Sign in to use this feature.

Years

Between: -

Subjects

remove_circle_outline
remove_circle_outline
remove_circle_outline
remove_circle_outline
remove_circle_outline
remove_circle_outline

Journals

Article Types

Countries / Regions

Search Results (15)

Search Parameters:
Keywords = Hotan River Basin

Order results
Result details
Results per page
Select all
Export citation of selected articles as:
27 pages, 5967 KB  
Article
Landscape Pattern and Plant Diversity in an Arid Inland River Basin: A Structural Equation Modeling Approach Based on Multi-Source Data
by Hui Shi and Tiange Shi
Biology 2025, 14(8), 1100; https://doi.org/10.3390/biology14081100 - 21 Aug 2025
Viewed by 651
Abstract
Biodiversity in arid river basins is highly climate-sensitive, yet the multi-pathway relations among the environment, landscape structure, connectivity, and plant diversity remain unclear. Framed by a scale–place–space sustainability perspective, we evaluated, in the Hotan River Basin (NW China), how the environmental factors affect [...] Read more.
Biodiversity in arid river basins is highly climate-sensitive, yet the multi-pathway relations among the environment, landscape structure, connectivity, and plant diversity remain unclear. Framed by a scale–place–space sustainability perspective, we evaluated, in the Hotan River Basin (NW China), how the environmental factors affect plant diversity directly and indirectly via the landscape configuration and functional connectivity. We integrated Landsat images (2000, 2012, and 2023), 57 vegetation plots, topographic and meteorological data; computed the landscape indices and Conefor connectivity metrics (PC, IIC); and fitted a partial least squares structural equation model (PLS-SEM). From 2000 to 2023, the bare land declined, converted mainly into shrubland and cropland; the construction land is projected to expand under SSP1-2.6/SSP2-4.5/SSP5-8.5 by 2035 and 2050. The landscape metrics showed a rising PD, DIVISION, and SHDI/SHEI, and a declining AI and CONTAG, indicating finer, more heterogeneous mosaics. Plant diversity peaked on low–moderate slopes and with ~32–36 mm annual precipitation. The PLS-SEM revealed significant direct effects on diversity from environmental factors (positive), landscape structure (negative), and connectivity (positive). The dominant chained mediation (environment → structure → connectivity → diversity) indicated that environmental constraints first reconfigure the spatial structure and then propagate to community responses via connectivity, highlighting connectivity’s role in buffering climatic stress and stabilizing communities. The findings provide a quantitative framework to inform biodiversity conservation and sustainable landscape planning in arid basins. Full article
(This article belongs to the Section Conservation Biology and Biodiversity)
Show Figures

Graphical abstract

15 pages, 7914 KB  
Article
Detrital Zircon U-Pb Geochronology of River Sands from the Yulongkash and Karakash Rivers in the Hotan River Drainage System, Southwestern Tarim Basin: Implications for Sedimentary Provenance and Tectonic Evolution
by Mingkuan Qin, Qiang Guo, Nian Liu, Qiang Xu, Jing Xiao, Shaohua Huang, Long Zhang, Miao Xu, Yayi Jiang and Shaohua Zhang
Minerals 2025, 15(5), 509; https://doi.org/10.3390/min15050509 - 12 May 2025
Viewed by 908
Abstract
The southwestern Tarim Basin, shaped by the far-field effects of the India-Eurasia collision, serves as a critical archive for reconstructing source-to-sink dynamics and tectonic evolution in a Cenozoic intracontinental foreland setting. This study presents detrital zircon U-Pb geochronology and trace element data from [...] Read more.
The southwestern Tarim Basin, shaped by the far-field effects of the India-Eurasia collision, serves as a critical archive for reconstructing source-to-sink dynamics and tectonic evolution in a Cenozoic intracontinental foreland setting. This study presents detrital zircon U-Pb geochronology and trace element data from sands of the Yulongkash and Karakash Rivers, major tributaries of the Hotan River draining the West Kunlun Orogenic Belt. Our results reveal distinct provenance signatures between the two tributaries: Yulongkash river sands (HT1) exhibit dominant Triassic (~208 Ma) and Early Paleozoic (~418 Ma) zircon populations, sourced primarily from the South Kunlun and Tianshuihai terranes, whereas Karakash river sands (MY1) are characterized by Early Paleozoic (~460 Ma) and Precambrian zircons, reflecting predominant contributions from the North Kunlun Terrane. Integration with published datasets highlights systematic spatial variations in detrital zircon age spectra, controlled by bedrock heterogeneity, fluvial geomorphology, and sediment mixing efficiency. Furthermore, crustal thickness reconstructions based on zircon trace elements constrain the terminal closure of the Proto-Tethys Ocean to ~420–440 Ma (peak crustal thickness: ~80 km) and the Paleo-Tethys Ocean to the Late Triassic (~210 Ma). These findings not only refine the provenance framework of the Hotan River drainage system but also provide critical insights into the timing of Tethyan ocean closures and the tectonic evolution of the West Kunlun Orogenic Belt, emphasizing the utility of detrital zircon records in deciphering orogenic histories within complex intracontinental settings. Full article
(This article belongs to the Section Mineral Geochemistry and Geochronology)
Show Figures

