Sign in to use this feature.

Years

Between: -

Subjects

remove_circle_outline
remove_circle_outline
remove_circle_outline
remove_circle_outline
remove_circle_outline
remove_circle_outline

Journals

Article Types

Countries / Regions

Search Results (24)

Search Parameters:
Keywords = Gerasimov-Caputo derivative

Order results
Result details
Results per page
Select all
Export citation of selected articles as:
22 pages, 350 KB  
Review
Fractional Calculus in Physics: A Brief Review of Fundamental Formalisms
by Cresus Fonseca de Lima Godinho and Ion Vasile Vancea
Mathematics 2025, 13(22), 3643; https://doi.org/10.3390/math13223643 - 13 Nov 2025
Viewed by 743
Abstract
Fractional calculus provides powerful tools for modeling nonlocality, dissipative systems, and, when defined in the time representation, provides an interesting memory effect in mathematical physics. In this paper, we review four standard fractional approaches: the Riemann–Liouville, Gerasimov–Caputo, Grünwald–Letnikov, and Riesz formulations. We present [...] Read more.
Fractional calculus provides powerful tools for modeling nonlocality, dissipative systems, and, when defined in the time representation, provides an interesting memory effect in mathematical physics. In this paper, we review four standard fractional approaches: the Riemann–Liouville, Gerasimov–Caputo, Grünwald–Letnikov, and Riesz formulations. We present their definitions, basic properties, Weyl–Marchaud, and physical interpretations. We also give a brief review of related operators that have been used recently in applications but have received less attention in the physical literature: the fractional Laplacian, conformable derivatives, and the Fractional Action-Like Variational Approach (FALVA) for variational principles with fractional action weights. Our emphasis is on how these operators are, and can be, applied in physical problems rather than on exhaustive coverage of the field. This review is intended as an accessible introduction for physicists working in diverse areas interested in fractional calculus and fractional methods. For deeper technical or domain-specific treatments, readers are encouraged to consult the works in the corresponding fields, for which the bibliography suggests a starting point. Full article
(This article belongs to the Section E4: Mathematical Physics)
29 pages, 2147 KB  
Article
An Analysis of the Computational Complexity and Efficiency of Various Algorithms for Solving a Nonlinear Model of Radon Volumetric Activity with a Fractional Derivative of a Variable Order
by Dmitrii Tverdyi
Computation 2025, 13(11), 252; https://doi.org/10.3390/computation13110252 - 2 Nov 2025
Viewed by 319
Abstract
The article presents a study of the computational complexity and efficiency of various parallel algorithms that implement the numerical solution of the equation in the hereditary α(t)-model of radon volumetric activity (RVA) in a storage chamber. As a test [...] Read more.
The article presents a study of the computational complexity and efficiency of various parallel algorithms that implement the numerical solution of the equation in the hereditary α(t)-model of radon volumetric activity (RVA) in a storage chamber. As a test example, a problem based on such a model is solved, which is a Cauchy problem for a nonlinear fractional differential equation with a Gerasimov–Caputo derivative of a variable order and variable coefficients. Such equations arise in problems of modeling anomalous RVA variations. Anomalous RVA can be considered one of the short-term precursors to earthquakes as an indicator of geological processes. However, the mechanisms of such anomalies are still poorly understood, and direct observations are impossible. This determines the importance of such mathematical modeling tasks and, therefore, of effective algorithms for their solution. This subsequently allows us to move on to inverse problems based on RVA data, where it is important to choose the most suitable algorithm for solving the direct problem in terms of computational resource costs. An analysis and an evaluation of various algorithms are based on data on the average time taken to solve a test problem in a series of computational experiments. To analyze effectiveness, the acceleration, efficiency, and cost of algorithms are determined, and the efficiency of CPU thread loading is evaluated. The results show that parallel algorithms demonstrate a significant increase in calculation speed compared to sequential analogs; hybrid parallel CPU–GPU algorithms provide a significant performance advantage when solving computationally complex problems, and it is possible to determine the optimal number of CPU threads for calculations. For sequential and parallel algorithms implementing numerical solutions, asymptotic complexity estimates are given, showing that, for most of the proposed algorithm implementations, the complexity tends to be n2 in terms of both computation time and memory consumption. Full article
(This article belongs to the Section Computational Engineering)
Show Figures

