Sign in to use this feature.

Years

Between: -

Subjects

remove_circle_outline
remove_circle_outline
remove_circle_outline
remove_circle_outline
remove_circle_outline
remove_circle_outline
remove_circle_outline
remove_circle_outline
remove_circle_outline

Journals

Article Types

Countries / Regions

Search Results (243)

Search Parameters:
Keywords = Hox

Order results
Result details
Results per page
Select all
Export citation of selected articles as:
28 pages, 13608 KB  
Article
Single-Cell Transcriptomic Landscape of Cervical Cancer Cell Lines Before and After Chemoradiotherapy
by Dmitriy V. Semenov, Irina S. Tatarnikova, Anna S. Chesnokova, Vadim A. Talyshev, Marina A. Zenkova and Evgeniya B. Logashenko
Cells 2026, 15(2), 115; https://doi.org/10.3390/cells15020115 - 8 Jan 2026
Viewed by 191
Abstract
Cervical cancer remains a significant global health burden, with chemoradioresistance representing a major obstacle to successful treatment. To elucidate the mechanisms underlying this resistance, we established a unique pair of isogenic primary cervical cancer cell lines, AdMer35 and AdMer43, obtained from a patient [...] Read more.
Cervical cancer remains a significant global health burden, with chemoradioresistance representing a major obstacle to successful treatment. To elucidate the mechanisms underlying this resistance, we established a unique pair of isogenic primary cervical cancer cell lines, AdMer35 and AdMer43, obtained from a patient with squamous cell carcinoma of the cervix before and after radiation therapy. The aim of our study was to characterize the transcriptomic and cellular heterogeneity of these cells. We conducted an in-depth comparative analysis using single-cell RNA sequencing. Analysis of this paired, patient-derived isogenic model suggests that chemoradioresistance can arise through coordinated multilevel cellular adaptations. Resistant AdMer43 cells demonstrated transcriptional reprogramming, with the upregulation of embryonic stemness factors (HOX, POU5F1, SOX2), a shift in extracellular matrix from fibrillar to non-fibrillar collagens, and activation of inflammatory pathways. We identified and characterized critical cell-state dynamics: resistant cells exhibited a remodeled ecosystem with a metabolically reprogrammed senescent-like cell population showing an enhanced pro-tumorigenic communication via EREG, SEMA3C, BMP, and WNT pathways. Furthermore, we identified a progenitor-like cell population with a minimal CNV burden, potentially serving as a reservoir for tumor persistence. These findings offer novel insights for developing targeted strategies to eliminate resistant cell pools and improve cervical cancer outcomes. Full article
(This article belongs to the Special Issue Advances in Molecular Genomics and Pathology of Cancers)
Show Figures

Graphical abstract

18 pages, 2507 KB  
Article
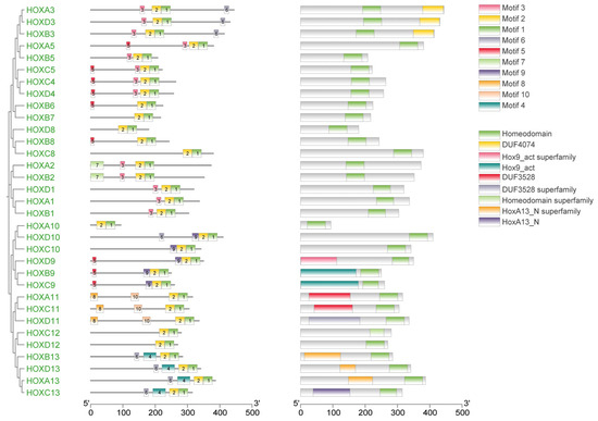
Genome-Wide Characterization of the HOX Gene Family: Evolution and Expression Patterns in Donkey
by Xiaotong Liu, Anqi Liu, Muhammad Zahoor Khan, Qifei Zhu, Yunfan Zheng, Wenting Chen, Bingbing Cai, Zhiyu Yan, Yongdong Peng and Changfa Wang
Int. J. Mol. Sci. 2026, 27(1), 38; https://doi.org/10.3390/ijms27010038 - 19 Dec 2025
Viewed by 310
Abstract
The HOX gene family plays an indispensable role in regulating embryonic development, cell differentiation, and morphogenesis. This study employed bioinformatics approaches for systematic analysis, ultimately identifying 33 HOX gene family members from the donkey genome. Physicochemical property analysis revealed that the number of [...] Read more.
The HOX gene family plays an indispensable role in regulating embryonic development, cell differentiation, and morphogenesis. This study employed bioinformatics approaches for systematic analysis, ultimately identifying 33 HOX gene family members from the donkey genome. Physicochemical property analysis revealed that the number of amino acids encoded ranged from 94 to 444, with 31 members classified as alkaline proteins. Their secondary structure was predominantly composed of random coils and alpha helices, and all members were localized to the nucleus. Conserved motif analysis further demonstrated that all donkey HOX family proteins contained highly conserved motifs 1 and 2. Along with three other species, the 33 donkey HOX genes were clustered into eight phylogenetic subgroups. Furthermore, collinearity analysis indicated a high degree of collinearity between the donkey and horse HOX gene families. Gene Ontology analysis confirmed the significant role of the donkey HOX gene family in regulating embryonic development and skeletal system formation. Tissue expression profile analysis revealed significant differences in the expression levels of the 33 HOX genes across 13 different tissues. This study not only systematically identified and characterized the donkey HOX gene family but also provided valuable insights into the genetic regulation mechanisms of key traits in donkey molecular breeding. Full article
(This article belongs to the Special Issue Advances in Animal Molecular Genetics)
Show Figures

