Sign in to use this feature.

Years

Between: -

Subjects

remove_circle_outline
remove_circle_outline
remove_circle_outline
remove_circle_outline
remove_circle_outline
remove_circle_outline

Journals

Article Types

Countries / Regions

Search Results (9)

Search Parameters:
Keywords = IPR procedures

Order results
Result details
Results per page
Select all
Export citation of selected articles as:
19 pages, 850 KB  
Systematic Review
The Role of the Interproximal Enamel Reduction in Orthodontics: A Systematic Review
by Francesca Gazzani, Letizia Lugli, Francesca Chiara De Razza, Giuseppina Laganà, Chiara Pavoni, Paola Cozza and Roberta Lione
Appl. Sci. 2025, 15(19), 10645; https://doi.org/10.3390/app151910645 - 1 Oct 2025
Abstract
Background: The aim of this systematic review was to critically evaluate the clinical indications, the techniques, and the effects of interproximal enamel reduction (IPR). Methods: A systematic review of the existing literature was carried out following the PRISMA guidelines in the [...] Read more.
Background: The aim of this systematic review was to critically evaluate the clinical indications, the techniques, and the effects of interproximal enamel reduction (IPR). Methods: A systematic review of the existing literature was carried out following the PRISMA guidelines in the following databases: PubMed-Medline, Scopus, Embase, Web of Science, and Cochrane. The search was conducted according to the established inclusion and exclusion criteria until March 2025. Results: A total of 420 articles were identified. Only 23 were selected for the analysis. The efficiency and validity of IPR as a non-extraction protocol adopted in several orthodontic cases was reported in all selected studies. No negative effects in terms of enamel demineralization, residual irregularities, caries incidence, and periodontal damages were reported. Using oscillating mechanical techniques was more efficient than using manual ones in terms of efficiency, predictability, and respect of enamel surfaces. Overall, the quality of the selected articles was low. More randomized controlled clinical trials with in vivo tests, research with longer follow-up times, and high-quality studies are needed to assess more valid statements. Conclusions: Higher accuracy of enamel reduction is achieved by means of oscillating mechanical techniques, which allows for more effective and predictable IPR procedures, as well as more preserved residual enamel surfaces. Full article
(This article belongs to the Special Issue Recent Advancements in Novel Dental Materials)
Show Figures

