Sign in to use this feature.

Years

Between: -

Subjects

remove_circle_outline
remove_circle_outline
remove_circle_outline
remove_circle_outline

Journals

Article Types

Countries / Regions

Search Results (18)

Search Parameters:
Keywords = HERV-K (HML-2)

Order results
Result details
Results per page
Select all
Export citation of selected articles as:
29 pages, 4837 KB  
Article
Comprehensive Identification and Characterization of HML-9 Group in Chimpanzee Genome
by Mingyue Chen, Caiqin Yang, Xiuli Zhai, Chunlei Wang, Mengying Liu, Bohan Zhang, Xing Guo, Yanglan Wang, Hanping Li, Yongjian Liu, Jingwan Han, Xiaolin Wang, Jingyun Li, Lei Jia and Lin Li
Viruses 2024, 16(6), 892; https://doi.org/10.3390/v16060892 - 31 May 2024
Cited by 3 | Viewed by 2211
Abstract
Endogenous retroviruses (ERVs) are related to long terminal repeat (LTR) retrotransposons, comprising gene sequences of exogenous retroviruses integrated into the host genome and inherited according to Mendelian law. They are considered to have contributed greatly to the evolution of host genome structure and [...] Read more.
Endogenous retroviruses (ERVs) are related to long terminal repeat (LTR) retrotransposons, comprising gene sequences of exogenous retroviruses integrated into the host genome and inherited according to Mendelian law. They are considered to have contributed greatly to the evolution of host genome structure and function. We previously characterized HERV-K HML-9 in the human genome. However, the biological function of this type of element in the genome of the chimpanzee, which is the closest living relative of humans, largely remains elusive. Therefore, the current study aims to characterize HML-9 in the chimpanzee genome and to compare the results with those in the human genome. Firstly, we report the distribution and genetic structural characterization of the 26 proviral elements and 38 solo LTR elements of HML-9 in the chimpanzee genome. The results showed that the distribution of these elements displayed a non-random integration pattern, and only six elements maintained a relatively complete structure. Then, we analyze their phylogeny and reveal that the identified elements all cluster together with HML-9 references and with those identified in the human genome. The HML-9 integration time was estimated based on the 2-LTR approach, and the results showed that HML-9 elements were integrated into the chimpanzee genome between 14 and 36 million years ago and into the human genome between 18 and 49 mya. In addition, conserved motifs, cis-regulatory regions, and enriched PBS sequence features in the chimpanzee genome were predicted based on bioinformatics. The results show that pathways significantly enriched for ERV LTR-regulated genes found in the chimpanzee genome are closely associated with disease development, including neurological and neurodevelopmental psychiatric disorders. In summary, the identification, characterization, and genomics of HML-9 presented here not only contribute to our understanding of the role of ERVs in primate evolution but also to our understanding of their biofunctional significance. Full article
(This article belongs to the Special Issue Retroviral Recombination and Genetic Diversity)
Show Figures

Figure 1

21 pages, 1107 KB  
Review
Human Endogenous Retrovirus-K (HML-2)-Related Genetic Variation: Human Genome Diversity and Disease
by Wonseok Shin, Seyoung Mun and Kyudong Han
Genes 2023, 14(12), 2150; https://doi.org/10.3390/genes14122150 - 28 Nov 2023
Cited by 11 | Viewed by 5231
Abstract
Human endogenous retroviruses (HERVs) comprise a significant portion of the human genome, making up roughly 8%, a notable comparison to the 2–3% represented by coding sequences. Numerous studies have underscored the critical role and importance of HERVs, highlighting their diverse and extensive influence [...] Read more.
Human endogenous retroviruses (HERVs) comprise a significant portion of the human genome, making up roughly 8%, a notable comparison to the 2–3% represented by coding sequences. Numerous studies have underscored the critical role and importance of HERVs, highlighting their diverse and extensive influence on the evolution of the human genome and establishing their complex correlation with various diseases. Among HERVs, the HERV-K (HML-2) subfamily has recently attracted significant attention, integrating into the human genome after the divergence between humans and chimpanzees. Its insertion in the human genome has received considerable attention due to its structural and functional characteristics and the time of insertion. Originating from ancient exogenous retroviruses, these elements succeeded in infecting germ cells, enabling vertical transmission and existing as proviruses within the genome. Remarkably, these sequences have retained the capacity to form complete viral sequences, exhibiting activity in transcription and translation. The HERV-K (HML-2) subfamily is the subject of active debate about its potential positive or negative effects on human genome evolution and various pathologies. This review summarizes the variation, regulation, and diseases in human genome evolution arising from the influence of HERV-K (HML-2). Full article
(This article belongs to the Special Issue Mobile-Element-Related Genetic Variation)
Show Figures