Figure 1

22 pages, 4109 KB  
Article
Single-Cell Transcriptomics of Human Acute Myocardial Infarction Reveals Oxidative Stress-Associated Cardiomyocyte Subpopulations and Candidate Predictive Signatures
by Jiashuo Hu, Ao Wang and Lan Hong
Antioxidants 2025, 14(12), 1435; https://doi.org/10.3390/antiox14121435 - 28 Nov 2025
Viewed by 1110
Abstract
Excessive oxidative stress drives pathological ventricular remodeling after acute myocardial infarction (AMI), yet adaptive cardiomyocyte mechanisms are poorly understood. We analyzed 64,510 human cardiomyocytes from five integrated single-cell datasets to delineate oxidative stress heterogeneity. Using quartile thresholds of a composite oxidative stress score, [...] Read more.
Excessive oxidative stress drives pathological ventricular remodeling after acute myocardial infarction (AMI), yet adaptive cardiomyocyte mechanisms are poorly understood. We analyzed 64,510 human cardiomyocytes from five integrated single-cell datasets to delineate oxidative stress heterogeneity. Using quartile thresholds of a composite oxidative stress score, cells were stratified into three distinct subpopulations: high oxidative stress (HOX, score > 2.608), dynamic transient oxidative stress (DTOX), and low oxidative stress (LOX, score < 2.061). Paradoxically, HOX cells exhibited severe oxidative stress alongside significantly higher cellular plasticity than DTOX and LOX cells (p < 0.001), as confirmed by CytoTRACE and pseudotime trajectory analyses. This subpopulation demonstrated a unique “metabolic activation–immune suppression” signature and served as a central communication hub. An integrative machine-learning framework incorporating six distinct algorithms and independent cohort validation identified five core marker genes (TRIM63, ETFDH, TXNIP, CKMT2, and PDK4). These genes demonstrated stable diagnostic capability for AMI in independent validation cohorts (AUCs 0.688–0.721, all p < 0.001) and were specifically enriched in HOX cells. Our work reveals a previously unrecognized adaptive state in post-infarction cardiomyocytes, offering promising new targets for precision diagnosis and intervention. Full article
(This article belongs to the Section Aberrant Oxidation of Biomolecules)
Show Figures

Figure 1

28 pages, 1592 KB  
Article
Extension of the Shelf Life of Sliced Sponge Cake Through a Combination of Modified Atmosphere and Active Packaging with Hydroxytyrosol and Eugenol
by Djamel Djenane, Mohammed Said Metahri, Mohammed Aider, Agustín Ariño and Nuria López Aznar
Foods 2025, 14(23), 4093; https://doi.org/10.3390/foods14234093 - 28 Nov 2025
Viewed by 601
Abstract
The development of bioactive food packaging is an important issue, given its potential to preserve food quality and safety without the use of synthetic preservatives. This study aimed to develop new polystyrene foam (PS) films with hydroxytyrosol (HOxTYR) and eugenol (EUG), alone or [...] Read more.
The development of bioactive food packaging is an important issue, given its potential to preserve food quality and safety without the use of synthetic preservatives. This study aimed to develop new polystyrene foam (PS) films with hydroxytyrosol (HOxTYR) and eugenol (EUG), alone or in combination, as bioactive molecules to preserve sliced sponge cake during long-term storage. The cake samples were analyzed periodically during storage at 15 °C in terms of quality attributes (pH, water activity, height, volume and weight loss, firmness, CIE Lab color, lipid peroxidation products, microbial spoilage, and overall acceptability) and shelf life. The active film containing the combination of 0.6% HOxTYR and 0.6% EUG showed the strongest antioxidant activity, which was attributed to a potential synergism between the compounds, resulting in lower lipid oxidation rates (TBARS). The combination of HOxTYR and EUG also offered the greatest reduction in bacterial load (62% for S. aureus and 58% for E. coli), suggesting a synergistic effect on microbial inhibition. Likewise, samples packaged in a modified atmosphere (MAP) with the active film containing the combination of HOxTYR and EUG showed the best performance, including a smoother texture and greater volume, more stable color, lower microbial counts, and greater overall acceptability, and, consequently, a longer shelf life of up to 70 days at room temperature. Furthermore, the results of this study could contribute to environmental protection by reducing food waste, and suggest that the developed active packaging technique represents a promising and innovative approach to the preservation of bakery products. Full article
(This article belongs to the Section Food Packaging and Preservation)
Show Figures