Figure 1

19 pages, 6466 KB  
Article
Increases in Temperature and Precipitation in the Different Regions of the Tarim River Basin Between 1961 and 2021 Show Spatial and Temporal Heterogeneity
by Siqi Wang, Ailiyaer Aihaiti, Ali Mamtimin, Hajigul Sayit, Jian Peng, Yongqiang Liu, Yu Wang, Jiacheng Gao, Meiqi Song, Cong Wen, Fan Yang, Chenglong Zhou, Wen Huo and Yisilamu Wulayin
Remote Sens. 2024, 16(23), 4612; https://doi.org/10.3390/rs16234612 - 9 Dec 2024
Cited by 5 | Viewed by 1643
Abstract
The Tarim River Basin (TRB) faces significant ecological challenges due to global warming, making it essential to understand the changes in the climates of its sub-basins for effective management. With this aim, data from national meteorological stations, ERA5_Land, and climate indices from 1961 [...] Read more.
The Tarim River Basin (TRB) faces significant ecological challenges due to global warming, making it essential to understand the changes in the climates of its sub-basins for effective management. With this aim, data from national meteorological stations, ERA5_Land, and climate indices from 1961 to 2021 were used to analyze the temperature and precipitation variations in the TRB and its sub-basins and to assess their climate sensitivity. Our results showed that (1) the annual mean temperature increased by 0.2 °C/10a and precipitation increased by 7.1 mm/10a between 1961 and 2021. Moreover, precipitation trends varied significantly among the sub-basins, with that in the Aksu River Basin increasing the most (12.9 mm/10a) and that in the Cherchen River Basin increasing the least (1.9 mm/10a). Moreover, ERA5_Land data accurately reproduced the spatiotemporal patterns of temperature (correlation 0.92) and precipitation (correlation 0.72) in the TRB. (2) Empirical Orthogonal Function analysis identified the northern sections of the Kaidu, Weigan, and Yerqiang river basins as centers of temperature sensitivity and the western part of the Kaidu and Cherchen River Basin as the center of precipitation sensitivity. (3) Global warming is closely correlated with sub-basin temperature (correlation above 0.5) but weakly correlated with precipitation (correlation 0.2~0.5). TRB temperatures were found to have a positive correlation with AMO, especially in the Hotan, Kashgar, and Aksu river basins, and a negative correlation with AO and NAO, particularly in the Keriya and Hotan river basins. Precipitation correlations between the climate indices were complex and varied across the different basins. Full article
(This article belongs to the Section Atmospheric Remote Sensing)
Show Figures

