Sign in to use this feature.

Years

Between: -

Subjects

remove_circle_outline
remove_circle_outline
remove_circle_outline
remove_circle_outline
remove_circle_outline
remove_circle_outline
remove_circle_outline
remove_circle_outline
remove_circle_outline

Journals

remove_circle_outline
remove_circle_outline
remove_circle_outline
remove_circle_outline
remove_circle_outline
remove_circle_outline
remove_circle_outline
remove_circle_outline
remove_circle_outline
remove_circle_outline
remove_circle_outline
remove_circle_outline
remove_circle_outline
remove_circle_outline
remove_circle_outline
remove_circle_outline
remove_circle_outline
remove_circle_outline

Article Types

Countries / Regions

remove_circle_outline
remove_circle_outline
remove_circle_outline
remove_circle_outline
remove_circle_outline

Search Results (558)

Search Parameters:
Keywords = Instagram

Order results
Result details
Results per page
Select all
Export citation of selected articles as:
19 pages, 325 KB  
Article
TikTok and Instagram as Putative Social Media in Promoting Healthy Eating Habits in Youths At-Risk for Eating/Feeding Disorders and Body Image Dissatisfaction
by Laura Orsolini, Giulio Longo, Teresa Cantarini, Salvatore Reina and Umberto Volpe
Brain Sci. 2026, 16(4), 379; https://doi.org/10.3390/brainsci16040379 - 30 Mar 2026
Abstract
Background: The widespread use of Social Networks (SNS), particularly among youths, could promote Feeding and Eating Disorders (FEDs), but could also be a tool for implementing FED prevention strategies. This study aimed to identify which SNS could be most effective for implementing [...] Read more.
Background: The widespread use of Social Networks (SNS), particularly among youths, could promote Feeding and Eating Disorders (FEDs), but could also be a tool for implementing FED prevention strategies. This study aimed to identify which SNS could be most effective for implementing primary and secondary FED prevention. Methodology: A cross-sectional study was conducted via an Italian population-based survey, distributed using a snowball sampling strategy. The survey included 283 participants aged 18–35 by using the Bergen Social Media Addiction Scale (BSMAS), the SCOFF screening tool for FEDs, items from the Body Uneasiness Test (BUT), and the Mukbang Addiction Scale (MAS). Results: The sample was predominantly female (69.3%). Participants screening positive on the SCOFF were more frequently TikTok users. Stepwise logistic regression analysis showed that TikTok use was associated with SCOFF positivity (OR = 1.9) and body image concerns (e.g., spending a lot of time in front of the mirror; OR = 1.9). Instagram use was associated with body image dissatisfaction (OR = 3.9). In the overall sample, the likelihood of screening positive on the SCOFF was associated with TikTok use (OR = 1.7), higher BSMAS scores (OR = 1.1), exposure to body positivity/neutrality content (OR = 1.9), and watching Mukbang videos (OR = 1.8). Conclusions: TikTok and, to a lesser extent, Instagram appear to be widely used by young individuals vulnerable to FEDs and body image dissatisfaction. These platforms may therefore represent strategic channels for delivering educational and preventive interventions targeting eating behaviors and body image among young people. Further longitudinal research is needed to clarify causal relationships and evaluate the effectiveness of SNS-based prevention strategies. Full article
(This article belongs to the Special Issue Emerging Trends in Youth Mental Health)
15 pages, 2427 KB  
Article
Credibility, Authenticity and Communication Strategies of Multiple Sclerosis E-Patients on Social Media
by Raquel Martínez-Sanz, Patricia Durántez-Stolle and Valeriano Piñeiro-Naval
Journal. Media 2026, 7(1), 70; https://doi.org/10.3390/journalmedia7010070 - 23 Mar 2026
Viewed by 218
Abstract
Social media has become a key space for health communication, fostering the emergence of the e-patient influencer, a figure capable of generating a support community around themselves. In the case of multiple sclerosis (MS), a complex disease with an uncertain prognosis, these profiles [...] Read more.
Social media has become a key space for health communication, fostering the emergence of the e-patient influencer, a figure capable of generating a support community around themselves. In the case of multiple sclerosis (MS), a complex disease with an uncertain prognosis, these profiles can influence the perception and management of the disease. Therefore, credibility and authenticity are identified as key constructs for truly understanding the effectiveness of their communication. Through content analysis, the main active profiles on Instagram and TikTok are examined to recognise narrative patterns, communication strategies and different levels of credibility and authenticity, as well as potential differences between those platforms involved. The results show, on both networks, a predominance of empathetic content focused on the daily management of this disease. Furthermore, a positive, albeit moderate, relationship between credibility and authenticity is found, confirming the importance of these two concepts in social media. Instagram shows slightly higher degrees of credibility, while authenticity is more predominant on TikTok, fostered by the spontaneity and transparency of its creators. Full article
Show Figures