Figure 1

13 pages, 3444 KB  
Article
First-in-Human Phase II Clinical Trial of Multiplex IntraTumoral Immunotherapy (MITI) in Patients with Metastatic Solid Cancer (Abscopal 5001 Trial)
by David G. Bostwick, Melanie M. Wilk, Brian R. Bostwick, Norman Miller, Eugene C. Rajaratnam, Junqi Qian, Peter M. Rydesky and Peter J. Littrup
Cancers 2025, 17(18), 2990; https://doi.org/10.3390/cancers17182990 - 12 Sep 2025
Viewed by 377
Abstract
Background/Objectives: Little is known about the synergy between intratumoral immunotherapy and cancer ablation. We conducted a Phase II Trial (Abscopal 5001 trial; NCT04713371) in patients with metastatic solid cancer to assess the safety and efficacy of cryoablation with concurrent injection of RPT-01-5001 (combination [...] Read more.
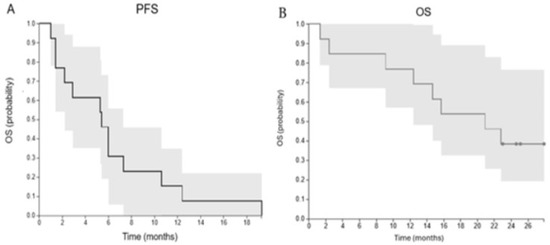
Background/Objectives: Little is known about the synergy between intratumoral immunotherapy and cancer ablation. We conducted a Phase II Trial (Abscopal 5001 trial; NCT04713371) in patients with metastatic solid cancer to assess the safety and efficacy of cryoablation with concurrent injection of RPT-01-5001 (combination of low-dose checkpoint inhibitors and cyclophosphamide), a treatment process referred to as Multiplex Intratumoral Immunotherapy (MITITM). Methods: Twelve patients with metastatic cancer who had failed standard therapy and one with sacral chordoma received at least one intratumoral treatment of MITI preceded by 3–5 days of oral low-dose cyclophosphamide. MITI consisted of CT-guided cryoablation followed by intratumoral injection of RPT-01-5001. GM-CSF was subcutaneously administered daily for four weeks. Treatment was repeated every four weeks if the tumor burden remained stable or reduced, as noted by the iRECIST criteria. These criteria were modified when follow-up biopsies revealed pathology with minimal or no cancer, despite persistent suspicious masses on imaging. Results: Cancers included prostate (four patients), sarcoma (two), and one each of breast, colon, bladder, uterine cervix, tongue, kidney, and sacral chordoma. Eight patients received three cycles of treatment, two received two, and three received one. All patients tolerated the procedure well and were discharged within 2 h. The adverse event rate was 69%, all of which were grade 1 or 2, except for two grade 3 cases with delayed cryosurgical complications (15%). At completion of up to three cycles of treatment, a complete response (iCR) was observed in one patient (7.7%), partial response (iPR) in four patients (30.8%), and stable disease (iSD) in five (38.5%), with a disease control rate (iDCR) of 77%. Disparity between post-treatment imaging and pathologic findings was observed in four patients (positive vs. negative, respectively), requiring modification of the iRECIST criteria in favor of pathology. The best response ranged from 0 to 91%, with a mean for responding patients of 38%. Median progression-free survival (PFS) and 95% confidence intervals (95% CI) were 5.4 months (1.8 to 23.1 months); and median overall survival (OS) was 20.9 months (9.1 to 22.8 months). The injection site cancer response was observed in nine (69%) patients, and the distal abscopal effect was seen in four (31%), including one sarcoma patient with a complete abscopal response of lung metastases and one bladder cancer patient with biopsy-confirmed complete resolution of lung and liver metastases. Conclusions: MITI with RPT-01-5001 is safe and highly feasible, providing 77% disease control and 31% of the abscopal effect in patients with metastatic cancer who have failed standard therapies. Full article
(This article belongs to the Section Cancer Metastasis)
Show Figures

Figure 1

12 pages, 905 KB  
Article
Comparative Evaluation of Dental Enamel Microhardness Following Various Methods of Interproximal Reduction: A Vickers Hardness Tester Investigation
by Dan-Cosmin Serbanoiu, Aurel-Claudiu Vartolomei, Dana-Valentina Ghiga, Silvia Izabella Pop, Irinel Panainte, Marioara Moldovan, Codruta Sarosi, Ioan Petean, Marie-Jose Boileau and Mariana Pacurar
Biomedicines 2024, 12(5), 1132; https://doi.org/10.3390/biomedicines12051132 - 20 May 2024
Cited by 5 | Viewed by 3732
Abstract
Interproximal enamel reduction, also known as stripping, is a common orthodontic procedure that reduces the mesiodistal diameter of teeth, allowing for a balance of available space in dental arches. The aim of this study was to assess the enamel surface microhardness resulting from [...] Read more.
Interproximal enamel reduction, also known as stripping, is a common orthodontic procedure that reduces the mesiodistal diameter of teeth, allowing for a balance of available space in dental arches. The aim of this study was to assess the enamel surface microhardness resulting from the application of currently available methods for interproximal reduction. Forty-two extracted human permanent teeth were divided into six different groups, each subjected to a therapeutic stripping procedure using various methods (i.e., diamond burs, abrasive strips of 90 μm, 60 μm, 40 μm, and 15 μm, and abrasive discs). Stripping was performed by a single individual in accordance with the manufacturers’ recommendations for the various systems used. One of the proximal faces of the tooth underwent IPR, while the other side remained untreated for control. The hardness of the enamel surface was measured using a Vickers hardness tester. The control group achieved the hardest enamel surface (354.4 ± 41.02 HV1), while the lowest was observed for enamel surfaces treated with 90 µm abrasive strips (213.7 ± 118.6). The only statistically significant difference was identified in comparisons between the values measured for the control group and those obtained after stripping with diamond burs (p = 0.0159). Enamel microhardness varied depending on the stripping instrument used, but no statistically significant differences were found (p > 0.05). Optimal microhardness values, close to those of healthy enamel, were achieved after mechanical treatment with 15 µm abrasive strips and abrasive discs. Dental stripping is a safe therapeutic procedure that has a relatively minor influence on the microhardness of surface enamel. Full article
(This article belongs to the Section Molecular and Translational Medicine)
Show Figures

