Sign in to use this feature.

Years

Between: -

Subjects

remove_circle_outline
remove_circle_outline
remove_circle_outline
remove_circle_outline
remove_circle_outline

Journals

Article Types

Countries / Regions

Search Results (11)

Search Parameters:
Keywords = Gd-promoted catalyst

Order results
Result details
Results per page
Select all
Export citation of selected articles as:
20 pages, 3240 KB  
Article
Optimizing Gadolinium Promoted SBA-16 Supported Ni-Catalysts for Syngas Production via Dry Reforming of Methane
by Ebtisam Ali Alghamdi, Ghzzai Almutairi, Wasim Ullah Khan, Salwa B. Alreshaidan, Omalsad H. Odhah, Ahmed A. Bhran, Rashid Mehmood, Mohammed O. Bayazed, Ahmed A. Ibrahim and Ahmed S. Al-Fatesh
Catalysts 2025, 15(10), 966; https://doi.org/10.3390/catal15100966 - 9 Oct 2025
Viewed by 621
Abstract
The reforming of methane using carbon dioxide, also known as dry reforming (DRM), is an environmentally benign method that utilizes greenhouse gases (methane and carbon dioxide) to produce a mixture of carbon monoxide and hydrogen. This study evaluated the catalytic performance of nickel-based [...] Read more.
The reforming of methane using carbon dioxide, also known as dry reforming (DRM), is an environmentally benign method that utilizes greenhouse gases (methane and carbon dioxide) to produce a mixture of carbon monoxide and hydrogen. This study evaluated the catalytic performance of nickel-based catalysts supported over SBA-16 (5Ni/SBA-16) promoted with 0.5 to 3 wt% of gadolinium (Gd). The characterization results of the catalysts, including textural properties, crystallite size, reducibility, morphology, acidity/basicity, and carbon deposition, facilitated the understanding of the insights of catalytic activity and stability performance of these catalysts. The incorporation of a suitable amount (1 wt%) of Gd promoter had a significant impact on the activity, resulting in the highest CH4 and CO2 conversions 69 and 78%, respectively. The higher specific surface area, higher reducibility, better dispersion, and smaller active metal particle size were the major factors contributing to the relatively better performance of 5Ni+1Gd/SBA-16. Morphological analysis using a transmission electron microscope showed the formation of carbon nanotubes over unpromoted 5Ni/SBA-16, in contrast to no significant carbon formation over 5Ni+1Gd/SBA-16. The process optimization results indicated that the experimental results were in agreement with the theoretically optimized findings. Full article
(This article belongs to the Special Issue Recent Advances in Nanostructured Catalysts for Hydrogen Production)
Show Figures

Figure 1

17 pages, 2525 KB  
Article
Dry Reforming of Methane Using Gd-promoted Ni/SBA-16 Catalyst: Structure, Activity and Process Optimization with Response Surface Methodology
by Salma A. Al-Zahrani, Mohammed F. Alotibi, Ahmed I. Osman, Ahmed A. Bhran, Maha Awjan Alreshidi, Ahmed Al Otaibi, Hessah Difallah A. Al-Enazy, Nuha Othman S. Alsaif and Ahmed S. Al-Fatesh
Nanomaterials 2025, 15(19), 1527; https://doi.org/10.3390/nano15191527 - 6 Oct 2025
Viewed by 909
Abstract
This work examines the effect of gadolinium (Gd) promotion on nickel-based SBA-16 catalysts for the dry reforming of methane (DRM), with the goal of improving syngas production by optimizing catalyst composition and operating conditions. Catalysts with varying Gd loadings (0.5–3 wt.%) were synthesised [...] Read more.
This work examines the effect of gadolinium (Gd) promotion on nickel-based SBA-16 catalysts for the dry reforming of methane (DRM), with the goal of improving syngas production by optimizing catalyst composition and operating conditions. Catalysts with varying Gd loadings (0.5–3 wt.%) were synthesised using co-impregnation. XRD, N2 physisorption, FTIR, XPS, and H2-TPR–CO2-TPD–H2-TPR were used to examine the structural features, textural properties, surface composition, and redox behaviour of the catalysts. XPS indicated formation of enhanced metal–support interactions, while initial and post-treatment H2–TPR analyses showed that moderate Gd loadings (1–2 wt.%) maintained a balanced distribution of reducible Ni species. The catalysts were tested for DRM performance at 800 °C and a gas hourly space velocity (GHSV) of 42,000 mL g−1 h−1. 1–2 wt.% Gd-promoted catalysts achieved the highest H2 (~67%) and CO yield (~76%). Response surface methodology (RSM) was used to identify optimal reaction conditions for maximum H2 yield. RSM predicted 848.9 °C temperature, 31,283 mL g−1 h−1 GHSV, and a CH4/CO2 ratio of 0.61 as optimal, predicting a H2 yield of 96.64%, which closely matched the experimental value of H2 yield (96.66%). The 5Ni–2Gd/SBA-16 catalyst exhibited minimal coke deposition, primarily of a graphitic character, as evidenced by TGA–DSC and Raman analyses. These results demonstrate the synergy between catalyst design and process optimization in maximizing DRM efficiency. Full article
Show Figures