Figure 1

26 pages, 17697 KB  
Article
Study on Spatial Differentiation Characteristics and Driving Mechanism of Sustainable Utilization of Cultivated Land in Tarim River Basin
by Yang Sheng, Weizhong Liu and Hailiang Xu
Land 2024, 13(12), 2122; https://doi.org/10.3390/land13122122 - 7 Dec 2024
Cited by 3 | Viewed by 1748
Abstract
The sustainable utilization of cultivated land is a crucial prerequisite for ensuring food security and achieving sustainable socioeconomic development. This study employed a dataset to evaluate sustainable land use and utilized a combination of multi-factor comprehensive evaluation models, structural equation modeling, geographically weighted [...] Read more.
The sustainable utilization of cultivated land is a crucial prerequisite for ensuring food security and achieving sustainable socioeconomic development. This study employed a dataset to evaluate sustainable land use and utilized a combination of multi-factor comprehensive evaluation models, structural equation modeling, geographically weighted regression, and Pearson correlation analysis to systematically investigate the overall level, spatial differentiation characteristics, and driving mechanisms of sustainable cultivated land utilization in the Tarim River Basin. Additionally, we compared and tested three spatial interpolation methods using high-resolution data to address the modifiable areal unit problem (MAUP) and enhance the quality of spatial predictions for cultivated land utilization, ultimately identifying inverse distance weighting (IDW) as the optimal method. The results indicate the following: (1) The level of sustainable cultivated land utilization is moderately high, with an average index of 0.581, exhibiting a “U-shaped” trend from the upper to lower reaches of the Tarim River Basin. The highest levels are found in the Kashgar River–Yarkant River Basin, followed by the Hotan River Basin and the Kaidu–Peacock River Basin, while the mainstream area has the lowest levels. (2) The relationships among various cultivated land environmental systems and sustainability demonstrate distinct response characteristics and spatial differentiation patterns. Cultivated land use and management exert the most significant influence on sustainability, followed by soil quality and water resource systems, with climatic factors having the least impact. The effects of each system reveal inverted “U”, inverted “N”, “U”, and “W” patterns from the lower reaches to the upper reaches, respectively. (3) As the complexity of interactions and integrative mechanisms within the regional cultivated land system increases, the sensitivity and vulnerability of the system also rise, resulting in lower levels of sustainable utilization. (4) Based on the current challenges facing the cultivated land environmental system and the primary mechanisms influencing its sustainability, we propose regulatory measures focused on “suitable consolidation”, “suitable resting”, and “suitable planting”. These findings provide valuable insights for formulating differentiated land protection strategies, policies, and spatial planning initiatives. Full article
(This article belongs to the Special Issue Land Resource Assessment)
Show Figures

Figure 1

19 pages, 14781 KB  
Article
Characteristics of Spatial Correlation Network Structure and Carbon Balance Zoning of Land Use Carbon Emission in the Tarim River Basin
by Zhe Gao, Jianming Ye, Xianwei Zhu, Miaomiao Li, Haijiang Wang and Mengmeng Zhu
Land 2024, 13(11), 1952; https://doi.org/10.3390/land13111952 - 19 Nov 2024
Cited by 5 | Viewed by 1473
Abstract
An accurate understanding of the structure of spatial correlation networks of land use carbon emissions (LUCEs) and carbon balance zoning plays a guiding role in promoting regional emission reductions and achieving high-quality coordinated development. In this study, 42 counties in the Tarim River [...] Read more.
An accurate understanding of the structure of spatial correlation networks of land use carbon emissions (LUCEs) and carbon balance zoning plays a guiding role in promoting regional emission reductions and achieving high-quality coordinated development. In this study, 42 counties in the Tarim River Basin from 2002 to 2022 were chosen as samples (Corps cities were excluded due to missing statistics). The LUCE spatial correlation network characteristics and carbon balance zoning were analyzed by using the Ecological Support Coefficient (ESC), Social Network Analysis (SNA), and Spatial Clustering Data Analysis (SCDA), and a targeted optimization strategy was proposed for each zone. The results of the study indicate the following: (1) The LUCEs showed an overall upward trend, but the increase in LUCEs gradually slowed down, presenting a spatial characteristic of “high in the mid-north and low at the edges”. In addition, the ESC showed an overall decreasing trend, with a spatial characteristic opposite to that of the LUCEs. (2) With an increasingly close spatial LUCE correlation network in the Tarim River Basin, the network structure presented better accessibility and stability, but the individual network characteristics differed significantly. Aksu City, Korla City, Bachu County, Shache County, Hotan City, and Kuqa City, which were at the center of the network, displayed a remarkable ability to control and master the network correlation. (3) Based on the carbon balance analysis, the counties were subdivided into six carbon balance functional zones and targeted synergistic emission reduction strategies were proposed for each zone to promote fair and efficient low-carbon transformational development among the regions. Full article
Show Figures