Figure 1

13 pages, 1294 KB  
Article
Reduction of Triple Bond in [B12H11NCR] Anions by Lithium Aluminum Hydride: A Novel Approach to the Synthesis of N-Monoalkylammonio-Substituted closo-Dodecaborates
by Alexey V. Nelyubin, Nikolay K. Neumolotov, Nikita A. Selivanov, Alexander Yu. Bykov, Ilya N. Klyukin, Alexander S. Novikov, Alexey S. Kubasov, Andrey P. Zhdanov, Konstantin Yu. Zhizhin and Nikolay T. Kuznetsov
Inorganics 2024, 12(1), 2; https://doi.org/10.3390/inorganics12010002 - 20 Dec 2023
Cited by 3 | Viewed by 2819
Abstract
By reacting nitrilium derivative of the closo-dodecaborate anion, Bu4N[B12H11N≡CR] (where R = Me, Et, nPr, iPr, p-tolyl), with lithium aluminum hydride (LiAlH4), N-alkylammonium derivatives of the closo-dodecaborate anion, and Bu4N[B12 [...] Read more.
By reacting nitrilium derivative of the closo-dodecaborate anion, Bu4N[B12H11N≡CR] (where R = Me, Et, nPr, iPr, p-tolyl), with lithium aluminum hydride (LiAlH4), N-alkylammonium derivatives of the closo-dodecaborate anion, and Bu4N[B12H11NH2CH2R], were obtained. The reduction reaction procedure was optimized, achieving yields close to quantitative (90–95%). The structure of the compound Bu4N[B12H11NH2CH2CH3] was determined using X-ray structural analysis. It was found that substituting lithium aluminum hydride (LiAlH4) with sodium borohydride (NaBH4) leads to the same products but only upon heating, while the reaction with LiAlH4 proceeds at room temperature. Full article
Show Figures