Figure 1

15 pages, 7502 KB  
Article
Gd and Zr Co-Doped BiFeO3 Magnetic Nanoparticles for Piezo-Photocatalytic Degradation of Ofloxacin
by Xuan Liu, Jie Chao, Feifei Guo, Liangliang Chang, Xinyang Zhang, Wei Long and Zengzhe Xi
Nanomaterials 2025, 15(11), 792; https://doi.org/10.3390/nano15110792 - 24 May 2025
Cited by 2 | Viewed by 1125
Abstract
Addressing the limitations of poor piezoelectric photocatalytic activity and insufficient magnetic recovery in pure BiFeO3 nanoparticles, Gd and Zr co-doped BiFeO3 nanoparticles were synthesized via the sol-gel method. The structural characterization revealed a rhombohedral-to-orthorhombic phase transition with reduced grain size (~35 [...] Read more.
Addressing the limitations of poor piezoelectric photocatalytic activity and insufficient magnetic recovery in pure BiFeO3 nanoparticles, Gd and Zr co-doped BiFeO3 nanoparticles were synthesized via the sol-gel method. The structural characterization revealed a rhombohedral-to-orthorhombic phase transition with reduced grain size (~35 nm) and lattice distortion due to dopant incorporation. An XPS analysis confirmed Fe3+ dominance and oxygen vacancy enrichment, while optimized BGFZ9 exhibited enhanced remanent magnetization (0.1753 emu/g, 14.14 increase) compared to undoped BFO. The synergistic piezo-photocatalytic system achieved 81.08% Ofloxacin degradation within 120 min (rate constant: 0.0136 min−1, 1.26 higher than BFO) through stress-induced piezoelectric fields that promoted electron transfer for ·O2/·OH radical generation via O2 reduction. The Ofloxacin degradation efficiency decreased to 24.36% after four cycles, with structural integrity confirmed by XRD phase stability. This work demonstrates a triple-optimization mechanism (crystal phase engineering, defect modulation, and magnetic enhancement) for designing magnetically recoverable multiferroic catalysts in pharmaceutical wastewater treatment. Full article
(This article belongs to the Section Energy and Catalysis)
Show Figures

Graphical abstract

12 pages, 3875 KB  
Article
Supercilious Enhancement in Oxygen-Reduction Catalytic Functionalities of Cubic Perovskite Structured LaFeO3 by Co-Doping of Gd and Ce for LT-SOFCs
by Jinpeng Li, Naveed Mushtaq, M.A.K. Yousaf Shah, Yuzheng Lu and Shun Yan
Crystals 2023, 13(2), 242; https://doi.org/10.3390/cryst13020242 - 31 Jan 2023
Cited by 5 | Viewed by 2593
Abstract
Low-temperature solid fuel cells (LT-SOFCs) hold remarkable promise for the cooperative corporation of small- and large-scale applications. However, the meager oxygen-reduction retort of cathode materials mires the low operating temperature conditions of SOFCs. Herein, we have developed a perovskite structured LaFeO3 by [...] Read more.
Low-temperature solid fuel cells (LT-SOFCs) hold remarkable promise for the cooperative corporation of small- and large-scale applications. However, the meager oxygen-reduction retort of cathode materials mires the low operating temperature conditions of SOFCs. Herein, we have developed a perovskite structured LaFeO3 by the co-doping of Gd and Ce ions, and their electrochemical properties have been studied. The developed LaFe0.8Gd0.1Ce0.1O3-δ cathode exhibits very small-area-specific-resistance and good oxygen-reduction reaction (ORR) activity at low operating temperatures of 450–500 °C. We have demonstrated a high-power density of 0.419 W-cm−2 with a LaFe0.8Gd0.1Ce0.1O3-δ cathode operating at 550 °C with H2 and atmospheric air as fuels. Moreover, LaFe0.8Gd0.1Ce0.1O3-δ exhibits high activation energy as compared to individual LaFeO3, which helps to promote ORR activity. Various spectroscopic measurements such as X-ray diffraction, SEM, EIS, UV-visible, TGA, Ramana, and photoelectron spectroscopy were employed to understand the improved ORR electrocatalytic activity of Gd and Ce co-doped LaFeO3 cathode. The results can further help to develop functional cobalt-free electro-catalysts for LT-SOFCs. Full article
Show Figures