Figure 1

13 pages, 341 KB  
Article
Analysis of a Finite Difference Method for a Time-Fractional Black–Scholes Equation
by Qingzhao Li, Chaobao Huang, Tao Sun and Hu Chen
Fractal Fract. 2025, 9(10), 665; https://doi.org/10.3390/fractalfract9100665 - 16 Oct 2025
Viewed by 574
Abstract
The goal of this paper is to give an error analysis of a finite difference method for a time-fractional Black–Scholes equation with weakly singular solutions. The time Gerasimov-Caputo derivative is discretized by the L1 scheme on a graded mesh designed to compensate for [...] Read more.
The goal of this paper is to give an error analysis of a finite difference method for a time-fractional Black–Scholes equation with weakly singular solutions. The time Gerasimov-Caputo derivative is discretized by the L1 scheme on a graded mesh designed to compensate for the initial singularities, and a standard finite difference method is used for spatial discretization on a uniform mesh. A discrete comparison principle is presented for the fully discrete scheme, and stability and convergence of the scheme in maximum norm are established by constructing some appropriate barrier functions. Furthermore, an α-robust pointwise error estimate of the fully discrete scheme on a uniform mesh is given. Finally, some numerical results are presented to show the sharpness of the error estimate. Full article
Show Figures

Figure 1

17 pages, 333 KB  
Article
Hille–Yosida-Type Theorem for Fractional Differential Equations with Dzhrbashyan–Nersesyan Derivative
by Vladimir E. Fedorov, Wei-Shih Du, Marko Kostić, Marina V. Plekhanova and Darya V. Melekhina
Fractal Fract. 2025, 9(8), 499; https://doi.org/10.3390/fractalfract9080499 - 30 Jul 2025
Viewed by 777
Abstract
It is a well-known fact that the Dzhrbashyan–Nersesyan fractional derivative includes as particular cases the fractional derivatives of Riemann–Liouville, Gerasimov–Caputo, and Hilfer. The notion of resolving a family of operators for a linear equation with the Dzhrbashyan–Nersesyan fractional derivative is introduced here. Hille–Yosida-type [...] Read more.
It is a well-known fact that the Dzhrbashyan–Nersesyan fractional derivative includes as particular cases the fractional derivatives of Riemann–Liouville, Gerasimov–Caputo, and Hilfer. The notion of resolving a family of operators for a linear equation with the Dzhrbashyan–Nersesyan fractional derivative is introduced here. Hille–Yosida-type theorem on necessary and sufficient conditions of the existence of a strongly continuous resolving family of operators is proved using Phillips-type approximations. The conditions concern the location of the resolvent set and estimates for the resolvent of a linear closed operator A at the unknown function in the equation. The existence of a resolving family means the existence of a solution for the equation under consideration. For such equation with an operator A satisfying Hille–Yosida-type conditions the uniqueness of a solution is shown also. The obtained results are illustrated by an example for an equation of the considered form in a Banach space of sequences. It is shown that such a problem in a space of sequences is equivalent to some initial boundary value problems for partial differential equations. Thus, this paper obtains key results that make it possible to determine the properties of the initial value problem involving the Dzhrbashyan–Nersesyan derivative by examining the properties of the operator in the equation; the results prove the existence and uniqueness of the solution and the correctness of the problem. Full article
(This article belongs to the Special Issue Fractional Systems, Integrals and Derivatives: Theory and Application)
10 pages, 1916 KB  
Article
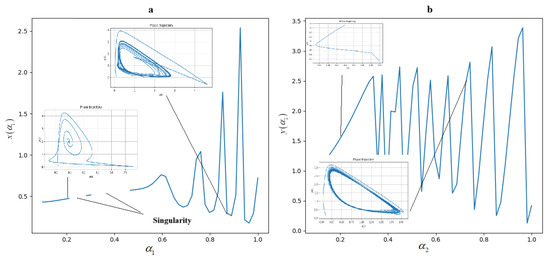
Selkov’s Dynamic System of Fractional Variable Order with Non-Constant Coefficients
by Roman Parovik
Mathematics 2025, 13(3), 372; https://doi.org/10.3390/math13030372 - 23 Jan 2025
Cited by 2 | Viewed by 1000
Abstract
This article uses an approach based on the triad model–algorithm–program. The model is a nonlinear dynamic Selkov system with non-constant coefficients and fractional derivatives of the Gerasimov–Caputo type. The Adams–Bashforth–Multon numerical method from the predictor–corrector family of methods is selected as an algorithm [...] Read more.
This article uses an approach based on the triad model–algorithm–program. The model is a nonlinear dynamic Selkov system with non-constant coefficients and fractional derivatives of the Gerasimov–Caputo type. The Adams–Bashforth–Multon numerical method from the predictor–corrector family of methods is selected as an algorithm for studying this system. The ABMSelkovFracSim 1.0 software package acts as a program, in which a numerical algorithm with the ability to visualize the research results is implemented to build oscillograms and phase trajectories. Examples of the ABMSelkovFracSim 1.0 software package operation for various values of the model parameters are given. It is shown that with an increase in the values of the parameter responsible for the characteristic time scale, regular and chaotic modes are observed. Further in this work, bifurcation diagrams are constructed, which confirm this. Aperiodic modes are also detected and a singularity is revealed. Full article
(This article belongs to the Section C2: Dynamical Systems)
Show Figures