Figure 1

18 pages, 3675 KB  
Article
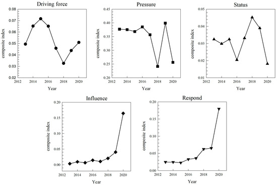
An Evaluation Study on the Spatial and Temporal Evolution of Water Ecological Security in the Hotan River Basin
by Yujiao Xu, Junjie Liu, Wanqing Zhao, Xiaoyu Ding, Mengtian Qin, Yonggang Ma, Jianjun Yang and Zhonglin Xu
Sustainability 2024, 16(22), 9724; https://doi.org/10.3390/su16229724 - 8 Nov 2024
Cited by 2 | Viewed by 1534
Abstract
With the intensification of global climate change, inland river basins in arid desert regions are facing serious challenges in water supply and ecological and environmental protection. A water ecological security assessment is important as a key management tool in the context of inland [...] Read more.
With the intensification of global climate change, inland river basins in arid desert regions are facing serious challenges in water supply and ecological and environmental protection. A water ecological security assessment is important as a key management tool in the context of inland river basins situated in arid desert areas. This study evaluated the water ecological security of the Hotan River Basin based on a combination of the Ecology–Produce–Life Space perspective and the Drive–Pressure–Status–Influence–Respond (DPSIR) model. The entropy value method and the composite index method were employed for this purpose, and a regression analysis was used to establish a prediction model to forecast the future water ecological security status. The results show that from 2013 to 2020, the water ecological security status of the Hotan River Basin exhibited a fluctuating upward trend, shifting from an average to a good status. The pressure layer has the greatest impact on water ecological security, while the ecological space within the Ecology–Produce–Life Space is increasing in the overall share year by year. In the future, the water ecological safety condition of the Hotan River Basin is expected to improve and remain in good condition. Taking the Hotan River Basin as an example, the results of this study, combining the Ecology–Produce–Life Space perspectives and the DPSIR model, provide in-depth theoretical and practical value for the evaluation and prediction of water ecological security in inland river basins in arid desert areas, provide a scientific basis and feasible suggestions for relevant decision-making, and emphasize the importance of ecological spatial protection and restoration for the sustainable development of human society and ecosystems. Full article
Show Figures

Figure 1

20 pages, 3200 KB  
Article
Assessing the Coordination Degree of Coupled Human–Water–Ecosystem in the Tarim River Basin of China
by Mengqiao Li, Jianhua Xu, Ruishan Chen and Abdullah Ahmed Al-Ghamdi
Water 2024, 16(17), 2365; https://doi.org/10.3390/w16172365 - 23 Aug 2024
Cited by 6 | Viewed by 1343
Abstract
To understand the current status of water resource utilization and explore the coordination degree of the coupled human–water–ecosystem in the Tarim River Basin, we used the water shortage rates and index of WUE to analyze the dynamic changes in water shortage and water [...] Read more.
To understand the current status of water resource utilization and explore the coordination degree of the coupled human–water–ecosystem in the Tarim River Basin, we used the water shortage rates and index of WUE to analyze the dynamic changes in water shortage and water use efficiency. We also applied the Gini coefficient to study the evolutionary trend of the degree of matching between water consumption and GDP in each sector. Based on the above analysis, we developed a human–water–ecosystem coupling coordination degree model incorporating various indicators relevant to the three subsystems to quantitatively assess the coupled and coordinated development status of the three subsystems of the human–water–ecosystem in the basin from 2004 to 2020. The main findings are as follows: (1) The Tarim River Basin suffers from water shortage in dry years, with a prominent supply–demand contradiction. In the severe drought years of 2009 and 2014, the water shortage rates reached 10.20% and 10.93%, respectively. (2) From 2004 to 2020, the Tarim River Basin’s water use efficiency (WUE), and its five prefectures showed a clear upward trend. On a multi-year average, Bayingol Mongolian Autonomous Prefecture had the highest WUE, while the Hotan region had the lowest. (3) The multi-year average value of the match between water consumption and GDP for the entire basin is 0.28. By industry, the primary industry’s match between water consumption and GDP is higher, while the secondary and tertiary industries have lower matches. (4) From 2004 to 2020, the coordination degree of coupled human–water–ecosystem in the five prefectures showed different degrees of upward trend, generally developing towards better coordination. In terms of multi-year averages, Bayingol Mongolian Autonomous Prefecture, located in the east, has the highest degree of coupled coordination. Meanwhile, Hotan, in the south, lags significantly behind the remaining four regions. Therefore, the Tarim River Basin should further improve and optimize the development model of sustainable water resource use. Full article
Show Figures