Figure 1

16 pages, 4205 KB  
Article
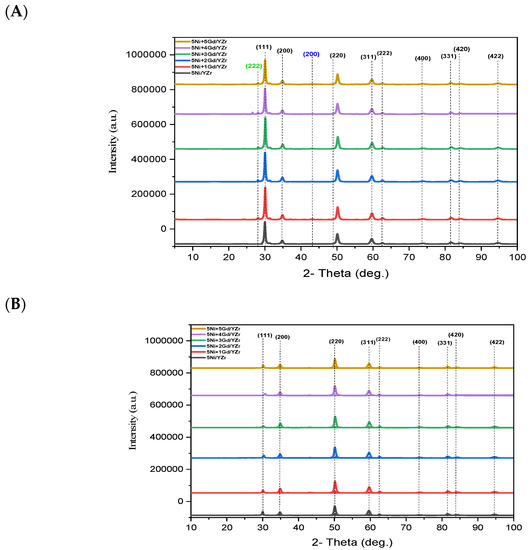
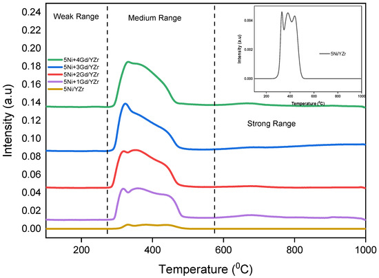
Effect of Adding Gadolinium Oxide Promoter on Nickel Catalyst over Yttrium-Zirconium Oxide Support for Dry Reforming of Methane
by Salwa B. Alreshaidan, Ahmed Al-Fatesh, Mahmud S. Lanre, Yousef M. Alanazi, Ahmed A. Ibrahim, Anis H. Fakeeha, Fahad Albaqi, Khalid Anojaidi and Abdulaziz Bagabas
Materials 2023, 16(3), 1158; https://doi.org/10.3390/ma16031158 - 29 Jan 2023
Cited by 6 | Viewed by 2156
Abstract
The dry reforming of methane (DRM) was studied for seven hours at 800 °C and 42 L/(g·h) gas hourly space velocity over Ni-based catalysts, promoted with various amounts of gadolinium oxide (x = 0.0, 1.0, 2.0, 3.0, 4.0, and 5.0 wt.%) and supported [...] Read more.
The dry reforming of methane (DRM) was studied for seven hours at 800 °C and 42 L/(g·h) gas hourly space velocity over Ni-based catalysts, promoted with various amounts of gadolinium oxide (x = 0.0, 1.0, 2.0, 3.0, 4.0, and 5.0 wt.%) and supported on mesoporous yttrium-zirconium oxide (YZr). The best catalyst was found to have 4.0 wt.% of gadolinium, which resulted in ∼80% and ∼86% conversions of CH4 and CO2, respectively, and a mole ratio of ∼0.90 H2/CO. The addition of Gd2O3 shifted the diffraction peaks of the support to higher angles, indicating the incorporation of the promoter into the unit cell of the YZr support. The Gd2O3 promoter improved the catalyst basicity and the interaction of NiO with support, which were reflected in the coke resistance (6.0 wt.% carbon deposit on 5Ni+4Gd/YZr; 19.0 wt.% carbon deposit on 5Ni/YZr) and the stability of our catalysts. The Gd2O3 is believed to react with carbon dioxide to form oxycarbonate species and helps to gasify the surface of the catalysts. In addition, the Gd2O3 enhanced the activation of CH4 and its conversion on the metallic nickel sites. Full article
(This article belongs to the Section Catalytic Materials)
Show Figures

