Sign in to use this feature.

Years

Between: -

Subjects

remove_circle_outline
remove_circle_outline
remove_circle_outline
remove_circle_outline
remove_circle_outline
remove_circle_outline
remove_circle_outline
remove_circle_outline
remove_circle_outline

Journals

Article Types

Countries / Regions

Search Results (49)

Search Parameters:
Keywords = Google Glass

Order results
Result details
Results per page
Select all
Export citation of selected articles as:
21 pages, 7848 KB  
Article
Multidimensional Validation of FVC Products over Qinghai–Tibetan Plateau Alpine Grasslands: Integrating Spatial Representativeness Metrics with Machine Learning Optimization
by Junji Li, Jianjun Chen, Xue Cheng, Jiayuan Yin, Qingmin Cheng, Haotian You, Xiaowen Han and Xinhong Li
Remote Sens. 2026, 18(2), 228; https://doi.org/10.3390/rs18020228 - 10 Jan 2026
Viewed by 123
Abstract
Fractional Vegetation Cover (FVC) dynamics on the Qinghai–Tibetan Plateau (QTP) are critical indicators for assessing ecosystem condition. However, uncertainties persist in the accuracy of existing FVC products over the QTP due to retrieval differences, scale effects, and limited validation data. This study utilized [...] Read more.
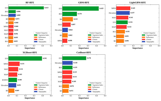
Fractional Vegetation Cover (FVC) dynamics on the Qinghai–Tibetan Plateau (QTP) are critical indicators for assessing ecosystem condition. However, uncertainties persist in the accuracy of existing FVC products over the QTP due to retrieval differences, scale effects, and limited validation data. This study utilized the Google Earth Engine platform to integrate unmanned aerial vehicle (UAV) observations, Sentinel-2, MODIS, climate, and topography datasets, and proposed a comprehensive framework incorporating dual-index screening, machine learning optimization, and multidimensional validation to systematically assess the accuracy of GEOV3, GLASS, and MuSyQ FVC products in the alpine grasslands. The dual-index screening reduced validation uncertainty by improving the spatial representativeness of ground data. To build a high-precision evaluation dataset with limited inter-class coverage, recursive feature elimination and grid search were applied to optimize five ML models, and CatBoost achieved the superior performance (R2 = 0.880, RMSE = 0.122), followed by XGBoost, GBM, LightGBM, and RF models. Four validation scenarios were implemented, including direct validation using 250 m UAV plot FVC and multi-scale validation using a 10 m FVC reference aggregated to product grids. Results show that GEOV3 (R2 = 0.909–0.925, RMSE = 0.082–0.103) outperformed GLASS (R2 = 0.742–0.771, RMSE = 0.138–0.175) and MuSyQ (R2 = 0.739–0.746, RMSE = 0.138–0.181), both of which exhibited systematic underestimation. This framework significantly enhances FVC product validation reliability, providing a robust solution for remote sensing product validation in alpine grassland ecosystems. Full article
Show Figures

