Sign in to use this feature.

Years

Between: -

Subjects

remove_circle_outline
remove_circle_outline
remove_circle_outline
remove_circle_outline
remove_circle_outline
remove_circle_outline

Journals

Article Types

Countries / Regions

Search Results (7)

Search Parameters:
Keywords = Gauss–Laplace law

Order results
Result details
Results per page
Select all
Export citation of selected articles as:
17 pages, 5630 KB  
Article
An Analytic Compact Model for P-Type Quasi-Ballistic/Ballistic Nanowire GAA MOSFETs Incorporating DIBL Effect
by He Cheng, Zhijia Yang, Chao Zhang and Zhipeng Zhang
Nanomaterials 2025, 15(22), 1734; https://doi.org/10.3390/nano15221734 - 17 Nov 2025
Viewed by 536
Abstract
We present an analytic compact model for p-type cylindrical gate-all-around (GAA) MOSFETs in the quasi-ballistic/ballistic regime, incorporating drain-induced barrier lowering (DIBL). To describe the potential profile, an undetermined parameter is used to represent the channel potential, which is derived from the Laplace equation [...] Read more.
We present an analytic compact model for p-type cylindrical gate-all-around (GAA) MOSFETs in the quasi-ballistic/ballistic regime, incorporating drain-induced barrier lowering (DIBL). To describe the potential profile, an undetermined parameter is used to represent the channel potential, which is derived from the Laplace equation in the subthreshold region and from Gauss’s law combined with quantum statistics in the inversion region. A smoothing function is applied to this parameter to ensure a continuous source—drain current across all operating regions. The current model is based on the Landauer approach and captures both quasi-ballistic/ballistic transport and quantum-confinement effects. It is validated against non-equilibrium Green’s function (NEGF) simulation results and implemented in Verilog-A for SPICE circuit-level simulation of a CMOS inverter, demonstrating its applicability for nanoscale design. Full article
(This article belongs to the Section Theory and Simulation of Nanostructures)
Show Figures

Figure 1

24 pages, 2517 KB  
Article
Quantifying for Qualifying: A Framework for Assessing Gender Equality in Higher Education Institutions
by Josilene Aires Moreira and Catarina Sales Oliveira
Soc. Sci. 2022, 11(10), 478; https://doi.org/10.3390/socsci11100478 - 14 Oct 2022
Cited by 4 | Viewed by 7460
Abstract
The objective of this study is to present the development of a framework for assessing gender inequality in higher education institutions (HEIs) which reveals how this academic environment is progressing in terms of gender balance. It proposes a multi-dimension-based index comprised by five [...] Read more.
The objective of this study is to present the development of a framework for assessing gender inequality in higher education institutions (HEIs) which reveals how this academic environment is progressing in terms of gender balance. It proposes a multi-dimension-based index comprised by five dimensions—Empowerment, Education, Health, Violence, and Time. The mathematical model used enables the user to assign a weight value to each dimension, customizing the results according to the institution addressed. The paper is based on a post-doctoral research project which analyzed six globally recognized indexes (Gender Inequality Index; Global Gender Gap Index; Women, Business, and Law Index; Gender Equality Index; Social Institutions Global Index; Women Empowerment Principles) to construct a new framework for gender inequality evaluation tailored for HEIs. It used a Laplace–Gauss-based scale. The research included an experiment of concrete application to two instiutions, one in Europe and the other in South America. While the first one had a Gender Equality Plan, the second had not. The analysis was successfully conducted in both institutions. The two institutions presented general results above 60%. These results need to be read in the specific context of each university. The Gender Equality in Higher Education Institutions Index (GEHEI) provides a user-friendly way of checking the existence of gender inequality, summarized into a single number but able to be detailed in several levels and to provide insight into progression over time. The handling of the GEHEI tool is also very straightforward. The proposal is designed to be used in different HEIs; it is recommended that researchers customize the weights of the dimensions according to their relevance in the specific organization. This paper provides a new methodological model to measure gender inequality in HEIs based on easy-to-obtain data, distinguishing itself from global indexes by its ease of application and interpretation. Full article
(This article belongs to the Special Issue New Directions in Gender Research)
Show Figures

Figure 1

17 pages, 5490 KB  
Article
Complex Numbers Related to Semi-Antinorms, Ellipses or Matrix Homogeneous Functionals
by Wolf-Dieter Richter
Axioms 2021, 10(4), 340; https://doi.org/10.3390/axioms10040340 - 10 Dec 2021
Cited by 6 | Viewed by 3643
Abstract
We generalize the property of complex numbers to be closely related to Euclidean circles by constructing new classes of complex numbers which in an analogous sense are closely related to semi-antinorm circles, ellipses, or functionals which are homogeneous with respect to certain diagonal [...] Read more.
We generalize the property of complex numbers to be closely related to Euclidean circles by constructing new classes of complex numbers which in an analogous sense are closely related to semi-antinorm circles, ellipses, or functionals which are homogeneous with respect to certain diagonal matrix multiplication. We also extend Euler’s formula and discuss solutions of quadratic equations for the p-norm-antinorm realization of the abstract complex algebraic structure. In addition, we prove an advanced invariance property of certain probability densities. Full article
(This article belongs to the Special Issue Complex Analysis)
Show Figures