Figure 1

32 pages, 481 KB  
Review
Exploring HERV-K (HML-2) Influence in Cancer and Prospects for Therapeutic Interventions
by Bárbara Costa and Nuno Vale
Int. J. Mol. Sci. 2023, 24(19), 14631; https://doi.org/10.3390/ijms241914631 - 27 Sep 2023
Cited by 13 | Viewed by 5346
Abstract
This review investigates the intricate role of human endogenous retroviruses (HERVs) in cancer development and progression, explicitly focusing on HERV-K (HML-2). This paper sheds light on the latest research advancements and potential treatment strategies by examining the historical context of HERVs and their [...] Read more.
This review investigates the intricate role of human endogenous retroviruses (HERVs) in cancer development and progression, explicitly focusing on HERV-K (HML-2). This paper sheds light on the latest research advancements and potential treatment strategies by examining the historical context of HERVs and their involvement in critical biological processes such as embryonic development, immune response, and disease progression. This review covers computational modeling for drug-target binding assessment, systems biology modeling for simulating HERV-K viral cargo dynamics, and using antiviral drugs to combat HERV-induced diseases. The findings presented in this review contribute to our understanding of HERV-mediated disease mechanisms and provide insights into future therapeutic approaches. They emphasize why HERV-K holds significant promise as a biomarker and a target. Full article
(This article belongs to the Special Issue Cancer Treatment: New Drugs and Strategies)
18 pages, 1596 KB  
Article
Epstein-Barr Virus-Induced Genes and Endogenous Retroviruses in Immortalized B Cells from Patients with Multiple Sclerosis
by Lisa Wieland, Tommy Schwarz, Kristina Engel, Ines Volkmer, Anna Krüger, Alexander Tarabuko, Jutta Junghans, Malte E. Kornhuber, Frank Hoffmann, Martin S. Staege and Alexander Emmer
Cells 2022, 11(22), 3619; https://doi.org/10.3390/cells11223619 - 15 Nov 2022
Cited by 18 | Viewed by 3928
Abstract
The immune pathogenesis of multiple sclerosis (MS) is thought to be triggered by environmental factors in individuals with an unfavorable genetic predisposition. Epstein–Barr virus (EBV) infection is a major risk factor for subsequent development of MS. Human endogenous retroviruses (HERVs) can be activated [...] Read more.
The immune pathogenesis of multiple sclerosis (MS) is thought to be triggered by environmental factors in individuals with an unfavorable genetic predisposition. Epstein–Barr virus (EBV) infection is a major risk factor for subsequent development of MS. Human endogenous retroviruses (HERVs) can be activated by EBV, and might be a missing link between an initial EBV infection and the later onset of MS. In this study, we investigated differential gene expression patterns in EBV-immortalized lymphoblastoid B cell lines (LCL) from MS-affected individuals (MSLCL) and controls by using RNAseq and qRT-PCR. RNAseq data from LCL mapped to the human genome and a virtual virus metagenome were used to identify possible biomarkers for MS or disease-relevant risk factors, e.g., the relapse rate. We observed that lytic EBNA-1 transcripts seemed to be negatively correlated with age leading to an increased expression in LCL from younger PBMC donors. Further, HERV-K (HML-2) GAG was increased upon EBV-triggered immortalization. Besides the well-known transactivation of HERV-K18, our results suggest that another six HERV loci are up-regulated upon stimulation with EBV. We identified differentially expressed genes in MSLCL, e.g., several HERV-K loci, ERVMER61-1 and ERV3-1, as well as genes associated with relapses. In summary, EBV induces genes and HERV in LCL that might be suitable as biomarkers for MS or the relapse risk. Full article
(This article belongs to the Special Issue Immunology of Multiple Sclerosis)
Show Figures