Figure 1

23 pages, 1367 KB  
Article
A Convenient One-Pot Synthesis of a Sterically Demanding Aniline from Aryllithium Using Trimethylsilyl Azide, Conversion to β-Diketimines and Synthesis of a β-Diketiminate Magnesium Hydride Complex
by Nikita Demidov, Mateus Grebogi, Connor Bourne, Aidan P. McKay, David B. Cordes and Andreas Stasch
Molecules 2023, 28(22), 7569; https://doi.org/10.3390/molecules28227569 - 13 Nov 2023
Cited by 1 | Viewed by 2709
Abstract
This work reports the one-pot synthesis of sterically demanding aniline derivatives from aryllithium species utilising trimethylsilyl azide to introduce amine functionalities and conversions to new examples of a common N,N′-chelating ligand system. The reaction of TripLi (Trip = 2,4,6-iPr3 [...] Read more.
This work reports the one-pot synthesis of sterically demanding aniline derivatives from aryllithium species utilising trimethylsilyl azide to introduce amine functionalities and conversions to new examples of a common N,N′-chelating ligand system. The reaction of TripLi (Trip = 2,4,6-iPr3-C6H2) with trimethylsilyl azide afforded the silyltriazene TripN2N(SiMe3)2 in situ, which readily reacts with methanol under dinitrogen elimination to the aniline TripNH2 in good yield. The reaction pathways and by-products of the system have been studied. The extension of this reaction to a much more sterically demanding terphenyl system suggested that TerLi (Ter = 2,6-Trip2-C6H3) slowly reacted with trimethylsilyl azide to form a silyl(terphenyl)triazenide lithium complex in situ, predominantly underwent nitrogen loss to TerN(SiMe3)Li in parallel, which afforded TerN(SiMe3)H after workup, and can be deprotected under acidic conditions to form the aniline TerNH2. TripNH2 was furthermore converted to the sterically demanding β-diketimines RTripnacnacH (=HC{RCN(Trip)}2H), with R = Me, Et and iPr, in one-pot procedures from the corresponding 1,3-diketones. The bulkiest proligand was employed to synthesise the magnesium hydride complex [{(iPrTripnacnac)MgH}2], which shows a distorted dimeric structure caused by the substituents of the sterically demanding ligand moieties. Full article
Show Figures

Graphical abstract

21 pages, 3983 KB  
Article
Exploring Long Range para-Phenyl Effects in Unsymmetrically Fused bis(imino)pyridine-Cobalt Ethylene Polymerization Catalysts
by Yizhou Wang, Zheng Wang, Qiuyue Zhang, Song Zou, Yanping Ma, Gregory A. Solan, Wenjuan Zhang and Wen-Hua Sun
Catalysts 2023, 13(10), 1387; https://doi.org/10.3390/catal13101387 - 23 Oct 2023
Cited by 6 | Viewed by 1971
Abstract
Unsymmetrical 11-phenyl-1,2,3,7,8,9,10-heptahydrocyclohepta[b]quinoline-4,6-dione, incorporating a para-phenyl substituted pyridine unit fused by both 6- and 7-membered carbocyclic rings, has been prepared on the gram-scale via a multi-step procedure involving cyclization, hydrogenation and oxidation. Templating this diketone, in the presence of cobalt(II) chloride [...] Read more.
Unsymmetrical 11-phenyl-1,2,3,7,8,9,10-heptahydrocyclohepta[b]quinoline-4,6-dione, incorporating a para-phenyl substituted pyridine unit fused by both 6- and 7-membered carbocyclic rings, has been prepared on the gram-scale via a multi-step procedure involving cyclization, hydrogenation and oxidation. Templating this diketone, in the presence of cobalt(II) chloride hexahydrate, with the corresponding aniline afforded in good yield five examples of doubly fused bis(arylimino)pyridine-cobalt(II) chlorides, Co1 (aryl = 2,6-dimethylphenyl), Co2 (2,6-diethylphenyl), Co3 (2,6-diisopropylphenyl), Co4 (2,4,6-trimethylphenyl) and Co5 (2,6-diethyl-4-methylphenyl). Structural characterization of Co1, Co2 and Co3 highlights the flexible nature of the inequivalent fused rings on the NNN’-ligand and the skewed disposition of the para-phenyl group. On activation with MAO, Co1–Co5 exhibited high activity for ethylene polymerization at 30 °C (up to 5.66 × 106 g (PE) mol−1 (Co) h−1) with the relative order being as follows: Co4 > Co1 > Co5 > Co3 > Co2. All polyethylenes were strictly linear, while their molecular weights and dispersities showed some notable variations. For Co1, Co2, Co4 and Co5, all polymerizations were well controlled as evidenced by the narrow dispersities of their polymers (Mw/Mn range: 1.8–2.7), while their molecular weights (Mw range: 2.9–10.9 kg mol−1) steadily increased in line with the greater steric properties of the N-aryl ortho-substituents. By contrast, the most hindered 2,6-diisopropyl counterpart Co3 displayed a broad distribution with bimodal characteristics (Mw/Mn = 10.3) and gave noticeably higher molecular weight polymer (Mw = 75.5 kg mol−1). By comparison, the MMAO-activated catalysts were generally less active, but showed similar trends in molecular weight and polymer dispersity. End group analysis of selected polymers via 13C and 1H NMR spectroscopy revealed the presence of both saturated and unsaturated polyethylenes in accordance with competing chain transfer pathways. Notably, when comparing Co3/MAO with its non-phenyl substituted analogue (E2,6-iPr2Ph)CoCl2/MAO, the former, though less controlled, displayed higher activity and molecular weight, a finding that points towards a role played by the remote para-phenyl group. Full article
Show Figures

