Abstract
This work reports the one-pot synthesis of sterically demanding aniline derivatives from aryllithium species utilising trimethylsilyl azide to introduce amine functionalities and conversions to new examples of a common N,N′-chelating ligand system. The reaction of TripLi (Trip = 2,4,6-iPr3-C6H2) with trimethylsilyl azide afforded the silyltriazene TripN2N(SiMe3)2 in situ, which readily reacts with methanol under dinitrogen elimination to the aniline TripNH2 in good yield. The reaction pathways and by-products of the system have been studied. The extension of this reaction to a much more sterically demanding terphenyl system suggested that TerLi (Ter = 2,6-Trip2-C6H3) slowly reacted with trimethylsilyl azide to form a silyl(terphenyl)triazenide lithium complex in situ, predominantly underwent nitrogen loss to TerN(SiMe3)Li in parallel, which afforded TerN(SiMe3)H after workup, and can be deprotected under acidic conditions to form the aniline TerNH2. TripNH2 was furthermore converted to the sterically demanding β-diketimines RTripnacnacH (=HC{RCN(Trip)}2H), with R = Me, Et and iPr, in one-pot procedures from the corresponding 1,3-diketones. The bulkiest proligand was employed to synthesise the magnesium hydride complex [{(iPrTripnacnac)MgH}2], which shows a distorted dimeric structure caused by the substituents of the sterically demanding ligand moieties.
1. Introduction
Sterically demanding N-ligands [1,2,3,4,5,6] have been driving advances in numerous areas of chemical research. In main group chemistry, for example, the introduction of sterically demanding N-ligands and related species has led to the discovery of compound classes with low coordination numbers in a variety of oxidation states, which stabilised molecular entities in unusual bonding modes that were found to show unique properties and novel reactivities [7,8,9]. In addition to effects on compound properties and reactivity instilled by the ligand class attached to central elements, steric effects have a strong influence on compound properties, including on coordination numbers and allowing or preventing certain reaction pathways. The interplay of steric demand, including considerations of repulsion from sheer size and ligand shape [10,11], and attractive effects between ligands, substituents, and central elements from London dispersion forces [12,13,14], paints a more complex picture of the effects bulky ligands have on various compound classes. As such, surprising effects on the chemistry of unusual compound classes stabilised by sterically demanding ligands have often been discovered by exploratory investigation of the sterics and electronics of their ligands. For example, in magnesium β-diketiminate chemistry, which is of relevance here, relatively small changes in ligand sterics have led to significantly different product outcomes for magnesium hydride [15,16] and low oxidation state magnesium [17,18,19] chemistry.
The introduction of new sterically demanding ligands bearing different substituents to the chemistry of the elements led to novel classes of compounds [7] that, for the bulkiest systems, show coordination numbers down to one. In selected cases, these have displayed unique structures, bonding modes, and reactivities, for example in Al [20], Ge [21], P [22], Sb [23] and Bi [24] species, but the steric bulk can also pose significant new challenges for the syntheses of these new (pro)ligand entities. Due to the increased steric demand in these ligands, common synthetic techniques may prove less applicable to the task, or suitable, convenient starting materials are not readily commercially available. Thus, facile synthetic techniques are required to expand our toolset to access new ligands. Here, we explore the conversion of bulky aryl halides to reactive organolithium compounds, their further transformation to aniline derivatives, the synthesis to a common proligand class, and an example metal complex.
2. Results and Discussion
The aim of the first part of the study was to find a convenient one-pot procedure that would allow the synthesis of substituted anilines [25,26,27,28] from aryl lithium compounds with techniques and methods suitable for, and familiar to, the synthetic inorganic and organometallic communities. Many methods for electrophilic amination reactions have been developed [29,30,31,32,33,34], including some to selectively prepare primary amines, but many also show some drawbacks or limitations, and an important consideration for the work described herein was that it could be applied to highly sterically demanding systems. Other synthetic routes to sterically demanding anilines have been successfully developed, but these require either multi-step protocols and/or high pressure set-ups [35,36,37,38] or modify the substituents via palladium-catalysed cross-coupling reactions [39]. For this study we decided on using the 2,4,6-triisopropylphenyl substituent, Trip, due to the commercial availability of starting materials, rarer use of the respective aniline compared with the ubiquitous Dip (2,6-diisopropylphenyl) congener, and the use of isopropyl substituents as suitable groups for 1H NMR spectroscopic investigations.
2.1. Lithiation of TripBr
In order to devise a convenient aniline synthesis via an organometallic route, the first consideration was to revisit the generation of TripLi 1 from commercially available TripBr 2. Some crystallographically characterised TripLi species [40,41] are known, and are prepared using metal-halogen exchange [42,43], with n-butyllithium as the lithiating agent. The metal-halogen exchange reaction is an equilibrium system [44] that forms a stabilised mixture, and the thermodynamics and kinetics are influenced by solvent effects [45,46,47], and the steric and electronic nature of the substituents [48,49]. Furthermore, side reactions such as C–C coupling [50] and ether cleavage [51] can lead to consumption of lithium reagent and substrate, potentially hampering efficient conversion to the desired product. In addition, we envisaged that further conversions of in situ generated aryllithium species for the synthesis of sterically demanding systems might require harsher conditions for onward reactivity. As such, we were interested in a quite robust lithiation protocol that can tolerate non-cryogenic conditions, e.g., room temperature, at least for onward reactivity, and would also work for electron-rich aryl substituents. To briefly test and ensure sufficient in situ lithiation for further conversions, TripBr 2 was treated with 1.05 equivalents of nBuLi under varying conditions and the mixture was hydrolysed and the product ratio was analysed by 1H NMR spectroscopy, see Scheme 1 and Table 1. The relative percentages of the main products TripBr 2, i.e., unreacted starting material, TripH 3 as a proxy for hydrolysed TripLi 1, and the coupled product TripnBu 4 were added to 100% and represent the main products. Traces of TripOH 5, likely from the reaction of TripLi 1 with trace amounts of air, for example, formed during the quenching process, were also present in some samples. Inspecting the lithiation results summarised in Table 1, diethyl ether (entry 1) as a donor led to insufficient conversion. Using only one or a half equivalent of the more powerful donor solvent THF per Li centre (entries 2 and 3) afforded poor conversion of TripBr 2. More THF per Li as a donor (2–5 equivalents, entries 4–7) provided good conversion of 2 to 1, by implication, but also saw increasing quantities of TripnBu 4 formed from direct C–C coupling [50]. The latter issue could be suppressed by cooling the reaction solution to −20 °C (entry 8), which decreased the coupling to TripnBu 4 and was beneficial for the lithiation of TripBr 2, possibly due to forming more reactive lower aggregates for entropic reasons [52] and/or less ether cleavage [51]. To test how competitive ether cleavage is under the conditions, the experiment for entry 7 (Table 1) was repeated, but the nBuLi was added to the solvent mixture and left for 30 min at room temperature before TripBr 2 was added and reacted for 30 min before hydrolysis and analysis (entry 9). This experiment provided significant unreacted 2 likely because some nBuLi degraded via ether cleavage under these conditions. This highlights that ether cleavage is a significant issue even for relatively low THF concentrations and suggests that these issues are remedied at the lower temperature used in the conditions of entry 8. Going forward, the conditions for entry 8 were used in subsequent sections.
Scheme 1.
Lithiation of TripBr 2.
Table 1.
Lithiation study of TripBr 2.
An alternative to using nBuLi is the direct reaction of TripBr 2 with lithium metal in diethyl ether for one hour under reflux to TripLi 1, see Scheme 2, which is straightforward and afforded a good overall yield after in situ conversion to the desired aniline product, vide infra.
Scheme 2.
Lithiation of TripBr 2.
2.2. Reaction of TripLi 1 with TMSN3
Reactions of organometallic compounds and organic azides [29,53,54,55,56] can form triazenes [57], including sterically demanding triazenides [58,59]. In the past, the group of N. Wiberg has studied reactions of s-block organometallics with silylazides and the synthesis and properties of silyltriazenes [60,61,62,63,64,65,66,67]. Subsequently, reactions of specialised organic azides with Grignard or organolithium reagents have been utilised as NH2+ synthons to successfully afford amines or anilines that show various advantages and limitations. Trimethylsilylmethyl azide [68,69,70] and azidomethyl phenyl sulfide [71,72,73] have been shown to be effective in reactions with Grignard reagents, which can be challenging to form for electron-rich substrates [74], but these azide systems struggle when reacted with organolithium reagents. Diphenylphosphoryl azide affords satisfactory to good yields with either of these classes of organometallic reagents but is more expensive and requires harsh hydrolysis conditions [75]. Vinyl or allyl azides have shown high efficiency [76,77], but are not commercially available and are likely more hazardous to handle [53]. To introduce an alternative that uses a commercially available and relatively stable azide, we proposed that the reaction between an organolithium species, and by implication other electropositive organometallics, and a silylazide would lead to a silyl(organo)triazenide lithium complex, which could be easily worked up to a primary amine in a one-pot procedure. Nucleophilic attack of an organometallic substituent on the (outer) azide nitrogen atom also seemed like a procedure that could be facile even for highly sterically demanding systems, as suggested by the syntheses of bulky triazenides [58,59] and terphenyl azide compounds [78,79,80]. Although syntheses for TripNH2 6 are known [81,82,83,84,85], most involve the synthesis and reduction of TripNO2, which has some drawbacks such as expensive and/or hazardous reagents, multi-step protocols, and relies on the accessibility of the nitro derivative.
Initially, the reaction of TripLi 1, prepared according to either Scheme 1 or Scheme 2, with one equivalent of trimethylsilyl azide (azidotrimethylsilane, Me3SiN3) at room temperature proceeded rapidly. We found that simple quenching with (wet) methanol provided rapid gas formation, and crude TripNH2 6 was obtained after workup—an observation that was in line with our expectation of a pathway via an intermediate silyl(organo)triazenide lithium complex, complex 7 in Scheme 3 (grey arrow). The yield of TripNH2 6, however, did not significantly exceed 40%, and large quantities of TripH 3 were obtained alongside 6, independent of reaction times. Furthermore, an insoluble precipitate formed during the reaction. Adding further Me3SiN3, however, increased the yield of TripNH2 6, and the consistently formed insoluble by-product precipitated from the reaction mixture early on. The latter was identified as LiN3 via its properties, NMR, and IR spectroscopic studies, and suggests that further silylation of 7 with Me3SiN3 occurs, i.e., the azide is acting as a pseudohalide, resulting in the formation of disilyl(organo)triazene TripN2N(SiMe3)2 8. Evidence for the formation of 8 comes from an NMR spectroscopic study that shows an intermediate with two chemically identical SiMe3 groups by integration and a 15N NMR resonance [86,87] detected via a 2D 1H-15N HMBC NMR experiment of a silyl-bound nitrogen atom at δ 187 ppm in deuterated benzene. Derivatives of 8, such as PhN2N(SiMe3)2, have been obtained by Wiberg previously, and some of these products decomposed with dinitrogen elimination [64]. Treating 8 with methanol gave rapid gas evolution and afforded TripNH2 6. Reactions performed on a larger scale also afforded small and varying quantities of TripN(SiMe3)2 9, which could be structurally characterised (Figure 1), alongside the main product TripNH2 6. Compound 9 is typically present in low percentages as a by-product from these reactions, and it is likely that during the synthesis, some TripN2N(SiMe3)2 8 decomposes and loses dinitrogen to form TripN(SiMe3)2 9 (Scheme 3). In contrast to 8, a 15N NMR resonance of δ 43 ppm (in CDCl3, via a 2D 1H/15N HMBC NMR experiment) was found for TripN(SiMe3)2 9. As expected, the nitrogen centre in 9 is planar (sum of angles: ca. 360°) in its molecular structure (Figure 1), c.f. the structure of N(SiMe3)3 [88], and the metrical features are as expected.
Scheme 3.
Reactions of TripLi 1 with Me3SiN3.
Figure 1.
Molecular structure of TripN(SiMe3)2 9, 30% thermal ellipsoids. Hydrogen atoms omitted. Selected bond lengths (Å) and angles (°): Si1–N1 1.7497(19), Si2–N1 1.7554(19), N1–C1 1.450(3); Si1–N1–Si2 123.82(10), C1–N1–Si1 120.42(14), C1–N1–Si2 115.75(14).
A simple aqueous workup of the reaction mixtures afforded crude TripNH2 6 in good, isolated yields. The crude product can be dried under vacuum, removing some volatile by-products, which would include small molecules from ether cleavage and could include smaller amines (e.g., nBuNH2, b.p. ca. 78 °C) from side reactions. This leaves predominantly TripNH2 6 as the main product, but also the possible high-boiling by-products TripBr 2 from insufficient lithiation, TripH 3 from protonolysis, TripnBu 4 from C–C coupling, TripOH 5 from oxidation and TripN(SiMe3)2 9 from loss of dinitrogen of the intermediate 8. Gratifyingly, none of the Trip-containing by-products readily reacted with acids and the crude product could be treated with aqueous HCl and petroleum ether or hexane as a two-phase system to afford solid TripNH3+Cl− 10 (as a hydrate) for purification that could be further washed with petroleum ether or hexane. Treatment with bases regenerated purer TripNH2 6. Isolated yields of TripNH2 6 after this purification from TripBr were 86% (typically ca. 75–86%) via the nBuLi route, and 81% via the Li metal route. In addition, the compound can also be purified by column chromatography on alumina with petroleum ether/dichloromethane.
