Sign in to use this feature.

Years

Between: -

Subjects

remove_circle_outline
remove_circle_outline
remove_circle_outline
remove_circle_outline
remove_circle_outline
remove_circle_outline
remove_circle_outline
remove_circle_outline
remove_circle_outline

Journals

Article Types

Countries / Regions

Search Results (35)

Search Parameters:
Keywords = Issatchenkia

Order results
Result details
Results per page
Select all
Export citation of selected articles as:
18 pages, 4547 KB  
Article
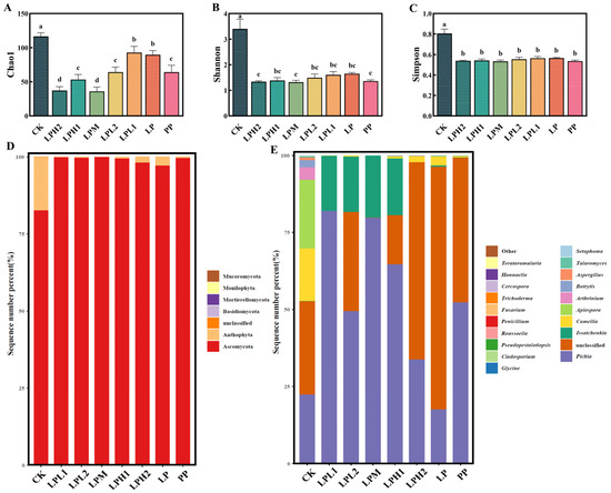
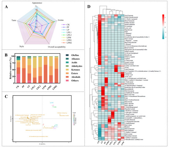
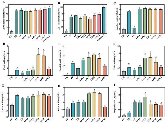
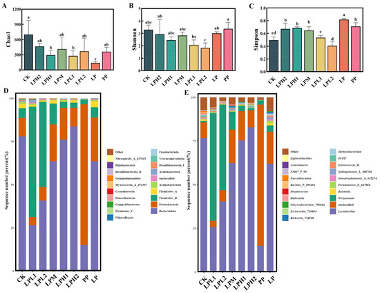
Co-Fermentation with Lactiplantibacillus plantarum and Pichia pastoris: A Novel Approach to Enhance Flavor and Quality of Fermented Tea Beverage
by Jian Li, Yan Chen, Fang Huang, Yan-Tong Liang, Wei-Jian Chen, Yi-Han Cai, Lang-Hong Wang and Yan-Yan Huang
Foods 2025, 14(24), 4251; https://doi.org/10.3390/foods14244251 - 10 Dec 2025
Viewed by 182
Abstract
Fermented tea beverage (FTB) has garnered significant attention owing to its unique combination of tea and wine flavors and its potential health benefits. This study investigates FTB co-fermented using different inoculum sizes of L. plantarum HYY-S10 and P. pastoris, evaluating physicochemical properties [...] Read more.
Fermented tea beverage (FTB) has garnered significant attention owing to its unique combination of tea and wine flavors and its potential health benefits. This study investigates FTB co-fermented using different inoculum sizes of L. plantarum HYY-S10 and P. pastoris, evaluating physicochemical properties during the fermentation process. The final FTB products were comprehensively evaluated for their antioxidant activity, organic acid content, sensory characteristics, volatile flavor compounds, and microbial diversity. Compared with natural fermentation, the 1:1 mixed fermentation of these two microorganisms enhanced the antioxidant capacity and organic acid content of FTB. Furthermore, sensory evaluation revealed higher overall acceptability. Analysis of volatile compounds demonstrated an increase in the production of alcohols, esters, and ketones, leading to enhanced malty, fruity, and creamy aromas in FTB. Among these compounds, 3-methyl-1-butanol, phenylethyl alcohol, 1,2-propanediol, and 3-hydroxy-2-butanone play pivotal roles in shaping the flavor profile. High-throughput sequencing analysis identified Lactobacillus and Weizmannia as dominant bacteria, while Pichia or Issatchenkia was found to be dominant fungi. This study provides a theoretical foundation for the production of FTB through mixed fermentation with L. plantarum HYY-S10 and P. pastoris while contributing to the practical application of FTB production through mixed fermentation techniques. Collectively, our findings demonstrate that the 1:1 co-fermentation of L. plantarum HYY-S10 and P. pastoris is a promising strategy for developing novel fermented tea beverages with enhanced functional properties and complex, desirable flavors, offering valuable insights for the industrial production of specialty FTBs. Full article
Show Figures