Graphical abstract

10 pages, 2031 KB  
Article
Evaluation of Resin Infiltration, Fluoride and the Biomimetic Mineralization of CPP-ACP in Protecting Enamel after Orthodontic Inter-Proximal Enamel Reduction
by Naser Almansouri, Ahmed Samir Bakry, Mona Aly Abbassy, Amal Ibrahim Linjawi and Ali Habib Hassan
Biomimetics 2023, 8(1), 82; https://doi.org/10.3390/biomimetics8010082 - 14 Feb 2023
Cited by 7 | Viewed by 3382
Abstract
Background: This study investigated the effect of using different agents for protecting enamel proximal surfaces against acidic attack after interproximal reduction (IPR) using the trans micro radiography technique. Methods: Seventy-five sound-proximal surfaces were obtained from extracted premolars for orthodontic reasons. All teeth were [...] Read more.
Background: This study investigated the effect of using different agents for protecting enamel proximal surfaces against acidic attack after interproximal reduction (IPR) using the trans micro radiography technique. Methods: Seventy-five sound-proximal surfaces were obtained from extracted premolars for orthodontic reasons. All teeth were measured miso-distally and mounted before being stripped. The proximal surfaces of all teeth were hand stripped with single-sided diamond strips (OrthoTechnology, West Columbia, SC, USA) followed by polishing via Sof-Lex polishing strips (3M, Maplewood, MN, USA). Three-hundred micrometers of enamel thickness was reduced from each proximal surface. The teeth were randomly divided into 5 groups: group 1 (control un-demineralized) received no treatment, group 2 (control demineralized) had their surfaces demineralized after the IPR procedure, group 3 (fluoride) specimens were treated with fluoride gel (NUPRO, DENTSPLY, Charlotte, NC, USA) after the IPR, group 4 (Icon) resin infiltration material (Icon Proximal Mini Kit, DMG, Bielefeld, Germany) was applied after IPR, group 5 (MI varnish) specimens were treated with Casein phosphopeptide-amorphous calcium phosphate (CPP-ACP) containing varnish (MI Varnish, G.C, USA, St. Alsip, IL, USA) after the IPR. The specimens in (groups 2–5) were stored in a 4.5 pH demineralization solution for 4 days. The trans-micro-radiography (TMR) technique was conducted to evaluate the mineral loss (∆Z) and lesion depth of all specimens after the acid challenge. The obtained results were analyzed statistically using a one-way ANOVA at a significance level of α = 0.05. Results: The MI varnish recorded significant ∆Z and lesion depth values compared to the other groups p > 0.05. There was no significant difference in ∆Z and lesion depth between the control demineralized, Icon, and fluoride groups p < 0.05. Conclusion: The MI varnish increased the enamel resistance to acidic attack, and thus can be considered an agent capable of protecting the proximal enamel surface after IPR. Full article
(This article belongs to the Special Issue Biomimetic Remineralization on Enamel and Dentin)
Show Figures