Figure 1

10 pages, 2129 KB  
Article
Excessive Na-Doped La0.75Sr0.25Cr0.5Fe0.4Cu0.1O3-δ Perovskite as an Additional Internal Reforming Catalyst for Direct Carbon Dioxide-Ethanol Solid Oxide Fuel Cells
by Mingfei Li, Jiangbo Dong, Zhengpeng Chen, Kairu Huang, Kai Xiong, Ruoyu Li, Mumin Rao, Chuangting Chen, Yihan Ling and Bin Lin
Catalysts 2022, 12(12), 1600; https://doi.org/10.3390/catal12121600 - 7 Dec 2022
Cited by 8 | Viewed by 2110
Abstract
Direct ethanol solid oxide fuel cells (SOFCs) are the most energy-efficient and low-carbon technology for renewable power generation from biomass fuels, but they are hindered by carbon deposition on the Ni-based cermet anode. In this work, excessive Na+ dopant into La0.75 [...] Read more.
Direct ethanol solid oxide fuel cells (SOFCs) are the most energy-efficient and low-carbon technology for renewable power generation from biomass fuels, but they are hindered by carbon deposition on the Ni-based cermet anode. In this work, excessive Na+ dopant into La0.75Sr0.25Cr0.5Fe0.4Cu0.1O3-δ (LSCFC) perovskite was used as an additional internal reforming catalyst for direct carbon dioxide-ethanol SOFCs. Excessive Na+-doped LSCFC (N-LSCFC) demonstrated great potential in promoting electrochemical performance and internal reforming process fueled by carbon dioxide-ethanol mixture, because more oxygen vacancies and the precipitated Cu nano catalyst were helpful for the improvement of internal reforming and carbon tolerance. Electrochemical investigations proved that the vertical-microchannel anode supported the single cells using the N-LSCFC-Gd0.1Ce0.9O2-δ (GDC) internal reforming catalyst, showing a peak power density of 1044.41 and 855.56 mW/cm2 at 800 °C fueled by H2 and 50% CO2-50% C2H5OH, respectively. The preceding results indicate that excessive Na+ doping strategy into LSCFC as the additional internal reforming catalyst can improve the electrochemical performance and internal reforming process of direct carbon dioxide-ethanol SOFCs. Full article
(This article belongs to the Special Issue Research Advances in Electrocatalysts for Fuel Cells)
Show Figures

Figure 1

20 pages, 5155 KB  
Article
Effect of Metal Dopant on the Performance of Ni@CeMeO2 Embedded Catalysts (Me = Gd, Sm and Zr) for Dry Reforming of Methane
by André L. A. Marinho, Raimundo C. Rabelo-Neto, Florence Epron, Fabio S. Toniolo, Fabio B. Noronha and Nicolas Bion
Methane 2022, 1(4), 300-319; https://doi.org/10.3390/methane1040023 - 28 Nov 2022
Cited by 7 | Viewed by 2717
Abstract
Biogas upgrading by a catalytic process has been studied in order to obtain syngas using renewable source of methane. This work evaluates the influence of metal dopant (Gd, Sm, and Zr) on the CeO2 structure for the dry reforming of methane over [...] Read more.
Biogas upgrading by a catalytic process has been studied in order to obtain syngas using renewable source of methane. This work evaluates the influence of metal dopant (Gd, Sm, and Zr) on the CeO2 structure for the dry reforming of methane over Ni nanoparticle embedded catalysts. The doping with Zr improved the thermal stability of the catalyst, leading to the formation of small Ni nanoparticles, while Ni metal sintering was observed for Ni@CeO2, Ni@CeGdO2, and Ni@SmO2, according to in situ XRD under reduction conditions. The ceria reducibility was affected by the dopant nature, for which the addition of Zr caused distortions in the ceria lattice, promoting the diffusion of oxygen bulk to surface. The doping with Gd and Sm created oxygen vacancies by charge compensation, and the saturation of oxygen vacancies in the fresh samples decreased the degree of Ce reduction, according to TPR results. The larger Ni particles and poor redox behavior for Ni@CeGdO2 and Ni@CeSmO2 were responsible for the high carbon formation on these catalysts during the DRM reaction. The Ni@CeZrO2 catalyst did not present coke formation because of smaller Ni crystallite size and higher ceria reducibility. Therefore, the control of Ni particle size and the high oxygen mobility in the Ni@CeZrO2 catalyst inhibits carbon deposition and enhances the mechanism of carbon removal, promoting the catalyst stability. Full article
(This article belongs to the Special Issue Methane Dry Reforming)
Show Figures