Figure 1

27 pages, 529 KB  
Article
Platform-Specific Quality Dimensions in Instagram Commerce: How Social Media Features Drive Consumer Behavior
by Iván Veas-González, Manuel Escobar-Farfán, Gabriela Pizarro-Veloso, Nelson Carrión-Bosquez, Aurora Sánchez Ortiz, Catalina Aliaga-Blanco and Génesis Rebolledo-Santander
J. Theor. Appl. Electron. Commer. Res. 2026, 21(3), 96; https://doi.org/10.3390/jtaer21030096 - 23 Mar 2026
Viewed by 238
Abstract
The emergence of social media platforms as commercial environments has necessitated the reconceptualization of service quality frameworks in electronic commerce research. This investigation analyzes and empirically validates social media quality as a multidimensional construct encompassing clarity, attractiveness, interactivity, and relevance dimensions. Grounded in [...] Read more.
The emergence of social media platforms as commercial environments has necessitated the reconceptualization of service quality frameworks in electronic commerce research. This investigation analyzes and empirically validates social media quality as a multidimensional construct encompassing clarity, attractiveness, interactivity, and relevance dimensions. Grounded in means-end chain theory and uses and gratifications theory, we propose and test a comprehensive nomological network examining customer service and privacy as antecedents and their consequent effects on brand image, electronic word-of-mouth, repurchase intention, and customer satisfaction within Instagram commerce ecosystems. Using structural equation modeling with 258 Chilean Instagram commerce users, we find empirical support for all hypothesized relationships. Results reveal that both customer service and privacy are significant determinants of social media quality perceptions, with privacy demonstrating a substantially stronger effect. Social media quality, in turn, demonstrates considerable predictive power for brand image, customer satisfaction, electronic word of mouth, and repurchase intention. Importantly, customer satisfaction functions as a critical mediating mechanism, translating quality perceptions into behavioral outcomes. This research extends existing service quality literature by delineating a theoretically grounded framework for assessing quality perceptions in social commerce contexts and offering strategic guidance for optimizing social media commerce initiatives. Full article
Show Figures

Figure 1

13 pages, 528 KB  
Article
The Association Between Social Media Usage on Food Choice Motivations and Dietary Carbon Footprints in Adolescents: A Cross-Sectional Study
by Hande Seven Avuk, Tugce Ozlu Karahan, Ezgi Sarigil, Nil Pinar, Ayse Terzi, Nursena Dirinli and Emre Batuhan Kenger
Int. J. Environ. Res. Public Health 2026, 23(3), 400; https://doi.org/10.3390/ijerph23030400 - 21 Mar 2026
Viewed by 195
Abstract
Social media has become a prominent digital environment associated with adolescents’ food preferences and the environmental impacts of their diets. This study aimed to examine the relationship between social media usage habits, food choice motivations, and the environmental impact of the diet, specifically [...] Read more.
Social media has become a prominent digital environment associated with adolescents’ food preferences and the environmental impacts of their diets. This study aimed to examine the relationship between social media usage habits, food choice motivations, and the environmental impact of the diet, specifically the carbon footprint, in adolescents. This cross-sectional study was conducted with 216 adolescents aged 14–18 years in Istanbul between January and April 2025. Data were collected using the Food Choice Questionnaire (FCQ) and a 24 h dietary recall. The dietary carbon footprint was calculated by mapping 24 h dietary recall data to emission factors from the Data FIELDS database and scientific literature. Of the participants, 60.6% were female. Females had significantly higher rates of being influenced by social media in food choices (p < 0.001) and total FCQ scores (p = 0.025) compared to males. Regarding social media platforms, TikTok usage was associated with higher ethical concern and mood scores (p < 0.001), while Instagram usage was associated with weight control (p = 0.012). Daily internet use of 180 min was associated with higher price (p = 0.001) and weight control (p = 0.003) motivations. Notably, a significant negative correlation was found between health motivation and carbon footprint (r = −0.173, p = 0.011). Multivariate regression analysis confirmed that an increase in health score was associated with a reduction in carbon footprint (β = −0.204, p = 0.003), independent of gender, BMI, and social media influence. Social media platforms serve as a relevant digital environment associated with adolescents’ food preferences. The finding that health-oriented choices are associated with lower carbon footprints indicates that promoting healthy eating on social media will benefit both individual and planetary health. Full article
Show Figures

