Dielectric Properties and Defect Chemistry of Tb/Ho-Co-Doped BaTiO3 Ceramics
Abstract
1. Introduction
2. Materials and Methods
3. Results and Discussion
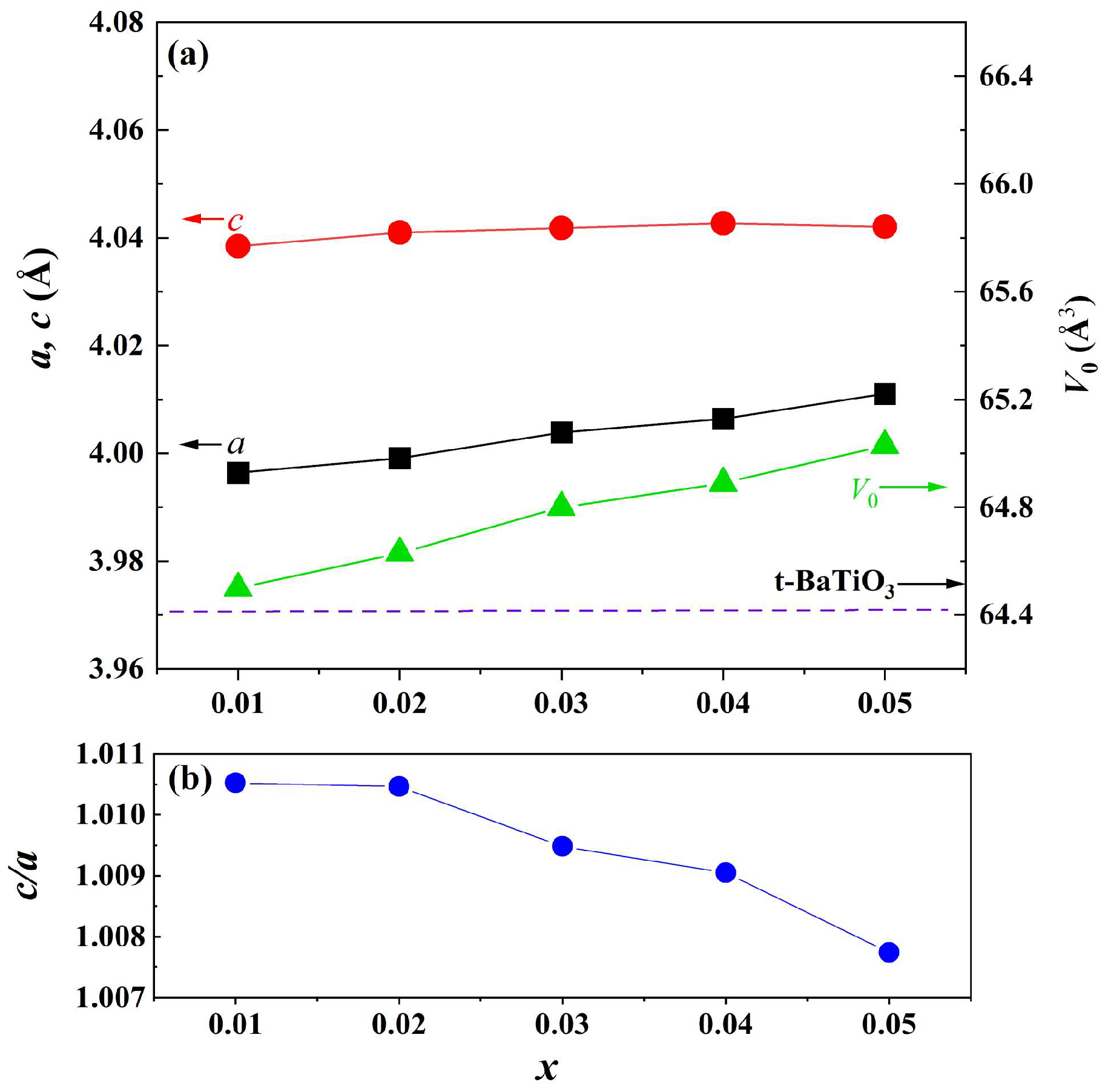
3.1. Crystal Structure and Microstructure Characterization
3.2. Dielectric Properties
3.3. Site Occupation
3.4. Valence States
3.5. Defect Chemistry
4. Conclusions
Author Contributions
Funding
Institutional Review Board Statement
Informed Consent Statement
Data Availability Statement
Acknowledgments
Conflicts of Interest
References
- Acosta, M.; Novak, N.; Rojas, V.; Patel, S.; Vaish, R.; Koruza, J.; Rossetti, G.A., Jr.; Rödel, J. BaTiO3-based piezoelectrics: Fundamentals, current status, and perspectives. Appl. Phys. Rev. 2017, 4, 041305. [Google Scholar] [CrossRef]
- Adediji, Y.B.; Adeyinka, A.M.; Yahya, D.I.; Mbelu, O.V. A review of energy storage applications of lead-free BaTiO3-based dielectric ceramic capacitors. Energy Ecol. Environ. 2023, 8, 401–419. [Google Scholar] [CrossRef]
- Palani, P.; Fasquelle, D.; Tachafine, A. A review on (Sr,Ca)TiO3-based dielectric materials: Crystallography, recent progress and outlook in energy-storage aspects. J. Mater. Sci. 2022, 57, 12279–12317. [Google Scholar] [CrossRef]
- Li, J.-F.; Wang, K.; Zhu, F.-Y.; Cheng, L.-Q.; Yao, F.-Z. (K, Na)NbO3-Based Lead-Free Piezoceramics: Fundamental Aspects, Processing Technologies, and Remaining Challenges. J. Am. Ceram. Soc. 2013, 96, 3677–3696. [Google Scholar] [CrossRef]
- Li, J.-H.; Wang, S.-F.; Chung, T.-F.; Yang, J.-R. Effects of addition of Sc2O3 on microstructure and dielectric properties of BaTiO3-based X8R MLCCs. J. Phys. Chem. Solids 2019, 127, 194–201. [Google Scholar] [CrossRef]
- Xiao, Y.; Yang, Y.; Yang, S.; Li, J.; Liu, D.; Wu, J.; Wang, M.; Li, C.; Li, F. Simultaneous enhancement of dielectric properties and temperature stability in BaTiO3-based ceramics enabling X8R multilayer ceramic capacitor. Int. J. Appl. Ceram. Technol. 2023, 20, 3735–3742. [Google Scholar] [CrossRef]
- Bell, J.G.; Graule, T.; Stuer, M. Barium titanate-based thermistors: Past achievements, state of the art, and future perspectives. Appl. Phys. Rev. 2021, 8, 031318. [Google Scholar] [CrossRef]
- Fang, T.-T. New insights into the positive temperature coefficient of resistance model of BaTiO3-based ceramics. J. Am. Ceram. Soc. 2024, 107, 2048–2051. [Google Scholar] [CrossRef]
- Hu, W.; Chen, Z.; Lu, Z.; Wang, X.; Fu, X. Effect of Bi2O3 and Ho2O3 co-doping on the dielectric properties and temperature reliability of X8R BaTiO3-based ceramics. Ceram. Int. 2021, 47, 24982–24987. [Google Scholar] [CrossRef]
