Sign in to use this feature.

Years

Between: -

Subjects

remove_circle_outline
remove_circle_outline
remove_circle_outline
remove_circle_outline
remove_circle_outline
remove_circle_outline
remove_circle_outline

Journals

Article Types

Countries / Regions

Search Results (55)

Search Parameters:
Keywords = Intense Pulsed Light (IPL)

Order results
Result details
Results per page
Select all
Export citation of selected articles as:
15 pages, 4257 KB  
Article
Assessment of the Degree of Erythema Reduction in Rosacea After Polychromatic Light Treatments
by Anna Deda, Aleksandra Lipka-Trawińska, Dominika Wcisło-Dziadecka, Bartosz Miziołek, Magdalena Hartman-Petrycka and Sławomir Wilczyński
J. Clin. Med. 2026, 15(1), 302; https://doi.org/10.3390/jcm15010302 (registering DOI) - 31 Dec 2025
Abstract
Background: Rosacea is a chronic facial skin disease in which persistent erythema is a significant clinical problem, often resistant to standard therapies. Intensive pulsating light (IPL) has become a recognised and effective method of treating erythema and telangiectasia. The latest recommendations emphasise the [...] Read more.
Background: Rosacea is a chronic facial skin disease in which persistent erythema is a significant clinical problem, often resistant to standard therapies. Intensive pulsating light (IPL) has become a recognised and effective method of treating erythema and telangiectasia. The latest recommendations emphasise the advantage of combining subjective clinical assessments with objective imaging analyses in monitoring therapy effects. Methods: A total of 20 patients with rosacea qualified for this study. They were subjected to three polychromatic light procedures (Lumecca, Inmode; wavelength of 515–1200 nm) at 21-day intervals. The skin condition was documented photographically, and the degree of erythema was assessed on the basis of the Clinician Erythema Assessment (CEA) scale and objective analysis of the skin texture, using the parameters of contrast and homogeneity of the grey level co-occurrence matrix (GLCM). Results: A series of three polychromatic light treatments yielded a significant clinical improvement in all patients. The mean CEA value decreased by 61.11%, whereas the GLCM contrast in all the analysed facial areas dropped by about 17%, and homogeneity increased by 4–5%. The effects persisted for at least three months after the treatments. A high correlation of CEA scale results with GLCM parameters (R = 0.81–0.94 for contrast; R = −0.77 to −0.83 for homogeneity) was observed. Conclusions: Three polychromatic light treatments proved to be a very effective method of reducing erythema in rosacea, confirmed by both clinical evaluation and objective imaging analysis. The effects of therapy were durable and clear. Integration of the subjective method (CEA) with GLCM analysis can be a path for future research and clinical practice in the assessment of erythematous skin lesions. Full article
(This article belongs to the Section Dermatology)
Show Figures

Figure 1

18 pages, 1750 KB  
Article
Preoperative Diquafosol vs. Intense Pulsed Light with Gland Expression for MGD: Effects on Refractive Accuracy and Tear Film Stability in Cataract Surgery
by Takeshi Teshigawara, Tatsukata Kawagoe, Yuki Mizuki, Miki Akaishi, Takuto Sakono, Kazuro Yabuki, Seiichiro Hata, Akira Meguro and Nobuhisa Mizuki
J. Clin. Med. 2025, 14(24), 8946; https://doi.org/10.3390/jcm14248946 - 18 Dec 2025
Viewed by 179
Abstract
Objectives: To compare the effects of two preoperative dry eye treatments—3% diquafosol sodium (DQS) and intense pulsed light with meibomian gland expression (IPL-MGX)—on refractive accuracy in cataract surgery and identify tear break-up time (TBUT) thresholds predictive of refractive success. Methods: In [...] Read more.
Objectives: To compare the effects of two preoperative dry eye treatments—3% diquafosol sodium (DQS) and intense pulsed light with meibomian gland expression (IPL-MGX)—on refractive accuracy in cataract surgery and identify tear break-up time (TBUT) thresholds predictive of refractive success. Methods: In this prospective, paired-eye study, 62 patients (124 eyes) with meibomian gland dysfunction underwent bilateral cataract surgery with the same trifocal intraocular lens. One eye received DQS, while the fellow eye underwent four IPL-MGX sessions before biometry. Postoperative absolute prediction error (P-SE) was compared. TBUT and higher-order aberrations (HOAs) were evaluated. Logistic regression identified predictors of refractive accuracy, and receiver operating characteristic (ROC) analysis assessed the predictive value of TBUT for P-SE thresholds of <0.25 D and <0.50 D. Results: P-SE was significantly lower in IPL-MGX–treated eyes than in DQS-treated eyes (mean paired difference −0.11 D, p < 0.001). Success rates within <0.25 D and <0.50 D were higher with IPL-MGX (p < 0.01). TBUT and HOAs were predictors in univariate models, but only TBUT remained significant in the multivariable analysis (odds ratio, 4.90 per 1-s increase; 95% confidence interval, 1.92–12.51; p < 0.001). ROC analysis supported TBUT cutoffs of 7 s (<0.25 D) and 6 s (<0.50 D). Conclusions: IPL-MGX may improve refractive accuracy compared to DQS. TBUT appeared to be the most consistent predictor, and achieving ≥6 s was associated with higher likelihood of refractive success. Full article
Show Figures