Figure 1

17 pages, 1257 KB  
Article
Beyond the Political Rallies: Digital Platforms as Alternative Media in Portuguese Electoral Campaigns
by João Canavilhas, Branco Di Fátima and Eduardo J. M. Camilo
Soc. Sci. 2026, 15(3), 206; https://doi.org/10.3390/socsci15030206 - 21 Mar 2026
Viewed by 221
Abstract
Traditional media have progressively lost electoral centrality, while social media platforms have become key arenas for political communication. Although digital campaigning has been widely studied, limited cross-platform research has examined how social media engagement relates to broader patterns of digital public attention, particularly [...] Read more.
Traditional media have progressively lost electoral centrality, while social media platforms have become key arenas for political communication. Although digital campaigning has been widely studied, limited cross-platform research has examined how social media engagement relates to broader patterns of digital public attention, particularly in Southern European multi-party systems. This study analyses the digital strategies of Portuguese political parties during the 2024 Legislative Elections, drawing on an original dataset of 6251 posts and 8.5 million interactions across Facebook, Instagram, X, YouTube, and TikTok, combined with Google search trends data. The main findings show that ideologically extreme parties generate significantly higher engagement, especially the far-right. However, high engagement does not necessarily translate into broader digital attention. Televised debates remain decisive in structuring peaks of online interest, confirming the persistence of hybrid media dynamics. By integrating cross-platform engagement metrics with search data, this study demonstrates the limits of engagement as a proxy for political attention and electoral impact. Full article
(This article belongs to the Special Issue Understanding the Influence of Alternative Political Media)
Show Figures