2.3. Extension to a Sterically Demanding Terphenyl System
To study if the above method can be conveniently transferred to another, more sterically demanding ligand system, we investigated the terphenyl substituent 2,6-bis(2,4,6-triisopropylphenyl)phenyl, Ter, in this reaction [78,80,89]. Initially, TerLi(OEt2) 11(OEt2) was prepared from TerI 12 and nBuLi [89] to study its reaction with Me3SiN3 on a small scale by NMR spectroscopy. These experiments showed that the reaction is very slow and that significant quantities of TerH 13 are formed alongside some N-containing main product, later identified as a TerN(SiMe3)Li 14 derivative. A significant change in the reaction kinetics is not surprising when the steric demand of the system is changed dramatically. It is proposed that the hydrogen on TerH 13 originated from Me3SiN3 during the reaction and a brief study was undertaken to test the influence of donor solvent addition. When TerLi(OEt2) 11(OEt2) was reacted with Me3SiN3 in deuterated benzene, after four days at room temperature a ratio of TerH 13 to TerN(SiMe3)Li 14 of approximately 2:1 was obtained. A reaction with additional five equivalents of the donor solvent diethyl ether under the same conditions was slower (18 days) and the main product ratio changed to approximately 2:3 (13:14). Changing the donor solvent to THF (5 equivalents) provided an approximate ratio of 1:4 after 7 days at room temperature and 8 h at 60 °C, showing that TerN(SiMe3)Li 14 can be afforded as the dominant product (also see Table S1). Other observations that were made showed that, in contrast to the reaction with TripLi 1, only one equivalent of Me3SiN3 was required in this bulkier system, and that before 14 forms, the main intermediate, presumed to be TerN2N(SiMe3)Li 15, the Ter-equivalent of compound 7 (Scheme 3), was produced, see Scheme 4. Due to the very slow formation of TerN2N(SiMe3)Li 15 from the starting materials, nitrogen loss from 15, yielding TerN(SiMe3)Li 14, becomes competitive in parallel. Workup with (wet) methanol afforded TerN(SiMe3)H 16 from TerN(SiMe3)Li 14, whereas reaction mixtures with incomplete conversion and larger quantities of the intermediate TerN2N(SiMe3)Li 15 afforded TerNH2 17 after workup, see Scheme 4 for a summary of these pathways. Some evidence for this was obtained by 2D 1H-15N HMBC NMR experiments in deuterated benzene where the 15N NMR signal of the Me3Si-bound nitrogen centre could be measured and compared. These were found at δ 317 ppm for the intermediate TerN2N(SiMe3)Li 15, δ 115 ppm for TerN(SiMe3)Li 14 and δ 67 ppm for TerN(SiMe3)H 16 [76,77]. Furthermore, the reaction of TerN(SiMe3)Li 14 to TerN(SiMe3)H 16 was found to be reversible; treatment of 14 with an excess of methanol in an NMR tube afforded 16, and this mixture could then treated be with an excess of solid MeLi to afford 14 again. So far, we found no evidence for further reaction of TerN2N(SiMe3)Li 15, with Me3SiN3 to TerN2N(SiMe3)2 and LiN3 (Scheme 4), as was analogously observed for the Trip system (Scheme 3). The molecular structures of TerN(SiMe3)H 16, shown in Figure 2, and the solvate TerN(SiMe3)H∙C6H6 16∙C6H6, were determined and highlight the steric demand around the N atom with a C–N–Si angle of ca. 130°. The molecular structure infers that in solution, the silyl methyl groups of 16 can reside above the flanking Trip-aryls which is likely the reason for the upfield-shifted resonance for the protons of the SiMe3 group (δ −0.34 ppm).
Scheme 4.
Reactions of TerLi 11 with Me3SiN3 at room temperature.
Figure 2.
Molecular structure of TerN(SiMe3)H 16, 30% thermal ellipsoids. Only the NH hydrogen atom is shown. Selected bond lengths (Å) and angles (°) for 16: Si1–N1 1.7439(10), N1–C1 1.4080(14); C1–N1–Si1 129.12(7); metrical data for TerN(SiMe3)H∙C6H6, 16∙C6H6: Si1–N1 1.7423(12), N1–C1 1.4061(17); C1–N1–Si1 133.11(10).
On a preparative scale, TerI 12 was converted with nBuLi in an n-hexane and diethyl ether mixture to crude TerLi(OEt2) 11(OEt2) and then reacted in situ with Me3SiN3 in toluene and 10 equivalents of THF at 60 °C for 20 h, followed by workup with (wet) methanol at 0 °C to afford TerN(SiMe3)H 16 in 60% isolated yield after recrystallisation from diethyl ether. TerN(SiMe3)H 16 has been found to desilylate to TerNH2 17 when treated with aqueous HCl, or slowly in wet chloroform or with silica gel.
2.4. Synthesis of RTripnacnacH Compounds
With the aniline TripNH2 6 in hand, we studied its conversion to β-diketimine proligands [2] to progress towards β-diketiminate complexes. The three β-diketimines RTripnacnacH, =HC{RCN(Trip)}2H, with R = Me (18), Et (19), and iPr (20), were prepared by one-pot condensation reactions between TripNH2 6 and appropriate 1,3-diketones under acidic conditions, followed by aqueous workup steps under basic conditions, see Scheme 5. Previously, the tBuTripnacnacH ligand [83] was prepared via a multi-step route, and a selection of other sterically demanding MeArnacnacH proligands, where Ar represents a robust substituent larger than Dip, have been reported in recent years [90,91,92,93,94,95,96,97].
Scheme 5.
Synthesis of RTripnacnacH compounds 18–20.
The synthesis of MeTripnacnacH 18, generally followed an established protocol [98] and afforded an isolated yield of 76%. β-Diketimines with an ethyl backbone, EtTripnacnacH 19 (66% yield), are not common, and we have modified an established procedure [98] used for related ligands. The route to the isopropyl backbone-substituted iPrTripnacnacH 20 (67% yield) uses a protocol we have recently introduced preparing the related iPrDipnacnacH [99], employing the powerful acidic dehydrating agent polyphosphoric acid trimethylsilylester, PPSE [100,101].
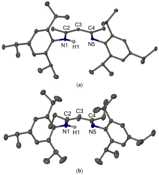
The three proligands 18–20 were structurally characterised, see Figure 3, and show the expected overall structure for this ligand class. The molecular structures of 18 and 19 each crystallised with a full molecule in the asymmetric unit and show some preference for alternating long and short N–C/C–C bonds in the ligand backbone, and, accordingly, some localisation of the NH hydrogen atom.

Figure 3.
Molecular structures of MeTripnacnacH∙C7H8 18∙C7H8 (a), EtTripnacnacH 19 (b) and iPrTripnacnacH 20 (c), 30% thermal ellipsoids. The toluene molecule in 18∙C7H8 is omitted. Only NH nitrogen atoms are shown including only one NH position for 20. Selected bond lengths (Å) and angles (°): 18∙C7H8: N1–C2 1.341(3), C2–C3 1.383(3), C3–C4 1.424(3), N5–C4 1.315(3); C2–N1–C6 123.8(2), C4–N5–C23 121.0(2), N1–C2–C3 121.3(2), C2–C3–C4 125.4(2), N5–C4–C3 121.0(2); 19: N1–C2 1.346(3), C2–C3 1.372(3), C4–C3 1.428(3), N5–C4 1.305(3); C2–N1–C6 124.87(18), C4–N5–C25 121.83(17), N1–C2–C3 121.5(2), C2–C3–C4 126.8(2), N5–C4–C3 120.06(19); 20: N1–C2–1.338(3), C2–C3–1.392(3); N1–C2–C3 121.0(2), C2–N1–C4 122.7(2), C2–C3–C2′ 127.2(3).
2.5. Synthesis and Characterization of [{(iPrTripnacnac)MgH}2] 21
To study the impact of the introduction of the Trip substituent to a β-diketiminate system, we used the bulkiest proligand reported herein, iPrTripnacnacH 20, to prepare a magnesium hydride complex [16,93,102] for comparison to other related molecules of the type RArnacnacH [{(RArnacnac)MgH}2], where RArnacnac = {HC{RCN(Ar)} and R is typically an alkyl group and Ar is a sterically demanding aryl substituent. Using an established protocol [103], iPrTripnacnacH 20 was treated with MgnBu2 in toluene to form the expected intermediate complex [(iPrTripnacnac)MgnBu]. After removal of all volatiles, the oily residue was taken up in n-hexane and reacted for two days at 60 °C with phenyl silane which precipitated clean [{(iPrTripnacnac)MgH}2] 21 in 41% isolated yield (Scheme 6). Complex 21 could be recrystallised from hot benzene to form large colourless crystals that were structurally characterised, see Figure 4. The complex crystallised as a dimeric system, as is found for most other related complexes of the type [{(nacnac)MgH}2], with a comparable steric bulk [15,93,103,104], although a few examples of the type [(nacnac)MgH] are known with a monomeric solid state structure with a terminal hydride species and three-coordinate Mg centre [18,91]. The least-square-planes of the two essentially planar β-diketiminate magnesium chelate rings are rotated by approximately 47.6° relative to each other which must be due to the to the alternating “interlocking” contact of the isopropyl groups of the two ligand units which is visualised in the space-filling model in Figure 5, showing the hydrocarbyl units of both β-diketiminates in different colours. For comparison, β-diketiminate magnesium chelate rings are approximately co-planar in [{(MeDipnacnac)MgH}2] [103], approximately orthogonal to each other in [{(tBuDipnacnac)MgH}2] [104] but show a similar rotation in [{(MeDIPePnacnac)MgH}2] (DIPeP = 2,6-di(3-pentyl)phenyl) with ca. 42° [93] between metal-ligand planes to accommodate the various bulky substituents on the ligands. An analysis of the buried volume [11] for the Mg centre in 21 (Vburied = 53.5%) provided a similar value compared to those for known structurally characterised [{(RDipnacnac)MgH}2] complexes (Vburied = 51.1–56.3%), but hints at a more even distribution of the bulk around the metal centre when compared to those of [{(RDipnacnac)MgH}2] as judged from inspection the distribution in the four quadrants (see Table S2 in the Supporting Information).
Scheme 6.
Synthesis of [{(iPrTripnacnac)MgH}2] 21.
Figure 4.
Molecular structures of [{(iPrTripnacnac)MgH}2] 21, 30% thermal ellipsoids. Only MgH hydrogen atom are shown. Selected bond lengths (Å) and angles (°): Mg1–N1 2.0796(12), Mg1–N5 2.0829(12), Mg1–H 2.029(13), Mg1′–H 2.029(13), Mg1–HA 1.979(14), Mg1∙∙∙Mg1 2.9502(9), N1–C2 1.3341(18), C2–C3 1.3981(19), C3–C4 1.3987(19), N5–C4 1.3338(18); N1–Mg1–N5 94.40(5), C2–N1–C6 116.64, C4–N5–C27 116.73(11), N1–C2–C3 124.64(13), N5–C4–C3 124.40(13), C2–C3–C4 132.32(14).
Figure 5.
Space-filling model (two views) showing some central atoms (Mg green, N blue, H grey) and the hydrocarbyl groups from the two ligand units in two colours (lavender-purple, rusty orange) showing the “interlocking” isopropyl substituents.
In solution, [{(iPrTripnacnac)MgH}2] 21 shows 1H NMR resonances for a symmetric compound with a sharp singlet at δ 3.96 ppm for the magnesium hydride resonance in the expected region. The room temperature 1H NMR spectrum shows one broad and two sharp septets, and one broad and three sharp doublets for the isopropyl hydrogen atoms. The broad septet and one broad doublet resonance are associated with one ortho isopropyl group including one methyl group that likely experiences the steric influence from the dimeric interlocked “geometry.” The broad plus one sharp doublet merge above 60 °C and at 80 °C, three resolved septets and three doublets are observed.