Figure 1

20 pages, 3189 KB  
Article
Enhancement of Quality and Safety of Low-Salt Pixian Douban Fermentation with Paenibacillus polymyxa M17 27-6
by Zirong Gao, Weihong Tao, Xiaolei Ren, Ningbo Qin, Yingxi Chen, Chaofan Ji, Xinping Lin, Yiwei Dai and Sufang Zhang
Foods 2025, 14(24), 4200; https://doi.org/10.3390/foods14244200 - 7 Dec 2025
Viewed by 198
Abstract
Traditional pixian douban is characterized by elevated salt concentrations, often exceeding 12%. Given the established correlation between high-salt diets and various health disorders, the necessity for effective salinity reduction becomes evident. However, the reduction in salt content may result in quality deterioration. To [...] Read more.
Traditional pixian douban is characterized by elevated salt concentrations, often exceeding 12%. Given the established correlation between high-salt diets and various health disorders, the necessity for effective salinity reduction becomes evident. However, the reduction in salt content may result in quality deterioration. To address the adverse effects associated with decreased salt concentration, the strain Paenibacillus polymyxa M17 27-6, which possesses the capability to produce antimicrobial compounds, was used in the fermentation of low-salt pixian douban. Additionally, we employed low-salt uninoculated and high-salt uninoculated groups as fermentation controls, with the entire fermentation cycle lasting 35 d. In terms of safety, microbial diversity sequencing and the content of biogenic amines and aflatoxin B1 were conducted. Microbial diversity sequencing analyses indicated the presence of potentially pathogenic Escherichia and Shigella, as well as the spoilage-causing Trichosporon and Issatchenkia, in the uninoculated low-salt group, whereas no contaminating bacteria were detected in the inoculated group. Relative to the uninoculated low-salt group, levels of aflatoxin B1 and biogenic amines were significantly reduced. In terms of quality and volatiles, compared to the uninoculated high-salt group, concentrations of amino acid nitrogen and total acids increased to 0.93 g/100 g and 1.21 g/100 g, respectively, alongside significantly enhanced levels of organic acids and antioxidant activity. At the same time, volatile compound content and abundance increased. In conclusion, the incorporation of P. polymyxa M17 27-6 in the production of low-salt broad-bean paste effectively enhances quality and safety and provides a theoretical basis for developing low-salt pixian douban products. Full article
Show Figures

Graphical abstract

24 pages, 2809 KB  
Article
Fungal Microbiota of Malbec Grapes and Fermenting Must Under Different Sanitary Conditions in the Southern Oasis of Mendoza Winemaking Region
by Juliana Garau, Marianela del Carmen Bignert, Vilma Inés Morata and María Gabriela Merín
Fermentation 2025, 11(10), 553; https://doi.org/10.3390/fermentation11100553 - 26 Sep 2025
Viewed by 683
Abstract
This study characterised the diversity of filamentous fungi and yeasts during Malbec grape fermentation in the Southern Oasis of Mendoza (Argentina) winegrowing region, under different sanitary conditions and SO2 treatments, using morphological and ITS-RFLP-based molecular methods. Alternaria, Cladosporium and Penicillium were [...] Read more.
This study characterised the diversity of filamentous fungi and yeasts during Malbec grape fermentation in the Southern Oasis of Mendoza (Argentina) winegrowing region, under different sanitary conditions and SO2 treatments, using morphological and ITS-RFLP-based molecular methods. Alternaria, Cladosporium and Penicillium were present in both sound and damaged grapes, while Aspergillus and Botrytis were primarily found in damaged grapes. The predominant yeast species in both sound and damaged grape must, at lower and higher maturity levels, were Aureobasidium pullulans and Hanseniaspora spp. At higher grape ripening levels species diversity increased, with Hanseniaspora vineae, Metschnikowia pulcherrima and Candida membranifaciens dominating, and others such as Pichia kudriavzevii and Issatchenkia terricola appearing. A. pullulans and M. pulcherrima were highly tolerant to SO2. Notably, the species Meyerozyma guilliermondii, Zygoascus hellenicus and Hanseniaspora uvarum were exclusively present in damaged grape must, while Zygosaccharomyces bailii was also found in sound grape must. Hanseniaspora spp. and P. kudriavzevii predominated at mid-fermentation and persisted at the end of the process, highlighting their resistance to wine conditions and their potential to influence post-fermentative dynamics. These findings emphasise the significant influence of grape sanitary status on mycobiota composition, with important implications for fermentation behaviour and final wine quality. Full article
(This article belongs to the Special Issue Applications of Microbial Biodiversity in Wine Fermentation)
Show Figures

