seeing only the first failure in each group. Using progressive first-failure censored samples, the statistical inference for the parameters, reliability, and hazard functions of the extended Rayleigh distribution (ERD) are investigated in this study. The asymptotic normality theory of maximum likelihood estimates (MLEs) is used in order to acquire the maximum likelihood estimates (MLEs) together with the asymptotic confidence intervals (Asym. CIs). Bayesian estimates (BEs) of the parameters and the reliability functions under different loss functions may be produced by using independent gamma informative priors and non-informative priors. The Markov chain Monte Carlo (MCMC) approach is used so that Bayesian computations are performed with ease. In addition, the MCMC method is used in order to create credible intervals (Cred. CIs) for the parameters, which may be used for either informative or non-informative priors. Additionally, computations for the reliability functions are carried out. A Monte Carlo simulation study is carried out in order to provide a comparison of the behaviour of the different estimations that were created for this work. At last, an actual data set is dissected for the purpose of providing an example. Full article
(This article belongs to the Special Issue Probability, Statistics and Estimation)
Show Figures

Figure 1

14 pages, 1316 KB  
Article
CRA: Identifying Key Classes Using Markov-Chain-Based Ranking Aggregation
by Xin Du, Weifeng Pan, Bo Jiang, Luyun Ding, Yun Pan, Chengxiang Yuan and Yiming Xiang
Axioms 2022, 11(10), 491; https://doi.org/10.3390/axioms11100491 - 22 Sep 2022
Cited by 3 | Viewed by 2338
Abstract
Researchers have proposed many approaches to identify key classes in software from the perspective of complex networks, such as CONN-TOTAL-W, PageRankBR, and ElementRank, which can effectively help developers understand software. However, these approaches [...] Read more.
Researchers have proposed many approaches to identify key classes in software from the perspective of complex networks, such as CONN-TOTAL-W, PageRankBR, and ElementRank, which can effectively help developers understand software. However, these approaches tend to rely on a single metric when measuring the importance of classes. They do not consider the aggregation of multiple metrics to select the winner classes that rank high in majority metrics. In this work, we propose a key class identification approach using Markov-Chain-based ranking aggregation, namely CRA. First, CRA constructs a weighted directed class coupling network (WDCCNet) to describe the software and further applies existing approaches on WDCCNet to calculate class importance. Second, CRA filters out some metrics according to specific rules and uses the Markov chain to aggregate the remaining metrics. When the state probability distribution reaches a fixed point and does not change anymore, the classes in the software are sorted in a descending order according to the probability distribution, and the top-15% classes are treated as key classes. To evaluate the CRA approach, we compare it with 10 baseline approaches available on 6 pieces of software. Empirical results show that our approach is superior to the baselines according to the average ranking of the Friedman Test. Full article
Show Figures

Figure 1

20 pages, 3066 KB  
Article
Classification of Program Texts Represented as Markov Chains with Biology-Inspired Algorithms-Enhanced Extreme Learning Machines
by Liliya A. Demidova and Artyom V. Gorchakov
Algorithms 2022, 15(9), 329; https://doi.org/10.3390/a15090329 - 15 Sep 2022
Cited by 7 | Viewed by 3059
Abstract
The massive nature of modern university programming courses increases the burden on academic workers. The Digital Teaching Assistant (DTA) system addresses this issue by automating unique programming exercise generation and checking, and provides means for analyzing programs received from students by the end [...] Read more.
The massive nature of modern university programming courses increases the burden on academic workers. The Digital Teaching Assistant (DTA) system addresses this issue by automating unique programming exercise generation and checking, and provides means for analyzing programs received from students by the end of semester. In this paper, we propose a machine learning-based approach to the classification of student programs represented as Markov chains. The proposed approach enables real-time student submissions analysis in the DTA system. We compare the performance of different multi-class classification algorithms, such as support vector machine (SVM), the k nearest neighbors (KNN) algorithm, random forest (RF), and extreme learning machine (ELM). ELM is a single-hidden layer feedforward network (SLFN) learning scheme that drastically speeds up the SLFN training process. This is achieved by randomly initializing weights of connections among input and hidden neurons, and explicitly computing weights of connections among hidden and output neurons. The experimental results show that ELM is the most computationally efficient algorithm among the considered ones. In addition, we apply biology-inspired algorithms to ELM input weights fine-tuning in order to further improve the generalization capabilities of this algorithm. The obtained results show that ELMs fine-tuned with biology-inspired algorithms achieve the best accuracy on test data in most of the considered problems. Full article
(This article belongs to the Special Issue Mathematical Models and Their Applications III)
Show Figures