Figure 1

10 pages, 898 KB  
Review
The Role of HERV-K in Cancer Stemness
by Sarah R. Rivas, Mynor J. Mendez Valdez, Vaidya Govindarajan, Deepa Seetharam, Tara T. Doucet-O’Hare, John D. Heiss and Ashish H. Shah
Viruses 2022, 14(9), 2019; https://doi.org/10.3390/v14092019 - 12 Sep 2022
Cited by 24 | Viewed by 5905
Abstract
Human endogenous retrovirus-K (HERV-K) is the most recently integrated retrovirus in the human genome, with implications for multiple disorders, including cancer. Although typically transcriptionally silenced in normal adult cells, dysregulation of HERV-K (HML-2) elements has been observed in cancer, including breast, germ cell [...] Read more.
Human endogenous retrovirus-K (HERV-K) is the most recently integrated retrovirus in the human genome, with implications for multiple disorders, including cancer. Although typically transcriptionally silenced in normal adult cells, dysregulation of HERV-K (HML-2) elements has been observed in cancer, including breast, germ cell tumors, pancreatic, melanoma, and brain cancer. While multiple methods of carcinogenesis have been proposed, here we discuss the role of HERV-K (HML-2) in the promotion and maintenance of the stem-cell in cancer. Aberrant expression of HERV-K has been shown to promote expression of stem cell markers and promote dedifferentiation. In this review, we discuss HERV-K (HML-2) as a potential therapeutic target based on evidence that some tumors depend on the expression of its proteins for survival. Full article
(This article belongs to the Special Issue Endogenous Retroviruses)
Show Figures

Figure 1

13 pages, 2020 KB  
Article
High Expression of HERV-K (HML-2) Might Stimulate Interferon in COVID-19 Patients
by Yaolin Guo, Caiqin Yang, Yongjian Liu, Tianyi Li, Hanping Li, Jingwan Han, Lei Jia, Xiaolin Wang, Bohan Zhang, Jingyun Li and Lin Li
Viruses 2022, 14(5), 996; https://doi.org/10.3390/v14050996 - 7 May 2022
Cited by 16 | Viewed by 4260
Abstract
Background. Interferon is a marker of host antiviral immunity, which is disordered in COVID-19 patients. ERV can affect the secretion of interferon through the cGAS-STING pathway. In this study, we explored whether IFN-I and HERV-K (HML-2) were activated in COVID-19 patients and whether [...] Read more.
Background. Interferon is a marker of host antiviral immunity, which is disordered in COVID-19 patients. ERV can affect the secretion of interferon through the cGAS-STING pathway. In this study, we explored whether IFN-I and HERV-K (HML-2) were activated in COVID-19 patients and whether there was an interaction between them. Methods. We collected blood samples from COVID-19 patients and healthy controls. We first detected the expression of HERV-K (HML-2) gag, env, and pol genes and IFN-I-related genes between patients and healthy people by qPCR, synchronously detected VERO cells infected with SARS-CoV-2. Then, the chromosome distributions of highly expressed HERV-K (HML-2) gag, env, and pol genes were mapped by the next-generation sequencing results, and GO analysis was performed on the related genes. Results. We found that the HERV-K (HML-2) gag, env, and pol genes were highly expressed in COVID-19 patients and VERO cells infected with SARS-CoV-2. The interferon-related genes IFNB1, ISG15, and IFIT1 were also activated in COVID-19 patients, and GO analysis showed that HERV-K (HML-2) can regulate the secretion of interferon. Conclusions. The high expression of HERV-K (HML-2) might activate the increase of interferon in COVID-19 patients, proving that HERV-K does not only play a negative role in the human body. Full article
(This article belongs to the Special Issue Cytokines in SARS-CoV-2 Infection)
Show Figures