Figure 1

18 pages, 10388 KB  
Article
Effect of Inoculation of Lactic Acid Bacteria and Fibrolytic Enzymes on Microbiota in the Terminal and Aerobically Exposed Short-Growing Season Whole-Plant Corn Silage
by Chunli Li, Jayakrishnan Nair, Eric Chevaux, Tim A. McAllister and Yuxi Wang
Fermentation 2025, 11(9), 530; https://doi.org/10.3390/fermentation11090530 - 10 Sep 2025
Viewed by 1125
Abstract
An experiment was conducted to evaluate the effects of mixed lactic acid bacteria (LAB) plus fibrolytic enzymes (xylanase + β-glucanase) on bacterial and fungal communities in terminal and aerobically exposed whole-plant corn silage ensiled in a temperate zone. Short-season corn forage was either [...] Read more.
An experiment was conducted to evaluate the effects of mixed lactic acid bacteria (LAB) plus fibrolytic enzymes (xylanase + β-glucanase) on bacterial and fungal communities in terminal and aerobically exposed whole-plant corn silage ensiled in a temperate zone. Short-season corn forage was either uninoculated (C) or inoculated (I) with a mixture of LAB containing 1.5 × 105 colony-forming units (cfu)/g Lentilactobacillus hilgardii, 1.5 × 105 cfu/g of Lentilactobacillus buchneri, and 1.0 × 105 cfu/g Pediococcus pentosaceus plus a combination of xylanase + β-glucanase. Silage samples were taken after ensiling in bag silos for 418 days (terminal silage; TS), with subsamples of TS subsequently exposed to air for 14 days (aerobically exposed silage; AS). Regardless of treatment, Firmicutes, Proteobacteria, Cyanobacteria, and Actinobacteria were the predominant phyla in the bacterial microbiome, whilst Ascomycota and Basidiomycota were the predominant phyla in the fungal microbiome in both TS and AS. Lactobacillus, Acetobacter, and Bacillus were the most abundant bacterial genera, whilst Candida, Aspergillus, Vishniacozyma, Pichia, and Issatchenkia were the most abundant fungal genera. Use of silage additive did not change bacterial or fungal alpha or beta diversity during ensiling or aerobic exposure, but decreased (p < 0.01) the relative abundance (RA) of Proteobacteria in both TS and AS, increased (p < 0.01) RA of Firmicutes in AS, but did not affect the RA of fungal phyla in either TS or AS. At the genus level, the additive significantly decreased (p < 0.01) RA of Acetobacter in both TS and AS. The silage additive used in this study significantly affected the composition of multiple microbial genera during ensiling and aerobic exposure by shifting bacterial communities towards enhanced aerobic stability. Full article
Show Figures

Figure 1

20 pages, 2543 KB  
Article
Development of Fermentation Strategies for Quality Mild Coffee Production (Coffea arabica L.) Based on Oxygen Availability and Processing Time
by Aida Esther Peñuela-Martínez, Carol Vanessa Osorio-Giraldo, Camila Buitrago-Zuluaga and Rubén Darío Medina-Rivera
Foods 2025, 14(17), 3001; https://doi.org/10.3390/foods14173001 - 27 Aug 2025
Cited by 1 | Viewed by 1741
Abstract
Fermentation is a crucial stage in the production of washed mild coffees, as it enables the generation of compounds that influence overall quality. The conditions to optimize this process are still unknown. This study evaluated the effects of fermenting coffee fruits and depulped [...] Read more.
Fermentation is a crucial stage in the production of washed mild coffees, as it enables the generation of compounds that influence overall quality. The conditions to optimize this process are still unknown. This study evaluated the effects of fermenting coffee fruits and depulped coffee under two conditions: an open tank (semi-anaerobic-SA) and a closed tank (self-induced anaerobic fermentation, SIAF) over 192 h. Samples were taken every 24 h using a sacrificial bioreactor. A randomized complete block design with a factorial arrangement (2 × 2 + 1), plus a standard control, was employed, incorporating two factors: coffee type and fermentation condition. High-throughput sequencing of 16S and ITS amplicons identified an average of 260 ± 71 and 101 ± 24 OTUs, respectively. Weisella was the dominant lactic acid bacteria, followed by Leuconostoc and Lactiplantibacillus. Acetic acid bacteria, mainly Acetobacter, were more abundant under semi-anaerobic conditions. The yeast genera most affected by the fermentation condition were Pichia, Issatchenkia, and Wickerhamomyces. Repeated measures analysis revealed significant differences in pH, glucose consumption, lactic acid production, dry matter content, embryo viability, and the percentage of healthy beans. Principal component analysis was used to develop an index that integrates physical, physiological, and sensory quality variables, thereby clarifying the impact of each treatment. Samples from shorter fermentation times and SIAF conditions scored closest to 1.0, reflecting the most favorable outcomes. Otherwise, samples from longer fermentation times in both depulped and coffee fruits scored 0.497 and 0.369, respectively, on the SA condition. These findings support technically and economically beneficial fermentation strategies. Full article
Show Figures

