Sign in to use this feature.

Years

Between: -

Subjects

remove_circle_outline
remove_circle_outline
remove_circle_outline
remove_circle_outline
remove_circle_outline
remove_circle_outline
remove_circle_outline

Journals

Article Types

Countries / Regions

remove_circle_outline

Search Results (7)

Search Parameters:
Keywords = Hapcheon Dam

Order results
Result details
Results per page
Select all
Export citation of selected articles as:
23 pages, 4509 KB  
Article
Data Assimilation for a Simple Hydrological Partitioning Model Using Machine Learning
by Changhwi Jeon, Chaelim Lee, Suhyung Jang and Sangdan Kim
Water 2025, 17(22), 3204; https://doi.org/10.3390/w17223204 - 9 Nov 2025
Viewed by 1166
Abstract
Predicting streamflow is a core element of efficient water resource management. Traditional hydrological models are constructed based on historical observational data, leading to cumulative prediction errors over time. To address this issue, this study proposes an Artificial Intelligence Filter (AIF) that integrates machine [...] Read more.
Predicting streamflow is a core element of efficient water resource management. Traditional hydrological models are constructed based on historical observational data, leading to cumulative prediction errors over time. To address this issue, this study proposes an Artificial Intelligence Filter (AIF) that integrates machine learning (ML) techniques into a data assimilation framework. The AIF learns the relationship between simulated streamflow and state variables (soil moisture, aquifer water level) and updates the state based on observed streamflow. This study applied the Simple Hydrologic Partitioning Model (SHPM) to four dam basins in southeastern Korea (Andong, Hapcheon, Miryang, Namgang). Model parameters were estimated using the Markov Chain Monte Carlo (MCMC) method, and results were compared with Open Loop (OL) simulations. After applying AIF, R2 and NSE increased by an average of approximately 0.02–0.04, representing a 2–5% improvement, achieving enhanced performance in most basins. KGE decreased slightly in some basins but improved by an average of about 2%. These results demonstrate that AIF not only enhances the accuracy of hydrological models but also contributes to securing the reliability of water resource forecasts through data assimilation and supports efficient management decision-making. Full article
Show Figures

Figure 1

21 pages, 6915 KB  
Article
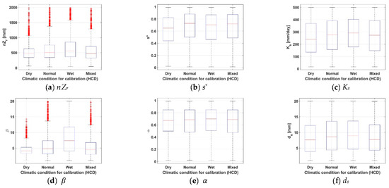
Exploring Climate Sensitivity in Hydrological Model Calibration
by Jeonghoon Lee, Jeonghyeon Choi, Jiyu Seo, Jeongeun Won and Sangdan Kim
Water 2023, 15(23), 4094; https://doi.org/10.3390/w15234094 - 25 Nov 2023
Cited by 1 | Viewed by 2026
Abstract
In the context of hydrological model calibration, observational data play a central role in refining and evaluating model performance and uncertainty. Among the critical factors, the length of the data records and the associated climatic conditions are paramount. While there is ample research [...] Read more.
In the context of hydrological model calibration, observational data play a central role in refining and evaluating model performance and uncertainty. Among the critical factors, the length of the data records and the associated climatic conditions are paramount. While there is ample research on data record length selection, the same cannot be said for the selection of data types, particularly when it comes to choosing the climatic conditions for calibration. Conceptual hydrological models inherently simplify the representation of hydrological processes, which can lead to structural limitations, which is particularly evident under specific climatic conditions. In this study, we explore the impact of climatic conditions during the calibration period on model predictive performance and uncertainty. We categorize the inflow data from AnDong Dam and HapCheon Dam in southeastern South Korea from 2001 to 2021 into four climatic conditions (dry years, normal years, wet years, and mixed years) based on the Budyko dryness index. We then use data from periods within the same climatic category to calibrate the hydrological model. Subsequently, we analyze the model’s performance and posterior distribution under various climatic conditions during validation periods. Our findings underscore the substantial influence of the climatic conditions during the calibration period on model performance and uncertainty. We discover that when calibrating the hydrological model using data from periods with wet climatic conditions, achieving comparable predictive performance in validation periods with different climatic conditions remains challenging, even when the calibration period exhibits excellent model performance. Furthermore, when considering model parameters and predicted streamflow uncertainty, it is advantageous to calibrate the hydrological model under dry climatic conditions to achieve more robust results. Full article
Show Figures