Graphical abstract

18 pages, 1918 KB  
Article
HPV as a Molecular Hacker: Computational Exploration of HPV-Driven Changes in Host Regulatory Networks
by Massimiliano Chetta, Alessandra Rosati and Nenad Bukvic
Viruses 2025, 17(9), 1166; https://doi.org/10.3390/v17091166 - 27 Aug 2025
Viewed by 1225
Abstract
Human Papillomavirus (HPV), particularly high-risk strains such as HPV16 and HPV18, is a leading cause of cervical cancer and a significant risk factor for several other epithelial malignancies. While the oncogenic mechanisms of viral proteins E6 and E7 are well characterized, the broader [...] Read more.
Human Papillomavirus (HPV), particularly high-risk strains such as HPV16 and HPV18, is a leading cause of cervical cancer and a significant risk factor for several other epithelial malignancies. While the oncogenic mechanisms of viral proteins E6 and E7 are well characterized, the broader effects of HPV infection on host transcriptional regulation remain less clearly defined. This study explores the hypothesis that conserved genomic motifs within the HPV genome may act as molecular decoys, sequestering human transcription factors (TFs) and thereby disrupting normal gene regulation in host cells. Such interactions could contribute to oncogenesis by altering the transcriptional landscape and promoting malignant transformation.We conducted a computational analysis of the genomes of high-risk HPV types using MEME-ChIP for de novo motif discovery, followed by Tomtom for identifying matching human TFs. Protein–protein interactions among the predicted TFs were examined using STRING, and biological pathway enrichment was performed with Enrichr. The analysis identified conserved viral motifs with the potential to interact with host transcription factors (TFs), notably those from the FOX, HOX, and NFAT families, as well as various zinc finger proteins. Among these, SMARCA1, DUX4, and CDX1 were not previously associated with HPV-driven cell transformation. Pathway enrichment analysis revealed involvement in several key biological processes, including modulation of Wnt signaling pathways, transcriptional misregulation associated with cancer, and chromatin remodeling. These findings highlight the multifaceted strategies by which HPV may influence host cellular functions and contribute to pathogenesis. In this context, the study underscores the power of in silico approaches for elucidating viral–host interactions and reveals promising therapeutic targets in computationally predicted regulatory network changes. Full article
(This article belongs to the Special Issue Human and Animal Papillomavirus: Infections, Genetics, and Vaccines)
Show Figures

Figure 1

14 pages, 3154 KB  
Article
Integrative Analysis of Omics Reveals RdDM Pathway Participation in the Initiation of Rice Microspore Embryogenesis Under Cold Treatment
by Yingbo Li, Runhong Gao, Yingjie Zong, Guimei Guo, Wenqi Zhang, Zhiwei Chen, Jiao Guo and Chenghong Liu
Plants 2025, 14(15), 2267; https://doi.org/10.3390/plants14152267 - 23 Jul 2025
Viewed by 759
Abstract
Abiotic stress can reprogram the gametophytic pathway; the mechanisms by which floral bud pre-treatment influences microspore embryogenesis initiation remain unclear. In this study, we use bisulfite sequencing, sRNA-seq, and RNA-seq to analyze the dynamic changes in rice microspores under different cold treatment durations. [...] Read more.
Abiotic stress can reprogram the gametophytic pathway; the mechanisms by which floral bud pre-treatment influences microspore embryogenesis initiation remain unclear. In this study, we use bisulfite sequencing, sRNA-seq, and RNA-seq to analyze the dynamic changes in rice microspores under different cold treatment durations. Our results showed that a 10-day cold treatment is essential for CXJ microspore embryogenesis initiation. DNA methylation levels showed a slight change at CG, CHG, and CHH sites under cold treatment. The number of both hyper- and hypomethylated DMRs increased over cold treatment, with more hypermethylated DMRs at 5 and 10 dpt. Hypermethylated DMRs were more frequently in the TSS region compared to hypomethylated DMRs. The proportion of 24 nt sRNAs increased upon cold stress, with more downregulated than upregulated sRNAs at 10 dpt. The number of DMR target DEGs increased from 5 to 10 dpt. Promoter hypomethylation at the CHH site was more frequently associated with DEGs. These outcomes suggested that the RdDM pathway participates in the initiation of rice ME. GO analysis indicated that DMR target DEGs at 10 dpt were enriched in responses to chemical stimuli, biological processes, and stress responses. An auxin-related gene, OsHOX28, was further identified. Its upregulation, potentially mediated by the RdDM pathway, may play a crucial role in the initiation of rice ME. This study provides more information on epigenetic mechanisms during rice ME. Full article
(This article belongs to the Special Issue Molecular Mechanisms of Somatic Embryogenesis in Plants)
Show Figures