Graphical abstract

17 pages, 16309 KB  
Article
Microbial Community Succession and Flavor Compound Formation in Sesame-Flavored Baijiu from Zaopei
by Wuyang Liu, Hao Zhou, Jing Cai, Shanshan Xu, Anyuan Chen, Dongdong Mu, Xuefeng Wu and Xingjiang Li
Fermentation 2025, 11(5), 255; https://doi.org/10.3390/fermentation11050255 - 3 May 2025
Cited by 1 | Viewed by 1086
Abstract
The succession of microbial communities during the fermentation process in sesame-flavored Baijiu cellars profoundly influences the flavor profile of the liquor. However, the key factors driving microbial succession in these cellars remain unclear. This study focuses on the fermentation process of sesame-flavored Baijiu [...] Read more.
The succession of microbial communities during the fermentation process in sesame-flavored Baijiu cellars profoundly influences the flavor profile of the liquor. However, the key factors driving microbial succession in these cellars remain unclear. This study focuses on the fermentation process of sesame-flavored Baijiu Zaopei in traditional Tongcheng cellars. Samples were collected from the surface, middle, and bottom of the cellar, categorized by fermentation time. Various techniques were employed to analyze the physicochemical properties (including moisture, ethanol, total acid, starch, and reducing sugars), flavor compounds (volatile substances and amino acids), and microbial communities (bacteria and fungi) of the Zaopei during fermentation. A total of 68 flavor compounds were detected, with 16 key flavor compounds and 16 amino acids identified. Microbiologically, the Lactobacillus genus dominated in the later stages of fermentation, while the Issatchenkia species were the predominant fungi. Correlation analysis indicated that environmental factors play a significant role in driving microbial community succession. Acetobacter, Staphylococcus, Pichia, Bacillus, and Kroppenstedtia species may contribute to the synthesis of key flavor compounds. The relative contents of acetic acid, 2-phenylethyl ester, and Benzenepropanoic acid ethyl ester were influenced by multiple microbial groups, suggesting a synergistic fermentation effect. PICRUSt2 predictions revealed significant differences in 41 KEGG pathways at level 2 and 293 pathways at level 3 across different fermentation intervals. These pathways are primarily associated with amino acid, ester, and nucleotide metabolism, as well as bacterial transcription, translation, and signal transduction. This research provides a theoretical foundation for understanding the fermentation mechanisms of sesame-flavored Baijiu. Full article
(This article belongs to the Special Issue Applied Microorganisms and Industrial/Food Enzymes, 2nd Edition)
Show Figures

Figure 1

12 pages, 12247 KB  
Article
Characterization of Low pH and Inhibitor Tolerance Capacity of Candida krusei Strains
by Hironaga Akita, Daisuke Moriguchi and Akinori Matsushika
Fermentation 2025, 11(3), 146; https://doi.org/10.3390/fermentation11030146 - 14 Mar 2025
Cited by 1 | Viewed by 1080
Abstract
Interest in the production of bioethanol from inedible biomass is growing worldwide because of its sustainable supply and lack of competition with food supplies. Candida krusei (also known as Pichia kudriavzevii or Issatchenkia orientalis) is one of the most suitable thermotolerant yeasts [...] Read more.
Interest in the production of bioethanol from inedible biomass is growing worldwide because of its sustainable supply and lack of competition with food supplies. Candida krusei (also known as Pichia kudriavzevii or Issatchenkia orientalis) is one of the most suitable thermotolerant yeasts used in the simultaneous saccharification and fermentation process for bioethanol production. In the production of bioethanol from lignocellulosic biomass as a feedstock, various environmental conditions occur, and the stress tolerance capacity of C. krusei, especially its low pH and tolerance to inhibitors, limits its practical application. In this study, to select a suitable second-generation bioethanol-producing strain, the tolerance capacity of five available C. krusei strains (NBRC0584, NBRC0841, NBRC1162, NBRC1395 and NBRC1664) was characterized. Spot assay and growth experiment results showed that among the five C. krusei strains, C. krusei NBRC1664 showed superior tolerance capacity for low pH and inhibitors. Furthermore, this strain efficiently produced ethanol from glucose under low pH conditions with or without sulfate. A comparative analysis of the draft genome sequences suggested that Opy2, Sln1 and Cdc24 in the HOG pathway are conserved only in C. krusei NBRC1664, which may contribute to its superior tolerance to low pH levels. Moreover, amino acid sequence alignment showed that aldehyde dehydrogenase family proteins, which catalyze the degradation of cyclic aldehydes, are commonly conserved in C. krusei. In addition, the increased transcription levels in C. krusei NBRC1664 could play a role in its higher tolerance to inhibitors. These results suggest that C. krusei NBRC1664 is a more suitable strain for application in industrial processes for second-generation bioethanol production. Full article
(This article belongs to the Special Issue Biofuels and Green Technology)
Show Figures