3. Conclusions
Sterically demanding aryllithium compounds can be converted with trimethylsilyl azide to triazene-class intermediates in a one-pot reaction, installing a nitrogen atom at the aryl group and forming aniline derivatives. For two different systems, one with a bulky Trip (Scheme 3) substituent, and one with an extremely bulky terphenyl substituent (Scheme 4) slightly different (long-lived) intermediates were observed, but the general reactivity is comparable but also influenced by the reaction kinetics resulting from the steric demand of the substituents. An aryllithium can react with trimethylsilyl azide to form silyl(aryl)triazenide lithium, which, for R = Trip, reacted with further trimethylsilyl azide and converted to TripN2N(SiMe3)2 8. Upon workup with methanol and resulting in dinitrogen formation, this afforded the aniline TripNH2 6 in good yield. For the bulkier terphenyl system, the in situ generated silyl(aryl)triazenide lithium species did not react with further trimethylsilyl azide. Instead, this lithiated species formed only slowly enough that it (slowly) lost dinitrogen in parallel and predominantly formed TerN(SiMe3)H 16 in a one-pot synthesis after treatment with methanol. This silylated aniline derivative is a promising sterically demanding amide proligand in its own right but can also be readily desilylated with acids to afford TerNH2 17. This work shows the main types of intermediates for two systems with highly different steric demands, and gives practical considerations around their synthesis, optimisation, and workup, with the view that the protocol can be easily extended to other substituents and organometallic species for the synthesis of anilines, primary amines, and silylated derivatives. This includes optimised conditions for metal-halogen exchange with n-butyllithium that supress side reactions but allow conversions at relatively high temperatures. Furthermore, TripNH2 6 has been further converted in acid-promoted one-pot condensation reactions to the sterically demanding proligands MeTripnacnacH 18, EtTripnacnacH 19, and iPrTripnacnacH 20, the latter of which was converted to the magnesium hydride complex [{(iPrTripnacnac)MgH}2] 21. The significant effects of the steric influence and dispersion forces of the 16 isopropyl groups in 21 will likely impact compound properties and future reactivity.
4. Materials and Methods
4.1. Experimental Details
All manipulations were carried out using standard Schlenk and glove box techniques under an atmosphere of high purity argon or dinitrogen. Tetrahydrofuran, diethyl ether, toluene and n-hexane were either dried and distilled under inert gas over LiAlH4 or taken from an MBraun solvent purification system and degassed prior to use. 1H, 7Li, 13C{1H} and 1H-15N HMBC NMR spectra were recorded on a Bruker AVII 400, Bruker AVIII 500, Bruker AVIII-HD 500 or Bruker AVIII-HD 700 spectrometer (Bruker, Billerica, MA, USA) in deuterated benzene or chloroform and were referenced to the residual 1H or 13C{1H} resonances of the solvent used, external LiCl in D2O, or external liquid NH3, respectively. Abbreviations: s = singlet, d = doublet, t = triplet, q = quartet, quint = quintet, sext = sextet, sept = septet, br = broad, m = multiplet, e.g., brs, broad singlet; ad denotes an apparent doublet. The IR spectrum was recorded on a neat solid using a Shimadzu IRAfinity 1S IR spectrometer. Melting points were determined in air and are uncorrected. 1-bromo-2,4,6-triisopropylbenzene (TripBr 2) was degassed and stored over molecular sieves under inert atmosphere. Trimethylsilyl azide (azidotrimethylsilane) and phenylsilane were degassed and stored under inert atmosphere. TerI 12 and TerLi(OEt2) 11(OEt2) were prepared according to the literature [89]. All other compounds were used as received from chemical suppliers.
CAUTION! Azides are potentially explosive and highly toxic substances, and all manipulations must be carried out by trained workers. Trimethylsilyl azide is considered relatively stable but must not be mixed with acids or water and certain other substances. The aqueous layer during the workup steps below will, or can, contain lithium azide, should be treated accordingly (e.g., collect as a dilute alkaline aqueous solution), and should not be mixed with other waste. A reaction between ionic azides and halogenated reagents and solvents, such as dichloromethane, must be avoided to prevent the formation of explosive azides. The hazards and risks of procedures are dependent on scale. Use suitable gloves when working with azides. Even though no issues were encountered during the work, the use of a blast shield is strongly suggested [53,105,106].
4.2. Syntheses and Formation of Trip Compounds (1–6, 9, 10)
4.2.1. General Procedure for the Optimisation of the Lithium-Bromide Exchange
A Schlenk flask was charged with TripBr 2 (1-bromo-2,4,6-triisopropylbenzene; 0.50 mL, 1.97 mmol), n-hexane and the amount of THF or diethyl ether to afford the desired solvent ratio as shown in Table 1. The amount of solvent used for each reaction was determined by calculating the total amount of donor solvent and n-hexane (accounting for hexanes from nBuLi solution) needed to make a 0.395 m solution of TripBr 2 with the desired donor solvent to Li centre ratio. For an example involving 5 eq. of THF per Li see Section 4.2.2. The reaction mixture was brought to the required temperature and nBuLi (1.30 mL, 1.6 m solution in hexanes, 1.05 eq.) was added dropwise. The reaction mixture was stirred for 30 min and quenched with H2O (ca. 5 mL). All volatiles were removed in vacuo, dichloromethane (ca. 10 mL) and water (ca. 10 mL) were added, and the organic layer was separated. All volatiles were removed in vacuo affording a crude oil that was analysed with 1H NMR spectroscopy in CDCl3. Since TripBr 2, TripH 3 and TripnBu 4 (plus an occasional minor quantity of TripOH 5 from O2 capture) are the only Trip-containing products observed, the conversion was calculated directly from the ratio of their aromatic protons, and their sum was assumed as 100% for a qualitative analysis of the lithiation (Table 1).
4.2.2. Synthesis of TripNH2 6
Method 1: A Schlenk flask was charged with TripBr 2 (4.00 mL, 15.79 mmol), n-hexane (22.2 mL) and THF (7 mL, ca. 5 THF per Li). The reaction mixture was cooled to −20 °C using a cold bath and nBuLi (10.8 mL, 1.6 m solution in hexanes, 1.09 eq.) was added dropwise over approximately two minutes. The reaction mixture was stirred for 30 min at −20 °C and was then placed into a room temperature water bath. After a period of 1–2 min, Me3SiN3 (4.80 mL, 36.5 mmol, 2.31 eq.) was added dropwise and the reaction mixture was stirred for a further 30 min. A white precipitate of LiN3 was formed during that period. The reaction mixture was placed in an ice-water bath (0 °C), the stopper of the flask was removed under a gentle flow of inert gas, and subsequently, methanol (10 mL) was added slowly added over a period of 5 min under vigorous gas evolution. Stirring of the mixture was continued until all gas evolution ceased, after which all volatiles were removed in vacuo and the crude product was redissolved in methanol (10 mL) to ensure complete conversion to aniline 6. After standing for 10 min, all volatiles were removed in vacuo, and DCM (ca. 30 mL) and water (ca. 30 mL) were added, and organic layer was separated. [Note: Be aware that the aqueous layer contains dissolved LiN3. Ensure that Me3SiN3 has reacted and is largely consumed in the procedure; if unsure, use an alkaline solution for carefully quenching of the reaction mixture to ensure no significant quantities of HN3, are produced.] Removal of all volatiles in vacuo afforded crude TripNH2 6 as a yellow-orange oil which may be sufficiently pure for some applications.
Purification: Various methods of purification could be used (e.g., column chromatography using alumina (90), eluent: petroleum ether (40–60 °C) followed by dichloromethane), however, a batch scale purification method via conversion to an anilinium chloride, TripNH3+Cl− 10 was found to work best. Conc. aq. HCl (ca. 37%, 12 mL) and petroleum ether (40–60 °C fraction, 10 mL) were added, which produced an off-white precipitate of TripNH3+Cl− 10 as a hydrate. The resulting suspension was stirred for 10 min, after which the solid (powder) was isolated by filtration and washed with petroleum ether (10 mL). [Note: A small and varying quantity of TripN(SiMe3)2 9 was obtained in crystalline form by evaporation of the petroleum ether filtrate.] The TripNH3+Cl− 10 hydrate solid was redissolved in dichloromethane (40 mL) and (saturated) aqueous Na2CO3 (50 mL) was added, and the resulting mixture was stirred for 30 min. The organic layer was separated, the solvent removed in vacuo, and the product was dried under vacuum and afforded TripNH2 6 of sufficient purity. Yield: 2.98 g (86%).
Method 2: A Schlenk flask was charged with lithium granules (280 mg, 0.5% sodium, 4–10 mesh, 40.3 mmol, 2.55 eq.), CBr4 for activation (ca. 2–3 mg), diethyl ether (ca. 30 mL) and equipped with a reflux condenser and a nitrogen inlet. A solution of TripBr 2 (4.00 mL, 15.8 mmol) in diethyl ether (ca. 8 mL) was added in portions over 30 min to a stirring suspension of lithium granules which initiated an exothermic reaction. After the addition has been completed, the resulting mixture was refluxed for 60 min, cooled to room temperature, allowed to settle, and filtered. To the filtrate, Me3SiN3 (4.80 mL, 36.5 mmol, 2.31 eq.) was added dropwise at room temperature and the reaction mixture was stirred for a further 30 min. Workup with methanol and purification were carried out as described above in Method 1. Yield: 2.82 g (81%). 1H NMR (499.9 MHz, CDCl3, 298 K) δ = 1.29 (d, JHH = 7.0 Hz, 6H, Ar-p-CH(CH3)2), 1.33 (d, JHH = 6.9 Hz, 12H, Ar-o-CH(CH3)2), 2.88 (sept, JHH = 6.9 Hz, 1H, Ar-p-CH(CH3)2), 2.99 (sept, JHH = 6.8 Hz, 2H, Ar-o-CH(CH3)2), 3.66 (brs, 2H, NH2), 6.96 (s, 2H, Ar-H).
4.2.3. Data for LiN3
The compound is formed during the synthesis of TripNH2 6 and could be isolated directly from the reaction mixture by filtration. The solid also showed a positive flame test for Br suggesting minor LiBr contamination from the reaction mixture. 7Li NMR (155.5 MHz, D2O, 294 K) δ = −0.10 (s, LiN3). IR (ATR), v~/cm−1: 2127 (s).
4.2.4. Data for TripN2N(SiMe3)2 8
Solid TripLi 1 was obtained by performing a lithiation of TripBr as descried for the synthesis of 6 above, via Method 2, and storing the concentrated diethyl ether solution at −40 °C. After isolation and briefly drying under vacuum, the obtained crystalline material showed approximately 45% TripLi by weight (with the rest assumed to be 1H NMR-silent LiBr as judged by integration against an internal standard). TripLi (ca. 3.3 mg, 15.7 μmol) was dissolved in C6D6 (0.5 mL) in a J. Young’s NMR tube and Me3SiN3 (4.6 μL, 35 μmol, ca. 2.23 eq.) was added at 20 °C. Analysis by 1H NMR spectroscopy showed immediate consumption of TripLi 1 and formation of 8. 1H NMR (700.1 MHz, C6D6, 295 K) δ = 0.34 (s, 18H, Si(CH3)3), 1.26 (d, JHH = 6.9 Hz, 6H, Ar-p-CH(CH3)2), 1.28 (d, JHH = 7.0 Hz, 12H, Ar-o-CH(CH3)2), 2.83 (sept, JHH = 7.0 Hz, 1H, Ar-p-CH(CH3)2), 3.21 (sept, JHH = 6.9 Hz, 2H, Ar-o-CH(CH3)2), 7.15 (s, 2H, Ar-H). 13C{1H} NMR (176.0 MHz, C6D6, 295 K) δ = 2.0 (Si(CH3)3), 24.2 (Ar-o-CH(CH3)2), 24.5 (Ar-p-CH(CH3)2), 28.3 (Ar-o-CH(CH3)2), 34.8 (Ar-p-CH(CH3)2), 121.4 (Ar-C), 140.9 (Ar-C), 145.7 (Ar-C), 146.6 (Ar-C). 1H-15N HMBS NMR (700.1/70.9 MHz, C6D6, 295 K) δ ≈ 187 (TripN2N(SiMe3)2).
4.2.5. Data for TripN(SiMe3)2 9
The compound was occasionally isolated during the purification of TripNH2 6 as described above, especially when the reaction was carried out on a multigram scale (>30 mmol). It remains unclear what factors favour its formation, as preliminary experiments with altered stoichiometry or prolonged reaction time have shown no clear pattern, although heat appears to favour dinitrogen elimination. The compound sublimes at ca. 50 °C (ca. 0.05 mbar) affording colourless crystals that were suitable for X-ray crystallographic analysis. 1H NMR (700.1 MHz, CDCl3, 295 K) δ = 0.06 (s, 18H, Si(CH3)3), 1.17 (d, JHH = 6.9 Hz, 12H, Ar-o-CH(CH3)2), 1.21 (d, JHH = 6.9 Hz, 6H, Ar-p-CH(CH3)2), 2.82 (sept, JHH = 6.9 Hz, 1H, Ar-p-CH(CH3)2), 3.41 (sept, JHH = 6.9 Hz, 2H, Ar-o-CH(CH3)2), 6.84 (s, 2H, Ar-H). 13C{1H} NMR (176.0 MHz, CDCl3, 295 K) δ = 2.7 (Si(CH3)3), 24.3 (Ar-p-CH(CH3)2), 25.3 (Ar-o-CH(CH3)2), 27.6 (Ar-o-CH(CH3)2), 33.8 (Ar-p-CH(CH3)2), 121.4 (Ar-C), 140.5 (Ar-C), 144.1 (Ar-C), 146.2 (Ar-C). 1H NMR (700.1 MHz, C6D6, 295 K) δ = 0.16 (s, 18H, Si(CH3)3), 1.22 (d, JHH = 6.9 Hz, 6H, Ar-p-CH(CH3)2), 1.29 (d, JHH = 6.9 Hz, 12H, Ar-o-CH(CH3)2), 2.79 (sept, JHH = 6.9 Hz, 1H, Ar-p-CH(CH3)2), 3.58 (sept, JHH = 6.9 Hz, 2H, Ar-o-CH(CH3)2), 7.05 (s, 2H, Ar-H). 1H-15N HMBS NMR (700.1/70.9 MHz, C6D6, 295 K) δ ≈ 43 (TripN(SiMe3)2).