Graphical abstract

21 pages, 3053 KB  
Systematic Review
A Systematic Review and Meta-Analysis on the Clinical Performance and Longevity of Bioactive Composite Resin Restorations
by Ahmed A. Holiel, Mounir M. Al Nakouzi, Rim Bourgi, Carlos Enrique Cuevas-Suárez, Iván Olivares Acosta, Louis Hardan, Naji Kharouf and Youssef Haikel
J. Compos. Sci. 2026, 10(1), 39; https://doi.org/10.3390/jcs10010039 - 9 Jan 2026
Viewed by 156
Abstract
Background: Bioactive composite resins combine the esthetic and mechanical properties of resin composites with therapeutic functions such as ion release, remineralization, and caries inhibition. While in vitro studies suggest promising bioactivity, their clinical performance in permanent teeth remains uncertain. Objective: This systematic review [...] Read more.
Background: Bioactive composite resins combine the esthetic and mechanical properties of resin composites with therapeutic functions such as ion release, remineralization, and caries inhibition. While in vitro studies suggest promising bioactivity, their clinical performance in permanent teeth remains uncertain. Objective: This systematic review and meta-analysis critically appraised randomized controlled trials and prospective clinical studies to determine whether bioactive composites offer superior clinical performance compared to conventional resin composites and glass ionomer-based materials. Methods: Electronic databases (PubMed/MEDLINE, Scopus, Web of Science, Google Scholar) were searched for eligible studies (2018–2025). Clinical outcomes assessed restoration survival, marginal integrity, secondary caries, postoperative sensitivity, and esthetic outcomes (color match). Data were pooled using a random-effects model, and risk of bias was assessed with Cochrane criteria. Results: Twenty-two trials met the inclusion criteria. No significant differences were found between bioactive and control restorations for survival/retention (RD = 0.01; 95% CI, –0.01 to 0.03), marginal adaptation (RD = 0.02; 95% CI, –0.02 to 0.06), secondary caries (RD = 0.01; 95% CI, –0.01 to 0.03), or postoperative sensitivity (RD = 0.01; 95% CI, –0.02 to 0.04), with negligible heterogeneity (I2 = 0–4%). For color match, glass ionomer restorations showed significantly poorer outcomes (RD = –0.23; 95% CI, –0.31 to –0.14; p < 0.00001; I2 = 98%), while conventional resin composites had a slight but significant advantage over bioactive composites (RD = 0.07; 95% CI, 0.02 to 0.12; p = 0.003; I2 = 76%). Most studies presented moderate risk of bias and short-term follow-up (<36 months). Conclusions: Current evidence indicates that bioactive composites perform comparably, but not superior, to conventional restoratives in permanent teeth. The discrepancy between laboratory bioactivity and clinical effectiveness highlights the need for long-term, well-designed clinical trials with standardized outcome reporting. Full article
(This article belongs to the Section Composites Manufacturing and Processing)
Show Figures

Figure 1

29 pages, 1732 KB  
Systematic Review
Surveillance of Healthcare-Associated Infections in the WHO African Region: Systematic Review of Literature from 2011 to 2024
by Laetitia Gahimbare, Nathalie K. Guessennd, Claude Mambo Muvunyi, Walter Fuller, Sheick Oumar Coulibaly, Landry Cihambanya, Pierre Claver Kariyo, Olga Perovic, Ambele Judith Mwamelo, Diané Kouao Maxime, Valérie Gbonon, Konan Kouadio Fernique, Babacar Ndoye and Yahaya Ali Ahmed
Antibiotics 2025, 14(12), 1287; https://doi.org/10.3390/antibiotics14121287 - 18 Dec 2025
Viewed by 549
Abstract
Background: Evidence on HAIs in Africa is fairly common. Objectives: The main objective was to identify the surveillance tools used for healthcare–associated infections (HAIs) in countries in the WHO African Region. Secondary objectives focused on the organization of surveillance, the pathogens involved, and [...] Read more.
Background: Evidence on HAIs in Africa is fairly common. Objectives: The main objective was to identify the surveillance tools used for healthcare–associated infections (HAIs) in countries in the WHO African Region. Secondary objectives focused on the organization of surveillance, the pathogens involved, and the frequency of multidrug–resistant species. Inclusion and exclusion criteria: Observational or interventional studies on healthcare–associated infections in humans, published between January 2011 and December 2024, in French or English, were included. However, the following publications were not included: animal studies, healthcare–associated infections not related to healthcare, literature reviews, studies outside the period or geographical area, and studies in languages other than French or English. Sources of information and search date: The databases consulted were PubMed, Web of Science, EMBASE, Cochrane, African Index Medicus, Google Scholar, and AJOL. The search was conducted between January and March 2025. Risk of bias assessment: The risk of bias was assessed using a specific grid (eleven criteria), scored from one (low) to three (high). The studies were classified into three levels of methodological quality. The results of the bias assessment showed that the publications were excellent (strong and moderate) with a cumulative rate of 99.9%. Methods of synthesizing results: Data were extracted using a standardized grid and synthesized narratively. No meta–analysis was performed. Number of studies and characteristics: 95 studies were included, mostly cross–sectional studies (82.1%), cohorts (10.4%), and a few case reports. Most were from West Africa (60.0%), particularly Nigeria (16.8%) and South Africa (14.7%). Main results: • Most common pathogens: Staphylococcus aureus (53.7%), Escherichia coli (43.2%), Klebsiella pneumoniae (32.6%). • Resistance profile: ESBL (27.4%), MRSA (21.1%), multidrug resistance (13.7%). • Sources of HAIs: mainly exogenous (83.2%). • Laboratory methods: phenotypic (70.5%), genotypic or genomic rare (3.1%). • Scope of studies: local (96.8%), national (3.2%). Limitations of evidence: Risk of bias due to underreporting of HAIs, methodological heterogeneity, predominance of cross–sectional studies, low use of molecular methods, lack of modeling, and uneven geographical coverage. Overall interpretation and implications: surveillance of HAIs in Africa remains fragmented and poorly standardized. There is a need to strengthen national systems, integrate molecular methods, train professionals, and promote interventional research. The WHO GLASS program can serve as a framework for harmonizing surveillance. Full article
Show Figures