Graphical abstract

24 pages, 5685 KB  
Article
Versatile Coordination Polymer Catalyst for Acid Reactions Involving Biobased Heterocyclic Chemicals
by Margarida M. Antunes, Ricardo F. Mendes, Filipe A. Almeida Paz and Anabela A. Valente
Catalysts 2021, 11(2), 190; https://doi.org/10.3390/catal11020190 - 1 Feb 2021
Cited by 12 | Viewed by 4476
Abstract
The chemical valorization/repurposing of biomass-derived chemicals contributes to a biobased economy. Furfural (Fur) is a recognized platform chemical produced from renewable lignocellulosic biomass, and furfuryl alcohol (FA) is its most important application. The aromatic aldehydes Fur and benzaldehyde (Bza) are commonly found in [...] Read more.
The chemical valorization/repurposing of biomass-derived chemicals contributes to a biobased economy. Furfural (Fur) is a recognized platform chemical produced from renewable lignocellulosic biomass, and furfuryl alcohol (FA) is its most important application. The aromatic aldehydes Fur and benzaldehyde (Bza) are commonly found in the slate of compounds produced via biomass pyrolysis. On the other hand, glycerol (Gly) is a by-product of the industrial production of biodiesel, derived from fatty acid components of biomass. This work focuses on acid catalyzed routes of Fur, Bza, Gly and FA, using a versatile crystalline lamellar coordination polymer catalyst, namely [Gd(H4nmp)(H2O)2]Cl·2H2O (1) [H6nmp=nitrilotris(methylenephosphonic acid)] synthesized via an ecofriendly, relatively fast, mild microwave-assisted approach (in water, 70 °C/40 min). This is the first among crystalline coordination polymers or metal-organic framework type materials studied for the Fur/Gly and Bza/Gly reactions, giving heterobicyclic products of the type dioxolane and dioxane, and was also effective for the FA/ethanol reaction. 1 was stable and promoted the target catalytic reactions, selectively leading to heterobicyclic dioxane and dioxolane type products in the Fur/Gly and Bza/Gly reactions (up to 91% and 95% total yields respectively, at 90 °C/4 h), and, on the other hand, 2-(ethoxymethyl)furan and ethyl levulinate from heterocyclic FA. Full article
(This article belongs to the Special Issue Polycyclic Heterocycles by Catalyzed Processes)
Show Figures

Graphical abstract

14 pages, 1888 KB  
Article
Catalytic Performance of Metal Oxides Promoted Nickel Catalysts Supported on Mesoporous γ-Alumina in Dry Reforming of Methane
by Anis H. Fakeeha, Abdulaziz A. Bagabas, Mahmud S. Lanre, Ahmed I. Osman, Samsudeen O. Kasim, Ahmed A. Ibrahim, Rasheed Arasheed, Abdulmajeed Alkhalifa, Ahmed Y. Elnour, Ahmed E. Abasaeed and Ahmed S. Al-Fatesh
Processes 2020, 8(5), 522; https://doi.org/10.3390/pr8050522 - 28 Apr 2020
Cited by 26 | Viewed by 4440
Abstract
Dry reforming of CH4 was conducted over promoted Ni catalysts, supported on mesoporous gamma-alumina. The Ni catalysts were promoted by various metal oxides (CuO, ZnO, Ga2O3, or Gd2O3) and were synthesized by the incipient [...] Read more.
Dry reforming of CH4 was conducted over promoted Ni catalysts, supported on mesoporous gamma-alumina. The Ni catalysts were promoted by various metal oxides (CuO, ZnO, Ga2O3, or Gd2O3) and were synthesized by the incipient wetness impregnation method. The influence of the promoters on the catalyst stability, coke deposition, and H2/CO mole ratio was investigated. Stability tests were carried out for 460 min. The H2 yield was 87% over 5Ni+1Gd/Al, while the CH4 and CO2 conversions were found to decrease in the following order: 5Ni+1Gd/Al > 5Ni+1Ga/Al > 5Ni+1Zn/Al > 5Ni/Al > 5Ni+1Cu/Al. The high catalytic performance of 5Ni+1Gd/Al, 5Ni+1Ga/Al, and 5Ni+1Zn/Al was found to be closely related to their contents of NiO species, which interacted moderately and strongly with the support, whereas free NiO in 5Ni+1Cu/Al made it catalytically inactive, even than 5Ni/Al. The 5Ni+1Gd/Al catalyst showed the highest CH4 conversion of 83% with H2/CO mole ratio of ~1.0. Full article
Show Figures