Figure 1

28 pages, 2882 KB  
Article
Semantic Divergence in AI-Generated and Human Influencer Product Recommendations: A Computational Analysis of Dual-Agent Communication in Social Commerce
by Woo-Chul Lee, Jang-Suk Lee and Jungho Suh
Appl. Sci. 2026, 16(6), 2816; https://doi.org/10.3390/app16062816 - 15 Mar 2026
Viewed by 369
Abstract
The proliferation of generative artificial intelligence (AI) as an autonomous recommendation agent fundamentally challenges traditional paradigms of marketing communication. As AI systems increasingly mediate consumer–brand relationships, understanding how artificial agents construct persuasive discourse—distinct from human communicators—becomes critical for developing effective dual-channel marketing strategies. [...] Read more.
The proliferation of generative artificial intelligence (AI) as an autonomous recommendation agent fundamentally challenges traditional paradigms of marketing communication. As AI systems increasingly mediate consumer–brand relationships, understanding how artificial agents construct persuasive discourse—distinct from human communicators—becomes critical for developing effective dual-channel marketing strategies. Grounded in Source Credibility Theory and the Computers Are Social Actors (CASA) paradigm, this study investigates the semantic and structural divergence between AI-generated product recommendations and human influencer marketing messages in social commerce contexts. Employing a mixed-methods computational approach integrating term frequency analysis, TF-IDF weighting, Latent Dirichlet Allocation (LDA) topic modeling, and BERT-based contextualized semantic embedding analysis (KR-SBERT), we examined 330 Instagram influencer posts and 541 AI-generated responses concerning inner beauty enzyme products—a hybrid category combining functional health claims with hedonic beauty appeals—in the Korean social commerce market. AI-generated responses were collected through a systematically designed query protocol with empirically grounded prompts derived from actual consumer search behaviors, and analytical robustness was verified through sensitivity analyses across multiple parameter thresholds. Our findings reveal a fundamental divergence in persuasive architecture: human influencers construct experiential narratives exhibiting message characteristics typically associated with peripheral-route cues (sensory descriptions, emotional testimonials, social context), while AI recommendations employ systematic, evidence-based discourse exhibiting message characteristics typically associated with central-route argumentation (functional mechanisms, ingredient specifications, objective criteria). Topic modeling identified four distinct thematic clusters for each source type: human discourse centers on embodied experience and relational consumption, whereas AI discourse organizes around informational utility and rational decision support. Jensen–Shannon Divergence analysis (JSD = 0.213 bits) confirmed moderate distributional divergence, while chi-square testing (χ2 = 847.23, p < 0.001) and Cramér’s V (0.312, indicating a medium-to-large effect) demonstrated statistically significant and substantively meaningful differences. These findings extend CASA theory by demonstrating that AI recommendation agents develop a characteristic “AI communication signature” distinguishable from human persuasion patterns. We propose an integrated Dual-Agent Persuasion Proposition—synthesizing CASA, ELM, and Source Credibility perspectives—suggesting that AI and human recommenders serve complementary functions across different stages of the consumer decision journey—a proposition whose predictions regarding sequential persuasive effectiveness and consumer processing routes await experimental validation. These findings carry implications for AI content strategy optimization, platform design, and emerging regulatory frameworks for AI-generated content labeling. Full article
Show Figures

Figure 1

30 pages, 5159 KB  
Article
Changes in Individual OpenStreetMap Contributors’ Contribution Behavior Under COVID-19: A Case Study in New York City
by Jin Xu and Guiming Zhang
ISPRS Int. J. Geo-Inf. 2026, 15(3), 121; https://doi.org/10.3390/ijgi15030121 - 12 Mar 2026
Viewed by 195
Abstract
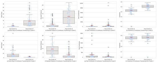
Volunteered Geographic Information (VGI) is geographic data obtained from voluntary contributions of individual contributors on social media and non-social media platforms, where contributors exhibit diverse interests and behavior patterns. While studies have found that the COVID-19 pandemic has influenced VGI contributor behavior on [...] Read more.
Volunteered Geographic Information (VGI) is geographic data obtained from voluntary contributions of individual contributors on social media and non-social media platforms, where contributors exhibit diverse interests and behavior patterns. While studies have found that the COVID-19 pandemic has influenced VGI contributor behavior on social media platforms (Facebook, X, and Instagram, etc.), less is known about contribution behaviors on non-social media VGI platforms such as OpenStreetMap (OSM). This study investigates how individual OSM contributors’ data contribution behaviors changed after the COVID-19 outbreak, using New York City as a case study. Metrics quantifying temporal, spatial, thematic, participation, and social interaction aspects of contribution behavior were developed to characterize individual-level contribution behaviors in both the pre- and post-COVID periods (2016–2019 and 2020–2023, respectively). Contributors were clustered into three groups based on pre-COVID behavioral patterns (as reflected by the metrics) using the K-Means algorithm. The resulting model was then applied to identify changes in contributors’ cluster memberships in the post-COVID period. Results reveal differences in contribution behaviors between the two time periods. Compared to pre-COVID contributors, post-COVID contributors, on average, showed stronger contribution engagement, including longer lifespans, larger spatial extent of edits, higher contribution volumes, a greater emphasis on modification over creation, and stronger co-editing network interactions. Healthcare amenity-related edits remained a small fraction of total contributions across both periods and all clusters. Contributors participating in data contribution in both time periods generally increased data contribution engagement after the COVID outbreak, characterized by longer lifespans, broader spatial coverage, more balanced creation and modification, and stronger network centrality. These findings highlight changes in individual contribution behavior under COVID-19 and exhibits the value of examining VGI contribution at the individual level. Full article
Show Figures