Figure 1

20 pages, 1279 KB  
Systematic Review
Synthetic Biomaterials for Alveolar Bone Regeneration: A Systematic Review of Clinical Evidence
by Beatrice Bozza, Paolo Pesce, Domenico Baldi, Francesco Bagnasco, Marco Migliorati and Nicola De Angelis
Materials 2025, 18(23), 5328; https://doi.org/10.3390/ma18235328 - 26 Nov 2025
Viewed by 833
Abstract
Background: Alveolar bone resorption remains a major challenge in implant and prosthetic rehabilitation. While autologous bone grafts are still considered the gold standard, their biological and surgical limitations have promoted the use of synthetic biomaterials such as biphasic calcium phosphate (BCP), β-tricalcium phosphate [...] Read more.
Background: Alveolar bone resorption remains a major challenge in implant and prosthetic rehabilitation. While autologous bone grafts are still considered the gold standard, their biological and surgical limitations have promoted the use of synthetic biomaterials such as biphasic calcium phosphate (BCP), β-tricalcium phosphate (β-TCP), nanocrystalline hydroxyapatite, and bioactive glass. Methods: This systematic review, conducted in accordance with PRISMA guidelines, was based on a comprehensive search performed in March 2025 across PubMed, MEDLINE, Embase, and Google Scholar. A total of 11 clinical studies—including both randomized and non-randomized comparative trials—were identified. Due to the marked heterogeneity of study designs and outcome measures, meta-analysis was not feasible. Reported outcomes focused on bone volume preservation, residual biomaterial, implant stability, histological integration, and postoperative complications. Results: Overall, synthetic biomaterials achieved satisfactory bone regeneration and implant stability, with mean bone preservation ranging between 85% and 95%, often comparable to xenografts and other grafting materials. Among the materials analyzed, β-TCP and BCP generally demonstrated superior resorption control and dimensional stability, while bioactive glass showed favorable integration and remodeling rates. The addition of bioactive agents such as rhBMP-2, rhPDGF-BB, or platelet-rich plasma further enhanced new bone formation. Conclusions: Within the limits of current evidence, synthetic biomaterials show clinical performance comparable to xenografts, particularly in socket preservation and ridge augmentation procedures. Their predictable handling, absence of donor-site morbidity, and potential for bioactive enhancement make them valuable tools for routine clinical use. Larger, standardized trials with long-term follow-up are needed to validate these findings and refine material selection in alveolar bone regeneration. Full article
(This article belongs to the Special Issue Biomaterials in Periodontology and Implant Dentistry)
Show Figures

Figure 1

23 pages, 1124 KB  
Review
Health Effects of Ergonomics and Personal Protective Equipment on Chemotherapy Professionals
by Ana Reis, Vítor Silva, João José Joaquim, Luís Valadares, Cristiano Matos, Carolina Valeiro, Ramona Mateos-Campos and Fernando Moreira
Curr. Oncol. 2025, 32(10), 563; https://doi.org/10.3390/curroncol32100563 - 8 Oct 2025
Viewed by 1758
Abstract
(1) Background: With the increasing incidence of cancer, the need for handling cytotoxic drugs has also grown. However, manipulating these drugs exposes healthcare professionals to significant risks, including occupational exposure to hazardous chemicals. Therefore, it is important to adopt protective measures, including personal [...] Read more.
(1) Background: With the increasing incidence of cancer, the need for handling cytotoxic drugs has also grown. However, manipulating these drugs exposes healthcare professionals to significant risks, including occupational exposure to hazardous chemicals. Therefore, it is important to adopt protective measures, including personal protective equipment (PPE) and correct ergonomic practices, to ensure safe drug preparation and minimize health risks for the operators. However, while chemical exposure and PPE have been extensively addressed in the literature, the combined impact of ergonomic practices and protective measures remains insufficiently emphasized, representing a critical gap this review aims to address. Accordingly, the objective of this literature review was to analyze the ergonomic and individual protection practices during the handling of cytostatic drugs and all the implications that bad ergonomic practices and/or poor individual protection have on the operator’s health; (2) Methods: In order to perform this integrative review, a structured literature search was conducted using online databases (Web of Science®, Google Scholar®, and PubMed®) from January 2005 to June 2025. (3) Results: A total of 19 articles were analyzed, with 17 focusing on PPE and 17 on ergonomics. The findings emphasize that PPE, such as gloves, masks, gowns, sleeves and safety glasses, plays a critical role in the safe handling of cytotoxic drugs, particularly when combined with other safety measures. Additionally, maintaining correct ergonomic posture is important in preventing musculoskeletal disorders; (4) Conclusions: This review emphasizes the significance of integrating appropriate PPE use with sound ergonomic procedures. Although PPE is still the secondary line of defense against occupational exposure, ergonomic issues must also be addressed to avoid chronic musculoskeletal problems. Continuous training, rigorous attention to safety procedures, and ergonomic enhancements should be prioritized by healthcare facilities as a key element of occupational safety programs to reduce the short-term and long-term health hazards for personnel handling dangerous drugs. Full article
Show Figures