- Lu, D.Y.; Yue, Y.; Sun, X.Y. Novel X7R BaTiO3 ceramics co-doped with La3+ and Ca2+ ions. J. Alloys Compd. 2014, 586, 136–141. [Google Scholar] [CrossRef]
- Lu, D.-Y.; Yin, S.; Cui, S.-Z. A fine-grained and low-loss X8R (Ba1–xDyx) (Ti1–x/2Cax/2)O3 ceramic. J. Alloys Compd. 2018, 762, 282–288. [Google Scholar] [CrossRef]
- Lu, D.-Y.; Gao, X.-L.; Liu, Q.-L. Synergistic effect of terbium and calcium ions on the temperature stability and dielectric loss of BaTiO3-based ceramics. J. Alloys Compd. 2019, 808, 151713. [Google Scholar] [CrossRef]
- Lu, D.-Y.; Toda, M.; Sugano, M. High-Permittivity Double Rare-Earth-Doped Barium Titanate Ceramics with Diffuse Phase Transition. J. Am. Ceram. Soc. 2006, 89, 3112–3123. [Google Scholar] [CrossRef]
- Liu, J.; Liu, L.; Zhang, J.; Jin, L.; Wang, D.; Wei, J.; Ye, Z.-G.; Jia, C.-L. Charge effects in donor-doped perovskite ferroelectrics. J. Am. Ceram. Soc. 2020, 103, 5392–5399. [Google Scholar] [CrossRef]
- Jeong, J.; Lee, E.J.; Han, Y.H. Effects of Ho2O3 addition on defects of BaTiO3. Mater. Chem. Phys. 2006, 100, 434–437. [Google Scholar] [CrossRef]
- Lu, D.-Y.; Cui, S.-Z.; Liu, Q.-L.; Sun, X.-Y. Dielectric properties and defect chemistry of barium titanate ceramics co-doped R and Dy ions (R = Eu, Gd, Tb). Ceram. Int. 2016, 42, 14364–14373. [Google Scholar] [CrossRef]
- Lu, D.-Y.; Wei, X.; Cai, Q. Mixed valence states of Yb3+/Yb2+ in low-loss (Ba1−xNdx)(Ti1−xYbx)O3 dielectric ceramics. J. Alloys Compd. 2021, 884, 161049. [Google Scholar] [CrossRef]
- Hwang, J.H.; Han, Y.H. Defect chemistry of Er-doped BaTiO3. Solid State Ionics 2001, 140, 181–186. [Google Scholar] [CrossRef]
- Park, K.-J.; Kim, C.-H.; Yoon, Y.-J.; Song, S.-M.; Kim, Y.-T.; Hur, K.-H. Doping behaviors of dysprosium, yttrium and holmium in BaTiO3 ceramics. J. Eur. Ceram. Soc. 2009, 29, 1735–1741. [Google Scholar] [CrossRef]
- Lu, D.-Y.; Gao, X.-L.; Wang, S. Abnormal Curie-temperature shift in Ho-doped BaTiO3 ceramics with the self-compensation mode. Results Phys. 2019, 12, 585–591. [Google Scholar] [CrossRef]
- Xue, L.A.; Chen, Y.; Brook, R.J. The influence of ionic radii on the incorporation of trivalent dopants into BaTiO3. Mater. Sci. Eng. B 1988, 1, 193–201. [Google Scholar] [CrossRef]
- Li, Y.-X.; Yao, X.; Wang, X.-S.; Hao, Y.-B. Studies of dielectric properties of rare earth (Dy, Tb, Eu) doped barium titanate sintered in pure nitrogen. Ceram. Int. 2012, 38, S29–S32. [Google Scholar] [CrossRef]
- Tsur, Y.; Dunbar, T.D.; Randall, C.A. Crystal and Defect Chemistry of Rare Earth Cations in BaTiO3. J. Electroceram. 2001, 7, 25–34. [Google Scholar] [CrossRef]