Figure 1

15 pages, 427 KB  
Review
Therapeutic Implications of Menin Inhibitors in the Treatment of Acute Leukemia: A Critical Review
by Martina Canichella, Cristina Papayannidis, Carla Mazzone and Paolo de Fabritiis
Diseases 2025, 13(7), 227; https://doi.org/10.3390/diseases13070227 - 19 Jul 2025
Cited by 1 | Viewed by 3756
Abstract
Menin inhibitors are a class of targeted agents that exemplify how a deeper understanding of leukemia pathogenesis can unify seemingly distinct genetic acute leukemia subgroups under a common therapeutic strategy. In particular, acute leukemia with NPM1 mutations (NPM1m) and KMT2A rearrangements ( [...] Read more.
Menin inhibitors are a class of targeted agents that exemplify how a deeper understanding of leukemia pathogenesis can unify seemingly distinct genetic acute leukemia subgroups under a common therapeutic strategy. In particular, acute leukemia with NPM1 mutations (NPM1m) and KMT2A rearrangements (KMT2Ar) represent the primary targets of this emerging drug class. Acute myeloid leukemia (AML) with NPM1m—which accounts for approximately 30% of AML cases and AML or acute lymphoblastic leukemia (ALL) with KMT2Ar—and is present in 5–10% of cases, shares a common pathogenetic mechanism: the aberrant activation of the MEIS1–HOXA axis. These leukemic subsets are associated with poor prognosis, particularly in the relapsed/refractory (R/R) setting. For KMT2Ar AML, the prognosis is especially dismal, with a median overall survival (OS) of 2.4 months and a complete remission (CR) rate of only 5%. In NPM1m AML, intensive chemotherapy achieves remission in approximately 80% of cases, but relapse remains a major challenge, occurring in nearly 50% of patients. Relapsed NPM1m AML is linked to a poor prognosis, with a median OS of 6.1 months (12-month OS: 30%) and a median relapse-free survival (RFS) of 5.5 months (12-month RFS: 34%). Menin inhibitors directly target the leukemogenic transcriptional program driven by HOX and MEIS1, disrupting oncogenic signaling and offering a promising therapeutic approach for these high-risk patients. This class of agents has rapidly progressed through clinical development, showing promising antileukemic activity in both treatment-naïve and R/R AML. Currently, six menin inhibitors are in clinical evaluation as monotherapy or in combination regimens: revumenib, ziftomenib, bleximenib (previously JNJ-75276617), enzomenib (previously DSP-5336), DS-1594, and BMF-219. In this review, we critically analyze the clinical development and therapeutic potential of the four most extensively studied menin inhibitors—revumenib, ziftomenib, bleximenib, and enzomenib. We discuss their efficacy, safety profiles, and potential roles within the current treatment algorithm. The continued clinical evaluation of menin inhibitors may redefine treatment paradigms for NPM1m and KMT2Ar AML and other acute leukemia with the aberrant MEIS1-HOXA axis, offering new hope for patients with limited therapeutic options. Full article
(This article belongs to the Special Issue Targeted Therapies for Acute Leukemias)
Show Figures