Figure 1

37 pages, 9734 KB  
Review
Valorization of River Sediments in Sustainable Cementitious Gel Materials: A Review of Characteristics, Activation, and Performance
by Yuanxun Zheng, Yuxiao Xie, Yu Zhang, Cong Wan, Li Miao and Peng Zhang
Gels 2025, 11(9), 755; https://doi.org/10.3390/gels11090755 - 18 Sep 2025
Viewed by 775
Abstract
River sediments have attracted increasing attention as alternative raw materials for sustainable cementitious materials due to their abundant availability and silica–alumina-rich composition. In this study, a systematic literature search was conducted in Web of Science and Google Scholar using combinations of the keywords [...] Read more.
River sediments have attracted increasing attention as alternative raw materials for sustainable cementitious materials due to their abundant availability and silica–alumina-rich composition. In this study, a systematic literature search was conducted in Web of Science and Google Scholar using combinations of the keywords “river sediment,” “cementitious materials,” “activation,” and “pozzolanic activity,” covering publications up to July 2025. In addition, a citation network tool (Connected Papers) was employed to trace related works and ensure comprehensive coverage of emerging studies. This review systematically examines the properties of river sediments from diverse regions, along with activation and modification techniques such as alkali/acid activation, thermal calcination, and mechanical milling. Their applications in various cementitious systems are analyzed, with mix design models compared to elucidate the effects of replacing fine aggregates, coarse aggregates, and cement on workability, strength, and durability. Multi-scale characterization via XRD, FTIR, and TG-DSC reveals the mechanisms of C–S–H and C–A–S–H gel formation, pore refinement, and interfacial transition zone densification. The review highlights three key findings: (1) moderate sediment replacement (20–30%) improves strength without compromising flowability; (2) alkali–water glass activation and calcination at 600–850 °C effectively enhance pozzolanic activity; and (3) combining the minimum paste thickness theory with additives such as water reducers, fibers, or biochar enables high-performance and low-carbon concrete design. This review provides a comprehensive theoretical foundation and technical pathway for the high-value utilization of river sediments, carbon reduction in concrete, and sustainable resource recycling. Full article
(This article belongs to the Special Issue Synthesis, Properties, and Applications of Novel Polymer-Based Gels)
Show Figures