Figure 1

23 pages, 2271 KB  
Article
Estimation of Radon Flux Density Changes in Temporal Vicinity of the Shipunskoe Earthquake with Mw = 7.0, 17 August 2024 with the Use of the Hereditary Mathematical Model
by Dmitrii Tverdyi, Evgeny Makarov and Roman Parovik
Geosciences 2025, 15(1), 30; https://doi.org/10.3390/geosciences15010030 - 16 Jan 2025
Cited by 4 | Viewed by 1254
Abstract
Using the data of radon accumulation in a chamber with excess volume at one of the points of the Kamchatka subsurface gas-monitoring network, the change in radon flux density due to seismic waves and post-seismic relaxation of the medium is shown. A linear [...] Read more.
Using the data of radon accumulation in a chamber with excess volume at one of the points of the Kamchatka subsurface gas-monitoring network, the change in radon flux density due to seismic waves and post-seismic relaxation of the medium is shown. A linear fractional equation is considered to be a model equation. The change of radon-transport intensity due to changes in the state of the geo-environment is described by a fractional Gerasimov–Caputo derivative of constant order. Presumably, the order of the fractional derivative is related to the radon-transport intensity in the geosphere. Using the Levenberg–Marquardt method, the optimal values of the model parameters were determined based on experimental data: air exchange coefficient and order of fractional derivative, which allowed the solving of the problems of radon flux density determination. Data in the temporal neighborhood of a strong earthquake with Mw=7.0, which occurred in the northern part of Avacha Bay on 17 August 2024, were used. As a result of the modeling, it is shown that the strong seismic impact and subsequent processes led to changes in the radon flux in the accumulation chamber. The obtained model curves agree well with the real data, and the obtained estimates of radon flux density agree with the theory. Full article
(This article belongs to the Section Natural Hazards)
Show Figures

Figure 1

36 pages, 10932 KB  
Review
Dubovsky’s Class of Mathematical Models for Describing Economic Cycles with Heredity Effects
by Danil Makarov, Roman Parovik and Zafar Rakhmonov
Fractal Fract. 2025, 9(1), 19; https://doi.org/10.3390/fractalfract9010019 - 31 Dec 2024
Viewed by 1355
Abstract
The article is devoted to the study of economic cycles and crises, which are studied within the framework of the theory of N.D. Kondratiev long waves (K-waves). The object of the study is the fractional mathematical models of S. V. Dubovsky, consisting of [...] Read more.
The article is devoted to the study of economic cycles and crises, which are studied within the framework of the theory of N.D. Kondratiev long waves (K-waves). The object of the study is the fractional mathematical models of S. V. Dubovsky, consisting of two nonlinear differential equations of fractional order and describing the dynamics of the efficiency of new technologies and the efficiency of capital productivity, taking into account constant and variable heredity. Fractional mathematical models also take into account the dependence of the rate of accumulation on capital productivity and the influx of external investment and new technological solutions. The effects of heredity lead to a delayed effect of the response of the system in question to the impact. The property of heredity in mathematical models is taken into account using fractional derivatives of constant and variable orders in the sense of Gerasimov–Caputo. The fractional mathematical models of S. V. Dubovsky are further studied numerically using the Adams–Bashforth–Moulton algorithm. Using a numerical algorithm, oscillograms and phase trajectories were constructed for various values and model parameters. It is shown that the fractional mathematical models of S. V. Dubovsky may have limit cycles, which are not always stable. Full article
(This article belongs to the Section Mathematical Physics)
Show Figures