Figure 1

12 pages, 5644 KB  
Article
A Subset of HOX Genes Negatively Correlates with HOX/PBX Inhibitor Target Gene Expression and Is Associated with Apoptosis, DNA Repair, and Metabolism in Prostate Cancer
by Richard Morgan, Christopher Smith and Hardev Pandha
Genes 2025, 16(7), 824; https://doi.org/10.3390/genes16070824 - 15 Jul 2025
Viewed by 1140
Abstract
Background/Objectives: The HOX genes encode a family of homeodomain-containing transcription factors that have important roles in defining cell and tissue identity in embryonic development, but which also show deregulated expression in many cancers and have been shown to have pro-oncogenic roles. Due to [...] Read more.
Background/Objectives: The HOX genes encode a family of homeodomain-containing transcription factors that have important roles in defining cell and tissue identity in embryonic development, but which also show deregulated expression in many cancers and have been shown to have pro-oncogenic roles. Due to their functionally redundant nature, strategies to target HOX protein function in cancer have focused on their interaction with their PBX cofactor using competitive peptides such as HXR9. HOX/PBX inhibition triggers apoptosis through a sudden increase in target gene expression, including Fos, DUSP1, and ATF3, which are otherwise repressed by HOX/PBX binding. Methods: We analyzed publicly available transcriptomic data in the R2 platform. Results: We show that a specific subgroup of HOX genes is negatively correlated with Fos, DUSP1, and ATF3 expression in prostate cancer, and that this subgroup also shows a strong positive corelation with pathways that support tumour growth, most notably DNA repair and aminoacyl tRNA biosynthesis, and a negative correlation with genes that promote cell adhesion and prevent motility. In addition, this set of HOX genes strongly correlates with patient age, reflecting a previously identified progressive loss of regulation of HOX expression in normal peripheral blood cells. Conclusions: Our findings indicate these HOX genes may have pro-oncogenic functions in prostate cancer. Full article
(This article belongs to the Section Human Genomics and Genetic Diseases)
Show Figures

Figure 1

20 pages, 4923 KB  
Article
Effect of Oxygen and Zirconium on Oxidation and Mechanical Behavior of Fully γ Ti52AlxZr Alloys
by Michal Kuris, Maria Tsoutsouva, Marc Thomas, Thomas Vaubois, Pierre Sallot, Frederic Habiyaremye and Jean-Philippe Monchoux
Metals 2025, 15(7), 745; https://doi.org/10.3390/met15070745 - 2 Jul 2025
Viewed by 823
Abstract
This work provides a comprehensive investigation into the synergistic effects of zirconium and oxygen on the microstructural evolution, high-temperature oxidation resistance, and mechanical properties of γ-phase Ti52AlxZr alloys (x = 0, 0.5, 1, and 2 at.%) under systematically controlled oxygen concentrations. Unlike prior [...] Read more.
This work provides a comprehensive investigation into the synergistic effects of zirconium and oxygen on the microstructural evolution, high-temperature oxidation resistance, and mechanical properties of γ-phase Ti52AlxZr alloys (x = 0, 0.5, 1, and 2 at.%) under systematically controlled oxygen concentrations. Unlike prior studies that have examined these alloying elements in isolation, this study uniquely decouples the contributions of interstitial (oxygen) and substitutional (zirconium) solutes by employing low (LOx) and high (HOx) oxygen levels. Alloys were synthesized via vacuum arc melting and subsequently subjected to homogenization annealing at 1250 °C for 100 h to ensure phase and microstructural stability. Characterization techniques including scanning electron microscopy (SEM), X-ray diffraction (XRD), and electron backscatter diffraction (EBSD) were employed to elucidate phase constitution and grain morphology. Zirconium addition was found to stabilize the γ-TiAl matrix, suppress α2-phase formation, and promote grain coarsening in LOx specimens. Conversely, elevated oxygen concentrations led to α2-phase precipitation along grain boundaries. Mechanical testing, comprising Vickers hardness and uniaxial compression at ambient and elevated temperatures (800 °C), revealed that both zirconium and oxygen significantly enhanced strength and hardness, with Ti52Al2Zr delivering optimal mechanical performance. Moreover, zirconium substantially improved oxidation resistance by promoting the formation of a thinner, adherent Al2O3 scale while simultaneously inhibiting TiO2 growth. Collectively, the findings demonstrate the critical role of zirconium in engineering advanced γ-TiAl-based intermetallics with superior high-temperature structural integrity and oxidation resistance. Full article
(This article belongs to the Section Crystallography and Applications of Metallic Materials)
Show Figures