Figure 1

12 pages, 277 KB  
Review
Combined Laser Strategies for Scar Treatment: A Comprehensive Review of Synergistic Protocols
by Alessandro Clementi, Giovanni Cannarozzo, Luca Guarino, Elena Zappia, Fortunato Cassalia, Andrea Danese, Marco Gratteri, Annunziata Dattola, Caterina Longo and Steven Paul Nisticò
Bioengineering 2025, 12(12), 1368; https://doi.org/10.3390/bioengineering12121368 - 16 Dec 2025
Viewed by 580
Abstract
Skin scars represent a complex therapeutic challenge, with significant functional, aesthetic, and psychological implications. Despite advances in laser therapy, monotherapy has significant limitations, particularly for patients with complex scars with atrophic, hypertrophic, vascular, and pigmentary components. The combined use of multiple laser sources, [...] Read more.
Skin scars represent a complex therapeutic challenge, with significant functional, aesthetic, and psychological implications. Despite advances in laser therapy, monotherapy has significant limitations, particularly for patients with complex scars with atrophic, hypertrophic, vascular, and pigmentary components. The combined use of multiple laser sources, in sequential or simultaneous mode, allows for the selective targeting of specific tissue components and improves clinical efficacy while maintaining a good safety profile. This narrative review critically analyses the available evidence on combination therapies for atrophic, hypertrophic, keloid, and post-surgical and burn scars. Protocols combining ablative lasers (CO2, Er:YAG), non-ablative lasers (1540–1550 nm), vascular lasers (PDL, Nd:YAG) and intense pulsed light (IPL) are reported. Possible integrations with adjuvant techniques, such as radiofrequency, platelet-rich plasma (PRP), and laser-assisted drug delivery, are also mentioned as areas for future development. The available data suggest a promising role for multimodal strategies, but the literature remains limited by small cohorts, heterogeneous protocols, and short follow-up periods. Although adverse events are generally mild and transient, typically involving erythema, oedema, or temporary dyschromia, an awareness of safety considerations remains essential, particularly in higher phototypes and when using ablative modalities. Further prospective and multicentre studies are needed to define standardised protocols and consolidate the role of combination therapies in the management of scars. Full article
Show Figures

Graphical abstract

14 pages, 1051 KB  
Article
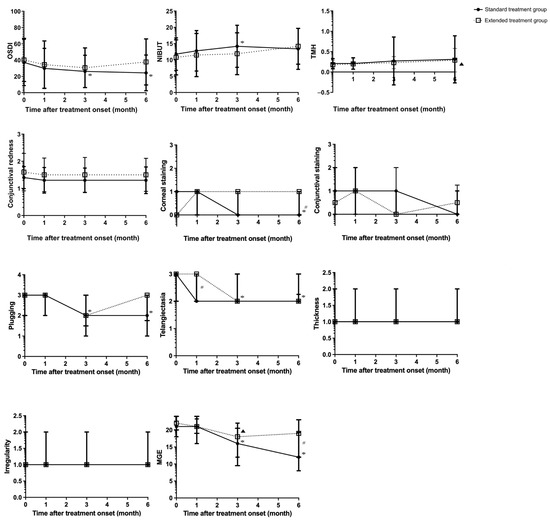
Therapeutic Outcomes of Combined Eyelid Hygiene, Intense Pulsed Light, and Meibomian Gland Expression in Meibomian Gland Dysfunction
by Chien-Cheng Chien, Yu-Min Chang, Chang-Min Liang, Ke-Hung Chien, Ming-Cheng Tai, Ting-Yi Lin and Tzu-Heng Weng
J. Clin. Med. 2025, 14(23), 8406; https://doi.org/10.3390/jcm14238406 - 27 Nov 2025
Viewed by 607
Abstract
Background/Objectives: This study aimed to assess the effectiveness of a combination therapy comprising eyelid hygiene, intense pulsed light (IPL), and meibomian gland expression in patients with meibomian gland dysfunction (MGD). Methods: This retrospective study included MGD patients who completed at least [...] Read more.
Background/Objectives: This study aimed to assess the effectiveness of a combination therapy comprising eyelid hygiene, intense pulsed light (IPL), and meibomian gland expression in patients with meibomian gland dysfunction (MGD). Methods: This retrospective study included MGD patients who completed at least three sessions of combination therapy administered at 4-week intervals, with a minimum follow-up period of 6 months. Ocular surface parameters were evaluated at baseline and at 1, 3, and 6 months after treatment initiation. Based on the clinical response following the initial three sessions, patients were categorized into either the standard treatment group (3 sessions) or the extended treatment group, who received three additional sessions of the same combination therapy. Results: A total of 107 patients (77 females; 30 males) were enrolled. 74 patients received standard treatment, and 33 received extended treatment. In the standard group, significant improvements compared with baseline were observed in the Ocular Surface Disease Index score, non-invasive tear break-up time, corneal staining, lid margin plugging, telangiectasia, and the meibomian gland expressibility score. Conversely, in the extended group, only the meibomian gland expressibility score showed significant improvements at the 3-month follow-up. Conclusions: The standard combination therapy resulted in significant and durable improvements in approximately 70% of MGD patients, with effects persisting for at least 3 months post-treatment. These findings support the clinical utility of this multimodal approach and highlight the need for biomarkers to predict treatment response. Full article
(This article belongs to the Section Ophthalmology)
Show Figures