Figure 1

18 pages, 6968 KB  
Article
Effects of Lanthanide Doping on the Catalytic Activity and Hydrothermal Stability of Cu-SAPO-18 for the Catalytic Removal of NOx (NH3-SCR) from Diesel Engines
by Qi Gao, Shuai Han, Qing Ye, Shuiyuan Cheng, Tianfang Kang and Hongxing Dai
Catalysts 2020, 10(3), 336; https://doi.org/10.3390/catal10030336 - 17 Mar 2020
Cited by 20 | Viewed by 3917
Abstract
Lanthanide (La, Ce, Nd, Gd, Tb, Ho or Lu)-doped Cu-SAPO-18 samples were prepared using the ion-exchange method. Physicochemical properties of the samples were systematically characterized by a number of analytical techniques, and the effects of lanthanide doping on catalytic activity and hydrothermal stability [...] Read more.
Lanthanide (La, Ce, Nd, Gd, Tb, Ho or Lu)-doped Cu-SAPO-18 samples were prepared using the ion-exchange method. Physicochemical properties of the samples were systematically characterized by a number of analytical techniques, and the effects of lanthanide doping on catalytic activity and hydrothermal stability of the Cu-SAPO-18 catalysts for the NH3-SCR reaction were examined. It is shown that the doping of lanthanide elements could affect the interaction between the active components (copper ions) and the AEI-structured SAPO-18 support. The inclusion of some lanthanides significantly slowed down hydrolysis of the catalyst during hydrothermal aging treatment process, leading to an enhanced catalytic activity at both low and high temperatures and hydrothermal stability. In particular, Ce doping promoted the Cu2+ ions to migrate to the energetically favorable sites for enhancement in catalytic activity, whereas the other lanthanide ions exerted little or an opposite effect on the migration of Cu2+ ions. Additionally, Ce doping could improve hydrothermal stability of the Cu-SAPO-18 catalyst by weakening hydrolysis of the catalyst during the hydrothermal aging treatment process. Ce doping increased the catalytic activity of Cu-SAPO-18 at low and high temperatures, which was attributed to modifications of the redox and/or isolated Cu2+ active centers. Full article
(This article belongs to the Special Issue Catalysis by Silica and Related Materials)
Show Figures

Graphical abstract

15 pages, 2697 KB  
Article
Rare Earth-Promoted Nickel Oxide Nanoparticles as Catalysts for N2O Direct Decomposition
by Bahaa M. Abu-Zied, Salem M. Bawaked, Samia A. Kosa and Wilhelm Schwieger
Catalysts 2016, 6(5), 70; https://doi.org/10.3390/catal6050070 - 17 May 2016
Cited by 29 | Viewed by 7066
Abstract
For this paper, a series of rare earth (Gd, La, Sm) promoted NiO catalysts were prepared by using the microwave-assisted precipitation method and tested for N2O direct decomposition. The obtained solids have been characterized by using various techniques. X-ray diffraction (XRD) [...] Read more.
For this paper, a series of rare earth (Gd, La, Sm) promoted NiO catalysts were prepared by using the microwave-assisted precipitation method and tested for N2O direct decomposition. The obtained solids have been characterized by using various techniques. X-ray diffraction (XRD) results revealed that the incorporation of RE oxides into NiO significantly decreases its crystallite size. Field-emission scanning electron microscopy (SEM) and transmission electron microscopy (TEM) observations indicated that the addition of RE oxides swells the NiO particles yielding particles into a rice-like morphology. N2 adsorption studies showed a sharp surface area increase as well as mesoporosity development accompanied the RE incorporation. It was found that the RE oxides significantly enhance the NiO activity. Full article
Show Figures

Graphical abstract

Back to TopTop