Figure 1

17 pages, 6537 KB  
Article
Precipitation Changes on the Northern Slope of the Kunlun Mountains in the Past 42 Years
by Zhenhua Xia, Yaning Chen, Xueqi Zhang, Zhi Li, Gonghuan Fang, Chengang Zhu, Yupeng Li, Jinglong Li, Qianqian Xia and Qixiang Liang
Water 2024, 16(9), 1203; https://doi.org/10.3390/w16091203 - 24 Apr 2024
Cited by 2 | Viewed by 2257
Abstract
The precipitation on the northern slope of the Kunlun Mountains significantly impacts the green economy of the Tarim Basin’s southern edge. Observations have noted an expansion of the surface water area in this region, though the reasons for this are not yet fully [...] Read more.
The precipitation on the northern slope of the Kunlun Mountains significantly impacts the green economy of the Tarim Basin’s southern edge. Observations have noted an expansion of the surface water area in this region, though the reasons for this are not yet fully understood. Due to limited instrumental data, this study leverages field measurements from the third Xinjiang comprehensive expedition and multiple gridded datasets. Through trend analysis and a geographical detector model, it examines the precipitation’s decadal, interannual, and seasonal variations across key areas (Hotan River Basin, Keriya River Basin, Qarqan River Basin, and Kumukuli Basin), identifying factors behind the spatial and temporal distribution of regional precipitation. The findings reveal the following: (1) An increase in annual precipitation across the region from 187.41 mm in the 1980s to 221.23 mm in the early 21st century, at a rate of 10.21 mm/decade, with the most significant rise in the eastern Kunlun-Kumukuli Basin. (2) Precipitation exhibits clear seasonal and spatial patterns, predominantly occurring in spring and summer, accounting for 90.27% of the annual total, with a general decrease from the mountains towards downstream areas. (3) Rising average annual temperatures contribute to an unstable atmospheric structure and increased water-holding capacity, facilitating precipitation. Significant influences on precipitation changes include the North Atlantic Oscillation and solar flux, explaining 43.98% and 31.21% of the variation, respectively. Full article
(This article belongs to the Section Water and Climate Change)
Show Figures

Figure 1

22 pages, 4641 KB  
Article
Simulation and Reconstruction of Runoff in the High-Cold Mountains Area Based on Multiple Machine Learning Models
by Shuyang Wang, Meiping Sun, Guoyu Wang, Xiaojun Yao, Meng Wang, Jiawei Li, Hongyu Duan, Zhenyu Xie, Ruiyi Fan and Yang Yang
Water 2023, 15(18), 3222; https://doi.org/10.3390/w15183222 - 10 Sep 2023
Cited by 6 | Viewed by 2831
Abstract
Runoff from the high-cold mountains area (HCMA) is the most important water resource in the arid zone, and its accurate forecasting is key to the scientific management of water resources downstream of the basin. Constrained by the scarcity of meteorological and hydrological stations [...] Read more.
Runoff from the high-cold mountains area (HCMA) is the most important water resource in the arid zone, and its accurate forecasting is key to the scientific management of water resources downstream of the basin. Constrained by the scarcity of meteorological and hydrological stations in the HCMA and the inconsistency of the observed time series, the simulation and reconstruction of mountain runoff have always been a focus of cold region hydrological research. Based on the runoff observations of the Yurungkash and Kalakash Rivers, the upstream tributaries of the Hotan River on the northern slope of the Kunlun Mountains at different time periods, and the meteorological and atmospheric circulation indices, we used feature analysis and machine learning methods to select the input elements, train, simulate, and select the preferences of the machine learning models of the runoffs of the two watersheds, and reconstruct the missing time series runoff of the Kalakash River. The results show the following. (1) Air temperature is the most important driver of runoff variability in mountainous areas upstream of the Hotan River, and had the strongest performance in terms of the Pearson correlation coefficient (ρXY) and random forest feature importance (FI) (ρXY = 0.63, FI = 0.723), followed by soil temperature (ρXY = 0.63, FI = 0.043), precipitation, hours of sunshine, wind speed, relative humidity, and atmospheric circulation were weakly correlated. A total of 12 elements were selected as the machine learning input data. (2) Comparing the results of the Yurungkash River runoff simulated by eight machine learning methods, we found that the gradient boosting and random forest methods performed best, followed by the AdaBoost and Bagging methods, with Nash–Sutcliffe efficiency coefficients (NSE) of 0.84, 0.82, 0.78, and 0.78, while the support vector regression (NSE = 0.68), ridge (NSE = 0.53), K-nearest neighbor (NSE = 0.56), and linear regression (NSE = 0.51) were simulated poorly. (3) The application of four machine learning methods, gradient boosting, random forest, AdaBoost, and bagging, to simulate the runoff of the Kalakash River for 1978–1998 was generally outstanding, with the NSE exceeding 0.75, and the results of reconstructing the runoff data for the missing period (1999–2019) could well reflect the characteristics of the intra-annual and inter-annual changes in runoff. Full article
(This article belongs to the Special Issue Water Management in Arid and Semi-arid Regions)
Show Figures