Figure 1

16 pages, 1200 KB  
Article
Effect of Isolation Ruminal Yeast from Ruminants on In Vitro Ruminal Fermentation
by Krung Wilachai, Pramote Paengkoum, Nittaya Taethaisong, Pirat Thitisak, Kriengsak Poonsuk, Juan J. Loor and Siwaporn Paengkoum
Vet. Sci. 2025, 12(2), 155; https://doi.org/10.3390/vetsci12020155 - 11 Feb 2025
Cited by 1 | Viewed by 1802
Abstract
In order to obtain high-performing yeast strains from ruminants, it is necessary to select them from species such as beef cattle, dairy cows, goats, and buffalo. A total of 91 isolated yeasts were collected using the standard methods of microbial culture on agar [...] Read more.
In order to obtain high-performing yeast strains from ruminants, it is necessary to select them from species such as beef cattle, dairy cows, goats, and buffalo. A total of 91 isolated yeasts were collected using the standard methods of microbial culture on agar medium followed by streaking on a plate at least three times until pure yeast colonies were formed. The API 20C AUX Kit and sequencing of the D1/D2 domain of the 26S rRNA gene were used to identify the genera Candida spp., namely, C. glabrata (99% identification), C. tropicallis (99%), C. rugosa (98%), and Issatchenkia orientalis (99%). A total of 12 yeast strains (Dc4, 14, 18; Be1, 2, 7; Bu3, 4, 7; and Go10, 16, 19) were chosen for further analyses. The performance criteria included the ability to tolerate pH values between 3.5 and 7.5, total volatile fatty acids (TVFAs, 0, 0.25, 0.5, 1, 2, and 4% of broth medium), anaerobic growth rate, and in vitro gas production efficiency. First, when all strains were grown at pH values between 3.5 and 7.5, Bu3 and Dc18 performed better than the other strains. Second, at a ruminal pH of 6.5 and a TVFA concentration of between 2 and 4% of the broth medium, strain Bu3 was more resistant than the other strains. Under anaerobic conditions, all strains experienced a decline in viable cell counts when compared with those under aerobic conditions. However, compared to strains Dc14, Be1, Be2, Be7, and Bu3, strain Dc18 exhibited more viable cells under anaerobic conditions in broth medium. The response of strain Dc18 did not differ from those of strains Dc4, Bu4, Bu7, or G16. Strains Be7, Bu3, and Dc18 were used for an in vitro fermentation experiment involving incubation for 2, 4, 6, 8, 10, 12, 24, 36, 48, and 72 h. Three ruminal cannulated dairy cows were used as donors of ruminal fluid. The treatments were run in triplicate. The addition of yeast culture had no effect on gas kinetics, gas accumulation, or the ratio of acetic acid and propionic acid, but led to significantly greater butyric acid concentrations at 24 h of incubation. In conclusion, strain Dc18 isolated from dairy cows is suitable for future studies of probiotic yeast development. Full article
(This article belongs to the Special Issue Advancing Ruminant Health and Production: Alternatives to Antibiotics)
Show Figures

Figure 1

21 pages, 9749 KB  
Article
The Impact of Mechanized and Traditional Processes on Microbial Diversity and Volatile Flavor Compound Formation During Xifeng Baijiu Fermentation
by Chengyong Jin, Guangyuan Jin, Juan Jin, Yutao Lv, Zhe Dang, Yafang Feng and Yan Xu
Foods 2024, 13(22), 3710; https://doi.org/10.3390/foods13223710 - 20 Nov 2024
Cited by 3 | Viewed by 1888
Abstract
The impact of mechanized processes on the properties of Xifeng Baijiu, as well as the differences between Baijiu produced through mechanized versus traditional methods, remains insufficiently understood. In this study, the differences in physicochemical properties, microorganisms, volatile flavor compounds, and their correlations in [...] Read more.
The impact of mechanized processes on the properties of Xifeng Baijiu, as well as the differences between Baijiu produced through mechanized versus traditional methods, remains insufficiently understood. In this study, the differences in physicochemical properties, microorganisms, volatile flavor compounds, and their correlations in the traditional and mechanized processes of producing Xifeng Baijiu were compared. High-throughput sequencing revealed that the abundance and diversity of bacteria and fungi were higher in the traditional process compared to the mechanized one. The bacterial population exhibited a more pronounced succession pattern than the fungal population throughout the fermentation. In the early stages, Firmicutes and Actinobacteria were the dominant bacterial phyla in both processes, with Lactobacillus, Saccharopolyspora, Bacillus, Acetobacter, Weissella, and Thermoactinomyces being the predominant bacterial genera, and Saccharomycopsis, Issatchenkia, Kazachstania, Thermoascus, Pichia, and Rhizopus are the dominant fungi. Chemical analysis identified 71 volatile flavor components in the fermented grains, predominantly esters and alcohols. Ethyl caproate, 1-nonyl alcohol, ethyl acetate, acetic acid, butyric acid, furfuryl alcohol, caproic acid, and 2,4-di-tert-butylphenol were the key differential compounds between the two production methods. Pearson correlation analysis indicated a stronger relationship between bacteria and flavor compounds than between fungi and these substances, with Lactobacillus showing a negative correlation with other dominant bacterial genera. These findings offer a foundation for future research into the factors contributing to differences in Baijiu produced by traditional and mechanized methods and serve as a reference for improving mechanized processes. Full article
(This article belongs to the Section Food Engineering and Technology)
Show Figures