Figure 1

11 pages, 8593 KB  
Review
Endogenous Retroviral Elements in Human Development and Central Nervous System Embryonal Tumors
by Tara T. Doucet-O’Hare, Jared S. Rosenblum, Ashish H. Shah, Mark R. Gilbert and Zhengping Zhuang
J. Pers. Med. 2021, 11(12), 1332; https://doi.org/10.3390/jpm11121332 - 8 Dec 2021
Cited by 2 | Viewed by 3735
Abstract
Human endogenous retroviruses (HERVs), which are critical to normal embryologic development and downregulated during normal maturation, have been implicated in a variety of cancers. Abnormal persistent production of HERVs has been suggested to play a role in oncogenesis and to confer stem cell [...] Read more.
Human endogenous retroviruses (HERVs), which are critical to normal embryologic development and downregulated during normal maturation, have been implicated in a variety of cancers. Abnormal persistent production of HERVs has been suggested to play a role in oncogenesis and to confer stem cell properties to cells. We recently demonstrated that the most recently incorporated HERV element (HERV-K HML-2) has been associated with the pathogenesis of the embryonal atypical teratoid rhabdoid tumor (AT/RT), shifting our understanding of embryonal tumor development. HML-2 expression is vital for proper human development and its expression is suppressed via methylation or chromatin remodeling as cells differentiate. We previously found that dysfunctional chromatin remodeling due to loss of SMARCB1 expression induces HML-2 envelope (env) expression, impairing cellular differentiation and migration, and facilitating tumor growth in AT/RT. Epigenetic dysregulation in other embryonal tumors with concomitant expression of stem-cell markers may facilitate HML-2 expression. Future studies could utilize HML-2 as potential diagnostic criteria, use its expression as a treatment biomarker, and investigate the efficacy of therapies targeting cells with high HML-2 expression. Full article
Show Figures

Figure 1

13 pages, 4310 KB  
Article
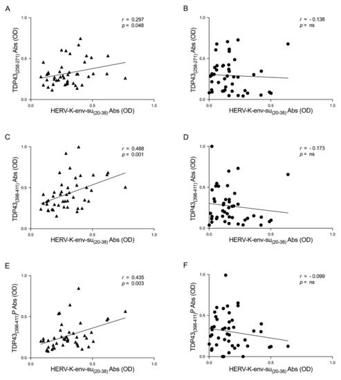
TDP-43 and HERV-K Envelope-Specific Immunogenic Epitopes Are Recognized in ALS Patients
by Elena Rita Simula, Giannina Arru, Ignazio Roberto Zarbo, Paolo Solla and Leonardo A. Sechi
Viruses 2021, 13(11), 2301; https://doi.org/10.3390/v13112301 - 18 Nov 2021
Cited by 26 | Viewed by 3136
Abstract
The human endogenous retrovirus-K (HERV-K) and TAR DNA-binding protein 43 (TDP-43) have been associated with the pathophysiology of amyotrophic lateral sclerosis (ALS). Given these findings, we investigated the humoral response against HERV-K envelope surface (env-su) glycoprotein antigens and TDP-43 in the plasma of [...] Read more.
The human endogenous retrovirus-K (HERV-K) and TAR DNA-binding protein 43 (TDP-43) have been associated with the pathophysiology of amyotrophic lateral sclerosis (ALS). Given these findings, we investigated the humoral response against HERV-K envelope surface (env-su) glycoprotein antigens and TDP-43 in the plasma of ALS patients and healthy controls (HCs). The measured levels of Abs against the different epitopes’ fragments were significantly elevated in ALS patients, both in long-survivor (LS) and newly diagnosed (ND) patients, compared to HCs. We observed a positive correlation between HERV-K and TDP-43 antibodies (Abs) levels, which seemed to strengthen with disease progression, that was not found in HCs. The TDP-43 and HERV-K epitopes identified in this study are highly immunogenic and recognized by the humoral response of ALS patients. Increased circulating levels of Abs directed against specific HERV-K- and TDP-43-derived epitopes could serve as possible biomarkers. Full article
(This article belongs to the Section Human Virology and Viral Diseases)
Show Figures