- Lu, D.-Y.; Peng, Y.-Y. Dielectric properties and exploration of self-compensation mode of Tb in BaTiO3 ceramics. J. Ceram. Soc. Jpn. 2016, 124, 455–459. [Google Scholar] [CrossRef]
- Lu, D.-Y. Self-adjustable site occupations between Ba-site Tb3+ and Ti-site Tb4+ ions in terbium-doped barium titanate ceramics. Solid State Ionics 2015, 276, 98–106. [Google Scholar] [CrossRef]
- Denton, A.R.; Ashcroft, N.W. Vegard’s law. Phys. Rev. A 1991, 43, 3161–3164. [Google Scholar] [CrossRef]
- Liu, J.; Liu, Q.; Zhu, P. Dielectric relaxations without colossal permittivity in Mg and Nb co-doped BaTiO3 ceramics. Ceram. Int. 2023, 49 Pt A, 40623–40629. [Google Scholar] [CrossRef]
- Kumar, G.A.; Martinez, A.; Mejia, E.; Eden, J.G. Fluorescence and upconversion spectral studies of Ho3+ in alkali bismuth gallate glasses. J. Alloys Compd. 2004, 365, 117–120. [Google Scholar] [CrossRef]
- Babu, S.; Seshadri, M.; Balakrishna, A.; Reddy Prasad, V.; Ratnakaram, Y.C. Study of multicomponent fluoro-phosphate based glasses: Ho3+ as a luminescence center. Phys. B Condens. Matter 2015, 479, 26–34. [Google Scholar] [CrossRef]
- Battisha, I.K. Visible Up-Conversion Luminescence in Ho3+: BaTiO3 Nano-Crystals Prepared by Sol Gel Technique. J. Sol-Gel Sci. Technol. 2004, 30, 163–172. [Google Scholar] [CrossRef]
- Secu, M.; Cernea, M.; Secu, C.E.; Vasile, B.S. Structural characterization and photoluminescence of nanocrystalline Ho-doped BaTiO3 derived from sol–gel method. J. Nanopart. Res. 2011, 13, 3123–3128. [Google Scholar] [CrossRef]
- Lu, D.-Y.; Guan, D.-X. Photoluminescence associated with the site occupations of Ho3+ ions in BaTiO3. Sci. Rep. 2017, 7, 6125. [Google Scholar] [CrossRef] [PubMed]
- Makovec, D.; Samardžija, Z.; Drofenik, M. Solid Solubility of Holmium, Yttrium, and Dysprosium in BaTiO3. J. Am. Ceram. Soc. 2004, 87, 1324–1329. [Google Scholar] [CrossRef]
- Kolodiazhnyi, T.; Petric, A. Analysis of point defects in polycrystalline BaTiO3 by electron paramagnetic resonance. J. Phys. Chem. Solids 2003, 64, 953–960. [Google Scholar] [CrossRef]
- Dunbar, T.D.; Warren, W.L.; Tuttle, B.A.; Randall, C.A.; Tsur, Y. Electron Paramagnetic Resonance Investigations of Lanthanide-Doped Barium Titanate: Dopant Site Occupancy. J. Phys. Chem. B 2004, 108, 908–917. [Google Scholar] [CrossRef]
- Josse, M.; Dubois, M.; El-Ghozzi, M.; Avignant, D. Synthesis and crystal structures of new mixed-valence terbium (III/IV) fluorides with a random distribution between Tb3+ and Tb4+. J. Alloys Compd. 2004, 374, 213–218. [Google Scholar] [CrossRef]