Figure 1

17 pages, 3672 KB  
Article
Exploring Community Succession, Assembly Patterns, and Metabolic Functions of Ester-Producing-Related Microbiota during the Production of Nongxiangxing baijiu
by Xiawei Yi, Huan Xia, Ping Huang, Shiyuan Ma and Chongde Wu
Foods 2024, 13(19), 3169; https://doi.org/10.3390/foods13193169 - 5 Oct 2024
Cited by 6 | Viewed by 3363
Abstract
Esters are vital flavor compounds in Chinese Nongxiangxing baijiu and greatly affect the quality of baijiu. Microbial communities inhabiting fermented grains (FGs) have a marked impact on esters. However, the specific microorganisms and their assembly patterns remain unclear. This study utilized high-throughput [...] Read more.
Esters are vital flavor compounds in Chinese Nongxiangxing baijiu and greatly affect the quality of baijiu. Microbial communities inhabiting fermented grains (FGs) have a marked impact on esters. However, the specific microorganisms and their assembly patterns remain unclear. This study utilized high-throughput sequencing and a culture-based method to reveal ester-producing microorganisms. A total of 33 esters were detected, including 19 ethyl esters, 9 linear chain esters, and 2 branched chain esters. A correlation analysis indicated that the bacterial genus Lactobacillus (relative abundance in average: 69.05%) and fungal genera Pichia (2.40%), Aspergillus (11.84%), Wickerhamomyces (0.60%), Thermomyces (3.57%), Saccharomycopsis (7.87%), Issatchenkia (0.96%), and Thermoascus (10.83%) were dominant and associated with esters production and their precursors. The numbers of esters positively correlated with them were 1, 17, 3, 2, 1, 1, 1, and 1, respectively. The modified stochasticity ratio (MST) index and Sloan neutral model revealed that bacteria were predominantly governed by deterministic processes while fungal assemblies were more stochastic. Saturnispora silvae and Zygosaccharomyces bailii were isolated and identified with ester synthesis potential. PICRUSt2 analysis showed that fungi in FG had a high potential for synthesizing ethanol, while 14 enzymes related to esters synthesis were all produced by bacteria, especially enzymes catalyzing the synthesis of acyl-CoA. In addition, ester synthesis was mainly catalyzed by carboxylesterase, acylglycerol lipase and triacylglycerol lipase. These findings may provide insights into ester production mechanism and potential strategies to improve the quality of Nongxiangxing baijiu. Full article
(This article belongs to the Section Food Microbiology)
Show Figures

Figure 1

12 pages, 1829 KB  
Article
Inhibitor Tolerance Capacity of Pichia kudriavzevii NBRC1279 and NBRC1664
by Hironaga Akita and Akinori Matsushika
Fermentation 2024, 10(7), 331; https://doi.org/10.3390/fermentation10070331 - 25 Jun 2024
Cited by 2 | Viewed by 2424
Abstract
The thermotolerant yeast Pichia kudriavzevii (previously known as Issatchenkia orientalis), can produce ethanol from a variety of carbon sources and grows at around 45 °C. Thus, this yeast is considered a useful biocatalyst for producing ethanol from lignocellulose through simultaneous saccharification and [...] Read more.
The thermotolerant yeast Pichia kudriavzevii (previously known as Issatchenkia orientalis), can produce ethanol from a variety of carbon sources and grows at around 45 °C. Thus, this yeast is considered a useful biocatalyst for producing ethanol from lignocellulose through simultaneous saccharification and fermentation (SSF). SSF has several advantages, such as a simplified manufacturing process, ease of operation and reduced energy input. Using P. kudriavzevii NBRC1279 and NBRC1664, we previously succeeded in producing ethanol through SSF; however, the extent to which inhibitors by-produced from lignocellulose hydrolysis affect the growth and ethanol productivity of the two strains remains to be investigated. In this study, to better understand the inhibitor tolerance capacity of the two strains, spot assay, growth experiment, real-time quantitative PCR (RT-qPCR) analysis and multiple sequence alignment analysis were carried out. When P. kudriavzevii NBRC1279 and NBRC1664, as well as Saccharomyces cerevisiae BY4742 as a control, were cultured on SCD plates containing 17% ethanol, 42 mM furfural, 56 mM 5-hydroxymethylfurfural (HMF) or 10 mM vanillin, only P. kudriavzevii NBRC1664 was able to grow under all conditions. Moreover, the inhibitor tolerance capacity of P. kudriavzevii NBRC1664 was greater than those of other strains using SCD medium containing the same concentrations of various inhibitors. When an RT-qPCR analysis of seven gene sequences from aldehyde dehydrogenase and the aldehyde dehydrogenase family protein (ADHF) was performed using P. kudriavzevii NBRC1664 cultivated in the presence of 56 mM HMF, ADHF1 and ADHF2 were up-regulated in the early logarithmic growth phase. Moreover, a multiple sequence alignment of the amino acid sequences of ADHF1, ADHF2 and the known ADH suggested that ADHF1 and ADHF2 may catalyze the reversible NAD+-dependent oxidation of HMF. Our data may be useful for future studies on the metabolic engineering of more useful strains for ethanol production from lignocellulose. Full article
Show Figures