Figure 1

12 pages, 4646 KB  
Article
Dielectric Properties and Defect Chemistry of Tb/Ho-Co-Doped BaTiO3 Ceramics
by Junwei Liu, Xin Wei, Qiaoli Liu, Yupei Ran, Guoqi Xu and Qi Liu
Materials 2025, 18(12), 2914; https://doi.org/10.3390/ma18122914 - 19 Jun 2025
Viewed by 960
Abstract
Co-doping at Ba and Ti sites with double rare-earth elements has proven an effective strategy for enhancing the dielectric properties of BaTiO3 ceramics. Among intermediate-sized rare-earth ions, Tb and Ho exhibit amphoteric behavior, occupying both Ba and Ti sites. Investigating the site [...] Read more.
Co-doping at Ba and Ti sites with double rare-earth elements has proven an effective strategy for enhancing the dielectric properties of BaTiO3 ceramics. Among intermediate-sized rare-earth ions, Tb and Ho exhibit amphoteric behavior, occupying both Ba and Ti sites. Investigating the site occupation, defect chemistry, and dielectric effects of Tb and Ho in BaTiO3 is therefore valuable. In this work, Tb/Ho-co-doped BaTiO3 ceramics with the composition (Ba1−xTbx)(Ti1−xHox)O3 (x = 0.01~0.10) were fabricated at 1400 °C via solid-state reaction, and their solid solubility and crystal structures are confirmed. Microstructure, dielectric properties, photoluminescence, and valence states of samples with a single phase were systematically studied. Both the lattice parameter a and unit cell volume increase with doping level. The ceramic with x = 0.02 meets the X5S dielectric specification. Ho and Tb ions both demonstrate amphoteric site occupancy: Ho exists solely as Ho3+ at both Ba and Ti sites, while Tb exhibits mixed valence states as Ba-site Tb3+ and Ti-site Tb4+. As the doping content increases, the concentration of Tb4+ at Ti sites decreases, and the quantity of Ba-site Ho3+ ions initially increases to a maximum before decreasing. Defect compensation mechanisms within the samples are also discussed. Full article
(This article belongs to the Section Advanced and Functional Ceramics and Glasses)
Show Figures

Figure 1

15 pages, 12467 KB  
Article
Deciphering the Transcriptomic Complexity of Yak Skin Across Different Ages and Body Sites
by Xiaolan Zhang, Bingang Shi, Zhidong Zhao, Yunqi Deng, Xuelan Zhou and Jiang Hu
Int. J. Mol. Sci. 2025, 26(10), 4601; https://doi.org/10.3390/ijms26104601 - 11 May 2025
Viewed by 1053
Abstract
Differences in skin and hair phenotypes between the scapular and ventral regions of yaks (Bos grunniens) are obvious and become more prominent with age. However, the genetic mechanism that causes differences in yak skin at different ages has not been reported. In this [...] Read more.
Differences in skin and hair phenotypes between the scapular and ventral regions of yaks (Bos grunniens) are obvious and become more prominent with age. However, the genetic mechanism that causes differences in yak skin at different ages has not been reported. In this study, we investigated the transcriptomic profile of yak skin across different ages (0.5 years, 2.5 years, and 4.5 years) and body sites (scapular and ventral regions). Differential gene expression analysis was initially conducted to explore the transcriptomic differences in skin at different ages and different body sites. Subsequently, weighted gene co-expression network analysis (WGCNA) was employed to analyze the transcriptomic data comprehensively. The results showed that, among all comparison groups, the Y2.5_S vs. Y2.5_V group (regional comparison) exhibited the highest number of DEGs, with 491 genes (179 upregulated and 312 downregulated), followed by the Y2.5_V vs. Y0.5_V group (age comparison), which had 370 DEGs (103 upregulated and 267 downregulated). DEGs such as IGF2BP3, ADCY8, FOSL1, and S100A8 were found in all comparison groups of different ages, and multiple members of the HOX gene family including HOXC10, HOXA9, HOXA6, HOXB9, and HOXB6 were differentially expressed in comparison groups at different sites. Functional enrichment analysis showed that there were more obvious differences in immune function between different ages of skin and more obvious differences in endocrine function between different parts of skin. WGCNA revealed that genes related with immunity such as GLYATL2, ACSL5, and SPDEF were the core genes of the co-expression module associated with the scapula region, and multiple genes related to hair follicle development such as FOXN1, OVOL1, DLX3, HOXC13, and TCHH were found to be the hub genes of the co-expression module associated with the ventral region. Overall, our study provides valuable insights into the transcriptomic complexity of yak skin across different ages and body sites. The differential gene expression patterns and co-expression network modules identified in this study lay the foundation for further research on skin biology and adaptation mechanisms in yaks. Full article
(This article belongs to the Section Molecular Genetics and Genomics)
Show Figures