Graphical abstract

23 pages, 3272 KB  
Article
A Comprehensive Analysis of Human Endogenous Retroviruses HERV-K (HML.2) from Teratocarcinoma Cell Lines and Detection of Viral Cargo in Microvesicles
by Vladimir A. Morozov and Alexey V. Morozov
Int. J. Mol. Sci. 2021, 22(22), 12398; https://doi.org/10.3390/ijms222212398 - 17 Nov 2021
Cited by 8 | Viewed by 5275
Abstract
About 8% of our genome is composed of sequences from Human Endogenous Retroviruses (HERVs). The HERV-K (HML.2) family, here abbreviated HML.2, is able to produce virus particles that were detected in cell lines, malignant tumors and in autoimmune diseases. Parameters and properties of [...] Read more.
About 8% of our genome is composed of sequences from Human Endogenous Retroviruses (HERVs). The HERV-K (HML.2) family, here abbreviated HML.2, is able to produce virus particles that were detected in cell lines, malignant tumors and in autoimmune diseases. Parameters and properties of HML.2 released from teratocarcinoma cell lines GH and Tera-1 were investigated in detail. In most experiments, analyzed viruses were purified by density gradient centrifugation. HML.2 structural proteins, reverse transcriptase (RT) activity, viral RNA (vRNA) and particle morphology were analyzed. The HML.2 markers were predominantly detected in fractions with a buoyant density of 1.16 g/cm3. Deglycosylation of TM revealed truncated forms of transmembrane (TM) protein. Free virions and extracellular vesicles (presumably microvesicles—MVs) with HML.2 elements, including budding intermediates, were detected by electron microscopy. Viral elements and assembled virions captured and exported by MVs can boost specific immune responses and trigger immunomodulation in recipient cells. Sequencing of cDNA clones demonstrated exclusive presence of HERV-K108 env in HML.2 from Tera-1 cells. Not counting two recombinant variants, four known env sequences were found in HML.2 from GH cells. Obtained results shed light on parameters and morphology of HML.2. A possible mechanism of HML.2-induced diseases is discussed. Full article
(This article belongs to the Special Issue Retroviruses and Retroviral, Lentiviral Vectors in Modern Biology)
Show Figures

Figure 1

17 pages, 2646 KB  
Article
HERV-K(HML7) Integrations in the Human Genome: Comprehensive Characterization and Comparative Analysis in Non-Human Primates
by Nicole Grandi, Maria Paola Pisano, Eleonora Pessiu, Sante Scognamiglio and Enzo Tramontano
Biology 2021, 10(5), 439; https://doi.org/10.3390/biology10050439 - 14 May 2021
Cited by 18 | Viewed by 4211
Abstract
Endogenous Retroviruses (ERVs) are ancient relics of infections that affected the primate germ line and constitute about 8% of our genome. Growing evidence indicates that ERVs had a major role in vertebrate evolution, being occasionally domesticated by the host physiology. In addition, human [...] Read more.
Endogenous Retroviruses (ERVs) are ancient relics of infections that affected the primate germ line and constitute about 8% of our genome. Growing evidence indicates that ERVs had a major role in vertebrate evolution, being occasionally domesticated by the host physiology. In addition, human ERV (HERV) expression is highly investigated for a possible pathological role, even if no clear associations have been reported yet. In fact, on the one side, the study of HERV expression in high-throughput data is a powerful and promising tool to assess their actual dysregulation in diseased conditions; but, on the other side, the poor knowledge about the various HERV group genomic diversity and individual members somehow prevented the association between specific HERV loci and a given molecular mechanism of pathogenesis. The present study is focused on the HERV-K(HML7) group that—differently from the other HERV-K members—still remains poorly characterized. Starting from an initial identification performed with the software RetroTector, we collected 23 HML7 proviral insertions and about 160 HML7 solitary LTRs that were analyzed in terms of genomic distribution, revealing a significant enrichment in chromosome X and the frequent localization within human gene introns as well as in pericentromeric and centromeric regions. Phylogenetic analyses showed that HML7 members form a monophyletic group, which based on age estimation and comparative localization in non-human primates had its major diffusion between 20 and 30 million years ago. Structural characterization revealed that besides 3 complete HML7 proviruses, the other group members shared a highly defective structure that, however, still presents recognizable functional domains, making it worth further investigation in the human population to assess the presence of residual coding potential. Full article
Show Figures