Figure 1

9 pages, 171 KB  
Article
Manifesting Mark Fisher: Instagram, Network Extension, and the Making of a Decapitalised Film
by Simon Poulter
Arts 2026, 15(3), 52; https://doi.org/10.3390/arts15030052 - 9 Mar 2026
Viewed by 299
Abstract
This article sets out an assertion that a mass art project can make a virtue of ‘network extension’ through an Instagram account, to build creative community, new connections, and physical artwork outcomes. We Are Making A Film About Mark Fisher is an example [...] Read more.
This article sets out an assertion that a mass art project can make a virtue of ‘network extension’ through an Instagram account, to build creative community, new connections, and physical artwork outcomes. We Are Making A Film About Mark Fisher is an example of a ‘manifested artwork’, where Fisher’s ideas on capitalism and community are explored through electronic media. We have taken the work of critical theorist, Mark Fisher, and subjected it to a process of détournement, alluding to the work of Guy de Bord and The Situationists. The thing in itself—Fisher’s processed ideas—are reprocessed and held up against the posthumous period between 2017 and now, since he died. The assertion in the work is that while the tools are circumscribed by a set of ‘standards’ and ‘production processes’, this does not delimit them from being employed towards the evolution of embodied and shared actions that develop a counter-narrative or something that eschews the methods of Hollywood or broadcast television documentaries. We just have to learn ways to do this. ‘Decapitalising’ a process, working with human agency and good will, turns the platform of Instagram into a tool of empowerment—reappropriating the algorithm and capturing the collective back from the closed corporate system of control. We see that a form of value is pulled back out of the machinic effects of a proprietary platform. Full article
29 pages, 1378 KB  
Article
The Impact of Followers’ Social Identity on Fashion Purchase Intention: The Mediating Role of Source Credibility
by Ghaith Al-Abdallah, Nadine Khair and Paiman Jatto
J. Theor. Appl. Electron. Commer. Res. 2026, 21(3), 82; https://doi.org/10.3390/jtaer21030082 - 2 Mar 2026
Viewed by 676
Abstract
This study examines how followers’ social identity dimensions—cognitive, evaluative, and affective—affect their purchase intention for fashion products promoted by Instagram influencers. It also explores the mediating role of source credibility factors, including trustworthiness, expertise, and attractiveness, in strengthening this relationship. Targeting millennial females, [...] Read more.
This study examines how followers’ social identity dimensions—cognitive, evaluative, and affective—affect their purchase intention for fashion products promoted by Instagram influencers. It also explores the mediating role of source credibility factors, including trustworthiness, expertise, and attractiveness, in strengthening this relationship. Targeting millennial females, a key fashion consumer group, the study applies social identity theory, source credibility theory, and influencer marketing literature to develop its conceptual framework. A quantitative, correlational approach was used, employing a self-administered questionnaire distributed via a convenience snowball sample of millennial females in Erbil, Kurdistan. Data from 421 respondents collected between were analyzed using SPSS AMOS version 24. Findings reveal that all social identity dimensions significantly influence purchase intention, and source credibility factors play a direct mediating role in this relationship. These insights offer practical implications for marketers and influencers, helping them understand the impact of followers’ social identity on purchasing behavior and refining influencer marketing strategies. This research expands influencer marketing literature by demonstrating the mediating effect of source credibility on the link between social identity and purchase intention. This research provides practical implications for enhancing millennial consumers’ purchase intentions by leveraging social identity mechanisms. The findings offer valuable insights for both social media influencers and brands seeking to employ influencer marketing strategies effectively in fashion promotion. Full article
(This article belongs to the Topic Livestreaming and Influencer Marketing)
Show Figures