Figure 1

19 pages, 1007 KB  
Systematic Review
Advances in Laser Therapy for Hidradenitis Suppurativa: A Systematic Assessment of Current Evidence
by Michał Gawroński, Kinga Bukowczyk, Julia Chęcińska, Julita Krupiczowicz, Michalina Kołomyjec, Magdalena Łyko and Alina Jankowska-Konsur
J. Clin. Med. 2025, 14(21), 7683; https://doi.org/10.3390/jcm14217683 - 29 Oct 2025
Viewed by 1802
Abstract
Background: Hidradenitis suppurativa (HS) is a chronic, recurrent skin disease that significantly impairs patients’ quality of life both physically and mentally. It often requires a complex treatment process. Laser therapy, which is highly effective and well-tolerated, is an effective alternative to pharmacological [...] Read more.
Background: Hidradenitis suppurativa (HS) is a chronic, recurrent skin disease that significantly impairs patients’ quality of life both physically and mentally. It often requires a complex treatment process. Laser therapy, which is highly effective and well-tolerated, is an effective alternative to pharmacological treatment. This review aimed to synthesize information on laser therapy for HS, highlighting its clinical outcomes. In the current management guidelines for hidradenitis suppurativa, laser therapy is listed as one of the recommended procedural treatment options, applicable at different stages of disease severity (Hurley I–III). Methodology: This systematic review was conducted using the PubMed and Embase databases, regardless of publication year, in accordance with the PRISMA guidelines. Applied key search terms were: “laser AND (hidradenitis suppurativa OR acne inversa)”. A total of 26 relevant studies were identified, and their data were extracted. Results: The CO2 laser is mainly used in advanced stages of the disease (Hurley II–III). It allows effective removal of lesions with a minimal risk of relapse and a good aesthetic effect. The Nd:YAG (neodymium-doped yttrium aluminum garnet; Nd: Y3Al5O12) laser is effective at various stages of the disease (Hurley I–III) by reducing inflammation and destroying hair follicles, thereby reducing disease symptoms. IPL (intense-pulse light) therapy, or the combination of IPL with radiofrequency (RF), known as LAight®, delivers significant clinical improvement and enhanced quality of life, especially in less advanced cases. The diode laser works precisely and deeply, leading to the selective destruction of hair follicles and fistulas. The Alexandrite laser (755 nm) also limits hair follicle occlusion and is particularly effective in patients with lighter skin phototypes. Conclusions: In modern dermatology, laser therapy is a reliable treatment for HS, contributing to effective regression of the disease at all stages. Combination strategies seem to improve clinical outcomes and enable a more personalized approach to HS, which is essential as various factors influence therapeutic efficacy. Further, larger-scale studies are needed to validate long-term outcomes and establish clinical guidelines. Full article
(This article belongs to the Section Dermatology)
Show Figures

Figure 1

11 pages, 1477 KB  
Commentary
Pharmacotherapy of Demodex-Associated Blepharitis: Current Trends and Future Perspectives
by Aleksandra Czępińska-Myszura, Małgorzata Maria Kozioł and Beata Rymgayłło-Jankowska
Pharmacy 2025, 13(5), 148; https://doi.org/10.3390/pharmacy13050148 - 15 Oct 2025
Viewed by 2607
Abstract
Demodex-associated blepharitis (DAB) is a common condition in our society. Patients report not only uncomfortable and bothersome symptoms but also decreased self-esteem and confidence. Because of its nonspecific signs, pharmacists are often the first healthcare professionals patients consult. What is most concerning [...] Read more.
Demodex-associated blepharitis (DAB) is a common condition in our society. Patients report not only uncomfortable and bothersome symptoms but also decreased self-esteem and confidence. Because of its nonspecific signs, pharmacists are often the first healthcare professionals patients consult. What is most concerning is that DAB can cause serious complications within the eye, such as dry eye syndrome, corneal scarring, or recurrent styes and chalazia. Therefore, we aimed to compile both standard and innovative therapies and compare their effectiveness and safety. As shown, standard methods remain the recommended approach. Alongside antiparasitic agents such as metronidazole or ivermectin, education and improved eyelid hygiene are crucial. However, in recent years, promising new treatments for Demodex blepharitis have emerged, such as Lotilaner Ophthalmic Solution 0.25%, which has shown positive results in clinical trials. Mechanical techniques, including Intense Pulsed Light (IPL) therapy and eyelid peeling procedures such as Blepharoexfoliation, have also demonstrated promise. Due to the notable effects of tea tree oil, studies have explored the lethal effects of other essential oils, such as sage, peppermint, and bergamot oils. These are just a few of the interesting examples discussed in this paper. Full article
Show Figures