Figure 1

15 pages, 4057 KB  
Article
Age and Growth of Hedinichthys yarkandensis (Day, 1877) in the Hotan River
by Xin-Yue Wang, Sheng-Ao Chen, Yong Song, Cheng-Xin Wang and Fei Liu
Water 2023, 15(16), 2948; https://doi.org/10.3390/w15162948 - 16 Aug 2023
Cited by 1 | Viewed by 2557
Abstract
Hedinichthys yarkandensis (Day, 1877) has been highlighted in research and evaluated as a class II key protected aquatic wildlife in Xinjiang Uygur Autonomous Region. To enhance the study of fish resources in the Hotan River, further germplasm conservation of fishery resources specific to the [...] Read more.
Hedinichthys yarkandensis (Day, 1877) has been highlighted in research and evaluated as a class II key protected aquatic wildlife in Xinjiang Uygur Autonomous Region. To enhance the study of fish resources in the Hotan River, further germplasm conservation of fishery resources specific to the Tarim River Basin should be carried out, and the development of the aquatic seed industry should be promoted. A total of 1275 H. yarkandensis individuals were collected from 2020–2021. Fish ecological methods were used to explore the population ecological characteristics and ecological habits of H. yarkandensis. We found that the age of H. yarkandensis ranged from one to seven based on lapillus otoliths, and two-plus individuals accounted for more. The age structure composition reveals stable genetic performance and good population fecundity. The fitting correlations of standard length and body weight reveal that H. yarkandensis in the Hotan River is a uniformly growing fish. The ratio of females to males is 0.87:1. The Fulton condition index of males was slightly higher than that of females due to individual miniaturization. The comparative study found that the growth parameters of the Hotan River population (L = 302.772, W = 310.8450, t0 = −0.4608) were higher than those of the other groups. The feeding demand of H. yarkandensis in the Hotan River was guaranteed because the effect of human activities was small in the watershed area and the watershed ecosystem was more stable, which resulted in stable germplasm resources in the Hotan River population. Full article
(This article belongs to the Special Issue Effect of Aquatic Environment on Fish Ecology II)
Show Figures

Figure 1

16 pages, 7221 KB  
Article
Projecting the Impact of Climate Change on Runoff in the Tarim River Simulated by the Soil and Water Assessment Tool Glacier Model
by Gonghuan Fang, Zhi Li, Yaning Chen, Wenting Liang, Xueqi Zhang and Qifei Zhang
Remote Sens. 2023, 15(16), 3922; https://doi.org/10.3390/rs15163922 - 8 Aug 2023
Cited by 15 | Viewed by 3306
Abstract
Analyzing the future changes in runoff is crucial for efficient water resources management and planning in arid regions with large river systems. This paper investigates the future runoffs of the headwaters of the Tarim River Basin under different emission scenarios by forcing the [...] Read more.
Analyzing the future changes in runoff is crucial for efficient water resources management and planning in arid regions with large river systems. This paper investigates the future runoffs of the headwaters of the Tarim River Basin under different emission scenarios by forcing the hydrological model SWAT-Glacier using six regional climate models from the Coordinated Regional Downscaling Experiment (CORDEX) project. Results indicate that compared to the period of 1976~2005, temperatures are projected to increase by 1.22 ± 0.72 °C during 2036~2065 under RCP8.5 scenarios, with a larger increment in the south Tianshan mountains and a lower increment in the north Kunlun Mountains. Precipitation is expected to increase by 3.81 ± 14.72 mm and 20.53 ± 27.65 mm during 2036–2065 and 2066–2095, respectively, under the RCP8.5 scenario. The mountainous runoffs of the four headwaters that directly recharge the mainstream of the Tarim River demonstrate an overall increasing trend in the 21st century. Under the RCP4.5 and RCP8.5 scenarios, the runoff is projected to increase by 3.2% and 3.9% (amounting to 7.84 × 108 m3 and 9.56 × 108 m3) in 2006–2035. Among them, the runoff of the Kaidu River, which is dominated by rainfall and snowmelt, is projected to present slightly decreasing trends of 3~8% under RCP4.5 and RCP8.5 scenarios. For catchments located in the north Kunlun Mountains (e.g., the Yarkant and Hotan Rivers which are mix-recharged by glacier melt, snowmelt, and rainfall), the runoff will increase significantly, especially in summer due to increased glacier melt and precipitation. Seasonally, the Kaidu River shows a forward shift in peak flow. The summer streamflow in the Yarkant and Hotan rivers is expected to increase significantly, which poses challenges in flood risk management. Full article
Show Figures