Figure 1

12 pages, 556 KB  
Article
Exploring Trends and Sentiments in Epilepsy Discussions: A Thematic Analysis of the r/Epilepsy Subreddit (2023–2024)
by Kelly Fisher, Eliza Sejdiu, Michelle You, Rahim Hirani, Adam Karp and Mill Etienne
Neurol. Int. 2026, 18(3), 47; https://doi.org/10.3390/neurolint18030047 - 1 Mar 2026
Viewed by 265
Abstract
Background: In 2024, Reddit, an emerging social media platform, saw a 50% increase in monthly users to nearly 100 million. Reddit has also emerged as a significant space for discussions about health conditions, including epilepsy, which affects about 50 million people globally. Purpose: [...] Read more.
Background: In 2024, Reddit, an emerging social media platform, saw a 50% increase in monthly users to nearly 100 million. Reddit has also emerged as a significant space for discussions about health conditions, including epilepsy, which affects about 50 million people globally. Purpose: This study aims to explore trends in the volume, timing, themes, emotional tone, and sentiment of posts on the r/Epilepsy subreddit from 1 December 2023 to 31 December 2024. Methods: We collected 25,222 original English-language posts from r/Epilepsy using Reddit’s Application Programming Interface (API). Data extraction was restricted to English-language submissions to ensure compatibility with sentiment and thematic analyses. We analyzed post volume and timing using chi-square tests and Poisson regression. Emotional tone was measured using TextBlob (version 0.19.0), while compound sentiment scores were calculated via VADER (Valence Aware Dictionary and Sentiment Reasoner) (NLTK version 3.9.1). A Pearson correlation assessed agreement between sentiment and emotional tone, with statistical significance set at p < 0.05. Thematic analysis was conducted using a KMeans clustering algorithm (scikit-learn version 1.6.1) to identify recurring discussion topics. Results: Total monthly posts steadily increased, with the highest number (2175) in December 2024. Peak posts in descending order were in December 2024, August 2024, and November 2024. Posts were not evenly distributed across the week, with a significant peak on Mondays (χ2 = 86.75, p < 0.001) and Poisson regression confirming higher activity early in the week (p = 0.001). Emotional tones fluctuated, with positive sentiments in January and October 2024, and negative sentiments in March and August 2024. KMeans clustering identified five main themes: treatment experiences, community engagement, personal experiences, solidarity, and subreddit gratitude. Manual validation of a random subset of posts demonstrated moderate concordance between automated sentiment classification and human ratings. Conclusions: This study highlights temporal patterns, sentiment dynamics, and thematic structure in online discussions on epilepsy. Social media may offer valuable, real-time insights into patient-centered concerns and community engagement, which can inform healthcare professionals and advocacy groups in supporting individuals affected by epilepsy. Future studies may compare trends of epilepsy discussions across various social media platforms, such as X and Instagram, to further understand online patient experiences. Full article
Show Figures

Figure 1

19 pages, 739 KB  
Article
Electoral Confrontation on Social Media Platforms: Political Communication and Institutional Contestation in Romania (2025)
by Lucian-Vasile Szabo and Simona Bader-Jurj
Journal. Media 2026, 7(1), 37; https://doi.org/10.3390/journalmedia7010037 - 13 Feb 2026
Viewed by 607
Abstract
Social media platforms have become central arenas for political communication, electoral mobilization, and institutional contestation. This study examines how TikTok, Facebook, and Instagram were used during and after the 2025 Romanian presidential elections to circulate populist, sovereignist, and anti-institutional narratives. Drawing on a [...] Read more.
Social media platforms have become central arenas for political communication, electoral mobilization, and institutional contestation. This study examines how TikTok, Facebook, and Instagram were used during and after the 2025 Romanian presidential elections to circulate populist, sovereignist, and anti-institutional narratives. Drawing on a mixed-method content analysis of 764 public posts and over 2000 associated comments collected between 1 April and 30 June 2025, the study identifies dominant themes, discursive frames, and forms of user participation across platforms. The findings reveal marked platform-specific differences. TikTok emerges as the primary space for emotionally charged, visually oriented political communication and post-electoral contestation, while Facebook facilitates more argumentative and institution-focused discourse. Instagram plays a marginal role in political communication within the analyzed context. The results further indicate that content challenging the legitimacy of electoral institutions persists beyond the electoral moment and is amplified through coordinated dissemination patterns and interactive forms of participation, including AI-modified visual materials. By integrating thematic, discursive, and participatory analysis in a comparative platform framework, this study contributes to the literature on digital political communication and online populism. It highlights the role of social media platforms as amplifiers of symbolic conflict in democracies undergoing processes of institutional consolidation. Full article
Show Figures