Figure 1

10 pages, 1255 KB  
Article
Sturm-Liouville Problem with Mixed Boundary Conditions for a Differential Equation with a Fractional Derivative and Its Application in Viscoelasticity Models
by Ludmila Kiryanova and Tatiana Matseevich
Axioms 2023, 12(8), 779; https://doi.org/10.3390/axioms12080779 - 11 Aug 2023
Cited by 1 | Viewed by 2006
Abstract
In this study, we obtained a system of eigenfunctions and eigenvalues for the mixed homogeneous Sturm-Liouville problem of a second-order differential equation containing a fractional derivative operator. The fractional differentiation operator was considered according to two definitions: Gerasimov-Caputo and Riemann-Liouville-Visualizations of the system [...] Read more.
In this study, we obtained a system of eigenfunctions and eigenvalues for the mixed homogeneous Sturm-Liouville problem of a second-order differential equation containing a fractional derivative operator. The fractional differentiation operator was considered according to two definitions: Gerasimov-Caputo and Riemann-Liouville-Visualizations of the system of eigenfunctions, the biorthogonal system, and the distribution of eigenvalues on the real axis were presented. The numerical behavior of eigenvalues was studied depending on the order of the fractional derivative for both definitions of the fractional derivative. Full article
Show Figures

Figure 1

15 pages, 320 KB  
Article
Integrated Resolving Functions for Equations with Gerasimov–Caputo Derivatives
by Vladimir E. Fedorov, Anton S. Skorynin and Amar Debbouche
Symmetry 2023, 15(7), 1393; https://doi.org/10.3390/sym15071393 - 10 Jul 2023
Viewed by 1011
Abstract
The concept of a β-integrated resolving function for a linear equation with a Gerasimov–Caputo fractional derivative is introduced into consideration. A number of properties of such functions are proved, and conditions for the solvability of the Cauchy problem to linear homogeneous and [...] Read more.
The concept of a β-integrated resolving function for a linear equation with a Gerasimov–Caputo fractional derivative is introduced into consideration. A number of properties of such functions are proved, and conditions for the solvability of the Cauchy problem to linear homogeneous and inhomogeneous equations are found in the case of the existence of a β-integrated resolving function. The necessary and sufficient conditions for the existence of such a function in terms of estimates on the resolvent of its generator are obtained. The example of a β-integrated resolving function for the Schrödinger equation is given. Thus, the paper discusses some aspects of the symmetry of the concepts of integrability and differentiability. Namely, it is shown that, in the absence of a sufficiently differentiable resolving function for a fractional differential equation, the problem of the existence of a solution can be solved by an integrated resolving function of the equation. Full article
(This article belongs to the Section Mathematics)
17 pages, 350 KB  
Article
A Class of Quasilinear Equations with Distributed Gerasimov–Caputo Derivatives
by Vladimir E. Fedorov and Nikolay V. Filin
Mathematics 2023, 11(11), 2472; https://doi.org/10.3390/math11112472 - 27 May 2023
Cited by 4 | Viewed by 1391
Abstract
Quasilinear equations in Banach spaces with distributed Gerasimov–Caputo fractional derivatives, which are defined by the Riemann–Stieltjes integrals, and with a linear closed operator A, are studied. The issues of unique solvability of the Cauchy problem to such equations are considered. Under the [...] Read more.
Quasilinear equations in Banach spaces with distributed Gerasimov–Caputo fractional derivatives, which are defined by the Riemann–Stieltjes integrals, and with a linear closed operator A, are studied. The issues of unique solvability of the Cauchy problem to such equations are considered. Under the Lipschitz continuity condition in phase variables and two types of continuity over all variables of a nonlinear operator in the equation, we obtain two versions on a theorem on the nonlocal existence of a unique solution. Two similar versions of local unique solvability of the Cauchy problem are proved under the local Lipschitz continuity condition for the nonlinear operator. The general results are used for the study of an initial boundary value problem for a generalization of the nonlinear phase field system of equations with distributed derivatives with respect to time. Full article