Figure 1

31 pages, 924 KB  
Review
Soilless Growing Media for Cannabis Cultivation
by Matěj Malík and Pavel Tlustoš
Agriculture 2025, 15(18), 1955; https://doi.org/10.3390/agriculture15181955 - 16 Sep 2025
Cited by 1 | Viewed by 4066
Abstract
Standardized pharmaceutical-grade cultivation of Cannabis sativa L. increasingly relies on soilless systems for precision, reproducibility, and regulatory compliance. This review examines the role of inert and semi-inert growing media in indoor cannabis production, focusing on their physical properties, agronomic performance, and sustainability. A [...] Read more.
Standardized pharmaceutical-grade cultivation of Cannabis sativa L. increasingly relies on soilless systems for precision, reproducibility, and regulatory compliance. This review examines the role of inert and semi-inert growing media in indoor cannabis production, focusing on their physical properties, agronomic performance, and sustainability. A systematic literature search was conducted using databases such as Scopus, Web of Science, and Google Scholar, emphasizing peer-reviewed original research, experimental trials, and relevant review articles. Evaluated substrates include rockwool, coconut coir, peat-based blends, perlite, vermiculite, expanded clay, foamed glass, phenolic foam, and biochar. Findings show that substrate selection strongly affects vegetative growth, rooting, and flower yield, while cannabinoid concentrations remain primarily genotype-driven under stable environmental and nutritional conditions. Substrate-specific traits such as aeration, water-holding capacity, and nutrient buffering significantly influence biomass production and resource-use efficiency. Rockwool remains the industry standard due to its uniformity and compatibility with fertigation systems, but renewable alternatives like coconut coir and biochar are gaining traction. This review underscores the importance of substrate selection in cannabis cultivation and identifies research gaps in genotype-specific responses and the development of sustainable growing media. Full article
Show Figures

Graphical abstract

13 pages, 2231 KB  
Article
Comparison of Composite Materials Designed to Optimize Heterogeneous Decatungstate Oxidative Photocatalysis
by Julia Ong, Benjamin Cajka and Juan C. Scaiano
Molecules 2025, 30(17), 3597; https://doi.org/10.3390/molecules30173597 - 3 Sep 2025
Cited by 1 | Viewed by 1437
Abstract
Catalysis plays a pivotal role in green chemistry practices, particularly in reducing waste generated during chemical synthesis. Decatungstate (DT) emerges as a potent photocatalyst for Type I oxidations, exhibiting remarkable resilience to oxygen quenching, a characteristic that sets it apart from other excited [...] Read more.
Catalysis plays a pivotal role in green chemistry practices, particularly in reducing waste generated during chemical synthesis. Decatungstate (DT) emerges as a potent photocatalyst for Type I oxidations, exhibiting remarkable resilience to oxygen quenching, a characteristic that sets it apart from other excited triplet state photocatalysts. While homogeneous DT catalysis demonstrates effectiveness, its solubility poses challenges for its separation and recycling. To address these limitations, we focus on the development and comparison of heterogeneous DT photocatalysts, aiming to optimize their yield, recovery, and reusability. We synthesized tetrabutylammonium decatungstate (TBADT)-supported catalysts using silica, alumina, titanium dioxide, and glass wool and characterized them using diffuse reflectance measurements. Subsequently, we evaluated their photocatalytic performance by monitoring the oxidation of 1-phenylethanol and cyclohexanol under UVA irradiation. Our findings reveal that TBADT@silica emerges as the most effective catalyst, achieving approximately 20% conversion of cyclohexanol and 50% conversion of 1-phenylethanol with good reusability. Interestingly, we observed that 3-aminopropyl-triethoxysilane (APTES) treatment, intended to enhance DT anchoring, unexpectedly quenches the 3DT* triplet state, reducing catalytic activity. This unexpected finding underscores the importance of careful consideration in designing robust and recyclable heterogeneous decatungstate catalysts. Our research contributes significantly to the advancement of heterogeneous photocatalysis, paving the way for future applications in flow photochemistry. Further, we share a Python code (Google 3.12.11) to correct spectra obtained in Cary spectrometers. Full article
(This article belongs to the Special Issue Nanomaterials in Photochemical Devices: Advances and Applications)
Show Figures

Figure 1

16 pages, 493 KB  
Review
Educational Discrimination and Challenges of Inclusion During the Pandemic: The Case of Students with Autism Spectrum Disorder (ASD) from an International Perspective
by José Jesús Sánchez Amate, Antonio Luque de la Rosa and Pedro Tadeu
Brain Sci. 2025, 15(8), 848; https://doi.org/10.3390/brainsci15080848 - 8 Aug 2025
Viewed by 1570
Abstract
Background: The COVID-19 pandemic exposed the fragility of educational systems in ensuring inclusive schooling, especially for students with Autism Spectrum Disorder (ASD). Disruptions to daily routines, the shift to remote learning, and the suspension of specialized services intensified pre-existing inequalities and affected the [...] Read more.
Background: The COVID-19 pandemic exposed the fragility of educational systems in ensuring inclusive schooling, especially for students with Autism Spectrum Disorder (ASD). Disruptions to daily routines, the shift to remote learning, and the suspension of specialized services intensified pre-existing inequalities and affected the educational continuity and well-being of this group. Methods: This narrative review analyzes the educational discrimination experienced by students with ASD during the pandemic. A structured search was conducted across databases including Scopus, Web of Science, PubMed, ERIC, Dialnet, and Google Scholar. Sixteen empirical studies published between 2020 and 2024 were selected based on criteria such as open access, focus on compulsory education, and direct analysis of pandemic-related exclusion. Results: The findings reveal four key challenges: unequal access to digital resources, the interruption of support services, increased family burden, and limited institutional responses. These factors contributed to emotional distress, regression in skills, and reduced participation in educational and social settings. Conclusions: The review concludes that the pandemic acted as a magnifying glass for structural barriers already present in inclusive education. Moving forward, educational systems must develop flexible, sustainable, and equity-oriented frameworks to ensure that students with ASD are not left behind during future crises. Full article
Show Figures