Figure 1

21 pages, 3321 KB  
Article
Modified Representations for the Close Evaluation Problem
by Camille Carvalho
Math. Comput. Appl. 2021, 26(4), 69; https://doi.org/10.3390/mca26040069 - 28 Sep 2021
Viewed by 2819
Abstract
When using boundary integral equation methods, we represent solutions of a linear partial differential equation as layer potentials. It is well-known that the approximation of layer potentials using quadrature rules suffer from poor resolution when evaluated closed to (but not on) the boundary. [...] Read more.
When using boundary integral equation methods, we represent solutions of a linear partial differential equation as layer potentials. It is well-known that the approximation of layer potentials using quadrature rules suffer from poor resolution when evaluated closed to (but not on) the boundary. To address this challenge, we provide modified representations of the problem’s solution. Similar to Gauss’s law used to modify Laplace’s double-layer potential, we use modified representations of Laplace’s single-layer potential and Helmholtz layer potentials that avoid the close evaluation problem. Some techniques have been developed in the context of the representation formula or using interpolation techniques. We provide alternative modified representations of the layer potentials directly (or when only one density is at stake). Several numerical examples illustrate the efficiency of the technique in two and three dimensions. Full article
(This article belongs to the Special Issue Computational Methods for Coupled Problems in Science and Engineering)
Show Figures

Figure 1

35 pages, 11117 KB  
Article
The Two-Layer Hierarchical Distribution Model of Zeros of Riemann’s Zeta Function along the Critical Line
by Michel Riguidel
Information 2021, 12(1), 22; https://doi.org/10.3390/info12010022 - 8 Jan 2021
Cited by 2 | Viewed by 4602
Abstract
This article numerically analyzes the distribution of the zeros of Riemann’s zeta function along the critical line (CL). The zeros are distributed according to a hierarchical two-layered model, one deterministic, the other stochastic. Following a complex plane anamorphosis involving the Lambert function, the [...] Read more.
This article numerically analyzes the distribution of the zeros of Riemann’s zeta function along the critical line (CL). The zeros are distributed according to a hierarchical two-layered model, one deterministic, the other stochastic. Following a complex plane anamorphosis involving the Lambert function, the distribution of zeros along the transformed CL follows the realization of a stochastic process of regularly spaced independent Gaussian random variables, each linked to a zero. The value of the standard deviation allows the possible overlapping of adjacent realizations of the random variables, over a narrow confidence interval. The hierarchical model splits the ζ function into sequential equivalence classes, with the range of probability densities of realizations coinciding with the spectrum of behavioral styles of the classes. The model aims to express, on the CL, the coordinates of the alternating cancellations of the real and imaginary parts of the ζ function, to dissect the formula for the number of zeros below a threshold, to estimate the statistical laws of two consecutive zeros, of function maxima and moments. This also helps explain the absence of multiple roots. Full article
Show Figures