Figure 1

31 pages, 5940 KB  
Article
Genomic and Multi-Omics Analysis of Phlebopus portentosus: Effects of Cultivation on Secondary Metabolites
by Zujiang Kang, Xiaolong Yuan, Chuanguang Zhang, Yi Wang, Lu Li and Yuan Zheng
J. Fungi 2025, 11(4), 323; https://doi.org/10.3390/jof11040323 - 18 Apr 2025
Cited by 2 | Viewed by 1227
Abstract
Phlebopus portentosus is an edible and medicinal ectomycorrhizal mushroom with delicious and high nutritional value. However, the mechanism of secondary metabolite biosynthesis in P. portentosus is still unclear. In this study, the genomics, metabolomics, and transcriptomics were integrated to reveal the biosynthesis mechanism [...] Read more.
Phlebopus portentosus is an edible and medicinal ectomycorrhizal mushroom with delicious and high nutritional value. However, the mechanism of secondary metabolite biosynthesis in P. portentosus is still unclear. In this study, the genomics, metabolomics, and transcriptomics were integrated to reveal the biosynthesis mechanism of secondary metabolites in P. portentosus under different cultivation conditions. The 31.4 Mb genome of P. portentosus YAF023 with 15 scaffolds was assembled by Illumina and Nanopore sequencing and annotated, and 206 cytochrome P450s, 201 carbohydrate-active enzymes, 186 transcription factors, 18 terpene synthases (TPSs), and 5 polyketide synthases (PKSs) were identified. Multi-omics analysis showed that PpPKS1 is probably involved in the biosynthesis of Ethyl orsellinate; PpPKS2 and PpPKS5 are probably involved in the synthesis of 6-Methylsalicylic acid and Cytochalasin Z5, respectively; PpTRI5 was involved in the tetracyclic sesquiterpene β-type trichodiene compounds; and PpSTCs was involved in the synthesis of β-copaene analogs or derivatives. Co-expression network analysis and binding site prediction of the promoter regions suggested that PpHOX4 and PpHSF1 regulated the gene expression of PpPKS1, and Ppzf-C2H2 32 and PpHSF5 regulated the gene expression of PpSTCs 8, and PpSTCs 3, respectively. This study will provide an important foundation for further development and utilization of secondary metabolites of P. portentosus. Full article
Show Figures

Figure 1

29 pages, 3410 KB  
Review
HOXA10 and HOXA11 in Human Endometrial Benign Disorders: Unraveling Molecular Pathways and Their Impact on Reproduction
by Lorin-Manuel Pîrlog, Andrada-Adelaida Pătrășcanu, Mara-Diana Ona, Andreea Cătană and Ioana Cristina Rotar
Biomolecules 2025, 15(4), 563; https://doi.org/10.3390/biom15040563 - 10 Apr 2025
Cited by 11 | Viewed by 4395
Abstract
HOX genes, a family of conserved transcription factors, are critical for reproductive tract development and endometrial functionality. This review highlights the molecular underpinnings of HOXA10/HOXA11 in reproductive health and their dysregulation in benign pathologies associated with infertility, such as endometriosis, adenomyosis, and endometrial [...] Read more.
HOX genes, a family of conserved transcription factors, are critical for reproductive tract development and endometrial functionality. This review highlights the molecular underpinnings of HOXA10/HOXA11 in reproductive health and their dysregulation in benign pathologies associated with infertility, such as endometriosis, adenomyosis, and endometrial polyps. These genes are dynamically regulated by estrogen and progesterone, with peak expression during the secretory phase of the menstrual cycle when implantation takes place. The molecular mechanisms underlying their action include the modulation of extracellular matrix (ECM) remodeling via metalloproteinases, cytokines like leukemia inhibitory factor, and cell adhesion molecules such as β3-integrin, all of which are essential for the differentiation of epithelial and stromal cells, as well as for trophoblast invasion. Aberrant HOX gene expression, driven by DNA hypermethylation or altered histone acetylation, compromises endometrial receptivity and implantation. For instance, reduced HOXA10 expression in endometriosis stems from hypermethylation and chronic inflammation, disrupting immune modulation and cytokine signaling. Similarly, adenomyosis alters HOXA11-regulated ECM remodeling and β3-integrin expression, impairing embryo attachment. Furthermore, regulatory pathways involving vitamin D and retinoic acid offer promising therapeutic avenues pathways, as they enhance HOXA10/HOXA11 expression and endometrial receptivity. This review underscores the critical molecular roles of HOXA10/HOXA11 genes as biomarkers and therapeutic targets to optimize fertility outcomes and address reproductive pathologies. Full article
Show Figures