Graphical abstract

16 pages, 251 KB  
Article
A Short-Term Comparative Evaluation of Multiple Treatment Modalities for Meibomian Gland Dysfunction: A Prospective Clinical Study
by Mübeccel Bulut, Ali Hakim Reyhan and Gökhan Yüzbaşı
Healthcare 2025, 13(16), 1992; https://doi.org/10.3390/healthcare13161992 - 14 Aug 2025
Viewed by 1176
Abstract
Purpose: The aim of this study was to evaluate the different approaches used in the treatment of meibomian gland dysfunction (MGD). Materials and Methods: This open-label, single-center, prospective pilot study with a parallel-group design was conducted in February 2025. Ninety-two patients presenting to [...] Read more.
Purpose: The aim of this study was to evaluate the different approaches used in the treatment of meibomian gland dysfunction (MGD). Materials and Methods: This open-label, single-center, prospective pilot study with a parallel-group design was conducted in February 2025. Ninety-two patients presenting to our clinic with symptoms and signs of MGD were enrolled and diagnosed according to Japanese MGD diagnostic criteria. Patients were assigned to five treatment groups: conservative management alone, conservative management plus intense pulsed light (IPL) therapy, conservative management plus oral azithromycin, conservative management plus oral doxycycline, and conservative management plus topical cyclosporine. Conservative management consisted of preservative-free artificial tears containing polyvinyl alcohol and povidone, warm compresses, and eyelid hygiene. Primary outcome measures included ocular surface parameters such as the Ocular Surface Disease Index (OSDI), tear break-up time (TBUT), Standard Patient Evaluation of Eye Dryness (SPEED) scores, and meibomian gland parameters evaluated using a slit-lamp examination. All parameters were assessed at baseline and during follow-up examinations after treatment initiation to observe changes in symptoms and signs. Results: A statistically significant increase was determined in meibum grade plugging (grades 0–3; higher = greater obstruction) and Marx line scores with IPL therapy (p < 0.05). The group receiving doxycycline treatment exhibited a significant improvement in OSDI and SPEED scores, plugging, TBUT, and meibum grades. The group receiving cyclosporine registered a significant improvement in OSDI and SPEED scores, plugging, TBUT, and meibum grades. A statistically significant increase was observed in the conservative treatment group in terms of lid margin irregularity, Marx line score, and OSDI and SPEED scores. In the group receiving azithromycin treatment, plugging, lid margin irregularity, TBUT, and OSDI and SPEED scores increased significantly. Compared with conservative care, the doxycycline group exhibited lengthened TBUT and lowered meibomian gland plugging and symptoms (p < 0.05), and the oral azithromycin group achieved a similar TBUT gain with slightly greater symptom relief. The topical cyclosporine group principally registered improved lid vascularity and meibum quality (p < 0.05), while the IPL group achieved the greatest overall improvements, reducing plugging and Marx line scores and adding ≈3 s to TBUT (p < 0.05 for all endpoints). Doxycycline exhibited notable short-term improvements, with 35.26% meibum grade improvement and a 40.48% foaming response, while IPL therapy demonstrated substantial OSDI improvements at 54.06%, with traditional parameters indicating limited treatment responsiveness. Conclusions: Various methods can be used in the treatment of MGD. All the conservative treatment methods used in this study were successful. Full article
(This article belongs to the Section Health Assessments)
20 pages, 313 KB  
Review
Ophthalmological Complications of Aesthetic Medicine Procedures: A Narrative Review
by Lucía De-Pablo-Gómez-de-Liaño, Fernando Ly-Yang, Bárbara Burgos-Blasco and José Ignacio Fernández-Vigo
J. Clin. Med. 2025, 14(15), 5399; https://doi.org/10.3390/jcm14155399 - 31 Jul 2025
Cited by 1 | Viewed by 5980
Abstract
Minimally invasive cosmetic procedures, such as dermal fillers, botulinum toxin injections, autologous fat grafting, intense pulsed light (IPL) treatments, and platelet-rich plasma (PRP) treatments, are increasingly popular worldwide due to their convenience and aesthetic benefits. While generally considered safe, these procedures can result [...] Read more.