Figure 1

18 pages, 6486 KB  
Article
Spatiotemporal Evolution and Influencing Mechanisms of Ecosystem Service Value in the Tarim River Basin, Northwest China
by Shuai Zhang, Yin Wang, Yang Wang, Zhi Li and Yifeng Hou
Remote Sens. 2023, 15(3), 591; https://doi.org/10.3390/rs15030591 - 18 Jan 2023
Cited by 37 | Viewed by 3196
Abstract
The Tarim River Basin (TRB) is situated in the hinterland of northwest China, which is an extremely arid and fragile ecological zone. In recent years, the region’s ecological civilization construction has been facing huge challenges that are exacerbated by climate change and human [...] Read more.
The Tarim River Basin (TRB) is situated in the hinterland of northwest China, which is an extremely arid and fragile ecological zone. In recent years, the region’s ecological civilization construction has been facing huge challenges that are exacerbated by climate change and human activities. In order to verify the current ecological status of TRB, this paper explores the spatial and temporal variation in ecosystem service value (ESV) and the impact mechanism based on LUCC data from 2000 to 2020, using the adjusted unit area value equivalent method, the elasticity index method and the geo-probe analysis method. The results show that: (1) the ESV of the TRB has fluctuated since 2000, increasing by CNY 14.02 billion, especially in the Hotan River region. Among the individual ecosystem services, the increase in regulatory services is the largest, rising to CNY 8.842 billion. The growth of ESV mostly occurred in the mountains and oases. (2) The rise in ESV is mainly due to the conversion of barren land to water and grassland; ESV loss is mainly affected by the conversion of water to cropland and barren land and grassland to cropland and barren land. (3) Human activity impact or intensity (HAI) is the key driving factor for the spatial stratified heterogeneity of ESV, followed by elevation (DEM). In the interaction analysis, HAI∩DEM interaction is the primary reason for ESV’s spatial differentiation. The study’s findings show that the combined effects of human activities, DEM, and hydrothermal conditions underlie the spatial stratified heterogeneity of ESV in the TRB. This conclusion provides a scientific basis for future ecological civilization construction planning. Full article
(This article belongs to the Special Issue Integrating Earth Observations into Ecosystem Service Models)
Show Figures

Figure 1

18 pages, 5578 KB  
Article
Spatio-temporal Differentiation of Coupling Coordination between Ecological Footprint and Ecosystem Service Functions in the Aksu Region, Xinjiang, China
by Huan Xu, Jianjun Yang, Guozhu Xia and Tao Lin
Sustainability 2022, 14(6), 3483; https://doi.org/10.3390/su14063483 - 16 Mar 2022
Cited by 13 | Viewed by 2968
Abstract
The ecological footprint and ecosystem service functions in the northwest arid region of China have their unique characteristics and are limited by natural resources. The coordination level between the pressure of human activities on the ecosystem and the ecosystem service capacity can be [...] Read more.
The ecological footprint and ecosystem service functions in the northwest arid region of China have their unique characteristics and are limited by natural resources. The coordination level between the pressure of human activities on the ecosystem and the ecosystem service capacity can be objectively reflected on by exploring the coupling coordination relationship between these two aspects. This work used the ecological footprint and Integrated Valuation of Ecosystem Services and Trade-offs models to quantitatively analyze the spatial and temporal variations of the ecological footprint and ecosystem service functions in the Aksu region in Xinjiang. A coupling coordination degree model and spatial autocorrelation analysis were used to assess the coupling coordination level and spatial agglomeration characteristics of the regional ecological footprint and ecosystem service functions. The results showed that the ecological footprint of the Aksu region has been high in the northeast and low in the southwest, with noticeable spatial heterogeneity, from 2005 to 2018. Carbon (66.17%) and cropland (26.64%) are the main contributing factors to the regional ecological footprint. The biocapacity is dominated by cropland, built-up land, and forest land. The ecological footprint and biocapacity showed an increasing trend, ranging from an ecological surplus to an ecological deficit, with a continued ecological deficit. The level of ecosystem service functions in the Aksu region was low, with significant spatial variability. The high values were concentrated in the northern part of the region and the Tarim and Hotan River Basins. The coupling coordination level of the ecological footprint and ecosystem service functions in the Aksu area was high in the north and low in the south. The aforementioned coupling coordination level was dominated by the spatial pattern of the ecosystem service functions and had noticeable spatial agglomeration characteristics. The coupling coordination degree of the ecological footprint and water supply function showed an upward trend. By contrast, the coupling coordination degree of the ecological footprint with soil conservation and biodiversity maintenance functions showed a downward trend. Full article
(This article belongs to the Special Issue Regional Ecology and Sustainability)
Show Figures