Figure 1

42 pages, 36690 KB  
Article
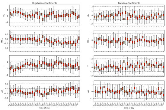
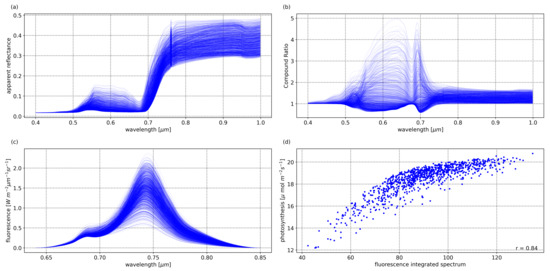
The Impacts of Air Quality on Vegetation Health in Dense Urban Environments: A Ground-Based Hyperspectral Imaging Approach
by Farid Qamar, Mohit S. Sharma and Gregory Dobler
Remote Sens. 2022, 14(16), 3854; https://doi.org/10.3390/rs14163854 - 9 Aug 2022
Cited by 11 | Viewed by 4551
Abstract
We examine the impact of changes in ozone (O3), particulate matter (PM2.5), temperature, and humidity on the health of vegetation in dense urban environments, using a very high-resolution, ground-based Visible and Near-Infrared (VNIR, 0.4–1.0 μm with a spectral resolution [...] Read more.
We examine the impact of changes in ozone (O3), particulate matter (PM2.5), temperature, and humidity on the health of vegetation in dense urban environments, using a very high-resolution, ground-based Visible and Near-Infrared (VNIR, 0.4–1.0 μm with a spectral resolution of 0.75 nm) hyperspectral camera deployed by the Urban Observatory (UO) in New York City. Images were captured at 15 min intervals from 08h00 to 18h00 for 30 days between 3 May and 6 June 2016 with each image containing a mix of dense built structures, sky, and vegetation. Vegetation pixels were identified using unsupervised k-means clustering of the pixel spectra and the time dependence of the reflection spectrum of a patch of vegetation at roughly 1 km from the sensor that was measured across the study period. To avoid illumination and atmospheric variability, we introduce a method that measures the ratio of vegetation pixel spectra to the spectrum of a nearby building surface at each time step relative to that ratio at a fixed time. This “Compound Ratio” exploits the (assumed) static nature of the building reflectance to isolate the variability of vegetation reflectance. Two approaches are used to quantify the health of vegetation at each time step: (a) a solar-induced fluorescence indicator (SIFi) calculated as the simple ratio of the amplitude of the Compound Ratio at 0.75 μm and 0.9 μm, and (b) Principal Component Analysis (PCA) decomposition designed to capture more global spectral features. The time dependence of these vegetation health indicators is compared to that of O3, PM2.5, temperature, and humidity values from a distributed and publicly available in situ air quality sensor network. Assuming a linear relationship between vegetation health indicators and air quality indicators, we find that changes in both SIF indicator values and PC amplitudes show a strong correlation (r2 value of 40% and 47%, respectively) with changes in air quality, especially in comparison with nearby buildings used as controls (r2 value of 1% and 4%, respectively, and with all molecular correlations consistent with zero to within 3σ uncertainty). Using the SIF indicator, O3 and temperature exhibit a positive correlation with changes in photosynthetic rate in vegetation, while PM2.5 and humidity exhibit a negative correlation. We estimate full covariant uncertainties on the coefficients using a Markov Chain Monte Carlo (MCMC) approach and demonstrate that these correlations remain statistically significant even when controlling for the effects of diurnal sun-sensor geometry and temperature variability. This work highlights the importance of quantifying the effects of various air quality parameters on vegetation health in urban environments in order to uncover the complexity, covariance, and interdependence of the numerous factors involved. Full article
(This article belongs to the Section Urban Remote Sensing)
Show Figures

Graphical abstract

16 pages, 2247 KB  
Article
Optimal Design of Photovoltaic Connected Energy Storage System Using Markov Chain Models
by Woo-sung Kim, Hyunsang Eom and Youngsung Kwon
Sustainability 2021, 13(7), 3837; https://doi.org/10.3390/su13073837 - 31 Mar 2021
Cited by 7 | Viewed by 2519
Abstract
This study improves an approach for Markov chain-based photovoltaic-coupled energy storage model in order to serve a more reliable and sustainable power supply system. In this paper, two Markov chain models are proposed: Embedded Markov and Absorbing Markov chain. The equilibrium probabilities of [...] Read more.
This study improves an approach for Markov chain-based photovoltaic-coupled energy storage model in order to serve a more reliable and sustainable power supply system. In this paper, two Markov chain models are proposed: Embedded Markov and Absorbing Markov chain. The equilibrium probabilities of the Embedded Markov chain completely characterize the system behavior at a certain point in time. Thus, the model can be used to calculate important measurements to evaluate the system such as the average availability or the probability when the battery is fully discharged. Also, Absorbing Markov chain is employed to calculate the expected duration until the system fails to serve the load demand, as well as the failure probability once a new battery is installed in the system. The results show that the optimal condition for satisfying the availability of 3 nines (0.999), with an average load usage of 1209.94 kWh, is the energy storage system capacity of 25 MW, and the number of photovoltaic modules is 67,510, which is considered for installation and operation cost. Also, when the initial state of charge is set to 80% or higher, the available time is stable for more than 20,000 h. Full article
(This article belongs to the Section Energy Sustainability)
Show Figures