15 pages, 338 KB  
Article
Quasilinear Fractional Order Equations and Fractional Powers of Sectorial Operators
by Vladimir E. Fedorov, Marko Kostić and Tatyana A. Zakharova
Fractal Fract. 2023, 7(5), 385; https://doi.org/10.3390/fractalfract7050385 - 5 May 2023
Cited by 1 | Viewed by 1535
Abstract
The fractional powers of generators for analytic operator semigroups are used for the proof of the existence and uniqueness of a solution of the Cauchy problem to a first order semilinear equation in a Banach space. Here, we use an analogous construction of [...] Read more.
The fractional powers of generators for analytic operator semigroups are used for the proof of the existence and uniqueness of a solution of the Cauchy problem to a first order semilinear equation in a Banach space. Here, we use an analogous construction of fractional powers Aγ for an operator A such that A generates analytic resolving families of operators for a fractional order equation. Under the condition of local Lipschitz continuity with respect to the graph norm of Aγ for some γ(0,1) of a nonlinear operator, we prove the local unique solvability of the Cauchy problem to a fractional order quasilinear equation in a Banach space with several Gerasimov–Caputo fractional derivatives in the nonlinear part. An analogous nonlocal Lipschitz condition is used to obtain a theorem of the nonlocal unique solvability of the Cauchy problem. Abstract results are applied to study an initial-boundary value problem for a time-fractional order nonlinear diffusion equation. Full article
(This article belongs to the Special Issue Abstract Fractional Differential Inclusions)
20 pages, 1551 KB  
Article
Hereditary Mathematical Model of the Dynamics of Radon Accumulation in the Accumulation Chamber
by Dmitrii Tverdyi, Evgeny Makarov and Roman Parovik
Mathematics 2023, 11(4), 850; https://doi.org/10.3390/math11040850 - 7 Feb 2023
Cited by 9 | Viewed by 2005
Abstract
Mathematical modeling is used to study the hereditary mechanism of the accumulation of radioactive radon gas in a chamber with gas-discharge counters at several observation points in Kamchatka. Continuous monitoring of variations in radon volumetric activity in order to identify anomalies in its [...] Read more.
Mathematical modeling is used to study the hereditary mechanism of the accumulation of radioactive radon gas in a chamber with gas-discharge counters at several observation points in Kamchatka. Continuous monitoring of variations in radon volumetric activity in order to identify anomalies in its values is one of the effective methods for studying the stress–strain state of the geo-environment with the possibility of building strong earthquake forecasts. The model equation of radon transfer, taking into account its accumulation in the chamber and the presence of the hereditary effect (heredity or memory), is a nonlinear differential Riccati equation with non-constant coefficients with a fractional derivative in the sense of Gerasimov–Caputo, for which local initial conditions are set (Cauchy problem). The proposed hereditary model of radon accumulation in the chamber is a generalization of the previously known model with an integer derivative (classical model). This fact indicates the preservation of the properties of the previously obtained solution according to the classical model, as well as the presence of new properties that are applied to the study of radon volumetric activity at observation points. The paper shows that due to the order of the fractional derivative, as well as the quadratic nonlinearity in the model equation, the results of numerical simulation give a better approximation of the experimental data of radon monitoring than by classical models. This indicates that the hereditary model of radon transport is more flexible, which allows using it to describe various anomalous effects in the values of radon volume activity. Full article
(This article belongs to the Section E2: Control Theory and Mechanics)
Show Figures