Figure 1

14 pages, 239 KB  
Article
The Willingness to Pay for Non-Alcoholic Beer: A Survey on the Sociodemographic Factors and Consumption Behavior of Italian Consumers
by Antonietta Baiano
Foods 2025, 14(13), 2399; https://doi.org/10.3390/foods14132399 - 7 Jul 2025
Cited by 2 | Viewed by 2101
Abstract
The Italian market for non-alcoholic beer is very small, with a volume per capita of around 0.7 L. However, there are interesting prospects for future growth for reasons ranging from strict traffic code rules on the quantity of alcohol ingested to simple curiosity. [...] Read more.
The Italian market for non-alcoholic beer is very small, with a volume per capita of around 0.7 L. However, there are interesting prospects for future growth for reasons ranging from strict traffic code rules on the quantity of alcohol ingested to simple curiosity. This research aimed to investigate the willingness of Italian consumers/potential consumers to pay for non-alcoholic beer. To accomplish this, a questionnaire was administered using the Google Forms application. Three hundred and ninety-two people participated in this survey voluntarily and without monetary compensation. A probit regression model was used to estimate the impact of certain sociodemographic characteristics (number of inhabitants of the place of residence, region of residence, age group, gender, education level, employment situation, and annual net income), participants’ consumption habits with respect to alcoholic beer, and participants’ knowledge of and preference for non-alcoholic beers with respect to willingness to pay for non-alcoholic beers. The prices respondents were willing to pay ranged from EUR 1.51 to 2.00 for a 33 cL glass bottle. Only two factors significantly affected (p < 0.1) non-alcoholic beer WTP, namely, “Age” and “Non-alcoholic beer color”. WTP decreased as the age of the respondents increased and was higher for the darker beer. Full article
(This article belongs to the Section Sensory and Consumer Sciences)
30 pages, 14460 KB  
Review
Antibacterial Ceramics for Dental Applications
by Lubica Hallmann and Mark-Daniel Gerngross
Appl. Sci. 2025, 15(8), 4553; https://doi.org/10.3390/app15084553 - 21 Apr 2025
Cited by 2 | Viewed by 2034
Abstract
Background: The aim of this review was to evaluate the antibacterial properties of functionalized bioceramics for dental applications. Methods: The electronic databases PubMed, Medline, ProQuest, and Google Scholar were used to search for peer-reviewed scientific publications published between 2020 and 2025 that provide [...] Read more.
Background: The aim of this review was to evaluate the antibacterial properties of functionalized bioceramics for dental applications. Methods: The electronic databases PubMed, Medline, ProQuest, and Google Scholar were used to search for peer-reviewed scientific publications published between 2020 and 2025 that provide insights to answer research questions related to the role of antibacterial-functionalized bioceramics in combating pathogens in dentistry without triggering immune reactions and inflammation, as well as on their efficacy against various pathogens and whether understanding the antibacterial mechanism can promote the development of glass-ceramic and bioceramic with long-term antibacterial activity. The keywords used to answer the research questions were: bioglass, bioceramic, biocompatible, antibacterial, osseointegration, implant, and bioactive materials. Results: Bacterial infections play a key role in the longevity of medical devices. A crucial problem is drug-resistant bacteria. Antibacterial ceramics have received great attention recently because of their long-term antibacterial activity, good mechanical properties, good biocompatibility, and bioactivity. This review provides a detailed examination of the complex interactions between bacteria, immune cells, and bioceramics from a clinical perspective. The focus of the researchers is on developing new-generation bioceramics with multifunctionality, in particular with antibacterial properties that are independent of conventional antibiotics. The highlight of this review is the exploration of bioceramics with dual functions such as antibacterial and bioactive properties, promoting bone regeneration and antibacterial activity, which have the potential to revolutionize implant technology. Another research focus is modifying the implant surface from hydrophilic to hydrophobic in order to increase the antibacterial activity of bioceramics. Conclusions: The aim of this review is to help researchers understand the current state-of-the-art antibacterial activities of bioceramics, which could promote the development of antibacterial ceramics and their clinical application. Full article
Show Figures