4.2.6. Data for TripNH3+Cl−∙1.75 H2O, 10∙1.75 H2O
The compound was formed during the purification of TripNH2 6 as described above, and the water content was estimated by integration of the 1H NMR spectrum. 1H NMR (499.9 MHz, CDCl3, 298 K) δ = 1.24 (d, JHH = 6.9 Hz, 6H, Ar-p-CH(CH3)2), 1.30 (d, JHH = 6.5 Hz, 12H, Ar-o-CH(CH3)2), 1.68 (brs, ca. 3.5H, H2O), 2.89 (sept, JHH = 6.9 Hz, 1H, Ar-p-CH(CH3)2), 3.70 (sept, JHH = 5.9 Hz, 2H, Ar-o-CH(CH3)2), 7.06 (s, 2H, Ar-H), 10.30 (brs, 3H, NH3). 13C{1H} NMR (125.7 MHz, CDCl3, 298 K) δ = 24.1 (Ar-p-CH(CH3)2), 24.4 (Ar-o-CH(CH3)2), 28.6 (Ar-o-CH(CH3)2), 34.3 (Ar-p-CH(CH3)2), 122.4 (Ar-C), 123.5 (Ar-C), 142.7 (Ar-C), 149.5 (Ar-C).
4.3. Syntheses and Formation of Ter Compounds (14–17)
4.3.1. TerN(SiMe3)Li 14
TerLi(OEt2) 11(OEt2) (9.5 mg, 16.9 μmol) was dissolved in C6D6 (0.5 mL) in a J. Young’s NMR tube, after which THF (7.0 μL, 5.1 eq.) and Me3SiN3 (2.4 μL, 18 μmol, 1.07 eq.) were added. The sample was heated for 24 h at 60 °C, after which analysis by 1H NMR spectroscopy showed complete consumption of TerLi∙Et2O 11(OEt2) and formation of TerN(SiMe3)Li 14. Further context is described in the main text. 1H NMR (700.1 MHz, C6D6, 295 K) δ = −0.18 (s, 9H, Si(CH3)3), 1.24 (d, JHH = 6.8 Hz, 12H, Trip-o-CH(CH3)2), 1.28 (d, JHH = 7.0 Hz, 12H, Trip-p-CH(CH3)2), 1.40 (d, JHH = 6.9 Hz, 12H, Trip-o-CH(CH3)2), 2.84 (sept, 2H, Trip-p-CH(CH3)2), 3.47 (m, 4H, Trip-o-CH(CH3)2), 6.87 (t, JHH = 7.3 Hz, 1H, p-C6H3), 7.23 (d, JHH = 7.3 Hz, 2H, m-C6H3), 7.24 (s, 4H, m-Trip). 7Li NMR (155.5 MHz, C6D6) δ = −0.81 (N(SiMe3)Li). 13C{1H} NMR (176.0 MHz, C6D6, 295 K) δ = 3.3 (Si(CH3)3), 23.8 (Trip-o-CH(CH3)2), 24.4 (Trip-p-CH(CH3)2), 26.4 (Trip-o-CH(CH3)2), 30.5 (Trip-o-CH(CH3)2), 34.7 (Trip-p-CH(CH3)2), 112.9 (Ar-C), 121.7 (Ar-C), 131.4 (Ar-C), 132.9 (Ar-C), 140.9 (Ar-C), 147.6 (Ar-C), 148.4 (Ar-C), 159.0 (Ar-C). 1H-15N HMBS NMR (700.1/70.9 MHz, C6D6, 295 K) δ ≈ 115 (TerN(SiMe3)Li).
4.3.2. Partial NMR Data for TerN2N(SiMe3)Li 15
Compound TerN2N(SiMe3)Li 15 is formed as an intermediate during the reaction between TerLi(OEt2) 11(OEt2) and Me3SiN3 in C6D6 with or without additional donor solvents. It was observed using 1H NMR spectroscopy by tracking the apparent triplet at 6.98 ppm (p-C6H3), doublet at 7.12 ppm (m-C6H3) and a singlet at 0.03 ppm (Si(CH3)3). 1H-15N HMBS NMR (700.1/70.9 MHz, C6D6, 295 K) δ ≈ 317 (TerN2N(SiMe3)Li).
4.3.3. Partial NMR Data for TerH
TerH is formed as a by-product during the reaction between TerLi(OEt2) 11(OEt2) and Me3SiN3 in C6D6 with or without the addition of donor solvents. It was observed using 1H NMR spectroscopy by tracking the singlet at 7.21 ppm (m-Trip).
4.3.4. Synthesis of TerN(SiMe3)H 16
A Schlenk flask was charged with TerI 12 (1.00 g, 1.64 mmol), n-hexane (ca. 25 mL) and Et2O (ca. 10 mL). The reaction mixture was cooled to −50 °C using a cold bath and nBuLi (1.03 mL, 1.6 M solution in hexanes, ca. 1 eq.) was added dropwise. The reaction mixture was allowed to slowly warm to room temperature and stirred for an additional 2 h. All volatiles were removed in vacuo affording a white powder which was extensively dried for 1h, after which toluene (ca. 20 mL), THF (1.34 mL, 10 eq.) and Me3SiN3 (0.30 mL, 2.28 mmol, 1.4 eq.) were added. The resulting mixture was heated for 20 h to 60 °C, after which it was placed in an ice bath and methanol (10 mL) was added slowly over a period of 5 min, after which all volatiles were removed in vacuo. Dichloromethane (ca. 20 mL) and water (ca. 20 mL) were added, and organic layer was separated. Removal of volatiles in vacuo afforded crude product as a white solid, which was purified by recrystallisation from cold (room temperature to −40 °C) diethyl ether and afforded as two crops. Crystals suitable for X-ray crystallographic analysis were obtained upon storage of concentrated diethyl ether solution at 6 °C. Yield = 0.56 g (60%). 1H NMR (700.1 MHz, C6D6, 295 K) δ = −0.34 (s, 9H, Si(CH3)3), 1.16 (d, JHH = 6.8 Hz, 12H, Trip-o-CH(CH3)2), 1.29 (d, JHH = 7.0 Hz, 12H, Trip-p-CH(CH3)2), 1.38 (d, JHH = 6.9 Hz, 12H, Trip-o-CH(CH3)2), 2.87 (sept, JHH = 6.9 Hz, 2H, Trip-p-CH(CH3)2), 3.06 (sept, JHH = 6.8 Hz, 4H, Trip-o-CH(CH3)2), 3.24 (s, 1H, N(SiMe3)H), 6.92 (t, JHH = 7.5 Hz, 1H, p-C6H3), 7.19 (d, JHH = 7.5 Hz, 2H, m-C6H3), 7.23 (s, 4H, m-Trip). 13C{1H} NMR (176.0 MHz, C6D6, 295 K) δ = 0.4 (Si(CH3)3), 23.8 (Trip-o-CH(CH3)2), 24.4 (Trip-p-CH(CH3)2), 26.2 (Trip-o-CH(CH3)2), 30.9 (Trip-o-CH(CH3)2), 34.9 (Trip-p-CH(CH3)2), 119.3 (Ar-C), 121.6 (Ar-C), 131.3 (Ar-C), 131.4 (Ar-C), 135.7 (Ar-C), 144.9 (Ar-C), 148.0 (Ar-C), 149.0 (Ar-C). 1H-15N HMBS NMR (700.1/70.9 MHz, C6D6, 295 K) δ ≈ 67 (TerN(SiMe3)H).
4.3.5. Deprotection of TerN(SiMe3)H 16: Synthesis of TerNH2 17
NMR scale experiments have shown that TerN(SiMe3)H 16 could be deprotected with silica or by prolonged standing in wet CDCl3 to obtain the corresponding aniline TerNH2 17, a known compound [78]. On a large scale it is more convenient to deprotect 16 using aqueous HCl. TerN(SiMe3)H 16 (120 mg, 0.20 mmol) was dissolved in diethyl ether (12 mL), and conc. aq. HCl (37%, 0.5 mL) was added dropwise, and the resulting solution was stirred at room temperature for 1 h, after which aqueous (saturated) Na2CO3 solution (20 mL) was added, and the resulting mixture was stirred for 30 min. The organic layer was separated, and the aqueous layer was extracted with dichloromethane (ca. 15 mL). The organic fractions were combined, and the solvent was removed in vacuo, affording solid TerNH2 17 which was isolated and dried under vacuum. (Note: an additional extraction step with dichloromethane may be required if insoluble material is present, e.g., NaHCO3). Yield = 90 mg (86%). 1H NMR (500.1 MHz, CDCl3, 295 K) δ = 1.10 (d, JHH = 6.9 Hz, 12H, Trip-o-CH(CH3)2), 1.12 (d, JHH = 6.8 Hz, 12H, Trip-o-CH(CH3)2), 1.30 (d, JHH = 6.9 Hz, 12H, Trip-p-CH(CH3)2), 2.75 (sept, JHH = 6.8 Hz, 4H, Trip-o-CH(CH3)2), 2.94 (sept, JHH = 6.9 Hz, 2H, Trip-p-CH(CH3)2), 3.14 (brs, 2H, NH2), 6.81 (t, JHH = 7.4 Hz, 1H, p-C6H3), 6.96 (d, JHH = 7.4 Hz, 2H, m-C6H3), 7.08 (s, 4H, m-Trip).
4.4. Syntheses of RTripnacnacH Compounds 18–20
4.4.1. MeTripnacnacH 18
A round bottom flask was charged with pentane-2,4-dione (1.07 mL, 10.42 mmol, 1.0 equiv), para-toluenesulfonic acid monohydrate, pTsOH∙H2O (2.18 g, 11.46 mmol, 1.10 eq.), TripNH2 6 (4.81 g, 21.9 mmol, 2.10 eq.) and toluene (90 mL), and equipped with a Dean-Stark trap and a reflux condenser. The flask was placed in an oil bath and the reaction mixture was heated under reflux for 24 h to remove the water. Subsequently, most of the solvent (ca. 85 mL) was distilled off via the Dean-Stark trap leaving a dark brown oily residue. The oil was taken up in saturated aqueous Na2CO3 solution (ca. 100 mL) and dichloromethane (ca. 100 mL) and stirred until two clear phases formed. The organic layer was separated, and all volatiles were reduced in vacuo giving a dark viscous oil. Addition of methanol (20 mL) results in almost immediate precipitation of MeTripnacnacH 18 as an off-white solid which is subsequently isolated by filtration and washed with cold methanol (ca. 20 mL). Concentrating the supernatant solution to ca. 10 mL and storing at −40 °C afforded additional colourless crystals of 6 that were suitable for X-ray crystallographic analysis. Yield = 4.00 g (76%). M.p. 158–161 °C. 1H NMR (500.1 MHz, CDCl3, 295 K) δ = 1.12 (d, JHH = 6.9 Hz, 12H, Ar-o-CH(CH3)2), 1.21 (d, JHH = 6.9 Hz, 12H, Ar-o-CH(CH3)2), 1.25 (d, JHH = 6.9 Hz, 12H, Ar-p-CH(CH3)2), 1.73 (s, 6H, NCCH3), 2.87 (sept, JHH = 6.9 Hz, 2H, Ar-p-CH(CH3)2), 3.09 (sept, JHH = 6.9 Hz, 4H, Ar-o-CH(CH3)2), 4.85 (s, 1H, NC(CH3)CH), 6.95 (s, 4H, Ar-H), 12.15 (s, 1H, NH). 1H NMR (400.1 MHz, C6D6, 294 K) δ = 1.21 (d, JHH = 6.9 Hz, 12H, Ar-o-CH(CH3)2), 1.29 (d, JHH = 7.0 Hz, 12H, Ar-o-CH(CH3)2), 1.30 (d, JHH = 6.9 Hz, 12H, Ar-p-CH(CH3)2), 1.71 (s, 6H, NCCH3), 2.88 (sept, JHH = 6.9 Hz, 2H, Ar-p-CH(CH3)2), 3.35 (sept, JHH = 6.9 Hz, 4H, Ar-o-CH(CH3)2), 4.90 (s, 1H, NC(CH3)CH), 7.17 (s, 4H, Ar-H), 12.61 (s, 1H, NH). 13C{1H} NMR (100.6 MHz, C6D6, 295 K): δ = 20.8 (NCCH3), 23.7 (Ar-o-CH(CH3)2), 24.6 (Ar-o-CH(CH3)2 or Ar-p-CH(CH3)2), 24.6 (Ar-o-CH(CH3)2 or Ar-p-CH(CH3)2), 28.8 (Ar-o-CH(CH3)2), 34.8 (Ar-p-CH(CH3)2), 94.1 (NC(CH3)CH), 121.4 (Ar-C), 139.2 (Ar-C), 142.7 (Ar-C), 145.9 (Ar-C), 161.7 (NCCH3).