Figure 1

12 pages, 319 KB  
Article
Degenerate Multi-Term Equations with Gerasimov–Caputo Derivatives in the Sectorial Case
by Vladimir E. Fedorov and Kseniya V. Boyko
Mathematics 2022, 10(24), 4699; https://doi.org/10.3390/math10244699 - 11 Dec 2022
Cited by 2 | Viewed by 1270
Abstract
The unique solvability for the Cauchy problem in a class of degenerate multi-term linear equations with Gerasimov–Caputo derivatives in a Banach space is investigated. To this aim, we use the condition of sectoriality for the pair of operators at the oldest derivatives from [...] Read more.
The unique solvability for the Cauchy problem in a class of degenerate multi-term linear equations with Gerasimov–Caputo derivatives in a Banach space is investigated. To this aim, we use the condition of sectoriality for the pair of operators at the oldest derivatives from the equation and the general conditions of the other operators’ coordination with invariant subspaces, which exist due to the sectoriality. An abstract result is applied to the research of unique solvability issues for the systems of the dynamics and of the thermoconvection for some viscoelastic media. Full article
35 pages, 3431 KB  
Article
Application of the Fractional Riccati Equation for Mathematical Modeling of Dynamic Processes with Saturation and Memory Effect
by Dmitriy Tverdyi and Roman Parovik
Fractal Fract. 2022, 6(3), 163; https://doi.org/10.3390/fractalfract6030163 - 16 Mar 2022
Cited by 17 | Viewed by 3170
Abstract
In this study, the model Riccati equation with variable coefficients as functions, as well as a derivative of a fractional variable order (VO) of the Gerasimov-Caputo type, is used to approximate the data for some physical processes with saturation. In particular, the proposed [...] Read more.
In this study, the model Riccati equation with variable coefficients as functions, as well as a derivative of a fractional variable order (VO) of the Gerasimov-Caputo type, is used to approximate the data for some physical processes with saturation. In particular, the proposed model is applied to the description of solar activity (SA), namely the number of sunspots observed over the past 25 years. It is also used to describe data from Johns Hopkins University on coronavirus infection COVID-19, in particular data on the Russian Federation and the Republic of Uzbekistan. Finally, it is used to study issues related to seismic activity, in particular, the description of data on the volumetric activity of Radon (RVA). The Riccati equation used in the mathematical model was numerically solved by constructing an implicit finite difference scheme (IFDS) and its implementation by the modified Newton method (MNM). The calculated curves obtained in the study are compared with known experimental data. It is shown that if the model parameters are chosen appropriately, the model curves will give results that correlate well with real experimental data. Moreover, with other parameters of the model, it is possible to make some prediction about the possible course of the considered processes. Full article
Show Figures

Figure 1

27 pages, 1128 KB  
Article
Investigation of Finite-Difference Schemes for the Numerical Solution of a Fractional Nonlinear Equation
by Dmitriy Tverdyi and Roman Parovik
Fractal Fract. 2022, 6(1), 23; https://doi.org/10.3390/fractalfract6010023 - 31 Dec 2021
Cited by 25 | Viewed by 2838
Abstract
The article discusses different schemes for the numerical solution of the fractional Riccati equation with variable coefficients and variable memory, where the fractional derivative is understood in the sense of Gerasimov-Caputo. For a nonlinear fractional equation, in the general case, theorems of approximation, [...] Read more.
The article discusses different schemes for the numerical solution of the fractional Riccati equation with variable coefficients and variable memory, where the fractional derivative is understood in the sense of Gerasimov-Caputo. For a nonlinear fractional equation, in the general case, theorems of approximation, stability, and convergence of a nonlocal implicit finite difference scheme (IFDS) are proved. For IFDS, it is shown that the scheme converges with the order corresponding to the estimate for approximating the Gerasimov-Caputo fractional operator. The IFDS scheme is solved by the modified Newton’s method (MNM), for which it is shown that the method is locally stable and converges with the first order of accuracy. In the case of the fractional Riccati equation, approximation, stability, and convergence theorems are proved for a nonlocal explicit finite difference scheme (EFDS). It is shown that EFDS conditionally converges with the first order of accuracy. On specific test examples, the computational accuracy of numerical methods was estimated according to Runge’s rule and compared with the exact solution. It is shown that the order of computational accuracy of numerical methods tends to the theoretical order of accuracy with increasing nodes of the computational grid. Full article
Show Figures

Figure 1

Back to TopTop