Figure 1

36 pages, 6781 KB  
Article
A Comparative Study of Azure Custom Vision Versus Google Vision API Integrated into AI Custom Models Using Object Classification for Residential Waste
by Cosmina-Mihaela Rosca, Adrian Stancu and Marius Radu Tănase
Appl. Sci. 2025, 15(7), 3869; https://doi.org/10.3390/app15073869 - 1 Apr 2025
Cited by 13 | Viewed by 2436
Abstract
The residential separate collection of waste is the first stage in waste recyclability for sustainable development. The paper focuses on designing and implementing a low-cost residential automatic waste sorting bin (RBin) for recycling, alleviating the user’s classification burden. Next, an analysis of two [...] Read more.
The residential separate collection of waste is the first stage in waste recyclability for sustainable development. The paper focuses on designing and implementing a low-cost residential automatic waste sorting bin (RBin) for recycling, alleviating the user’s classification burden. Next, an analysis of two object identification and classification models was conducted to sort materials into the categories of cardboard, glass, plastic, and metal. A major challenge in sorting classification is distinguishing between glass and plastic due to their similar visual characteristics. The research assesses the performance of the Azure Custom Vision Service (ACVS) model, which achieves high accuracy on training data but underperforms in real-time applications, with an accuracy of 95.13%. In contrast, the second model, the Custom Waste Sorting Model (CWSM), demonstrates high accuracy (96.25%) during training and proves to be effective in real-time applications. The CWSM uses a two-tier approach, first identifying the object descriptively using the Google Vision API Service (GVAS) model, followed by classification through the CWSM, a predicate-based custom model. The CWSM employs the LbfgsMaximumEntropyMulti algorithm and a dataset of 1000 records for training, divided equally across the categories. This study proposes an innovative evaluation metric, the Weighted Classification Confidence Score (WCCS). The results show that the CWSM outperforms ACVS in real-world testing, achieving a real accuracy of 99.75% after applying the WCCS. The paper explores the importance of customized models over pre-implemented services when the model uses characteristics and not pixel-by-pixel examination. Full article
Show Figures

Figure 1

16 pages, 3249 KB  
Article
Explainable Artificial Intelligence and Deep Learning Methods for the Detection of Sickle Cell by Capturing the Digital Images of Blood Smears
by Neelankit Gautam Goswami, Niranjana Sampathila, Giliyar Muralidhar Bairy, Anushree Goswami, Dhruva Darshan Brp Siddarama and Sushma Belurkar
Information 2024, 15(7), 403; https://doi.org/10.3390/info15070403 - 12 Jul 2024
Cited by 6 | Viewed by 5237
Abstract
A digital microscope plays a crucial role in the better and faster diagnosis of an abnormality using various techniques. There has been significant development in this domain of digital pathology. Sickle cell disease (SCD) is a genetic disorder that affects hemoglobin in red [...] Read more.
A digital microscope plays a crucial role in the better and faster diagnosis of an abnormality using various techniques. There has been significant development in this domain of digital pathology. Sickle cell disease (SCD) is a genetic disorder that affects hemoglobin in red blood cells. The traditional method for diagnosing sickle cell disease involves preparing a glass slide and viewing the slide using the eyepiece of a manual microscope. The entire process thus becomes very tedious and time consuming. This paper proposes a semi-automated system that can capture images based on a predefined program. It has an XY stage for moving the slide horizontally or vertically and a Z stage for focus adjustments. The case study taken here is of SCD. The proposed hardware captures SCD slides, which are further used to classify them with respect to normal. They are processed using deep learning models such as Darknet-19, ResNet50, ResNet18, ResNet101, and GoogleNet. The tested models demonstrated strong performance, with most achieving high metrics across different configurations varying with an average of around 97%. In the future, this semi-automated system will benefit pathologists and can be used in rural areas, where pathologists are in short supply. Full article
(This article belongs to the Special Issue Artificial Intelligence and Data Science for Health)
Show Figures