4.4.2. EtTripnacnacH 19
A round bottom flask was charged with heptane-3,5-dione (1.45 mL, 1.37 g, 10.42 mmol), para-toluenesulfonic acid monohydrate, pTsOH∙H2O (2.24 g, 11.46 mmol, 1.10 eq.), TripNH2 6 (4.94 g, 21.93 mmol, 2.10 eq.) and xylene (mixture of isomers, 90 mL), and equipped with a Dean-Stark trap, a reflux condenser, and a nitrogen inlet with oil bubbler. The flask was placed in an oil bath and nitrogen gas was blown through the apparatus for a few minutes to displace most of the air. The reaction mixture was refluxed under a very slow nitrogen flow for 48 h to remove the water. Subsequently, the majority of the solvent (ca. 80 mL) was distilled off via the Dean-Stark trap leaving a dark brown oily residue. The oil was taken up in a saturated aqueous Na2CO3 solution (ca. 100 mL) and dichloromethane (ca. 100 mL) and stirred until two clear phases formed. The organic layer was separated, and all volatiles were reduced in vacuo giving a dark viscous oil that was dried under vacuum. Addition of methanol (30 mL) with prolonged sonication resulted in the precipitation of EtTripnacnacH 19 as an off-white solid which was subsequently isolated by filtration and washed with cold methanol (ca. 20 mL). Colourless crystals suitable for X-ray crystallographic analysis were obtained by redissolving 19 in boiling methanol and subsequent cooling to room temperature. Yield = 3.77 g (66%). M.p. 142–145 °C. 1H NMR (500.1 MHz, CDCl3, 295 K) δ = 1.08 (t, JHH = 7.6 Hz, 6H, NCCH2CH3), 1.10 (d, JHH = 6.8 Hz, 12H, Ar-o-CH(CH3)2), 1.19 (d, JHH = 6.9 Hz, 12H, Ar-o-CH(CH3)2), 1.25 (d, JHH = 6.9 Hz, 12H, Ar-p-CH(CH3)2), 2.05 (q, JHH = 7.6 Hz, 4H, NCCH2CH3), 2.87 (sept, JHH = 6.9 Hz, 2H, Ar-p-CH(CH3)2), 3.07 (sept, JHH = 6.9 Hz, 4H, Ar-o-CH(CH3)2), 4.91 (s, 1H, NC(CH2CH3)CH), 6.94 (s, 4H, Ar-H), 12.14 (s, 1H, NH). 1H NMR (499.9 MHz, C6D6, 298 K) 0.98 (t, JHH = 7.6 Hz, 6H, NCCH2CH3), 1.22 (d, JHH = 6.8 Hz, 12H, Ar-o-CH(CH3)2), 1.30 (d, JHH = 6.9 Hz, 12H, Ar-p-CH(CH3)2), 1.30 (d, JHH = 6.9 Hz, 12H, Ar-o-CH(CH3)2), 2.13 (q, JHH = 7.6 Hz, 4H, NCCH2CH3), 2.88 (sept, JHH = 6.9 Hz, 2H, Ar-p-CH(CH3)2), 3.38 (sept, JHH = 6.9 Hz, 4H, Ar-o-CH(CH3)2), 5.09 (s, 1H, NC(CH2CH3)CH), 7.18 (s, 4H, Ar-H), 12.64 (s, 1H, NH). 13C{1H} NMR (125.7 MHz, C6D6, 298 K): δ = 12.1 (NCCH2CH3), 23.6 (Ar-o-CH(CH3)2), 24.6 (Ar-p-CH(CH3)2), 25.0 (Ar-o-CH(CH3)2), 26.8 (NCCH2CH3), 28.7 (Ar-o-CH(CH3)2), 34.8 (Ar-p-CH(CH3)2), 89.1 (NC(CH2CH3)CH), 121.4 (Ar-C), 138.8 (Ar-C), 142.8 (Ar-C), 145.8 (Ar-C), 166.9 (NCCH3).
4.4.3. iPrTripnacnacH 20
A Schlenk flask with reflux condenser and nitrogen inlet was charged with P4O10 (10.1 g, 35.6 mmol) and hexamethyldisiloxane (25.0 mL, 117.6 mmol), and the mixture was dissolved in dry dichloromethane (25 mL). The reaction mixture was heated to reflux for 2 h under a gentle flow of nitrogen before cooling to 20 °C. All volatiles were removed in vacuo, affording a colourless, viscous syrup of PPSE. 2,6-dimethylheptane-3,5-dione (1.80 mL, 1.64 g, 10.5 mmol) and TripNH2 6 (4.70 g, 21.42 mmol, 2.04 eq.) were added to the flask under a gentle flow of nitrogen. The reaction mixture was then slowly heated to 170 °C and stirred for 48 h at this temperature. The reaction mixture was then cooled to ca. 95 °C and an aqueous NaOH solution (8.0 g in 100 mL) was carefully (exothermic reaction!) and slowly added via the top of the reflux condenser with vigorous stirring. After cooling, the formed solid residue was extracted with dichloromethane (ca. 80 mL), the organic layer was separated off, and all volatiles were removed in vacuo. Addition of methanol (25 mL) resulted in almost immediate precipitation of iPrTripnacnacH 20 as an off-white solid which was subsequently isolated by filtration and washed with cold methanol (ca. 20 mL). Colourless crystals suitable for X-ray crystallographic analysis were obtained by storing an n-hexane solution of 20 at 6 °C for two months. Yield = 3.90 g (67%). M.p. 204–207 °C. 1H NMR (500.1 MHz, CDCl3, 295 K) δ = 1.08 (ad, 24H, Ar-o-CH(CH3)2 and NC(CH(CH3)2), 1.22 (d, JHH = 6.9 Hz, 12H, Ar-o-CH(CH3)2), 1.25 (d, JHH = 6.9 Hz, 12H, Ar-p-CH(CH3)2), 2.43 (sept, JHH = 6.8 Hz, 2H, NC(CH(CH3)2)), 2.87 (sept, JHH = 6.9 Hz, 2H, Ar-p-CH(CH3)2), 3.07 (sept, JHH = 6.8 Hz, 4H, Ar-o-CH(CH3)2), 4.89 (s, 1H, NC(CH(CH3)2)CH), 6.93 (s, 4H, Ar-H), 11.76 (s, 1H, NH). 1H NMR (499.9 MHz, C6D6, 298 K) δ = 1.05 (d, JHH = 6.8 Hz, 12H, NC(CH(CH3)2)), 1.23 (d, JHH = 6.8 Hz, 12H, Ar-o-CH(CH3)2), 1.29 (d, JHH = 6.9 Hz, 12H, Ar-p-CH(CH3)2), 1.34 (d, JHH = 6.9 Hz, 12H, Ar-o-CH(CH3)2), 2.60 (sept, JHH = 6.8 Hz, 2H, NC(CH(CH3)2)), 2.86 (sept, JHH = 7.0 Hz, 2H, Ar-p-CH(CH3)2), 3.39 (sept, JHH = 6.9 Hz, 4H, Ar-o-CH(CH3)2), 5.12 (s, 1H, NC(CH(CH3)2)CH), 7.18 (s, 4H, Ar-H), 12.36 (s, 1H, NH). 13C{1H} NMR (125.7 MHz, C6D6, 298 K): δ = 22.2 (NC(CH(CH3)2)), 23.6 (Ar-o-CH(CH3)2), 24.6 (Ar-p-CH(CH3)2), 25.7 (Ar-o-CH(CH3)2), 28.4 (Ar-o-CH(CH3)2), 30.4 (NC(CH(CH3)2)), 34.7 (Ar-p-CH(CH3)2), 84.0 (NC(CH(CH3)2)CH), 121.5 (Ar-C), 138.4 (Ar-C), 142.9 (Ar-C), 145.6 (Ar-C), 171.8 (NC(CH(CH3)2)).
4.5. Synthesis of [{(iPrTripnacnac)MgH}2] 21
A J Youngs flask was charged with iPrTripnacnacH 20 (1.00 g, 1.79 mmol) and toluene (ca. 20 mL). The resulting solution was cooled using an ice bath and MgnBu2 (2.33 mL, 1.0 M solution in heptane, 1.30 eq.) was added. The solution was then briefly heated to 50 °C for ca. 30 min and then stirred at room temperature for 16 h. The resulting reaction mixture was reduced in vacuo, redissolved in n-hexane (ca. 20 mL), a very small quantity of an insoluble precipitate was filtered off, and phenylsilane (0.29 mL, 2.35 mmol, 1.32 eq.) was added. The resulting mixture was heated to 60 °C for 48 h producing a fine white precipitate of 21, that was isolated by hot filtration, washed with n-hexane (ca. 10 mL) and dried under vacuum. Colourless crystals of 21 suitable for X-ray crystallographic analysis were obtained by cooling a saturated solution in benzene from 60 °C to room temperature. Yield = 0.43 g (41%). 1H NMR (499.9 MHz, C6D6, 298 K) δ = 0.94 (d, JHH = 6.7 Hz, 24H, NCCH(CH3)2), 1.00 (brs, 24H, Ar-o-CH(CH3)2), 1.34 (d, JHH = 7.1 Hz, 24H, Ar-o-CH(CH3)2), 1.34 (d, JHH = 7.0 Hz, 24H, Ar-p-CH(CH3)2), 2.53 (sept, JHH = 6.8 Hz, 4H, NCCH(CH3)2), 2.89 (sept, JHH = 7.1 Hz, 4H, Ar-p-CH(CH3)2), 3.19 (brsept, 8H, Ar-o-CH(CH3)2), 3.96 (s, 2H, Mg-H), 4.88 (s, 2H, NC(CH(CH3)2)CH), 7.08 (s, 8H, Ar-H). 1H NMR (499.9 MHz, C6D6, 353 K) δ = 0.99 (ad, 48H, Ar-o-CH(CH3)2 and NCCH(CH3)2), 1.30 (d, JHH = 6.8 Hz, 24H, Ar-o-CH(CH3)2), 1.33 (d, JHH = 6.9 Hz, 24H, Ar-p-CH(CH3)2), 2.54 (sept, JHH = 6.6 Hz, 4H, NCCH(CH3)2), 2.88 (sept, JHH = 7.0 Hz, 4H, Ar-p-CH(CH3)2), 3.17 (sept, JHH = 6.9 Hz, 8H, Ar-o-CH(CH3)2), 3.93 (s, 2H, Mg-H), 4.91 (s, 2H, NC(CH(CH3)2)CH), 7.05 (s, 8H, Ar-H). 13C{1H} NMR (125.7 MHz, C6D6, 353 K): δ = 23.3 (NC(CH(CH3)2) or Ar-o-CH(CH3)2), 24.2 (Ar-o-CH(CH3)2 or Ar-p-CH(CH3)2), 24.4 (Ar-o-CH(CH3)2 or Ar-p-CH(CH3)2), 26.3 (NC(CH(CH3)2) or Ar-o-CH(CH3)2), 28.1 (Ar-o-CH(CH3)2), 32.0 (NC(CH(CH3)2)), 34.5 (Ar-p-CH(CH3)2), 85.5 (NC(CH(CH3)2)CH), 121.9 (Ar-C), 142.5 (Ar-C), 143.2 (Ar-C), 144.8 (Ar-C), 179.9 (NC(CH(CH3)2)).
4.6. X-Ray Crystallographic Details
X-ray diffraction data for compounds 16, 16∙C6H6, 18∙C7H8, 20, 21 were collected using a Rigaku FR-X Ultrahigh Brilliance Microfocus RA generator/confocal optics with XtaLAB P200 diffractometer [Mo Kα radiation (λ = 0.71073 Å)]. Diffraction data for compounds 9 and 19 were collected using a Rigaku MM-007HF High Brilliance RA generator/confocal optics with XtaLAB P100 or P200 diffractometers [Cu Kα radiation (λ = 1.54187 Å)]. Data for all compounds analysed were collected and processed (including correction for Lorentz, polarization, and absorption) using CrysAlisPro. [107] Structures were solved by dual space (SHELXT) [108] or direct (SIR2011) [109] methods. All structures were refined by full-matrix least-squares against F2 (SHELXL-2019/3) [110]. Non-hydrogen atoms were refined anisotropically, and hydrogen atoms were refined using a riding model except for those on nitrogen atoms in 16, 16∙C6H6, 18∙C7H8, and 19, which were located from the difference Fourier map and refined isotropically subject to a distance restraint. The hydride hydrogen atoms in 21 were also located from the difference Fourier map and refined isotropically without distance restraints. All calculations were performed using the Olex2 [111] interface. Selected crystallographic data are presented below. CCDC 2301678–2301684 contains the supplementary crystallographic data for this paper. These data can be obtained free of charge from The Cambridge Crystallographic Data Centre via www.ccdc.cam.ac.uk/structures.