Figure 1

15 pages, 3363 KB  
Article
Very Short-Term Photoplethysmography-Based Heart Rate Variability for Continuous Autoregulation Assessment
by Po-Hsun Huang and Tzu-Chien Hsiao
Appl. Sci. 2022, 12(13), 6469; https://doi.org/10.3390/app12136469 - 25 Jun 2022
Cited by 1 | Viewed by 2562
Abstract
Background: Heart rate variability (HRV) has been widely applied for disease diagnosis. However, the 5 min signal length for HRV analysis is needed. Method: A signal processing procedure for very short-term photoplethysmography (PPG) signal for fever detection and autoregulation assessment was proposed. The [...] Read more.
Background: Heart rate variability (HRV) has been widely applied for disease diagnosis. However, the 5 min signal length for HRV analysis is needed. Method: A signal processing procedure for very short-term photoplethysmography (PPG) signal for fever detection and autoregulation assessment was proposed. The Time-Shift Multiscale Entropy Analysis (TSME) was applied to instantaneous pulse rate time series (iPR) and normalized by the cumulative distribution function (CDF) of all scales to calculate novel indices. A total of 33 subjects were recruited for the study. Fifteen participants whose body temperatures were higher than 37.9 °C were served as the fever group. Others were served as the non-fever group. The total 15 s PPG signal with 200 sampling rates was used for iPR calculation. Result: The CDF value of entropy on the scale k = 19 (CDF(E(k = 19))) of iPR had the lowest p-value calculated by the Weltch t-test between two groups (p < 0.001). The Spearman correlation r between CDF(E(k = 19)) and body temperature is −0.757, 0.287, and −0.830 in all subjects, the non-fever group and the Fever group, respectively. The area under the curve, calculated from the receiver operating characteristic of CDF(E(k = 19)) of iPR is 0.915. Conclusion: The entropy of iPR is useful for detecting fever. Moreover, a short-term PPG signal is suitable to develop real-time applications, and multiscale entropy provides different scales of information for daily healthcare. Full article
(This article belongs to the Special Issue Advances in Biomedical Signal Processing in Health Care)
Show Figures

Figure 1

17 pages, 1602 KB  
Article
In Situ Raman Spectroscopy as a Tool for Discerning Subtle Structural Differences between Commercial (Ce,Zr)O2-Based OSC Materials of Identical Composition
by Chrysanthi Andriopoulou, Deb Harris, Hazel Stephenson, Angelos M. Efstathiou and Soghomon Boghosian
Catalysts 2020, 10(4), 462; https://doi.org/10.3390/catal10040462 - 24 Apr 2020
Cited by 12 | Viewed by 4207
Abstract
In situ Raman spectroscopy was used at temperatures in the 50–480 °C range under oxidizing (20% O2/He) and reducing (5% H2/He) flowing gas atmospheres to compare the spectra obtained for a series of industrial rare earth doped Cex [...] Read more.
In situ Raman spectroscopy was used at temperatures in the 50–480 °C range under oxidizing (20% O2/He) and reducing (5% H2/He) flowing gas atmospheres to compare the spectra obtained for a series of industrial rare earth doped CexZr1−xO2−δ oxygen storage capacity (OSC) mixed metal oxide materials of identical at % composition, which were prepared by the same chemical synthesis route, in which one synthesis parameter of the aqueous chemistry was slightly varied. The Raman fingerprint of the anionic sublattice is very sensitive to O atom relocations within the bulk of the material matrix and to the pertinent defect topology in each case. A protocol of sequential Raman measurements and analysis was proposed to discern subtle differences between the oxygen vacancy and defect topologies of the examined materials. It can be concluded that for two materials under comparison for their structures, identical Raman spectra are obtained only if the procedures followed for their preparation are identical; a slight variation of one single parameter (e.g., in the aqueous chemistry stage) results in discernible differences in the Raman spectra. The proposed procedure can serve as a tool for proving or disproving infringement of IPR (Intellectual Property Rights) protected preparation methods of ceria-based mixed metal oxide materials. Full article
Show Figures

Figure 1

Back to TopTop