Figure 1

18 pages, 301 KB  
Article
Companion Dogs in Vietnam: Exploring Characteristics of Owned and Ideal Dogs
by Jemma Sheppard, Joanna Shnookal, Dac L. Mai, Huy N. Vo, Phillipa D. Bandis, Pauleen C. Bennett and Deanna L. Tepper
Animals 2026, 16(4), 574; https://doi.org/10.3390/ani16040574 - 12 Feb 2026
Viewed by 707
Abstract
As the first domesticated species, dogs have been shaped by human needs, values, and social structures, resulting in culturally specific expectations of their behaviour. While much of the existing research on companion animal preferences (referred to as ideal traits) has focused on Western [...] Read more.
As the first domesticated species, dogs have been shaped by human needs, values, and social structures, resulting in culturally specific expectations of their behaviour. While much of the existing research on companion animal preferences (referred to as ideal traits) has focused on Western contexts, rapidly increasing companion dog populations in Eastern countries mean that preferences in diverse cultures are important to investigate. Considering owner satisfaction is influenced by the match between dogs’ traits and owners’ culturally specific ideals, understanding ideal dog traits may help minimise welfare concerns, including relinquishment and maltreatment of companion dogs. A sample of 312 Vietnamese adults (M age = 27.31, SD = 6.65) were recruited via convenience sampling through Facebook and Instagram. Participants completed translated versions of the 44-item Ideal Dog Scale. Exploratory factor analysis identified four dimensions of ideal dog traits in Vietnam: ‘Calmness’, ‘Energy/Capability’, ‘Affection/Health’, and ‘Cleanliness’. This differs from Australia, where the ideal dog is ‘calm/compliant’, ‘sociable/healthy’, ‘energetic/faithful/protective’, ‘socially acceptable’, and ‘non-aggressive’, and from Italy, where the ideal dog is ‘calm’, ‘sociable and healthy’, ‘well trained and adaptable’, ‘energetic’, and ‘easy to manage‘. For participants with a current dog, most owned a non-desexed, mixed breed male dog. This study deepens psychological insight into how socioecological contexts may shape perceptions of ideal companion animals. It also allows Vietnamese individuals to understand traits that would lead to the best dog–owner ‘match’, improving dog owner wellbeing and dog welfare. Full article
(This article belongs to the Section Companion Animals)
14 pages, 4687 KB  
Article
Extracting Product Improvement Insights from Social Media Comments Using Machine Learning: A Case Study in the Automotive Industry
by Philipp Brunner and Stefanie Vogl
Mach. Learn. Knowl. Extr. 2026, 8(2), 42; https://doi.org/10.3390/make8020042 - 11 Feb 2026
Viewed by 646
Abstract
This paper presents a scalable machine learning pipeline for extracting actionable, product-related insights from user-generated social media comments. Leveraging sentence embeddings from SBERT and unsupervised clustering (k-Means and agglomerative), the approach structures informal and noisy comments from Instagram and YouTube into topic groups [...] Read more.
This paper presents a scalable machine learning pipeline for extracting actionable, product-related insights from user-generated social media comments. Leveraging sentence embeddings from SBERT and unsupervised clustering (k-Means and agglomerative), the approach structures informal and noisy comments from Instagram and YouTube into topic groups intended to support thematic analysis. A case study on feedback regarding BMW vehicles, comprising more than 26,000 comments, illustrates how the pipeline can reveal recurring user concerns, such as design critiques, usability issues, and technology-related expectations, even in short and unstructured social media comments. The proposed pipeline operates without labeled data or manual annotation, enabling scalable application and transferability across product categories and industries. By transforming large-scale, unstructured consumer feedback into interpretable themes, the pipeline provides product teams with an efficient and structured basis for data-driven product development and improvement. Full article
Show Figures