Crystal data for TripN(SiMe3)2 9: CCDC 2301680, C21H41NSi, M = 363.73, colourless prism, 0.06 × 0.05 × 0.04 mm3, orthorhombic, space group Aea2 (No. 41), a = 37.6202(5), b = 12.11603(15), c = 15.74019(18) Å, V = 7174.49(16) Å3, Z = 12, Dc = 1.010 g cm−3, F000 = 2424, μ = 1.343 mm−1, T = 173 K, 2θmax = 151.4°, 66,014 reflections collected, 7404 unique (Rint = 0.0494). Final GoF = 1.020, R1 = 0.0339, wR2 = 0.0863, R indices based on 7141 reflections with I > 2σ(I) (refinement on F2), 359 parameters, 22 restraints. The molecule crystallised with 1.5 molecules in the asymmetric unit. The 4-isopropyl group in the half molecule is disordered and was refined with two positions for each atom using geometry restraints.
Crystal data for TerN(SiMe3)H 16: CCDC 2301681, C39H59NSi, M = 569.96, colourless prism, 0.16 × 0.11 × 0.04 mm3, monoclinic, space group P21/c (No. 14), a = 19.3572(3), b = 9.47187(15), c = 19.6361(3) Å, b = 95.6547(14)°, V = 3582.73(10) Å3, Z = 4, Dc = 1.057 g cm−3, F000 = 1256, μ = 0.091 mm−1, T = 173 K, 2θmax = 58.8°, 75,801 reflections collected, 8820 unique (Rint = 0.0310). Final GoF = 1.035, R1 = 0.0413, wR2 = 0.1035, R indices based on 7244 reflections with I > 2σ(I) (refinement on F2), 410 parameters, 4 restraints. The molecule crystallised with a full molecule in the asymmetric unit. One 4-isopropyl group is disordered and was refined with two positions for the atoms of the outer methyl groups using geometry restraints.
Crystal data for TerN(SiMe3)H∙C6H6 16∙C6H6: CCDC 2301683, C45H65NSi, M = 648.07, colourless plate, 0.07 × 0.06 × 0.02 mm3, monoclinic, space group P21/n (No. 14), a = 9.1204(2), b = 19.8896(4), c = 22.6572(5) Å, b = 92.2103(19)°, V = 4106.97(15) Å3, Z = 4, Dc = 1.048 g cm−3, F000 = 1424, μ = 0.086 mm−1, T = 125 K, 2θmax = 58.3°, 178,448 reflections collected, 10365 unique (Rint = 0.0671). Final GoF = 1.017, R1 = 0.0490, wR2 = 0.1076, R indices based on 7382 reflections with I > 2σ(I) (refinement on F2), 454 parameters, 7 restraints. The molecule crystallised with a full molecule and one benzene molecule in the asymmetric unit. One 2-isopropyl group is disordered and was refined with two positions for the atoms of one methyl group and the methine-H using geometry restraints.
Crystal data for MeTripnacnacH∙C7H8 18∙C7H8: CCDC 2301684, C42H62N2, M = 594.93, colourless prism, 0.12 × 0.04 × 0.03 mm3, orthorhombic, space group Pbca (No. 61), a = 17.3978(6), b = 17.1598(6), c = 24.9732(8) Å, V = 7455.6(4) Å3, Z = 8, Dc = 1.060 g cm−3, F000 = 2624, μ = 0.060 mm−1, T = 120 K, 2θmax = 58.6°, 160,281 reflections collected, 9438 unique (Rint = 0.1475). Final GoF = 1.022, R1 = 0.0952, wR2 = 0.1760, R indices based on 5281 reflections with I > 2σ(I) (refinement on F2), 416 parameters, 1 restraint. The compound crystallised with one full molecule plus one toluene molecule in the asymmetric unit.
Crystal data for EtTripnacnacH 19: CCDC 2301678, C37H58N2, M = 530.85, colourless plate, 0.12 × 0.11 × 0.01 mm3, monoclinic, space group P21/c (No. 14), a = 9.2583(6), b = 25.5248(15), c = 15.1348(8) Å, b = 99.624(6)°, V = 3526.3(4) Å3, Z = 4, Dc = 1.000 g cm−3, F000 = 1176, μ = 0.421 mm−1, T = 173 K, 2θmax = 141.3°, 30,594 reflections collected, 6182 unique (Rint = 0.0831). Final GoF = 1.060, R1 = 0.0547, wR2 = 0.1336, R indices based on 3814 reflections with I > 2σ(I) (refinement on F2), 390 parameters, 9 restraints. The compound crystallised with a full molecule in the asymmetric unit. One backbone ethyl group is disordered and was modelled and refined with two positions for each atom.
Crystal data for iPrTripnacnacH 20: CCDC 2301679, C39H62N2, M = 558.90, colourless prism, 0.12 × 0.06 × 0.04 mm3, orthorhombic, space group Ibca (No. 73), a = 16.1089(8), b = 16.8884(10), c = 26.3413(18) Å, V = 7166.2(7) Å3, Z = 8, Dc = 1.036 g cm−3, F000 = 2480, μ = 0.059 mm−1, λ = 0.71073 Å, T = 125 K, 2θmax = 58.3°, 38,250 reflections collected, 4425 unique (Rint = 0.0410). Final GoF = 1.032, R1 = 0.0850, wR2 = 0.1897, R indices based on 2675 reflections with I > 2σ(I) (refinement on F2), 224 parameters, 34 restraints. The compound crystallised with half a molecule in the asymmetric unit. The 4-isopropyl group is disordered and was modelled with two positions for each atom using geometry restraints.
Crystal data for [{(iPrTripnacnac)MgH}2] 21: CCDC 2301682, C39H62N2Mg, M = 1166.42, colourless block, 0.09 × 0.09 × 0.03 mm3, orthorhombic, space group Pbcn (No. 60), a = 16.0213(5), b = 17.4646(5), c = 25.6440(7) Å, V = 7175.3(4) Å3, Z = 4, Dc = 1.080 g cm−3, F000 = 2576, μ = 0.077 mm−1, T = 125 K, 2θmax = 58.2°, 77,501 reflections collected, 8645 unique (Rint = 0.0521). Final GoF = 1.031, R1 = 0.0484, wR2 = 0.1125, R indices based on 6107 reflections with I > 2σ(I) (refinement on F2), 399 parameters, 0 restraints. This compound crystallised with half a molecule in the asymmetric unit.
Supplementary Materials
The following supporting information can be downloaded at: https://www.mdpi.com/article/10.3390/molecules28227569/s1; Table S1: In-situ NMR scale study of reaction between TerLi(OEt2) 11(OEt2) and Me3SiN3; IR spectrum (Figure S1), NMR spectroscopy (Figure S2–S38), Buried volume information, Table S2: Buried volume for [{(RArnacnac)MgH}2] complexes for the four quadrants and in total and Figures S39–S40.
Author Contributions
N.D. performed most experiments and compound characterisations, guided the main body of work, wrote the experimental section, and contributed to the results and discussion. M.G. and C.B. carried out experiments and characterisation. A.P.M. and D.B.C. conducted the X-ray crystallographic analyses. A.S. conceived and supervised the project and wrote the main section of the manuscript with input from all authors. All authors have read and agreed to the published version of the manuscript.
Funding
We are grateful to the EPSRC DTG (EP/T518062/1, EP/R513337/1), the School of Chemistry and the University of St Andrews for support.
Institutional Review Board Statement
Not applicable.
Informed Consent Statement
Not applicable.
Data Availability Statement
X-ray crystallographic data are available via the CCDC; please see the X-ray Section 4.5. The research data (NMR spectroscopy) supporting this publication can be accessed at https://doi.org/10.17630/419a7764-7072-412a-b008-115c696fd9cd.
Conflicts of Interest
The authors declare no conflict of interest.
References
- Tsai, Y.-C. The chemistry of univalent metal β-diketiminates. Coord. Chem. Rev. 2012, 256, 722–758. [Google Scholar] [CrossRef]
- Bourget-Merle, L.; Lappert, M.F.; Severn, J.R. The chemistry of β-diketiminatometal complexes. Chem. Rev. 2002, 102, 3031–3065. [Google Scholar] [CrossRef] [PubMed]
- Jones, C. Bulky guanidinates for the stabilization of low oxidation state metallacycles. Coord. Chem. Rev. 2010, 254, 1273–1289. [Google Scholar] [CrossRef]
- Kays, D.L. Extremely bulky amide ligands in main group chemistry. Chem. Soc. Rev. 2016, 45, 1004–1018. [Google Scholar] [CrossRef]
- Cao, C.-S.; Shi, Y.; Xu, H.; Zhao, B. Metal–metal bonded compounds with uncommon low oxidation state. Coord. Chem. Rev. 2018, 365, 122–144. [Google Scholar] [CrossRef]
- Noor, A. Coordination Chemistry of Bulky Aminopyridinates with Main Group and Transition Metals. Top. Curr. Chem. 2021, 379, 6. [Google Scholar] [CrossRef] [PubMed]
- Power, P.P. Main-group elements as transition metals. Nature 2010, 463, 171–177. [Google Scholar] [CrossRef]
- Weetman, C.; Inoue, S. The road travelled: After main-group elements as transition metals. ChemCatChem 2018, 10, 4213–4228. [Google Scholar] [CrossRef]
- Weetman, C. Main Group Multiple Bonds for Bond Activations and Catalysis. Chem. Eur. J. 2021, 27, 1941–1954. [Google Scholar] [CrossRef]
- Forster, H.; Vögtle, F. Steric Interactions in Organic Chemistry: Spatial Requirements of Substituents. Angew. Chem. Int. Ed. Engl. 1977, 16, 429–441. [Google Scholar] [CrossRef]
- Poater, A.; Cosenza, B.; Correa, A.; Giudice, S.; Ragone, F.; Scarano, V.; Cavallo, L. SambVca: A Web Application for the Calculation of the Buried Volume of N-Heterocyclic Carbene Ligands. Eur. J. Inorg. Chem. 2009, 2009, 1759–1766. [Google Scholar] [CrossRef]
- Wagner, J.P.; Schreiner, P.R. London Dispersion in Molecular Chemistry—Reconsidering Steric Effects. Angew. Chem. Int. Ed. 2015, 54, 12274–12296. [Google Scholar] [CrossRef] [PubMed]
- Liptrot, D.J.; Power, P.P. London dispersion forces in sterically crowded inorganic and organometallic molecules. Nat. Rev. Chem. 2017, 1, 0004. [Google Scholar] [CrossRef]
- Mears, K.L.; Power, P.P. Beyond Steric Crowding: Dispersion Energy Donor Effects in Large Hydrocarbon Ligands. Acc. Chem. Res. 2022, 55, 1337–1348. [Google Scholar] [CrossRef]
- Lalrempuia, R.; Kefalidis, C.E.; Bonyhady, S.J.; Schwarze, B.; Maron, L.; Stasch, A.; Jones, C. Activation of CO by Hydrogenated Magnesium(I) Dimers: Sterically Controlled Formation of Ethenediolate and Cyclopropanetriolate Complexes. J. Am. Chem. Soc. 2015, 137, 8944–8947. [Google Scholar] [CrossRef]
- Mukherjee, D.; Okuda, J. Molecular Magnesium Hydrides. Angew. Chem. Int. Ed. 2018, 57, 1458–1473. [Google Scholar] [CrossRef]
- Green, S.P.; Jones, C.; Stasch, A. Stable Magnesium(I) Compounds with Mg-Mg Bonds. Science 2007, 318, 1754–1757. [Google Scholar] [CrossRef]
- Rösch, B.; Gentner, T.X.; Eyselein, J.; Langer, J.; Elsen, H.; Harder, S. Strongly reducing magnesium(0) complexes. Nature 2021, 592, 717–721. [Google Scholar] [CrossRef]
- Jones, C. Dimeric magnesium(I) β-diketiminates: A new class of quasi-universal reducing agent. Nat. Rev. Chem. 2017, 1, 0059. [Google Scholar] [CrossRef]
- Queen, J.D.; Lehmann, A.; Fettinger, J.C.; Tuononen, H.M.; Power, P.P. The Monomeric Alanediyl: AlAriPr8 (AriPr8 = C6H-2,6-(C6H2-2,4,6Pri3)2-3,5-Pri2): An Organoaluminum(I) Compound with a One-Coordinate Aluminum Atom. J. Am. Chem. Soc. 2020, 142, 20554–20559. [Google Scholar] [CrossRef]