Figure 1

19 pages, 5693 KB  
Article
Low Altitude Unmanned Aerial Vehicles (UAVs) and Satellite Remote Sensing Are Used to Calculated River Discharge Attenuation Coefficients of Ungauged Catchments in Arid Desert
by Shengtian Yang, Juan Wang, Pengfei Wang, Tongliang Gong and Huiping Liu
Water 2019, 11(12), 2633; https://doi.org/10.3390/w11122633 - 13 Dec 2019
Cited by 27 | Viewed by 4042
Abstract
The arid desert ecosystem is very fragile, and the change of its river discharge has a direct impact on irrigation and natural environment. River discharge attenuation coefficients is a key index to reveal the stability of desert river ecosystem. However, due to the [...] Read more.
The arid desert ecosystem is very fragile, and the change of its river discharge has a direct impact on irrigation and natural environment. River discharge attenuation coefficients is a key index to reveal the stability of desert river ecosystem. However, due to the harsh conditions in desert areas, it is difficult to establish a hydrological station to obtain data and calculate the attenuation coefficients, so it is urgent to develop new methods to master the attenuation coefficients of rivers. In this study, Taklamakan desert river was selected as the research area, and the river discharge of the desert river were estimated by combining low-altitude UAV and satellite remote sensing technology, so as to calculate the attenuation status of the river in its natural state. Combined with satellite remote sensing, the surface runoff in the desert reaches of the Hotan River from 1993 to 2017 were estimated. The results showed that the base of runoff attenuation in the lower reaches of the Hotan River is 40%. Coupled UAV and satellite remote sensing technology can provide technical support for the study of surface runoff in desert rivers within ungauged basins. Using UAV and satellite remote sensing can monitor surface runoff effectively providing important reference for river discharge monitoring in ungauged catchments. Full article
(This article belongs to the Section Hydrology)
Show Figures

Figure 1

21 pages, 7882 KB  
Article
Multi–Model Ensemble Approaches to Assessment of Effects of Local Climate Change on Water Resources of the Hotan River Basin in Xinjiang, China
by Min Luo, Fanhao Meng, Tie Liu, Yongchao Duan, Amaury Frankl, Alishir Kurban and Philippe De Maeyer
Water 2017, 9(8), 584; https://doi.org/10.3390/w9080584 - 5 Aug 2017
Cited by 29 | Viewed by 7129
Abstract
The effects of global climate change threaten the availability of water resources worldwide and modify their tempo-spatial pattern. Properly quantifying the possible effects of climate change on water resources under different hydrological models is a great challenge in ungauged alpine regions. By using [...] Read more.
The effects of global climate change threaten the availability of water resources worldwide and modify their tempo-spatial pattern. Properly quantifying the possible effects of climate change on water resources under different hydrological models is a great challenge in ungauged alpine regions. By using remote sensing data to support established models, this study aimed to reveal the effects of climate change using two models of hydrological processes including total water resources, peak flows, evapotranspiration, snowmelt and snow accumulation in the ungauged Hotan River Basin under future representative concentration pathway (RCP) scenarios. The results revealed that stream flow was much more sensitive to temperature variation than precipitation change and increased by 0.9–10.0% according to MIKE SHE or 6.5–10.5% according to SWAT. Increased evapotranspiration was similar for both models with a range of 7.6–31.3%. The snow-covered area shrank from 32.5% to 11.9% between the elevations of 4200–6400 m, respectively, and snow accumulation increased when the elevation exceeded 6400 m above sea level (asl). The results also suggested that the fully distributed and semi-distributed structures of these two models strongly influenced the responses to climate change. The study proposes a practical approach to assess the climate change effect in ungauged regions. Full article
(This article belongs to the Special Issue Adaptation Strategies to Climate Change Impacts on Water Resources)
Show Figures

Figure 1

Back to TopTop