Minimally invasive cosmetic procedures, such as dermal fillers, botulinum toxin injections, autologous fat grafting, intense pulsed light (IPL) treatments, and platelet-rich plasma (PRP) treatments, are increasingly popular worldwide due to their convenience and aesthetic benefits. While generally considered safe, these procedures can result in rare but serious ophthalmological complications. The most catastrophic adverse events include central retinal artery occlusion and ischemic optic neuropathy, which may lead to irreversible vision loss. Other complications include diplopia, ptosis, dry eye, and orbital cellulitis, with varying degrees of severity and reversibility. Awareness of potential ocular risks, appropriate patient selection, and adherence to safe injection techniques are crucial for preventing complications. This narrative review summarizes the incidence, mechanisms, clinical features, risk factors, diagnostic approaches, and management strategies of ocular complications associated with aesthetic medical procedures. A narrative literature review was conducted, emphasizing data from clinical studies, case series, and expert consensus published between 2015 and 2025. Special attention is given to anatomical danger zones, the pathophysiological pathways of filler embolization, and the roles of hyaluronidase and hyperbaric oxygen therapy in acute management. Although many complications are self-limited or reversible, prompt recognition and intervention are critical to prevent permanent sequelae. The increasing prevalence of these procedures demands enhanced education, informed consent, and interdisciplinary collaboration between aesthetic providers and ophthalmologists. Full article
(This article belongs to the Section Ophthalmology)
24 pages, 1710 KB  
Review
Navigating the Dry Eye Therapeutic Puzzle: A Mechanism-Based Overview of Current Treatments
by Jason Betz and Anat Galor
Pharmaceuticals 2025, 18(7), 994; https://doi.org/10.3390/ph18070994 - 2 Jul 2025
Cited by 3 | Viewed by 6110
Abstract
Background/Objectives: Dry eye disease (DED) is a multifactorial condition with complex pathophysiology involving tear film instability, ocular surface inflammation, and nerve dysfunction. This review summarizes current evidence on the different available therapies targeting these mechanisms. Methods: A review of clinical studies [...] Read more.
Background/Objectives: Dry eye disease (DED) is a multifactorial condition with complex pathophysiology involving tear film instability, ocular surface inflammation, and nerve dysfunction. This review summarizes current evidence on the different available therapies targeting these mechanisms. Methods: A review of clinical studies evaluating treatment outcomes for therapies targeting aqueous tear deficiency, Meibomian gland dysfunction, ocular surface inflammation, and ocular pain was conducted, with an emphasis on randomized controlled trials and meta-analyses where available. Results: Artificial tears provide symptomatic relief with limited impact on tear film stability. Punctal plugs improve tear retention but show variable efficacy across studies. Treatments targeting MGD—such as lipid-based lubricants, eyelid hygiene, thermal pulsation (LipiFlow, iLux), and intense pulsed light (IPL)—demonstrate improvements in gland function, though outcomes vary. Anti-inflammatory agents including cyclosporine, lifitegrast, and short-term corticosteroids improve ocular surface signs, with mixed symptom relief. Biologic therapies like autologous serum tears and platelet-rich plasma show promise for both signs and symptoms, but data remain inconsistent. Nerve-targeted therapies, including oral neuromodulators (gabapentin, antidepressants), botulinum toxin, and transcutaneous nerve stimulation, have shown potential for managing neuropathic ocular pain, although randomized data are limited. Overall, variability in study designs, patient populations, and outcome measures highlights the need for more rigorous research. Conclusions: Personalized, mechanism-based treatment strategies are essential for optimizing outcomes in DED. Future research should prioritize well-designed, controlled studies to clarify the role of emerging therapies and guide the individualized management of this heterogeneous condition. Full article
(This article belongs to the Section Pharmacology)
Show Figures