Figure 1

19 pages, 4366 KB  
Article
Selective Elucidation of Living Microbial Communities in Fermented Grains of Chinese Baijiu: Development of a Technique Integrating Propidium Monoazide Probe Pretreatment and Amplicon Sequencing
by Tao Bo, Jiaojiao Zhang, Enxiang Zong, Na Lv, Baoqing Bai, Yukun Yang, Jinhua Zhang and Sanhong Fan
Foods 2024, 13(11), 1782; https://doi.org/10.3390/foods13111782 - 6 Jun 2024
Cited by 2 | Viewed by 1821
Abstract
The fermentation process of Chinese Baijiu’s fermented grains involves the intricate succession and metabolism of microbial communities, collectively shaping the Baijiu’s quality. Understanding the composition and succession of these living microbial communities within fermented grains is crucial for comprehending fermentation and flavor formation [...] Read more.
The fermentation process of Chinese Baijiu’s fermented grains involves the intricate succession and metabolism of microbial communities, collectively shaping the Baijiu’s quality. Understanding the composition and succession of these living microbial communities within fermented grains is crucial for comprehending fermentation and flavor formation mechanisms. However, conducting high-throughput analysis of living microbial communities within the complex microbial system of fermented grains poses significant challenges. Thus, this study addressed this challenge by devising a high-throughput analysis framework using light-flavor Baijiu as a model. This framework combined propidium monoazide (PMA) pretreatment technology with amplicon sequencing techniques. Optimal PMA treatment parameters, including a concentration of 50 μM and incubation in darkness for 5 min followed by an exposure incubation period of 5 min, were identified. Utilizing this protocol, viable microorganism biomass ranging from 8.71 × 106 to 1.47 × 108 copies/μL was successfully detected in fermented grain samples. Subsequent amplicon sequencing analysis revealed distinct microbial community structures between untreated and PMA-treated groups, with notable differences in relative abundance compositions, particularly in dominant species such as Lactobacillus, Bacillus, Pediococcus, Saccharomycopsis, Issatchenkia and Pichia, as identified by LEfSe analysis. The results of this study confirmed the efficacy of PMA-amplicon sequencing technology for analyzing living microbial communities in fermented grains and furnished a methodological framework for investigating living microbial communities in diverse traditional fermented foods. This technical framework holds considerable significance for advancing our understanding of the fermentation mechanisms intrinsic to traditional fermented foods. Full article
(This article belongs to the Section Drinks and Liquid Nutrition)
Show Figures

Graphical abstract

17 pages, 5447 KB  
Article
Effect of Regulation of Whole-Plant Corn Silage Inoculated with Lactobacillus buchneri or Bacillus licheniformis Regarding the Dynamics of Bacterial and Fungal Communities on Aerobic Stability
by Hang Yin, Meirong Zhao, Rui Yang, Juanjuan Sun, Zhu Yu, Chunsheng Bai and Yanlin Xue
Plants 2024, 13(11), 1471; https://doi.org/10.3390/plants13111471 - 26 May 2024
Cited by 8 | Viewed by 2017
Abstract
Enhancing the aerobic stability of whole-plant corn silage is essential for producing high-quality silage. Our research assessed the effect of inoculation with Lactobacillus buchneri or Bacillus licheniformis and its modulation of the bacterial and fungal microbial community structure in an aerobic stage of [...] Read more.
Enhancing the aerobic stability of whole-plant corn silage is essential for producing high-quality silage. Our research assessed the effect of inoculation with Lactobacillus buchneri or Bacillus licheniformis and its modulation of the bacterial and fungal microbial community structure in an aerobic stage of whole-plant corn silage. Following treatment with a distilled sterile water control, Lactobacillus buchneri, and Bacillus licheniformis (2 × 105 cfu/g), whole-plant corn was ensiled for 60 days. Samples were taken on days 0, 3, and 7 of aerobic exposure, and the results showed that inoculation with Lactobacillus buchneri or Bacillus licheniformis improved the aerobic stability of silage when compared to the effect of the control (p < 0.05). Inoculation with Bacillus licheniformis attenuated the increase in pH value and the decrease in lactic acid in the aerobic stage (p < 0.05), reducing the filamentous fungal counts. On the other hand, inoculation with Lactobacillus buchneri or Bacillus licheniformis increased the diversity of the fungal communities (p < 0.05), complicating the correlation between bacteria or fungi, reducing the relative abundance of Acetobacter and Paenibacillus in bacterial communities, and inhibiting the tendency of Monascus to replace Issatchenkia in fungal communities, thus delaying the aerobic spoilage process. Due to the prevention of the development of aerobic spoilage microorganisms, the silage injected with Lactobacillus buchneri or Bacillus licheniformis exhibited improved aerobic stability. Full article
(This article belongs to the Special Issue Sustainability in Silage Production)
Show Figures