- Ueda, K.; Shimizu, Y.; Nagamizu, K.; Matsuo, M.; Honma, T. Luminescence and Valence of Tb Ions in Alkaline Earth Stannates and Zirconates Examined by X-ray Absorption Fine Structures. Inorg. Chem. 2017, 56, 12625–12630. [Google Scholar] [CrossRef]
- Herrera-Pérez, G.; Solis-Canto, O.; Silva-Vidaurri, G.; Pérez-García, S.; Borja-Urby, R.; Paraguay-Delgado, F.; Rojas-George, G.; Reyes-Rojas, A.; Fuentes-Cobas, L. Multiplet structure for perovskite-type Ba0.9Ca0.1Ti0.9Zr0.1O3 by core–hole spectroscopies. J. Appl. Phys. 2020, 128, 064106. [Google Scholar] [CrossRef]
- Morrison, F.D.; Sinclair, D.C.; West, A.R. Characterization of lanthanum-doped barium titanate ceramics using impedance spectroscopy. J. Am. Ceram. Soc. 2001, 84, 531–538. [Google Scholar] [CrossRef]
- Wang, C.C.; Zhang, L.W. Surface-layer effect in CaCu3Ti4O12. Appl. Phys. Lett. 2006, 88, 042906. [Google Scholar] [CrossRef]
- Badapanda, T.; Senthil, V.; Rout, S.K.; Panigrahi, S.; Sinha, T.P. Dielectric relaxation on Ba1−xBi2x/3Zr0.25Ti0.75O3 ceramic. Mater. Chem. Phys. 2012, 133, 863–870. [Google Scholar] [CrossRef]
- Raengthon, N.; DeRose, V.J.; Brennecka, G.L.; Cann, D.P. Defect mechanisms in high resistivity BaTiO3–Bi(Zn1/2Ti1/2)O3 ceramics. Appl. Phys. Lett. 2012, 101, 112904. [Google Scholar] [CrossRef]
- Chun, H.-J.; Lee, Y.; Kim, S.; Yoon, Y.; Kim, Y.; Park, S.-C. Surface Termination of BaTiO3(111) Single Crystal: A Combined DFT and XPS Study. Appl. Surf. Sci. 2022, 578, 152018. [Google Scholar] [CrossRef]
- Panchal, G.; Shukla, D.K.; Choudhary, R.J.; Reddy, V.R.; Phase, D.M. The effect of oxygen stoichiometry at the interface of epitaxial BaTiO3/La0.7Sr0.3MnO3 bilayers on its electronic and magnetic properties. J. Appl. Phys. 2017, 122, 085310. [Google Scholar] [CrossRef]
- Clabel H., J.L.; Awan, I.T.; Lozano, G.; Pereira-da-Silva, M.A.; Romano, R.A.; Rivera, V.A.G.; Ferreira, S.O.; Marega, E. Understanding the electronic properties of BaTiO3 and Er3+ doped BaTiO3 films through confocal scanning microscopy and XPS: The role of oxygen vacancies. Phys. Chem. Chem. Phys. 2020, 22, 15022–15034. [Google Scholar] [CrossRef]
- Ramesh, B.; Dillip, G.R.; Raju, B.D.P.; Somasundaram, K.; Peddi, S.P.; de Carvalho dos Anjos, V.; Joo, S.W. Facile one-pot synthesis of hexagons of NaSrB5O9:Tb3+ phosphor for solid-state lighting. Mater. Res. Express 2017, 4, 046201. [Google Scholar] [CrossRef]
- Liang, P. Co-existence phenomenon of Ce3+/Ce4+ and Tb3+ in Ce/Tb co-doped Zn2(BO3)(OH)0.75F0.25 phosphor: Luminescence and energy transfer. Adv. Powder Technol. 2019, 30, 974–982. [Google Scholar] [CrossRef]