Figure 1

15 pages, 18796 KB  
Article
Study of the Repair Action and Mechanisms of a Moisturizing Cream on an SLS-Damaged Skin Model Using Two-Photon Microscopy
by Yixin Shen, Ying Ye, Lina Wang, Huiping Hu, Caixia Wang, Yuxuan Wu, Dingqiao Lin, Jiaqi Shen, Hong Zhang, Yanan Li and Peiwen Sun
Cosmetics 2025, 12(3), 119; https://doi.org/10.3390/cosmetics12030119 - 10 Jun 2025
Viewed by 5009
Abstract
This study evaluates the efficacy of a novel moisturizing cream using a sodium lauryl sulfate (SLS)-induced skin damage model, supported by advanced imaging with two-photon microscopy (TPM). TPM’s capabilities allow for in-depth, non-invasive visualization of skin repair processes, surpassing traditional imaging methods. The [...] Read more.
This study evaluates the efficacy of a novel moisturizing cream using a sodium lauryl sulfate (SLS)-induced skin damage model, supported by advanced imaging with two-photon microscopy (TPM). TPM’s capabilities allow for in-depth, non-invasive visualization of skin repair processes, surpassing traditional imaging methods. The innovative formulation of the cream includes ceramide NP, ceramide NS, ceramide AP, lactobacillus/soybean ferment extract, and bacillus ferment, targeting the enhancement of skin hydration, barrier function, and structural integrity. In SLS-stimulated 3D skin models and clinical settings, the cream significantly improved the expression of key barrier proteins such as filaggrin (FLG), loricrin (LOR), and transglutaminase 1 (TGM1), while reducing inflammatory markers like IL-1α, TNF-α, and PGE2. Notably, the cream facilitated a significant increase in epidermal thickness and improved the dermal–epidermal junction index (DEJI), as observed through TPM, indicating profound skin repair and enhanced barrier functionality. Clinical trials further demonstrated the cream’s reparative effects, significantly reducing symptoms in participants with sensitive skin and post-intense pulsed light (IPL) treatment scenarios. This study highlights the utility of TPM as a groundbreaking tool in cosmetic dermatology, offering real-time analysis of the effects of skincare products on skin structure and function. Full article
(This article belongs to the Section Cosmetic Dermatology)
Show Figures

Figure 1

12 pages, 1782 KB  
Article
Effect of Preoperative Dry Eye Treatment with Intense Pulsed Light with Meibomian Gland Expression on the Refractive Accuracy of Cataract Surgery in Patients with Meibomian Gland Dysfunction-Related Dry Eye: A Single-Center, Prospective, Open-Label Study
by Tatsukata Kawagoe, Yuki Mizuki, Miki Akaishi, Masaki Takeuchi, Kazuro Yabuki, Seiichiro Hata, Akira Meguro, Nobuhisa Mizuki and Takeshi Teshigawara
J. Clin. Med. 2025, 14(8), 2805; https://doi.org/10.3390/jcm14082805 - 18 Apr 2025
Cited by 4 | Viewed by 3320
Abstract
Objective: This research seeks to investigate the effects of preoperative intense pulsed light with manual meibomian expression (IPL-MGX) on the refractive accuracy of cataract surgery on dry eyes with meibomian gland dysfunction (MGD-related dry eyes). Methods: Fifty-six MGD-related dry eye cases planned for [...] Read more.
Objective: This research seeks to investigate the effects of preoperative intense pulsed light with manual meibomian expression (IPL-MGX) on the refractive accuracy of cataract surgery on dry eyes with meibomian gland dysfunction (MGD-related dry eyes). Methods: Fifty-six MGD-related dry eye cases planned for cataract surgery were analyzed. IPL-MGX (four times at 2-week intervals) was performed before preoperative examination. Axial length (AL), anterior chamber depth (ACD), corneal curvature (mean-K), tear break-up time (TBUT), superficial punctate keratopathy in the central cornea (C-SPK), corneal higher-order aberrations (HOAs), and predicted postoperative spherical equivalent (P-SE) were evaluated pre- and post-IPL-MGX. The postoperative subjective spherical equivalent (S-SE) was evaluated after one month. The absolute difference between the S-SE and P-SE was considered an indication of P-SE accuracy. Changes in all the variables were assessed before and after IPL-MGX treatment. Results: No significant differences were observed in AL or ACD (p = 0.85, 0.56). The differences in mean-K, TBUT, C-SPK, and HOAs were significant (p < 0.01). P-SE accuracy based on post-IPL-MGX data was significantly higher than that based on pre-IPL-MGX data (p < 0.01). P-SE accuracy was within 0.25 diopters (D) in 14.3% of pre- and 55.4% of post-IPL-MGX, within 0.5D in 55.4% of pre- and 92.9% of post-IPL-MGX, within 0.75D in 98.2% of pre- and post-IPL-MGX, and within 1.0D in 98.2% of pre- and 100% of post-IPL-MGX. In the range of 0.25 and 0.5 D, the accuracy of P-SE was significantly higher in post-IPL-MGX (p < 0.01). Conclusions: Preoperative IPL-MGX considerably improved the predicted postoperative refraction accuracy in patients with MGD-related dry eye undergoing cataract surgery. Full article
(This article belongs to the Section Ophthalmology)
Show Figures