Figure 1

22 pages, 1602 KB  
Article
InfluEmo: Influence of Emotions on Instagram Influencers’ Success
by Chiara Felicia Schettini and Giovanna Maria Dimitri
Computers 2026, 15(2), 118; https://doi.org/10.3390/computers15020118 - 10 Feb 2026
Viewed by 400
Abstract
The use of social networks has been shown as a powerful tool for driving populations opinions towards specific trends and interests. Yet what actually makes the success of a profile? Are emotions responsible for driving the public opinion and the opinion of the [...] Read more.
The use of social networks has been shown as a powerful tool for driving populations opinions towards specific trends and interests. Yet what actually makes the success of a profile? Are emotions responsible for driving the public opinion and the opinion of the followers? We present a study on the influence of emotions in their success. To do so, we first created a novel dataset called InfluEmo, crawled from Instagram, in which we designed and analyzed the impact of emotions in influencers’ success. The dataset InfluEmo is novel and freely available. Automatic emotion extraction yielded promising results, supporting our hypothesis that specific emotional profiles in influencers’ posted content are associated with measurable indicators of success measured as number of followers. These findings suggest that emotions might play a systematic and quantifiable role in shaping public opinion and influencing users’ interactions on Instagram. Using the novel InfluEmo dataset (≈38,000 posts, ≈970 profiles, 4 domains: fashion, climate, AI, and journalism), the paper shows, in fact, that more positive emotional language is consistently associated with higher engagement, with fashion influencers achieving the highest average likes (≈138,885/post) and lowest emotional entropy, while AI, climate, and journalism content—characterized by more neutral or mixed emotions—exhibits lower likes (≈6761–19,544/post), weaker sentiment–likes correlations, and higher entropy, indicating that positivity and emotional predictability outperform informational complexity in driving Instagram success. Full article
(This article belongs to the Special Issue Recent Advances in Social Networks and Social Media)
Show Figures

Figure 1

19 pages, 362 KB  
Article
A Content Analysis of Alcohol Marketing on Instagram: Examining Its Contribution to an Australian Aquatic Alcogenic Environment
by Gemma Crawford, Renee N. Carey, Nicola D’Orazio, Jonine Jancey and Justine E. Leavy
Int. J. Environ. Res. Public Health 2026, 23(2), 217; https://doi.org/10.3390/ijerph23020217 - 9 Feb 2026
Viewed by 643
Abstract
The alcohol industry uses social media platforms to normalise alcohol consumption in aquatic locations, which can lead to injury and drowning. This research investigated alcohol content posted on Instagram to determine marketing strategies and the extent to which aquatic locations and activities were [...] Read more.
The alcohol industry uses social media platforms to normalise alcohol consumption in aquatic locations, which can lead to injury and drowning. This research investigated alcohol content posted on Instagram to determine marketing strategies and the extent to which aquatic locations and activities were featured. The Australian Instagram accounts of five alcohol brands were identified across beer, spirits, and cider. The 20 most recent posts were captured for analysis. Each image and caption were saved and coded to examine (1) ‘What marketing characteristics are used by alcohol brands on Instagram?’; and (2) ‘Which aquatic locations and activities featured in the posted Instagram content?’. Ninety-nine posts comprising 176 individual images were identified and analysed. Alcoholic beverages were shown in 53.4% of images. Aquatic locations were observed in 21.6% and aquatic activities in 17.0%. The use of aquatic locations and activities varied significantly by brand (p < 0.001). Advertising themes included associating alcohol with hobbies (29.6%) and mateship (22.7%). Only 21.6% of images contained an age restriction or warning; all accounts employed some form of age-gating. Social media platforms provide alcohol industry actors the opportunity to increase their exposure to young people. Brands used imagery that associated alcohol with fun and mateship and promoted the use of alcohol in aquatic locations. Full article
(This article belongs to the Section Global Health)
Back to TopTop