Figure 1

13 pages, 2787 KB  
Article
Increased HERV-K(HML-2) Transcript Levels Correlate with Clinical Parameters of Liver Damage in Hepatitis C Patients
by Melanie Weber, Vidya Padmanabhan Nair, Tanja Bauer, Martin F. Sprinzl, Ulrike Protzer and Michelle Vincendeau
Cells 2021, 10(4), 774; https://doi.org/10.3390/cells10040774 - 31 Mar 2021
Cited by 11 | Viewed by 3626
Abstract
Chronic hepatitis C virus (HCV) infection is closely associated with a plethora of diseases, including cancers and autoimmune disorders. However, the distinct triggers and cellular networks leading to such HCV-derived diseases are poorly understood. Around 8% of the human genome consists of human [...] Read more.
Chronic hepatitis C virus (HCV) infection is closely associated with a plethora of diseases, including cancers and autoimmune disorders. However, the distinct triggers and cellular networks leading to such HCV-derived diseases are poorly understood. Around 8% of the human genome consists of human endogenous retroviruses. They are usually silenced but can be reactivated by environmental conditions, including viral infections. Our current understanding indicates that the activation of one specific family—namely, HERV-K(HML-2)—is linked to distinct pathologies, including cancer and autoimmunity. In this study, we analyzed the transcription levels of HERV-K(HML-2) in 42 HCV-infected patients receiving direct-acting antiviral therapies. Samples from the start of treatment until 12 weeks post-treatment were investigated. Our results show increased HERV-K(HML-2) transcript levels in patients with HCV-derived liver cirrhosis throughout the observation period. Several clinical parameters specifying poor liver function are positively correlated with HERV-K(HML-2) expression. Of note, patients without a sustained viral clearance showed a drastic increase in HERV-K(HML-2) transcript levels. Together, our data suggest that increased HERV-K(HML-2) expression is correlated with reduced liver function as well as therapy success in HCV-infected patients. Full article
(This article belongs to the Special Issue Biomarkers in Hepatology)
Show Figures