Figure 1

19 pages, 1626 KB  
Article
Use of Smart Glasses (Assisted Reality) for Western Australian X-ray Operators’ Continuing Professional Development: A Pilot Study
by Curtise K. C. Ng, Moira Baldock and Steven Newman
Healthcare 2024, 12(13), 1253; https://doi.org/10.3390/healthcare12131253 - 24 Jun 2024
Cited by 4 | Viewed by 2192
Abstract
Previous studies have explored use of smart glasses in telemedicine, but no study has investigated its use in teleradiography. The purpose of this study was to implement a six-month pilot program for Western Australian X-ray operators (XROs) to use smart glasses to obtain [...] Read more.
Previous studies have explored use of smart glasses in telemedicine, but no study has investigated its use in teleradiography. The purpose of this study was to implement a six-month pilot program for Western Australian X-ray operators (XROs) to use smart glasses to obtain assisted reality support in their radiography practice from their supervising radiographers, and evaluate its effectiveness in terms of XROs’ competence improvement and equipment usability. Pretest–posttest design with evaluation of the XROs’ competence (including their X-ray image quality) and smart glasses usability by XROs in two remote centers and their supervising radiographers from two sites before and after the program using four questionnaire sets and X-ray image quality review was employed in this experimental study. Paired t-test was used for comparing mean values of the pre- and post-intervention pairs of 11-point scale questionnaire and image quality review items to determine any XROs’ radiography competence improvements. Content analysis was used to analyze open questions about the equipment usability. Our study’s findings based on 13 participants (11 XROs and 2 supervising radiographers) and 2053 X-ray images show that the assisted reality support helped to improve the XROs’ radiography competence (specifically X-ray image quality), with mean post-intervention competence values of 6.16–7.39 (out of 10) and statistical significances (p < 0.001–0.05), and the equipment was considered effective for this purpose but not easy to use. Full article
(This article belongs to the Special Issue Virtual Reality Technologies in Health Care)
Show Figures

Figure 1

15 pages, 835 KB  
Review
Contemporary Concepts of Adhesive Cementation of Glass-Fiber Posts: A Narrative Review
by Panayiotis Tsolomitis, Sofia Diamantopoulou and Efstratios Papazoglou
J. Clin. Med. 2024, 13(12), 3479; https://doi.org/10.3390/jcm13123479 - 14 Jun 2024
Cited by 5 | Viewed by 6902
Abstract
(1) Background: Cementation of glass fiber posts to root canals has been associated with various failures, especially debonding. This narrative review aims to present the contemporary concepts concerning the adhesive cementation of glass fiber post and to discuss the optimal management of these [...] Read more.
(1) Background: Cementation of glass fiber posts to root canals has been associated with various failures, especially debonding. This narrative review aims to present the contemporary concepts concerning the adhesive cementation of glass fiber post and to discuss the optimal management of these factors. (2) Methods: Electronic search was performed in MEDLINE/Pub Med and Google Scholar using selected keywords examining the parameters post length, surface treatment of glass fiber posts, post space preparation and dentin pretreatment, resin cement selection, adhesive systems and hybrid layer formation, and clinical techniques. (3) Results: The search led to the selection of 44 articles. Epoxy resin-based endodontic sealers are recommended and the use of temporary cement in the root canal should be avoided. The minimum length of a glass fiber post adhesively cemented to a root canal is 5 mm. Irrigating the root canals with chlorhexidine, MTAD, or EDTA (alone or in combination with NaOCl) after post space preparation seems to enhance the bond strength. Silane application on the surface of the post seems to be beneficial. Concerning resin cements and adhesive systems, the results were rather inconclusive. Finally, resin cement should be applied inside the root canal with an elongation tip and photoactivation should be delayed. (4) Conclusions: Contemporary concepts of adhesive cementation of glass fiber posts can indeed improve the bond between glass fiber posts, resin cement, and root canal dentin, however, evidence coming from long-term randomized prospective clinical trials is needed in order to obtain safer conclusions. Full article
(This article belongs to the Special Issue Modern Patient-Centered Dental Care)
Show Figures

Figure 1

Back to TopTop