- Rit, A.; Campos, J.; Niu, H.; Aldridge, S. A stable heavier group 14 analogue of vinylidene. Nat. Chem. 2016, 8, 1022–1026. [Google Scholar] [CrossRef] [PubMed]
- Liu, L.; Ruiz, D.A.; Munz, D.; Bertrand, G. A Singlet Phosphinidene Stable at Room Temperature. Chem 2016, 1, 147–153. [Google Scholar] [CrossRef]
- Wu, M.; Li, H.; Chen, W.; Wang, D.; He, Y.; Xu, L.; Ye, S.; Tan, G. A triplet stibinidene. Chem 2023, 9, 1–12. [Google Scholar] [CrossRef]
- Pang, Y.; Nöthling, N.; Leutzsch, M.; Kang, L.; Bill, E.; van Gastel, M.; Reijerse, E.; Goddard, R.; Wagner, L.; SantaLucia, D.; et al. Synthesis and isolation of a triplet bismuthinidene with a quenched magnetic response. Science 2023, 380, 1043–1048. [Google Scholar] [CrossRef] [PubMed]
- Pratley, C.; Fenner, S.; Murphy, J.A. Nitrogen-Centered Radicals in Functionalization of sp2 Systems: Generation, Reactivity, and Applications in Synthesis. Chem. Rev. 2022, 122, 8181–8260. [Google Scholar] [CrossRef]
- Romanazzi, G.; Petrelli, V.; Fiore, A.M.; Mastrorilli, P.; Dell’Anna, M.M. Metal-based Heterogeneous Catalysts for One-Pot Synthesis of Secondary Anilines from Nitroarenes and Aldehydes. Molecules 2021, 26, 1120. [Google Scholar] [CrossRef]
- Saha, B.; De, S.; Dutta, S. Recent Advancements of Replacing Existing Aniline Production Process with Environmentally Friendly One-Pot Process: An Overview. Crit. Rev. Environ. Sci. Techn. 2013, 43, 84–120. [Google Scholar] [CrossRef]
- Kienle, M.; Dubbaka, S.R.; Brade, K.; Knochel, P. Modern Amination Reactions. Eur. J. Org. Chem. 2007, 2007, 4166–4176. [Google Scholar] [CrossRef]
- Cenini, S.; Gallo, E.; Caselli, A.; Ragaini, F.; Fantauzzi, S.; Piangiolino, C. Coordination chemistry of organic azides and amination reactions catalyzed by transition metal complexes. Coord. Chem. Rev. 2006, 250, 1234–1253. [Google Scholar] [CrossRef]
- Intrieri, D.; Zardi, P.; Caselli, A.; Gallo, E. Organic azides: “Energetic reagents” for the intermolecular amination of C–H bonds. Chem. Commun. 2014, 50, 11440–11453. [Google Scholar] [CrossRef]
- Corpet, M.; Gosmini, C. Recent Advances in Electrophilic Amination Reactions Electrophilic Amination Reactions. Synthesis 2014, 46, 2258–2271. [Google Scholar] [CrossRef]
- Starkov, P.; Jamison, T.F.; Marek, I. Electrophilic Amination: The Case of Nitrenoids. Chem. Eur. J. 2015, 21, 5278–5300. [Google Scholar] [CrossRef]
- Zhou, Z.; Kürti, L. Electrophilic Amination: An Update. Synlett 2019, 30, 1525–1535. [Google Scholar] [CrossRef]
- O’Neil, L.G.; Bower, J.F. Electrophilic Aminating Agents in Total Synthesis. Angew. Chem. Int. Ed. 2021, 60, 25640–25666. [Google Scholar] [CrossRef] [PubMed]
- Meiries, S.; Le Duc, G.; Chartoire, A.; Collado, A.; Speck, K.; Arachchige, K.S.A.; Slawin, A.M.Z.; Nolan, S.P. Large yet Flexible N-Heterocyclic Carbene Ligands for Palladium Catalysis. Chem. Eur. J. 2013, 19, 17358–17368. [Google Scholar] [CrossRef] [PubMed]
- Savka, R.; Plenio, H. Metal Complexes of Very Bulky N,N’-Diarylimidazolylidene N-Heterocyclic Carbene (NHC) Ligands with 2,4,6-Cycloalkyl Substituents. Eur. J. Inorg. Chem. 2014, 2014, 6246–6253. [Google Scholar] [CrossRef]
- Steele, B.R.; Georgakopoulos, S.; Micha-Screttas, M.; Screttas, C.G. Synthesis of New Sterically Hindered Anilines. Eur. J. Org. Chem. 2007, 2007, 3091–3094. [Google Scholar] [CrossRef]
- Oleinik, I.I.; Oleinik, I.V.; Abdrakhmanov, I.B.; Ivanchev, S.S.; Tolstikov, G.A. Design of arylimine postmetallocene catalytic systems for olefin polymerization: I. Synthesis of substituted 2-cycloalkyl- and 2,6-dicycloalkylanilines. Russ. J. Gen. Chem. 2004, 74, 1423–1427. [Google Scholar] [CrossRef]
- Atwater, B.; Chandrasoma, N.; Mitchell, D.; Rodriguez, M.J.; Pompeo, M.; Froeze, R.D.J.; Organ, M.G. The Selective Cross-Coupling of Secondary Alkyl Zinc Reagents to Five-Membered-Ring Heterocycles Using Pd-PEPPSI-IHeptCI. Angew. Chem. Int. Ed. 2015, 54, 9502–9506. [Google Scholar] [CrossRef]
- Bartlett, R.A.; Dias, H.V.R.; Power, P.P. Isolation and X-ray crystal structures of the organolithium etherate complexes, [Li(Et2O)2(CPh3)] and [{Li(Et2O)(2,4,6-(CHMe2)3C6H2)}2]. J. Organomet. Chem. 1988, 341, 1–9. [Google Scholar] [CrossRef]
- Ruhlandt-Senge, K.; Ellison, J.J.; Wehmschulte, R.J.; Pauer, F.; Power, P.P. Isolation and Structural Characterization of Unsolvated Lithium Aryls. J. Am. Chem. Soc. 1993, 115, 11353–11357. [Google Scholar] [CrossRef]
- Reich, H.J. Role of Organolithium Aggregates and Mixed Aggregates in Organolithium Mechanisms. Chem. Rev. 2013, 113, 7130–7178. [Google Scholar] [CrossRef] [PubMed]
- Bailey, W.F.; Patricia, J.J. The Mechanism Of The Lithium–Halogen Interchange Reaction: A Review Of The Literature. J. Organomet. Chem. 1988, 352, 1–46. [Google Scholar] [CrossRef]
- Applequist, D.E.; O’Brien, D.F. Equilibria in Halogen-Lithium Interconversions. J. Am. Chem. Soc. 1962, 85, 743–748. [Google Scholar] [CrossRef]
- Jedlicka, B.; Crabtree, R.H.; Siegbahn, P.E.M. Origin of Solvent Acceleration in Organolithium Metal-Halogen Exchange Reactions. Organometallics 1997, 16, 6021–6023. [Google Scholar] [CrossRef]
- Tai, O.; Hopson, R.; Williard, P.G. Aggregation and Solvation of n-Butyllithium. Org. Lett. 2017, 19, 3966–3969. [Google Scholar] [CrossRef]
- Bailey, W.F.; Luderer, M.R.; Jordan, K.P. Effect of Solvent on the Lithium-Bromine Exchange of Aryl Bromides: Reactions of n-Butyllithium and tert-Butyllithium with 1-Bromo-4-tert-butylbenzene at 0 °C. J. Org. Chem. 2006, 71, 2825–2828. [Google Scholar] [CrossRef]
- Gorecka-Kobylinska, J.; Schlosser, M. Relative Basicities of ortho-, meta-, and para-Substituted Aryllithiums. J. Org. Chem. 2009, 74, 222–229. [Google Scholar] [CrossRef]
- Shi, L.; Chu, Y.; Knochel, P.; Mayr, H. Kinetics of Bromine-Magnesium Exchange Reactions in Substituted Bromobenzenes. J. Org. Chem. 2009, 74, 2760–2764. [Google Scholar] [CrossRef]
- Merrill, R.E.; Negishi, E.-I. Tetrahydrofuran-Promoted Aryl-Alkyl Coupling Involving Organolithium Reagents. J. Org. Chem. 1974, 39, 3452–3453. [Google Scholar] [CrossRef]
- Maercker, A. Ether Cleavage with Organo-Alkali-Metal Compounds and Alkali Metals. Angew. Chem. Int. Ed. Engl. 1987, 26, 972–989. [Google Scholar] [CrossRef]
- McGarrity, J.F.; Ogle, C.A.; Brich, Z.; Loosli, H.-R. A Rapid-Injection NMR Study of the Reactivity of Butyllithium Aggregates in Tetrahydrofuran. J. Am. Chem. Soc. 1985, 107, 1810–1815. [Google Scholar] [CrossRef]
- Bräse, S.; Gil, C.; Knepper, K.; Zimmermann, V. Organic Azides: An Exploding Diversity of a Unique Class of Compounds. Angew. Chem. Int. Ed. 2005, 44, 5188–5240. [Google Scholar] [CrossRef] [PubMed]
- Chiba, S. Application of Organic Azides for the Synthesis of Nitrogen-Containing Molecules. Synlett 2012, 1, 21–44. [Google Scholar] [CrossRef]
- Xie, S.; Sundhoro, M.; Houk, K.N.; Yan, M. Electrophilic Azides for Materials Synthesis and Chemical Biology. Acc. Chem. Res. 2020, 53, 937–948. [Google Scholar] [CrossRef] [PubMed]
- Zhu, L.; Kinjo, R. Reactions of main group compounds with azides forming organic nitrogen-containing species. Chem. Soc. Rev. 2023, 52, 5563–5606. [Google Scholar] [CrossRef] [PubMed]
- Kimball, D.B.; Haley, M.M. Triazenes: A Versatile Tool in Organic Synthesis. Angew. Chem. Int. Ed. 2002, 41, 3338–3351. [Google Scholar] [CrossRef]
- Hauber, S.-O.; Lissner, F.; Deacon, G.B.; Niemeyer, M. Stabilization of Aryl—Calcium, —Strontium, and—Barium Compounds by Designed Steric and π-Bonding Encapsulation. Angew. Chem. Int. Ed. 2005, 44, 5871–5875. [Google Scholar] [CrossRef]
- McKay, A.I.; Cole, M.L. Structural diversity in a homologous series of donor free alkali metal complexes bearing a sterically demanding triazenide. Dalton Trans. 2019, 48, 2948–2952. [Google Scholar] [CrossRef]
- Wiberg, N.; Nerudu, B. Darstellung, Eigenschaften und Struktur einiger Silylazide. Chem. Ber. 1966, 99, 740–749. [Google Scholar] [CrossRef]
- Wiberg, N.; Joo, W.-C. Zur Umsetzung von Silylaziden mit Grignard-Verbindungen. J. Organomet. Chem. 1970, 22, 333–340. [Google Scholar] [CrossRef]
- Wiberg, N.; Joo, W.-C.; Olbert, P. Zum Mechanismus der Umsetzung von Silylaziden mit Grignard-Verbindungen (Zur Frage der Reaktivität von Grignard-Verbindungen). J. Organomet. Chem. 1970, 22, 341–348. [Google Scholar] [CrossRef]
- Wiberg, N.; Joo, W.-C. Zum Mechanismus der Thermolyse von Silylazid-Grignard-Addukten (Zur Frage der Reaktivität Der N-Diazoniumgruppe). J. Organomet. Chem. 1970, 22, 349–356. [Google Scholar] [CrossRef]
- Wiberg, N.; Pracht, H.J. Darstellung und Eigenschaften einiger Silyltriazene. Chem. Ber. 1972, 105, 1377–1387. [Google Scholar] [CrossRef]
- Wiberg, N.; Pracht, H.J. Zur 1.3-Wandertendenz von Silylgruppen in Silyltriazenen. Chem. Ber. 1972, 105, 1388–1391. [Google Scholar] [CrossRef]
- Wiberg, N.; Pracht, H.J. Zur cis-trans-Isomerie von Silyltriazenen. Chem. Ber. 1972, 105, 1392–1398. [Google Scholar] [CrossRef]
- Wiberg, N.; Pracht, H.J. Zur gehinderten Rotation in Silyltriazenen. Chem. Ber. 1972, 105, 1399–1402. [Google Scholar] [CrossRef]
- Nishiyama, K.; Tanaka, N. Synthesis and reactions of trimethylsilylmethyl azide. J. Chem. Soc. Chem. Commun. 1983, 1322–1323. [Google Scholar] [CrossRef]
- Sieburth, S.M.; Somers, J.J.; O’Hare, H.K. α-Alkyl-a-aminosilanes. 1. Metalation and alkylation between silicon and nitrogen. Tetrahedron 1996, 52, 5669–5682. [Google Scholar] [CrossRef]
- Kulyabin, P.S.; Izmer, V.V.; Goryunov, G.P.; Sharikov, M.I.; Kononovich, D.S.; Uborsky, D.V.; Canich, J.-A.M.; Voskoboynikov, A.Z. Multisubstituted C2-symmetric ansa-metallocenes bearing nitrogen heterocycles: Influence of substituents on catalytic properties in propylene polymerization at higher temperatures. Dalton Trans. 2021, 50, 6170–6180. [Google Scholar] [CrossRef]