Figure 1

22 pages, 7408 KB  
Article
Characterization of the Propagation of Meteorological Drought Using the Copula Model
by Haeun Jung, Jeongeun Won, Shinuk Kang and Sangdan Kim
Water 2022, 14(20), 3293; https://doi.org/10.3390/w14203293 - 18 Oct 2022
Cited by 19 | Viewed by 3535
Abstract
Drought is a phenomenon that is caused by several factors and can be divided into meteorological drought, agricultural drought, hydrological drought, and socioeconomic drought. In this study, the characteristics of propagating from meteorological drought to agricultural (or hydrological) drought in the Andong Dam [...] Read more.
Drought is a phenomenon that is caused by several factors and can be divided into meteorological drought, agricultural drought, hydrological drought, and socioeconomic drought. In this study, the characteristics of propagating from meteorological drought to agricultural (or hydrological) drought in the Andong Dam basin and Hapcheon Dam basin located in the Nakdong River basin in Korea were investigated. Standardized precipitation index (SPI), standardized soil moisture index (SMI), and standardized runoff index (SRI) were used to characterize meteorological, agricultural, and hydrological droughts, respectively. SPI-m (1–12) on various timescales and SMI-1 (or SRI-1) were selected as drought propagation timeseries, such that a correlation analysis was performed to evaluate the correlation and propagation time between meteorological and agricultural (or hydrological) drought. Propagation probability was quantified using a copula-based model. The correlation between meteorological and agricultural (or hydrological) droughts was not significantly affected by seasons. A relatively strong correlation was found in summer. A relatively weak correlation was shown in autumn. In addition, it was found that there was a difference in correlation between the Andong Dam basin and the Hapcheon Dam basin. On the other hand, in both watersheds, the propagation time was as long as 2 to 4 months in spring and decreased to 1 month in summer. Full article
(This article belongs to the Section Hydrology)
Show Figures

Figure 1

22 pages, 8403 KB  
Article
Safety First? Lessons from the Hapcheon Dam Flood in 2020
by Taesam Lee, Kiyoung Seong, Seung Oh Lee and Hyung Ju Yoo
Sustainability 2022, 14(5), 2975; https://doi.org/10.3390/su14052975 - 3 Mar 2022
Cited by 5 | Viewed by 2763
Abstract
Floods change the living environment and threaten public health, while dam construction has often been made to protect and mitigate floods. Meanwhile, an exceptionally high outflow, five times higher than the maximum historical outflow, was discharged on 8 August 2020 from the Hapcheon [...] Read more.
Floods change the living environment and threaten public health, while dam construction has often been made to protect and mitigate floods. Meanwhile, an exceptionally high outflow, five times higher than the maximum historical outflow, was discharged on 8 August 2020 from the Hapcheon Dam (HCD), which is located at the middle of the Hwang River, South Korea. As a result, the 2020 flood event occurred in the downstream area, flooding the villages located downstream of the HCD, and damaging agricultural and residential areas. The current study investigates the cause of the flood and how the outflow affected the downstream area. The investigation showed that the Hwang River and the streams connected to the Hwang River experienced piping and overflow in several levees downstream. The frequency analysis of the rainfall upstream and the inflow to the HCD illustrated that the rainfall return periods are only 5–30 years for different durations. The return period of inflow to the HCD was only approximately five years. Sustaining a high-water level before the flooding season for future environmental use caused an exceptionally high outflow. Lowering the water level might have prevented damage to the downstream area. The 2020 flood event provided an imperative lesson to water managers and policymakers, demonstrating that the HCD and downstream safety must be prioritized over water conservation for environmental use. Full article
Show Figures

Figure 1

19 pages, 7967 KB  
Article
Evaluation of Water Quality Interaction by Dam and Weir Operation Using SWAT in the Nakdong River Basin of South Korea
by Jiwan Lee, Yonggwan Lee, Soyoung Woo, Wonjin Kim and Seongjoon Kim
Sustainability 2020, 12(17), 6845; https://doi.org/10.3390/su12176845 - 23 Aug 2020
Cited by 14 | Viewed by 5995
Abstract
The purpose of this study was to evaluate the streamflow and water quality (SS, T-N, and T-P) interaction of the Nakdong river basin (23,609.3 km2) by simulating dam and weir operation scenarios using the Soil and Water Assessment Tool (SWAT). The [...] Read more.
The purpose of this study was to evaluate the streamflow and water quality (SS, T-N, and T-P) interaction of the Nakdong river basin (23,609.3 km2) by simulating dam and weir operation scenarios using the Soil and Water Assessment Tool (SWAT). The operation scenarios tested were dam control (Scenario 1), dam control and weir gate control (Scenario 2), dam control and sequential release of the weirs with a one-month interval between each weir (Scenario 3), dam control and weir gate full open (Scenario 4), dam control and weir gate sequential full open (Scenario 5), weir gate control (Scenario 6), weir gate full open (Scenario 7), and weir gate sequential full open (Scenario 8). Before evaluation, the SWAT was calibrated and validated using 13 years (2005–2017) of daily multi-purpose dam inflow data from five locations ((Andong Dam (ADD), Imha Dam (IHD), Hapcheon Dam (HCD), Namkang Dam (NKD), and Milyang Dam (MYD))multi-function weir inflow data from seven locations (Sangju Weir (SJW), Gumi Weir (GMW), Chilgok Weir (CGW), Gangjeong-Goryeong Weir (GJW), Dalseong Weir (DSW), Hapcheon-Changnyeong Weir (HCW), and Changnyeong-Haman Weir (HAW)), and monthly water quality monitoring data from six locations (Andong-4 (AD-4), Sangju (SJ-2), Waegwan (WG), Hapcheon (HC), Namkang-4 (NK-4), and Mulgeum (MG). For the dam inflows and dam storage, the Nash-Sutcliffe efficiency (NSE) was 0.59~0.78, and the coefficient of determination (R2) was 0.71~0.90. For water quality, the R2 values of SS, T-N, and T-P were 0.58~0.83, 0.53~0.68, and 0.56~0.79, respectively. For the eight dam and weir release scenarios suggested by the Ministry of Environment, Scenarios 4 and 8 exhibited water quality improvement effects compared to the observed data. Full article
(This article belongs to the Collection Modeling and Simulations for Sustainable Water Environments)
Show Figures