Figure 1

25 pages, 5276 KB  
Article
Human Endogenous Retrovirus K Rec Forms a Regulatory Loop with MITF that Opposes the Progression of Melanoma to an Invasive Stage
by Manvendra Singh, Huiqiang Cai, Mario Bunse, Cédric Feschotte and Zsuzsanna Izsvák
Viruses 2020, 12(11), 1303; https://doi.org/10.3390/v12111303 - 13 Nov 2020
Cited by 28 | Viewed by 5319
Abstract
The HML2 subfamily of HERV-K (henceforth HERV-K) represents the most recently endogenized retrovirus in the human genome. While the products of certain HERV-K genomic copies are expressed in normal tissues, they are upregulated in several pathological conditions, including various tumors. It remains unclear [...] Read more.
The HML2 subfamily of HERV-K (henceforth HERV-K) represents the most recently endogenized retrovirus in the human genome. While the products of certain HERV-K genomic copies are expressed in normal tissues, they are upregulated in several pathological conditions, including various tumors. It remains unclear whether HERV-K(HML2)-encoded products overexpressed in cancer contribute to disease progression or are merely by-products of tumorigenesis. Here, we focus on the regulatory activities of the Long Terminal Repeats (LTR5_Hs) of HERV-K and the potential role of the HERV-K-encoded Rec in melanoma. Our regulatory genomics analysis of LTR5_Hs loci indicates that Melanocyte Inducing Transcription Factor (MITF) (also known as binds to a canonical E-box motif (CA(C/T)GTG) within these elements in proliferative type of melanoma, and that depletion of MITF results in reduced HERV-K expression. In turn, experimentally depleting Rec in a proliferative melanoma cell line leads to lower mRNA levels of MITF and its predicted target genes. Furthermore, Rec knockdown leads to an upregulation of epithelial-to-mesenchymal associated genes and an enhanced invasion phenotype of proliferative melanoma cells. Together these results suggest the existence of a regulatory loop between MITF and Rec that may modulate the transition from proliferative to invasive stages of melanoma. Because HERV-K(HML2) elements are restricted to hominoid primates, these findings might explain certain species-specific features of melanoma progression and point to some limitations of animal models in melanoma studies. Full article
(This article belongs to the Special Issue Endogenous Retroviruses in Development and Disease)
Show Figures

Figure 1

17 pages, 760 KB  
Review
Human Endogenous Retrovirus K in Cancer: A Potential Biomarker and Immunotherapeutic Target
by Gislaine Curty, Jez L. Marston, Miguel de Mulder Rougvie, Fabio E. Leal, Douglas F. Nixon and Marcelo A. Soares
Viruses 2020, 12(7), 726; https://doi.org/10.3390/v12070726 - 6 Jul 2020
Cited by 67 | Viewed by 8697
Abstract
In diseases where epigenetic mechanisms are changed, such as cancer, many genes show altered gene expression and inhibited genes become activated. Human endogenous retrovirus type K (HERV-K) expression is usually inhibited in normal cells from healthy adults. In tumor cells, however, HERV-K mRNA [...] Read more.
In diseases where epigenetic mechanisms are changed, such as cancer, many genes show altered gene expression and inhibited genes become activated. Human endogenous retrovirus type K (HERV-K) expression is usually inhibited in normal cells from healthy adults. In tumor cells, however, HERV-K mRNA expression has been frequently documented to increase. Importantly, HERV-K-derived proteins can act as tumor-specific antigens, a class of neoantigens, and induce immune responses in different types of cancer. In this review, we describe the function of the HERV-K HML-2 subtype in carcinogenesis as biomarkers, and their potential as targets for cancer immunotherapy. Full article
(This article belongs to the Special Issue Endogenous Retroviruses in Development and Disease)
Show Figures