Figure 1

14 pages, 3920 KB  
Article
Aberrant Expression and Oncogenic Activity of SPP1 in Hodgkin Lymphoma
by Stefan Nagel and Corinna Meyer
Biomedicines 2025, 13(3), 735; https://doi.org/10.3390/biomedicines13030735 - 17 Mar 2025
Viewed by 1265
Abstract
Background: Hodgkin lymphoma (HL) is a B-cell-derived malignancy and one of the most frequent types of lymphoma. The tumour cells typically exhibit multiple genomic alterations together with aberrantly activated signalling pathways, driven by paracrine and/or autocrine modes. SPP1 (alias osteopontin) is a [...] Read more.
Background: Hodgkin lymphoma (HL) is a B-cell-derived malignancy and one of the most frequent types of lymphoma. The tumour cells typically exhibit multiple genomic alterations together with aberrantly activated signalling pathways, driven by paracrine and/or autocrine modes. SPP1 (alias osteopontin) is a cytokine acting as a signalling activator and has been connected with relapse in HL patients. To understand its pathogenic role, here, we investigated the mechanisms and function of deregulated SPP1 in HL. Methods: We screened public patient datasets and cell lines for aberrant SPP1 expression. HL cell lines were stimulated with SPP1 and subjected to siRNA-mediated knockdown. Gene and protein activities were analyzed by RQ-PCR, ELISA, Western blot, and immuno-cytology. Results: SPP1 expression was detected in 8.3% of classic HL patients and in HL cell line SUP-HD1, chosen to serve as an experimental model. The gene encoding SPP1 is located at chromosomal position 4q22 and is genomically amplified in SUP-HD1. Transcription factor binding site analysis revealed TALE and HOX factors as potential regulators. Consistent with this finding, we showed that aberrantly expressed PBX1 and HOXB9 mediate the transcriptional activation of SPP1. RNA-seq data and knockdown experiments indicated that SPP1 signals via integrin ITGB1 in SUP-HD1. Accordingly, SPP1 activated NFkB in addition to MAPK/ERK which in turn mediated the nuclear import of ETS2, activating oncogenic JUNB expression. Conclusions: SPP1 is aberrantly activated in HL cell line SUP-HD1 via genomic copy number gain and by homeodomain transcription factors PBX1 and HOXB9. SPP1-activated NFkB and MAPK merit further investigation as potential therapeutic targets in affected HL patients. Full article
(This article belongs to the Section Cancer Biology and Oncology)
Show Figures

Figure 1

14 pages, 3786 KB  
Article
HOXA1 Contributes to Bronchial Epithelial Cell Cycle Progression by Regulating p21/CDKN1A
by Elizabeth McCluskey, Sathesh Kanna Velli, Rafal Kaminski, Tyler Markward, Hannah Leming, Daohai Yu and Umadevi Sajjan
Int. J. Mol. Sci. 2025, 26(5), 2332; https://doi.org/10.3390/ijms26052332 - 5 Mar 2025
Cited by 1 | Viewed by 1880
Abstract
Airway basal cells proliferate and regenerate airway epithelium after injury. The first step during airway epithelial repair is airway basal cell proliferation to close the wound. Previously, we demonstrated that homeobox (HOX) A1 expression is reduced in airway stem cells isolated from chronic [...] Read more.
Airway basal cells proliferate and regenerate airway epithelium after injury. The first step during airway epithelial repair is airway basal cell proliferation to close the wound. Previously, we demonstrated that homeobox (HOX) A1 expression is reduced in airway stem cells isolated from chronic obstructive pulmonary disease. HOXA1 is a developmental gene and plays a role in hematopoietic stem cell proliferation and differentiation, but its contribution to airway epithelial cell migration and proliferation is not known. In this study, we generated a HOXA1 knockout bronchial epithelial cell line using CRISPR/CAS9 technology followed by clonal expansion to investigate the role of HOXA1 in airway epithelial cell proliferation and migration. Compared to WT, HOXA1 knockout bronchial epithelial cells generated smaller spheroids than WT type cells, indicating a defect in cell proliferation. In the scratch assay, HOXA1 knockout cells showed substantial delay in migrating to the wounded area. By single-cell RNA sequencing and the clustering of cells based on HOXA1 expression, we identified a downregulation of genes involved in cell cycle progression. A cell cycle analysis by flow cytometry indicated partial cell cycle arrest at the G0/G1 phase in HOXA1 knockout cells. This was associated with a reduced expression of Cyclin E1 and an increased expression of the cyclin-dependent kinase inhibitor p21/CDKN1A. These results indicate that HOXA1 may contribute to cell proliferation by regulating cell cycle progression via p21/CDKN1A in airway epithelial cells. Full article
(This article belongs to the Special Issue Tissue Regeneration and Repair in Airway Diseases)
Show Figures

Figure 1

Back to TopTop