Figure 1

14 pages, 1143 KB  
Article
A Comparative Study of Intense Pulsed Light with Two Different Filters in Meibomian Gland Dysfunction: A Prospective Randomized Study
by Hayoung Lee, Yoo Young Jeon, Kyu Sang Eah, Nahyun Park, Yea Eun Lee, Jeewon Han, Chung Min Lee, Changmin Kim, Ho Seok Chung, Jae Yong Kim and Hun Lee
J. Clin. Med. 2025, 14(1), 199; https://doi.org/10.3390/jcm14010199 - 1 Jan 2025
Cited by 3 | Viewed by 4107
Abstract
Objectives: To compare the long-term efficacy and safety of intense pulsed light (IPL) treatments using a 590-nm and an acne filter. Methods: In this prospective, randomized, paired-eye trial study, 30 patients with moderate and severe meibomian gland dysfunction (MGD) were followed up for [...] Read more.
Objectives: To compare the long-term efficacy and safety of intense pulsed light (IPL) treatments using a 590-nm and an acne filter. Methods: In this prospective, randomized, paired-eye trial study, 30 patients with moderate and severe meibomian gland dysfunction (MGD) were followed up for at least one month after their last treatment. Group A received IPL treatment with an acne filter, a type of notch filter that blocks wavelengths between 600 and 800 nm, allowing IPL to emit wavelengths between 400–600 nm and 800–1200 nm. Group B received treatment with a 590 nm filter, a type of cut-off filter that blocks wavelengths below 590 nm. Clinical parameters, including tear osmolarity, matrix metalloproteinase (MMP)-9 expression, tear break-up time, ocular surface staining scores, Schirmer’s test I, lid margin telangiectasia scores, MG expressibility/secretion scores, and Ocular Surface Disease Index scores, were measured at baseline, 1, 6, and 12 months after their last treatment. Results: In the linear mixed model, significant time effects on all clinical parameters, except for MMP-9 grades and Schirmer’s test I results, were observed within each group. However, interactions between time points (baseline, 6 months, 12 months) and groups (Group A, B) were not significant. The generalized estimating equation model showed no significant interaction between time points and groups for MMP-9 positivity; however, a significant time effect on MMP-9 positivity was observed in Group A, with a decrease at 12 months after their last treatment when compared to baseline and 6 months. Conclusions: The IPL treatment modality for moderate to severe MGD demonstrated a significant therapeutic effect for one year under strictly controlled self-administration of other treatments. IPL treatment using acne filter is a promising treatment option for reducing MMP-9 positivity in MGD patients. Full article
Show Figures

Figure 1

15 pages, 3526 KB  
Article
Methods of Quantitative Assessment of the Response of Dilated Skin Blood Vessels to High-Energy Light Treatments
by Anna Deda, Aleksandra Lipka-Trawińska, Barbara Błońska-Fajfrowska, Wiktoria Odrzywołek, Agata Lebiedowska, Magdalena Hartman-Petrycka, Dominika Wcisło-Dziadecka and Sławomir Wilczyński
J. Clin. Med. 2024, 13(24), 7547; https://doi.org/10.3390/jcm13247547 - 11 Dec 2024
Cited by 1 | Viewed by 1535
Abstract
Background: The techniques of choice used in the treatment of extensive vascular lesions of the face are methods based on high-energy light sources, such as lasers and IPL (intense pulsed light). The techniques commonly employed to detect blood vessel abnormalities in skin primarily [...] Read more.
Background: The techniques of choice used in the treatment of extensive vascular lesions of the face are methods based on high-energy light sources, such as lasers and IPL (intense pulsed light). The techniques commonly employed to detect blood vessel abnormalities in skin primarily rely on semi-quantitative or qualitative scales. Methods: The study was conducted on a group of 38 volunteers; a series of three treatments was performed using an IPL source (Lumecca, Inmode, Israel). The vessels’ response to the high-energy light was verified using the following quantitative methods: mexametric measurements, hyperspectral imaging, and directional reflectance measurements. Results: In the mexameter measurement, statistically non-significant differences were obtained in the hemoglobin content in the skin condition prior to and following multiple intense pulsed light sessions. Studies performed using a hyperspectral camera showed that at a wavelength of 580 nm, the increase in skin reflectance after the treatment was statistically significant. Total directional reflectance measurements showed that at wavelengths of 400–540 nm and 480–600 nm, following the IPL treatment, the skin reflectance increased statistically significantly. Implementing three consecutive intense pulsed light procedures appears adequate to obtain a clinically satisfactory reduction in vascular changes in the facial skin. Mexametric measurements do not enable the assessment of the reaction of blood vessels to IPL. Conclusions: Hyperspectral imaging is an effective method for the quantitative assessment of skin vascular lesions. The best results in the assessment of vascular lesions using hyperspectral imaging are obtained at wavelengths of 420 nm and 580 nm. The hemispheric directional reflectance method allows for a quick, accurate, and repeatable assessment of vascular skin changes. Full article
Show Figures