Graphical abstract

12 pages, 4258 KB  
Article
Analysis of Fungal Diversity, Physicochemical Properties and Volatile Organic Compounds of Strong-Flavor Daqu from Seven Different Areas
by Zhigao Li, Xu Yan, Sibo Zou, Chaofan Ji, Liang Dong, Sufang Zhang, Huipeng Liang and Xinping Lin
Foods 2024, 13(8), 1263; https://doi.org/10.3390/foods13081263 - 20 Apr 2024
Cited by 12 | Viewed by 2260
Abstract
Strong-flavor Daqu, as a fermentation agent, plays a significant role in shaping the quality of strong-flavor baijius, and fungal species in Daqu are important factors affecting the quality of Daqu. Therefore, we selected strong-flavor Daqu from seven different origins to study the fungal [...] Read more.
Strong-flavor Daqu, as a fermentation agent, plays a significant role in shaping the quality of strong-flavor baijius, and fungal species in Daqu are important factors affecting the quality of Daqu. Therefore, we selected strong-flavor Daqu from seven different origins to study the fungal composition and the effects of the fungal composition on the physicochemical properties and volatile organic compounds (VOCs). It was found that the fungal composition influences the physicochemical properties of Daqu. Specifically, there was a positive link between Rhizomucor, Rhizopus, Thermomyces, and liquefying activity and a positive correlation between Aspergillus and fermenting activity. Furthermore, the relationships between esterifying activity and Thermomyces, Rhizomucor, Aspergillus, Pichia, and Saccharomycopsis were found to be positive. The VOCs in Daqu were affected by Aspergillus, Issatchenkia, Pichia, and Thermoascus. Issatchenkia was significantly positively correlated with benzeneethanol as well as Aspergillus and pentadecanoic acid ethyl ester, ethyl myristate. Pichia and Thermoascus were significantly negatively correlated with benzaldehyde and 2-furaldehyde. This study deepens our understanding of the relationship between VOCs, the physicochemical properties with microbial communities, and reference significance for the production of better-quality strong-flavor Daqu. Full article
(This article belongs to the Section Food Quality and Safety)
Show Figures

Graphical abstract

16 pages, 1723 KB  
Article
Microbial Composition of Water Kefir Grains and Their Application for the Detoxification of Aflatoxin B1
by Weidong Ouyang, Zhenlin Liao, Ximiao Yang, Xiao Zhang, Xiaoxuan Zhu, Qingping Zhong, Li Wang, Xiang Fang and Jie Wang
Toxins 2024, 16(2), 107; https://doi.org/10.3390/toxins16020107 - 15 Feb 2024
Cited by 6 | Viewed by 3991
Abstract
Water kefir grains (WKGs), the starter used to develop a traditional beverage named water kefir, consist of a symbiotic mixture of probiotics with diverse bioactivities, but little is known about their abilities to remove mycotoxins that have serious adverse effects on humans and [...] Read more.
Water kefir grains (WKGs), the starter used to develop a traditional beverage named water kefir, consist of a symbiotic mixture of probiotics with diverse bioactivities, but little is known about their abilities to remove mycotoxins that have serious adverse effects on humans and animals. This study investigated the ability of WKGs to remove aflatoxin B1 (AFB1), one of the most toxic mycotoxins, under different settings, and determined the mechanism of absorption mediated by WKGs and the effect of WKGs on the toxicity induced by AFB1 and the reduction in AFB1 in cow milk and tea soups. The results showed the WKGs used herein were dominated by Lactobacillus, Acetobacter, Phenylobacterium, Sediminibacterium, Saccharomyces, Issatchenkia, and Kodamaea. HPLC analysis demonstrated that the WKGs effectively removed AFB1 at concentrations ranging from 1 to 5 µg/mL, pH values ranging from 3 to 9, and temperatures ranging from 4 to 45 °C. Additionally, the removal of AFB1 mainly depended on absorption, which was consistent with the Freundlich and pseudo-second-order kinetic models. Moreover, only 49.63% of AFB1 was released from the AFB1-WKG complex after four washes when the release of AFB1 was non-detectable. Furthermore, WKG treatment caused a dramatic reduction in the mutagenicity induced by AFB1 according to an Ames test and reduced more than 54% of AFB1 in cow milk and three tea soups. These results suggested that WKGs can act as a potential bio-absorbent with a high binding ability to detoxify AFB1 in food and feed via a chemical action step and multi-binding sites of AFB1 absorption in a wide range of scenarios. Full article
(This article belongs to the Section Mycotoxins)
Show Figures

Graphical abstract

Back to TopTop