Figure 1

20 pages, 6580 KB  
Article
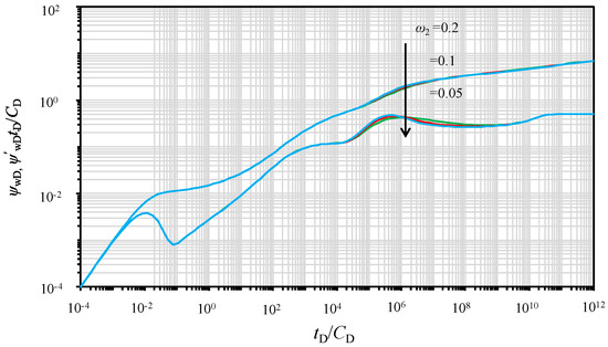
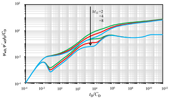
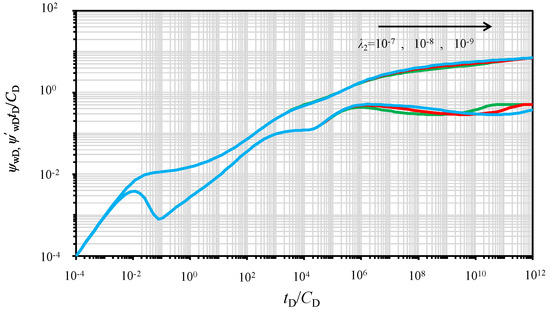
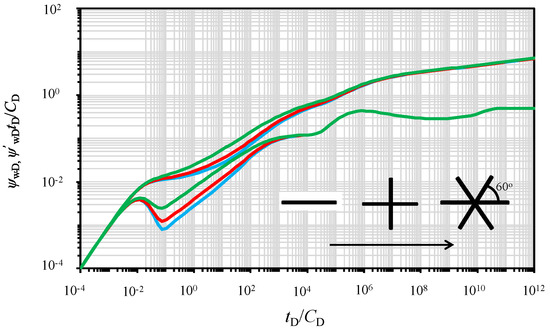
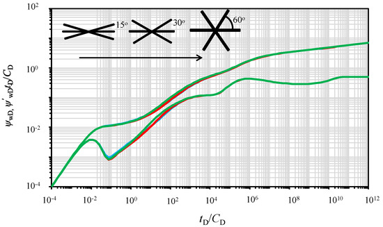
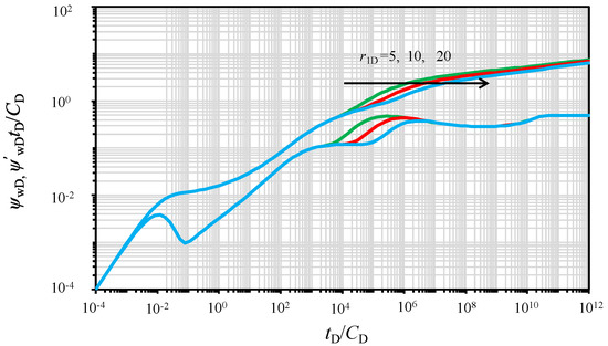
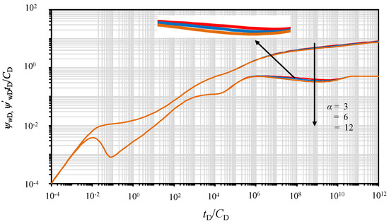
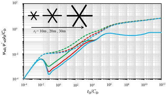
Transient Pressure Analysis of a Multiple Fractured Well in a Stress-Sensitive Coal Seam Gas Reservoir
by Zuhao Kou and Haitao Wang
Energies 2020, 13(15), 3849; https://doi.org/10.3390/en13153849 - 28 Jul 2020
Cited by 35 | Viewed by 3192
Abstract
This paper investigates the bottom-hole pressure (BHP) performance of a fractured well with multiple radial fracture wings in a coalbed methane (CBM) reservoir with consideration of stress sensitivity. The fluid flow in the matrix simultaneously considers adsorption–desorption and diffusion, whereas fluid flow in [...] Read more.
This paper investigates the bottom-hole pressure (BHP) performance of a fractured well with multiple radial fracture wings in a coalbed methane (CBM) reservoir with consideration of stress sensitivity. The fluid flow in the matrix simultaneously considers adsorption–desorption and diffusion, whereas fluid flow in the natural fracture system and the induced fracture network obeys Darcy’s law. The continuous line-source function in the CBM reservoir associated with the discretization method is employed in the Laplace domain. With the aid of Stehfest numerical inversion technology and Gauss elimination, the transient BHP responses are determined and analyzed. It is found that the main flow regimes for the proposed model in the CBM reservoir are as follows: linear flow between adjacent radial fracture wings, pseudo-radial flow in the inner region or Stimulated Reservoir Volume (SRV), and radial flow in outer region (un-stimulated region). The effects of permeability modulus, radius of SRV, ratio of permeability in SRV to that in un-stimulated region, properties of radial fracture wings, storativity ratio of the un-stimulated region, inter-porosity flow parameter, and adsorption–desorption constant on the transient BHP responses are discussed. The results obtained in this study will be of great significance for the quantitative analyzing of the transient performances of the wells with multiple radial fractures in CBM reservoirs. Full article
(This article belongs to the Section L: Energy Sources)
Show Figures

Figure 1

17 pages, 1472 KB  
Article
The Class of (p,q)-spherical Distributions with an Extension of the Sector and Circle Number Functions
by Wolf-Dieter Richter
Risks 2017, 5(3), 40; https://doi.org/10.3390/risks5030040 - 21 Jul 2017
Cited by 5 | Viewed by 3776
Abstract
For evaluating the probabilities of arbitrary random events with respect to a given multivariate probability distribution, specific techniques are of great interest. An important two-dimensional high risk limit law is the Gauss-exponential distribution whose probabilities can be dealt with based on the Gauss–Laplace [...] Read more.
For evaluating the probabilities of arbitrary random events with respect to a given multivariate probability distribution, specific techniques are of great interest. An important two-dimensional high risk limit law is the Gauss-exponential distribution whose probabilities can be dealt with based on the Gauss–Laplace law. The latter will be considered here as an element of the newly-introduced family of ( p , q ) -spherical distributions. Based on a suitably-defined non-Euclidean arc-length measure on ( p , q ) -circles, we prove geometric and stochastic representations of these distributions and correspondingly distributed random vectors, respectively. These representations allow dealing with the new probability measures similarly to with elliptically-contoured distributions and more general homogeneous star-shaped ones. This is demonstrated by the generalization of the Box–Muller simulation method. In passing, we prove an extension of the sector and circle number functions. Full article
Show Figures

Figure 1

Back to TopTop