Figure 1

16 pages, 2403 KB  
Article
Dry Eye Treatment with Intense Pulsed Light for Improving Visual Outcomes After Cataract Surgery with Diffractive Trifocal Intraocular Lens Implantation
by Takeshi Teshigawara, Miki Akaishi, Yuki Mizuki, Masaki Takeuchi, Kazuro Yabuki, Seiichiro Hata, Akira Meguro and Nobuhisa Mizuki
J. Clin. Med. 2024, 13(22), 6973; https://doi.org/10.3390/jcm13226973 - 19 Nov 2024
Cited by 8 | Viewed by 3430
Abstract
Background/Objectives: Meibomian gland dysfunction (MGD)-related dry eye aggravates postoperative visual outcomes in cataracts. Diffractive trifocal intraocular lenses (IOLs) decrease contrast sensitivity (CS). Intense pulsed light (IPL) improves tear film stability and ocular surface conditions in MGD-related dry eyes. We investigated the effect of [...] Read more.
Background/Objectives: Meibomian gland dysfunction (MGD)-related dry eye aggravates postoperative visual outcomes in cataracts. Diffractive trifocal intraocular lenses (IOLs) decrease contrast sensitivity (CS). Intense pulsed light (IPL) improves tear film stability and ocular surface conditions in MGD-related dry eyes. We investigated the effect of preoperative MGD-related dry eye treatment combining manual meibomian gland expression (MGX) with IPL (IPL-MGX) on visual outcomes post-cataract surgery with diffractive trifocal IOL implantation. Methods: In this single-center, prospective, and open-label study, we enrolled 67 patients (134 eyes) with MGD-related dry eye undergoing cataract surgery on both eyes. Preoperatively, IPL-MGX was performed on one eye (IPL-MGX group) but not the contralateral eye (control group). Tear break-up time, high-order aberrations, and central superficial punctate keratopathy (C-SPK) were assessed. CS and corrected distance visual acuity were analyzed. Differences between groups were analyzed at 1 week, 1 month, and 3 months postoperatively. Results: The IPL-MGX group showed greater mean tear break-up time and lower mean high-order aberration and C-SPK values after preoperative IPL treatment and postoperatively (all p < 0.01). Postoperative CS was higher in the IPL-MGX group at 1 week (all spatial frequencies) (p < 0.01 [cpd = 2.9, 4.5, 7.1, and 10.2] and p < 0.05 [cpd = 1.1 and 1.8]); 1 month [2.9–10.2 cpd] (p < 0.01); and 3 months [4.5–10.2 cpd] (p < 0.01 [cpd = 10.2] and p < 0.05 [cpd = 4.5 and 7.1]) postoperatively. Mean corrected distance visual acuity was higher in the IPL-MGX group only postoperatively (p < 0.01). Conclusions: Preoperative MGD-related dry eye treatment using IPL-MGX enhances tear film stability, ocular surface conditions, and visual outcomes, potentially improving postoperative vision quality and patient satisfaction. Full article
(This article belongs to the Section Ophthalmology)
Show Figures

Figure 1

12 pages, 1599 KB  
Article
Comparative Analysis of Intense Pulsed Light Therapy in Patients with Meibomian Gland Dysfunction, with and Without Glaucoma Medication
by Kwang-Eon Han, Jinho Kim, Su-Jin Kim, Jonghoon Shin, Eun-Jung Choi, Sangmin Kim, Dogyu Lee, Jeongyun Kim, Sangwoo Moon and Ji-Eun Lee
J. Clin. Med. 2024, 13(21), 6341; https://doi.org/10.3390/jcm13216341 - 23 Oct 2024
Cited by 2 | Viewed by 2871
Abstract
Background: This study assessed the efficacy of intense pulsed light (IPL) therapy for treating meibomian gland dysfunction (MGD), a key contributor to evaporative dry eye disease (DED), by comparing outcomes in patients with idiopathic MGD versus those with MGD induced by glaucoma [...] Read more.
Background: This study assessed the efficacy of intense pulsed light (IPL) therapy for treating meibomian gland dysfunction (MGD), a key contributor to evaporative dry eye disease (DED), by comparing outcomes in patients with idiopathic MGD versus those with MGD induced by glaucoma medications. Methods: In a retrospective analysis of 45 patients, divided into groups based on glaucoma medication use (20 patients) and non-use (25 patients), all underwent four IPL sessions combined with meibomian gland expression (MGX) at 3-week intervals. Key metrics evaluated included Ocular Surface Disease Index (OSDI) scores, tear breakup time (TBUT), Schirmer I test scores, and meibography scores, pre- and post-treatment. Results: Significant improvements were observed in both groups across all parameters post-treatment, indicating enhanced tear film stability and meibomian gland function. The non-glaucoma group showed slightly greater improvements, suggesting the potential impact of glaucoma medications on MGD management. Conclusions: These findings underscore IPL therapy’s effectiveness in improving DED symptoms and meibomian gland function, highlighting its utility as a treatment option for patients with MGD, including those on glaucoma medications. Full article
(This article belongs to the Special Issue Diagnosis and Management Strategies for Dry Eye Disease)
Show Figures

Figure 1

Back to TopTop