- Colomer, M.T.; Rodríguez, E.; Morán-Pedroso, M.; Vattier, F.; de Andrés, A. Impact of Tb4+ and morphology on the thermal evolution of Tb-doped TiO2 nanostructured hollow spheres and nanoparticles. J. Alloys Compd. 2021, 853, 156973. [Google Scholar] [CrossRef]
- Martínez-Arias, A.; Hungría, A.B.; Fernández-García, M.; Iglesias-Juez, A.; Conesa, J.C.; Mather, G.C.; Munuera, G. Cerium–terbium mixed oxides as potential materials for anodes in solid oxide fuel cells. J. Power Sources 2005, 151, 43–51. [Google Scholar] [CrossRef]
- van den Bossche, J.; Neyts, K.A.; de Visschere, P.; Corlatan, D.; Pauwels, H.; Vercaemst, R.; Fiermans, L.; Poelman, D.; van Meirhaeghe, R.L.; Laflére, W.H.; et al. XPS study of TbF3 and TbOF centres in ZnS. Phys. Status Solidi (a) 1994, 146, K67–K70. [Google Scholar] [CrossRef]
- Shilov, S.M.; Gavronskaya, K.A.; Pak, V.N. Distribution of luminescence excitation energy between Eu3+ and Tb3+ ions fixed in a perfluorosulfonic membrane. Russ. J. Gen. Chem. 2008, 78, 171–174. [Google Scholar] [CrossRef]








Disclaimer/Publisher’s Note: The statements, opinions and data contained in all publications are solely those of the individual author(s) and contributor(s) and not of MDPI and/or the editor(s). MDPI and/or the editor(s) disclaim responsibility for any injury to people or property resulting from any ideas, methods, instructions or products referred to in the content. |
© 2025 by the authors. Licensee MDPI, Basel, Switzerland. This article is an open access article distributed under the terms and conditions of the Creative Commons Attribution (CC BY) license (https://creativecommons.org/licenses/by/4.0/).
Share and Cite
Liu, J.; Wei, X.; Liu, Q.; Ran, Y.; Xu, G.; Liu, Q. Dielectric Properties and Defect Chemistry of Tb/Ho-Co-Doped BaTiO3 Ceramics. Materials 2025, 18, 2914. https://doi.org/10.3390/ma18122914
Liu J, Wei X, Liu Q, Ran Y, Xu G, Liu Q. Dielectric Properties and Defect Chemistry of Tb/Ho-Co-Doped BaTiO3 Ceramics. Materials. 2025; 18(12):2914. https://doi.org/10.3390/ma18122914
Chicago/Turabian StyleLiu, Junwei, Xin Wei, Qiaoli Liu, Yupei Ran, Guoqi Xu, and Qi Liu. 2025. "Dielectric Properties and Defect Chemistry of Tb/Ho-Co-Doped BaTiO3 Ceramics" Materials 18, no. 12: 2914. https://doi.org/10.3390/ma18122914
APA StyleLiu, J., Wei, X., Liu, Q., Ran, Y., Xu, G., & Liu, Q. (2025). Dielectric Properties and Defect Chemistry of Tb/Ho-Co-Doped BaTiO3 Ceramics. Materials, 18(12), 2914. https://doi.org/10.3390/ma18122914