- Trost, B.M.; Pearson, W.H. Azidomethyl Phenyl Sulfide. A Synthon for NH2+. J. Am. Chem. Soc. 1981, 103, 2483–2485. [Google Scholar] [CrossRef]
- Trost, B.M.; Pearson, W.H. Sulfur activation of azides toward addition of organometallics. Amination of aliphatic carbanions. J. Am. Chem. Soc. 1983, 105, 1054–1056. [Google Scholar] [CrossRef]
- Trost, B.M.; Pearson, W.H. A synthesis of the naphthalene core of streptovaricin D via A synthon of NH2+. Tetrahedron Lett. 1983, 24, 269–272. [Google Scholar] [CrossRef]
- Krasovskiy, A.; Straub, B.F.; Knochel, P. Highly efficient Reagents for Br/Mg exchange. Angew. Chem. Int. Ed. 2005, 45, 159–162. [Google Scholar] [CrossRef] [PubMed]
- Mori, S.; Aoyama, T.; Shioiri, T. New Methods and Reagents in Organic Synthesis. 60. A New Synthesis of Aromatic and Heteroaromatic Amines Using Diphenyl Phosphorazidate (DPPA). Chem. Pharm. Bull. 1986, 34, 1524–1530. [Google Scholar] [CrossRef]
- Hassner, A.; Munger, P.; Belinka, B.A., Jr. A novel amination of aromatic and heteroaromatic compounds. Tetrahedron Lett. 1982, 23, 699–702. [Google Scholar] [CrossRef]
- Kabalka, G.W.; Li, G. Synthesis of aromatic amines using allyl azide. Tetrahedron Lett. 1997, 38, 5777–5778. [Google Scholar] [CrossRef]
- Twamley, B.; Hwang, C.-S.; Hardman, N.J.; Power, P.P. Sterically encumbered terphenyl substituted primary pnictanes ArEH2 and their metallated derivatives ArE(H)Li (Ar = -C6H3-2,6-Trip2; Trip = 2,4,6-triisopropylphenyl; E = N, P, As, Sb). J. Organomet. Chem. 2000, 609, 152–160. [Google Scholar] [CrossRef]
- Wright, R.J.; Steiner, J.; Beaini, S.; Power, P.P. Synthesis of the sterically encumbering terphenyl silyl and alkyl amines HN(R)ArMes2 (R = Me and SiMe3), their lithium derivatives LiN(R)ArMes2, and the tertiary amine Me2NArMes2. Inorg. Chim. Acta 2006, 359, 1939–1946. [Google Scholar] [CrossRef]
- Gavenonis, J.; Schüwer, N.; Tilley, T.D.; Boynton, J.N.; Power, P.P. 2,6-Dimesitylaniline (H2NC6H3-2,6-Mes2) and 2,6-bis(2,4,6-triisopropylphenyl)aniline (H2NC6H3-2,6-Trip2). In Inorganic Syntheses; Power, P.P., Ed.; John Wiley & Sons: Hoboken, NJ, USA, 2018; Volume 37, pp. 98–105. [Google Scholar]
- Grubert, L.; Jacobi, D.; Buck, K.; Abraham, W.; Mügge, C.; Krause, E. Pseudorotaxanes and Rotaxanes Incorporating Cycloheptatrienyl Stations—Synthesis and Co-Conformation. Eur. J. Org. Chem. 2001, 2001, 3921–3932. [Google Scholar] [CrossRef]
- Liu, J.-Y.; Zheng, Y.; Li, Y.-G.; Pan, L.; Li, Y.-S.; Hu, N.-H. Fe(II) and Co(II) pyridinebisimine complexes bearing different substituents on ortho- and para-position of imines: Synthesis, characterization and behavior of ethylene polymerization. J. Organomet. Chem. 2005, 690, 1233–1239. [Google Scholar] [CrossRef]
- Sadique, A.R.; Gregory, E.A.; Brennessel, W.W.; Holland, P.L. Mechanistic Insight into N=N Cleavage by a Low-Coordinate Iron(II) Hydride Complex. J. Am. Chem. Soc. 2007, 129, 8112–8121. [Google Scholar] [CrossRef] [PubMed]
- Hering-Junghans, C.; Schulz, A.; Thomas, M.; Villinger, A. Synthesis of mono-, di-, and triaminobismuthanes and observation of C–C coupling of aromatic systems with bismuth(III) chloride. Dalton Trans. 2016, 45, 6053–6059. [Google Scholar] [CrossRef] [PubMed]
- Wang, T.; Hoffmann, M.; Dreuw, A.; Hasagić, E.; Hu, C.; Stein, P.M.; Witzel, S.; Shi, H.; Yang, Y.; Rudolph, M.; et al. A metal-free direct arene C−H amination. Adv. Synth. Cat. 2021, 363, 2783–2795. [Google Scholar] [CrossRef]
- Axenrod, T.; Mangiaracina, P.; Pregosin, P.S. A 13C- and 15N-NMR. Study of Some 1-Aryl-3, 3-dimethyl Triazene Derivatives. Helv. Chim. Act. 1976, 59, 1655–1660. [Google Scholar] [CrossRef]
- Ide, S.; Iwasawa, K.; Yoshino, A.; Yoshida, T.; Takahashi, K. NMR study of the lithium salts of aniline derivatives. Magn. Reson. Chem. 1987, 25, 675–679. [Google Scholar] [CrossRef]
- Merz, K.; Bieda, R. In situ Crystallization of N(SiMe3)3 and As(SiMe3)3: Trigonal planar or pyramidal coordination of the central atoms? Z. Kristallogr. 2014, 229, 635–638. [Google Scholar] [CrossRef]
- Barnett, B.R.; Mokhtarzadeh, C.C.; Figueroa, J.S.; Lummis, P.; Wang, S.; Queen, J.D. m-Terphenyl IODO and Lithium Reagents Featuring 2,6-bis-(2,6-diisopropylphenyl) Substitution Patterns and an m-Terphenyl Lithium Etherate Featuring the 2,6-bis-(2,4,6TRIISOPROPYLPHENYL) Substitution Pattern. In Inorganic Syntheses; Power, P.P., Ed.; John Wiley & Sons: Hoboken, NJ, USA, 2018; Volume 37, pp. 89–98. [Google Scholar]
- Moore, D.R.; Cheng, M.; Lobkovsky, E.B.; Coates, G.W. Mechanism of the Alternating Copolymerization of Epoxides and CO2 Using β-Diiminate Zinc Catalysts: Evidence for a Bimetallic Epoxide Enchainment. J. Am. Chem. Soc. 2003, 125, 11911–11924. [Google Scholar] [CrossRef]
- Arrowsmith, M.; Maitland, B.; Kociok-Köhn, G.; Stasch, A.; Jones, C.; Hill, M.S. Mononuclear Three-Coordinate Magnesium Complexes of a Highly Sterically Encumbered β-Diketiminate Ligand. Inorg. Chem. 2014, 53, 10543–10552. [Google Scholar] [CrossRef]
- Ma, M.-T.; Shen, X.C.; Yu, Z.J.; Yao, W.W.; Du, L.T.; Xu, L.S.B. β-Diketiminate Magnesium Complexes: Syntheses, Crystal Structure and Catalytic Hydrosilylation. Chin. J. Inorg. Chem. 2016, 32, 1857–1866. Available online: http://www.ccspublishing.org.cn/article/doi/10.11862/CJIC.2016.232 (accessed on 7 November 2023).
- Gentner, T.X.; Rösch, B.; Ballmann, G.; Langer, J.; Elsen, H.; Harder, S. Low Valent Magnesium Chemistry with a Super Bulky β-Diketiminate Ligand. Angew. Chem. Int. Ed. 2019, 58, 607–611. [Google Scholar] [CrossRef]
- Bakhoda, A.G.; Jiang, Q.; Badiei, Y.M.; Bertke, J.A.; Cundari, T.R.; Warren, T.H. Copper-Catalyzed C(sp3)-H Amidation: Sterically Driven Primary and Secondary C-H Site-Selectivity. Angew. Chem. Int. Ed. 2019, 58, 3421–3425. [Google Scholar] [CrossRef] [PubMed]
- Yuvaraj, K.; Douair, I.; Jones, D.D.L.; Maron, L.; Jones, C. Sterically controlled reductive oligomerisations of CO by activated magnesium(I) compounds: Deltate vs. ethenediolate formation. Chem. Sci. 2020, 11, 3516–3522. [Google Scholar] [CrossRef] [PubMed]
- Rösch, B.; Gentner, T.X.; Eyselein, J.; Friedrich, A.; Langer, J.; Harder, S. Mg–Mg bond polarization induced by a superbulky β-diketiminate ligand. Chem. Commun. 2020, 56, 11402–11405. [Google Scholar] [CrossRef]
- Jones, D.D.L.; Watts, S.; Jones, C. Synthesis and Characterization of Super Bulky β-Diketiminato Group 1 Metal Complexes. Inorganics 2021, 9, 72. [Google Scholar] [CrossRef]
- Mindiola, D.J.; Holland, P.L.; Warren, T.H. Complexes of Bulky β-Diketiminate Ligands. In Inorganic Syntheses; Rauchfuss, T.B., Ed.; John Wiley & Sons: Hoboken, NJ, USA, 2010; Volume 35, pp. 1–55. [Google Scholar]
- Burnett, S.; Bourne, C.; Slawin, A.M.Z.; van Mourik, T.; Stasch, A. Umpolung of an Aliphatic Ketone to a Magnesium Ketone‐1, 2‐diide Complex with Vicinal Dianionic Charge. Angew. Chem. Int. Ed. 2022, 61, e202204472. [Google Scholar] [CrossRef]
- López, S.E.; Restrepo, J.; Salazar, J. Polyphosphoric acid trimethylsilylester: A useful reagent for organic synthesis. J. Chem. Res. 2007, 2007, 497–502. [Google Scholar] [CrossRef]
- Yamamoto, K.; Watanabe, H. Composition of “Polyphosphoric Acid Trimethylsilyl Ester (PPSE)”and Its Use as a Condensation Reagent. Chem. Lett. 1982, 11, 1225–1228. [Google Scholar] [CrossRef]
- Roy, M.M.D.; Omanña, A.A.; Wilson, A.S.S.; Hill, M.S.; Aldridge, S.; Rivard, E. Molecular Main Group Metal Hydrides. Chem. Rev. 2021, 121, 12784–12965. Available online: https://pubs.acs.org/doi/epdf/10.1021/acs.chemrev.1c00278 (accessed on 7 November 2023). [CrossRef]
- Green, S.P.; Jones, C.; Stasch, A. Stable Adducts of a Dimeric Magnesium(I) Compound. Angew. Chem. Int. Ed. 2008, 47, 9079–9083. [Google Scholar] [CrossRef]
- Bonyhady, S.J.; Jones, C.; Nembenna, S.; Stasch, A.; Edwards, A.J.; McIntyre, G.J. β-Diketiminate-Stabilized Magnesium(I) Dimers and Magnesium(II) Hydride Complexes: Synthesis, Characterization, Adduct Formation, and Reactivity Studies. Chem. Eur. J. 2010, 16, 938–955. [Google Scholar] [CrossRef] [PubMed]
- Treitler, D.S.; Leung, S. How Dangerous Is Too Dangerous? A Perspective on Azide Chemistry. J. Org. Chem. 2022, 87, 11293–11295. [Google Scholar] [CrossRef] [PubMed]
- Conrow, R.E.; Dean, W.D. Diazidomethane Explosion. Org. Proc. Res. Dev. 2008, 12, 1285–1286. [Google Scholar] [CrossRef]
- CrysAlisPro v1.171.42.94a Rigaku Oxford Diffraction; Rigaku Corporation: Tokyo, Japan, 2023.
- Sheldrick, G.M. SHELXT—Integrated space-group and crystal structure determination. 2. Acta Crystallogr. Sect. A Found. Adv. 2015, 71, 3–8. [Google Scholar] [CrossRef] [PubMed]
- Burla, M.C.; Caliandro, R.; Camalli, M.; Carrozzini, B.; Cascarano, G.L.; Giacovazzo, C.; Mallamo, M.; Mazzone, A.; Polidori, G.; Spagna, R. SIR2011: A new package for crystal structure determination and refinement. J. Appl. Crystallogr. 2012, 45, 357–361. [Google Scholar] [CrossRef]
- Sheldrick, G.M. Crystal structure refinement with SHELXL. Acta Crystallogr. Sect. C Struct. Chem. 2015, 71, 3–8. [Google Scholar] [CrossRef]
- Dolomanov, O.V.; Bourhis, L.J.; Gildea, R.J.; Howard, J.A.K.; Puschmann, H. OLEX2: A complete structure solution, refinement and analysis program. J. Appl. Crystallogr. 2009, 42, 339–341. [Google Scholar] [CrossRef]
Disclaimer/Publisher’s Note: The statements, opinions and data contained in all publications are solely those of the individual author(s) and contributor(s) and not of MDPI and/or the editor(s). MDPI and/or the editor(s) disclaim responsibility for any injury to people or property resulting from any ideas, methods, instructions or products referred to in the content. |
© 2023 by the authors. Licensee MDPI, Basel, Switzerland. This article is an open access article distributed under the terms and conditions of the Creative Commons Attribution (CC BY) license (https://creativecommons.org/licenses/by/4.0/).