Graphical abstract

18 pages, 4114 KB  
Article
Comprehensive Analysis of HERV Transcriptome in HIV+ Cells: Absence of HML2 Activation and General Downregulation of Individual HERV Loci
by Nicole Grandi, Maria Paola Pisano, Sante Scognamiglio, Eleonora Pessiu and Enzo Tramontano
Viruses 2020, 12(4), 481; https://doi.org/10.3390/v12040481 - 23 Apr 2020
Cited by 14 | Viewed by 5107
Abstract
Human endogenous retrovirus (HERV) expression is currently studied for its possible activation by HIV infection. In this context, the HERV-K(HML2) group is the most investigated: it has been proposed that HIV-1 infection can prompt HML2 transcription, and that HML2 proteins can affect HIV-1 [...] Read more.
Human endogenous retrovirus (HERV) expression is currently studied for its possible activation by HIV infection. In this context, the HERV-K(HML2) group is the most investigated: it has been proposed that HIV-1 infection can prompt HML2 transcription, and that HML2 proteins can affect HIV-1 replication, either complementing HIV or possibly influencing antiretroviral therapy. However, little information is available on the expression of other HERV groups in HIV infection. In the present study, we used a bioinformatics pipeline to investigate the transcriptional modulation of approximately 3250 well-characterized HERV loci, comparing their expression in a public RNA-seq profile, including a HIV-1-infected and a control T cell culture. In our pilot study, we found approximately 200 HERV loci belonging to 35 HERV groups that were expressed in one or both conditions, with transcripts per million (TPM) values from 1 to >500. Intriguingly, HML2 elements constituted only the 3% of expressed HERV loci, and in most cases (160) HERV expression was downregulated in the HIV-infected culture, showing from a 1- to 14-fold decrease as compared to uninfected cells. HERV transcriptome has been inferred de novo and employed to predict a total of about 950 HERV open reading frames (ORFs). These have been validated according to the coding potential and estimated abundance of the corresponding transcripts, leading to a set of 57 putative proteins potentially encoded by 23 HERV loci. Analysis showed that some individual loci have a coding potential that deserves further investigation. Among them, a HML6 provirus at locus 19q13.43 was predicted to produce a transcript showing the highest TPM among HERV-derived transcripts, being upregulated in HIV+ cells and inferred to produce Gag and Env puteins with possible biological activity. Full article
(This article belongs to the Special Issue Antiretroviral Drug Development and HIV Cure Research)
Show Figures

Graphical abstract

15 pages, 2371 KB  
Communication
Disruption by SaCas9 Endonuclease of HERV-Kenv, a Retroviral Gene with Oncogenic and Neuropathogenic Potential, Inhibits Molecules Involved in Cancer and Amyotrophic Lateral Sclerosis
by Gabriele Ibba, Claudia Piu, Elena Uleri, Caterina Serra and Antonina Dolei
Viruses 2018, 10(8), 412; https://doi.org/10.3390/v10080412 - 7 Aug 2018
Cited by 33 | Viewed by 5722
Abstract
The human endogenous retrovirus (HERV)-K, human mouse mammary tumor virus like-2 (HML-2) subgroup of HERVs is activated in several tumors and has been related to prostate cancer progression and motor neuron diseases. The cellular splicing factor 2/alternative splicing factor (SF2/ASF) is a positive [...] Read more.
The human endogenous retrovirus (HERV)-K, human mouse mammary tumor virus like-2 (HML-2) subgroup of HERVs is activated in several tumors and has been related to prostate cancer progression and motor neuron diseases. The cellular splicing factor 2/alternative splicing factor (SF2/ASF) is a positive regulator of gene expression, coded by a potent proto-oncogene, amplified, and abnormally expressed in tumors. TAR DNA-binding protein-43 (TDP-43) is a DNA/RNA-binding protein, negative regulator of alternative splicing, known for causing neurodegeneration, and with complex roles in oncogenesis. We used the clustered regularly interspaced short palindromic repeats (CRISPR)/Cas9 technology, with the Cas9 system from Staphylococcus aureus (SaCas9), to disrupt the HERV-K(HML-2)env gene, and evaluated the effects on cultured cells. The tool was tested on human prostate cancer LNCaP cells, whose HERV-Kenv transcription profile is known. It caused HERV-K(HML-2)env disruption (the first reported of a HERV gene), as evaluated by DNA sequencing, and inhibition of env transcripts and proteins. The HERV-K(HML-2)env disruption was found to interfere with important regulators of cell expression and proliferation, involved in manaling, RNA-binding, and alternative splicing, such as epidermal growth factor receptor (EGF-R), nuclear factor kappa-light-chain-enhancer of activated B cells (NF-κB), SF2/ASF, and TDP-43. These novel findings suggest that HERV-K is not an innocent bystander, they reinforce its links to oncogenesis and motor neuron diseases, and they open potential innovative therapeutic options. Full article
(This article belongs to the Section Animal Viruses)
Show Figures

Figure 1

Back to TopTop