Figure 1

14 pages, 2419 KB  
Article
Comparison of Electric Power Output Observed and Estimated from Floating Photovoltaic Systems: A Case Study on the Hapcheon Dam, Korea
by Jangwon Suh, Yonghae Jang and Yosoon Choi
Sustainability 2020, 12(1), 276; https://doi.org/10.3390/su12010276 - 30 Dec 2019
Cited by 47 | Viewed by 4202
Abstract
An interest in floating photovoltaic (PV) is growing drastically worldwide. To evaluate the feasibility of floating PV projects, an accurate estimation of electric power output (EPO) is a crucial first step. This study estimates the EPO of a floating PV system and compares [...] Read more.
An interest in floating photovoltaic (PV) is growing drastically worldwide. To evaluate the feasibility of floating PV projects, an accurate estimation of electric power output (EPO) is a crucial first step. This study estimates the EPO of a floating PV system and compares it with the actual EPO observed at the Hapcheon Dam, Korea. Typical meteorological year data and system design parameters were entered into System Advisor Model (SAM) software to estimate the hourly and monthly EPOs. The monthly estimated EPOs were lower than the monthly observed EPOs. This result is ascribed to the cooling effect of the water environment on the floating PV module, which makes the floating PV efficiency higher than overland PV efficiency. Unfortunately, most commercial PV software, including the SAM, was unable to consider this effect in estimating EPO. The error results showed it was possible to estimate the monthly EPOs with an error of less than 15% (simply by simulation) and 9% (when considering the cooling effect: 110% of the estimated monthly EPOs). This indicates that the approach of using empirical results can provide more reliable estimation of EPO in the feasibility assessment stage of floating PV projects. Furthermore, it is necessary to develop simulation software dedicated to the floating PV system. Full article
(This article belongs to the Section Energy Sustainability)
Show Figures

Figure 1

12 pages, 4796 KB  
Article
Safety Analysis of Grounding Resistance with Depth of Water for Floating PVs
by Jae Woo Ko, Hae Lim Cha, David Kwang-Soon Kim, Jong Rok Lim, Gyu Gwang Kim, Byeong Gwan Bhang, Chang Sub Won, Han Sang Jung, Dong Hyung Kang and Hyung Keun Ahn
Energies 2017, 10(9), 1304; https://doi.org/10.3390/en10091304 - 1 Sep 2017
Cited by 12 | Viewed by 6399
Abstract
Underwater grounding methods could be applied in deep water for grounding a floating PV (photovoltaic) system. However, the depth at which the electrodes should be located is a controversial subject. In this study, grounding resistance was measured for the first time by analyzing [...] Read more.
Underwater grounding methods could be applied in deep water for grounding a floating PV (photovoltaic) system. However, the depth at which the electrodes should be located is a controversial subject. In this study, grounding resistance was measured for the first time by analyzing the water temperature at different water depths in an area where a floating PV system is installed. The theoretical calculation of the grounding resistance has a maximum error range of 8% compared to the experimentally measured data. In order to meet the electrical safety standards of a floating PV system, a number of electrodes were connected in parallel. In addition, the distance between electrodes and number of electrodes were considered in the test to obtain a formula for the grounding resistance. In addition, the coefficient of corrosion was obtained from an electrode installed underwater a year ago, and it was added to the formula. Through this analysis, it is possible to predict the grounding resistance prior to installing the floating PV system. Furthermore, the electrical safety of the floating PV system could be achieved by considering the seasonal changes in water temperature. Full article
Show Figures

Figure 1

Back to TopTop