Figure 1

11 pages, 6181 KB  
Article
Object Detection Algorithm Based on Improved YOLOv3
by Liquan Zhao and Shuaiyang Li
Electronics 2020, 9(3), 537; https://doi.org/10.3390/electronics9030537 - 24 Mar 2020
Cited by 302 | Viewed by 26613
Abstract
The ‘You Only Look Once’ v3 (YOLOv3) method is among the most widely used deep learning-based object detection methods. It uses the k-means cluster method to estimate the initial width and height of the predicted bounding boxes. With this method, the estimated width [...] Read more.
The ‘You Only Look Once’ v3 (YOLOv3) method is among the most widely used deep learning-based object detection methods. It uses the k-means cluster method to estimate the initial width and height of the predicted bounding boxes. With this method, the estimated width and height are sensitive to the initial cluster centers, and the processing of large-scale datasets is time-consuming. In order to address these problems, a new cluster method for estimating the initial width and height of the predicted bounding boxes has been developed. Firstly, it randomly selects a couple of width and height values as one initial cluster center separate from the width and height of the ground truth boxes. Secondly, it constructs Markov chains based on the selected initial cluster and uses the final points of every Markov chain as the other initial centers. In the construction of Markov chains, the intersection-over-union method is used to compute the distance between the selected initial clusters and each candidate point, instead of the square root method. Finally, this method can be used to continually update the cluster center with each new set of width and height values, which are only a part of the data selected from the datasets. Our simulation results show that the new method has faster convergence speed for initializing the width and height of the predicted bounding boxes and that it can select more representative initial widths and heights of the predicted bounding boxes. Our proposed method achieves better performance than the YOLOv3 method in terms of recall, mean average precision, and F1-score. Full article
(This article belongs to the Special Issue Deep Learning Based Object Detection)
Show Figures

Figure 1

18 pages, 1050 KB  
Article
L-VTP: Long-Term Vessel Trajectory Prediction Based on Multi-Source Data Analysis
by Chao Liu, Shuai Guo, Yuan Feng, Feng Hong, Haiguang Huang and Zhongwen Guo
Sensors 2019, 19(20), 4365; https://doi.org/10.3390/s19204365 - 9 Oct 2019
Cited by 37 | Viewed by 4228
Abstract
With the rapid development of marine IoT (Internet of Things), ocean MDTN (Mobile Delay Tolerant Network) has become a research hot spot. Long-term trajectory prediction is a key issue in MDTN. There are no long-term fine-grained trajectory prediction methods proposed for ocean vessels [...] Read more.
With the rapid development of marine IoT (Internet of Things), ocean MDTN (Mobile Delay Tolerant Network) has become a research hot spot. Long-term trajectory prediction is a key issue in MDTN. There are no long-term fine-grained trajectory prediction methods proposed for ocean vessels because a vessel’s mobility pattern lacks map topology support and can be easily influenced by the fish moratorium, sunshine duration, etc. A traditional on-land trajectory prediction algorithm cannot be directly utilized in this field because trajectory characteristics of ocean vessels are far different from that on land. To address the problem above, we propose a novel long-term trajectory prediction algorithm for ocean vessels, called L-VTP, by utilizing multiple sailing related parameters and K-order multivariate Markov Chain. L-VTP utilizes multiple sailing related parameters to build multiple state-transition matrices for trajectory prediction based on quantitative uncertainty analysis of trajectories. Trajectories’ sparsity of ocean vessels results in a critical state missing problem of a high-order state-transition matrix. L-VTP automatically traverses other matrices in a specific sequence in terms of quantitative uncertainty results to overcome this problem. Furthermore, the different mobility models of the same vessel during the day and the night are also exploited to improve the prediction accuracy. Privacy issues have been taken into consideration in this paper. A quantitative model considering Markov order, training metadata and privacy leak degree is proposed to help the participant make the trade-off based on their customized requirements. We have performed extensive experiments on two years of real-world trajectory data that include more than two thousand vessels. The experiment results demonstrate that L-VTP can realize fine-grained long-term trajectory prediction with the consideration of privacy issues. The average error of 4.5-hour fine-grained prediction is less than 500 m. In addition, the proposed method can be extended to 10-hour prediction with an average error of 2.16 km, which is also far less than the communication range of ocean vessel communication devices. Full article
(This article belongs to the Special Issue Smart Sensing: Leveraging AI for Sensing)
Show Figures

Figure 1

Back to TopTop