Sign in to use this feature.

Years

Between: -

Subjects

remove_circle_outline
remove_circle_outline
remove_circle_outline
remove_circle_outline
remove_circle_outline
remove_circle_outline
remove_circle_outline
remove_circle_outline

Journals

Article Types

Countries / Regions

Search Results (11)

Search Parameters:
Keywords = GOZ

Order results
Result details
Results per page
Select all
Export citation of selected articles as:
17 pages, 3135 KB  
Article
Amide-Based Anti-Wear/Extreme-Pressure Additives for Silica-Thickened Greases: Structure and Wear Resistance
by Jolanta Drabik, Kamil Korasiak, Justyna Chrobak, Rafał Kozdrach, Julia Woch, Michał Cyl, Magdalena Zarębska, Bernadetta Kaźmierczak, Jolanta Iłowska and Katarzyna Szymańska
Molecules 2025, 30(12), 2492; https://doi.org/10.3390/molecules30122492 - 6 Jun 2025
Cited by 2 | Viewed by 1188
Abstract
The lubricating properties of three secondary amides were evaluated using the four-ball apparatus method. It was found that the studied amides—N-propylpropanamide (AC3C3), N-propyloctanamide (AC3C8), and N-propyldodecanamide (AC3C12)—could be a promising group of new AW/EP (anti-wear/extreme-pressure) additives for lubricants, especially for silica-thickened greases. Of [...] Read more.
The lubricating properties of three secondary amides were evaluated using the four-ball apparatus method. It was found that the studied amides—N-propylpropanamide (AC3C3), N-propyloctanamide (AC3C8), and N-propyldodecanamide (AC3C12)—could be a promising group of new AW/EP (anti-wear/extreme-pressure) additives for lubricants, especially for silica-thickened greases. Of the amides tested, AC3C8 was found to have the best properties. The synthesized amide structures were immobilized on SBA-15 nanosilica and examined as described above. Notably, SBA-15 has not previously been reported as a potential lubricant additive. The results of the tribological tests showed that SBA-15-immobilized amides performed better than non-immobilized amides. Nevertheless, the lack of stability of the amide-grafted SBA-15 when dispersed in oil limits its use in targeted formulations and should be improved through further research. By testing a silica-thickened grease, a synergistic effect was observed between the free-amide AC3C8 and a commercially available additive containing butylated triphenyl phosphate. A 240% increase in the Goz40 parameter (anti-wear properties) and a 150% increase in welding load (extreme-pressure properties) were obtained with the addition of 2%w/w of commercial additive and 3%w/w of AC3C8 to a base oil. Full article
Show Figures

Graphical abstract

39 pages, 7137 KB  
Article
Two-Verb Clusters in Mennonite Low German: The Impact of Auxiliary Verb and Clause Type
by Göz Kaufmann
Languages 2025, 10(5), 95; https://doi.org/10.3390/languages10050095 - 29 Apr 2025
Viewed by 1265
Abstract
Although verb clusters in Continental West Germanic varieties are a well-researched topic, their derivation and the possible functions of their variants are still not yet fully understood. Both issues are discussed in the present paper, which is based on the translations of 46 [...] Read more.
Although verb clusters in Continental West Germanic varieties are a well-researched topic, their derivation and the possible functions of their variants are still not yet fully understood. Both issues are discussed in the present paper, which is based on the translations of 46 English, Spanish, or Portuguese stimulus sentences by 321 North and South American speakers of Mennonite Low German. In order to analyze the variation in clause-final two-verb clusters, we focus on three structural factors, namely (i) the auxiliary verb, (ii) the structural link between the auxiliary verb and the main verb, and (iii) the type of the subordinate clause in which the cluster occurs. Regarding the first and the second factor, we will employ the cartographic approach in order to explain the impact of different auxiliary verbs. Regarding the third factor, it is somewhat surprising that the potential effect of the subordinate clause on the distribution of different cluster variants has received little attention in the research literature. Clause type will be shown to have such an effect and, therefore, we will assume that the speakers of MLG use different variants deliberately to indicate different degrees of clausal integration. Full article
(This article belongs to the Special Issue Dialectal Dynamics)
17 pages, 1326 KB  
Article
Determinants of the Use of Circular Economy Strategies by Stakeholders in the Wood–Forestry Sector in Benin
by Yann Emmanuel Miassi, Nancy Gélinas and Kossivi Fabrice Dossa
Environments 2025, 12(4), 101; https://doi.org/10.3390/environments12040101 - 27 Mar 2025
Cited by 1 | Viewed by 1341
Abstract
Although the circular economy (CE) has emerged as an innovative approach to address the challenges of protecting natural resources, the use of its strategies remains in its infancy, particularly in West Africa. This study examines the factors influencing the use of CE strategies [...] Read more.
Although the circular economy (CE) has emerged as an innovative approach to address the challenges of protecting natural resources, the use of its strategies remains in its infancy, particularly in West Africa. This study examines the factors influencing the use of CE strategies in the wood and forestry sector in Benin. This study relied on a methodological approach based on surveys, using interview guides to collect information in both the southern and northern zones of the country. This information was collected at the level of the different actors directly involved in this sector, to identify the factors that influence the use of CE strategies using Probit models. The results show that access to information, the number of years of professional experience, the age of the actors and the type of training received are the determining factors in the use of these strategies (the models statistically significant at the 1% level). Other factors, such as knowledge of the costs and benefits of different strategies, are also identified as fundamental. Furthermore, a high financial capacity and an excess or overload of information are identified as the limiting factors for the use of these strategies. Full article
Show Figures

Figure 1

21 pages, 7026 KB  
Article
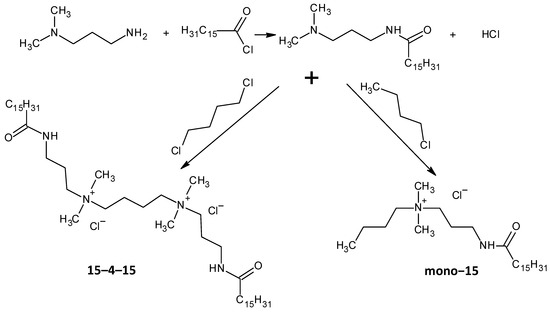
Amide/Amino-Based Functional Additives for Lubricants: Structure, Antimicrobial Activity and Wear Resistance
by Jolanta Drabik, Kamil Korasiak, Justyna Chrobak, Julia Woch, Natalia Brzeźniak, Wioletta Barszcz, Rafał Kozdrach and Jolanta Iłowska
Molecules 2024, 29(1), 122; https://doi.org/10.3390/molecules29010122 - 24 Dec 2023
Cited by 3 | Viewed by 2557
Abstract
The lubricating properties of the lubricants were tested under boundary friction conditions; it was found that the surface-active additives had reduced the wear mark and thus the value of the Goz/40 parameter (limiting load of wear). The introduction of a surfactant containing amide [...] Read more.
The lubricating properties of the lubricants were tested under boundary friction conditions; it was found that the surface-active additives had reduced the wear mark and thus the value of the Goz/40 parameter (limiting load of wear). The introduction of a surfactant containing amide compounds into the oils and greases was highly effective in slowing down the oxidation process. Lubricants containing mono–15 ([3-(N,N,N-dimethylbuthylamine)propyl]hexadecanamide chloride) and 15–4–15 (tetramethylene-bis [3-(N,N,N-dimethylamine)propyl]hexadecanamide) additives were characterised by higher oxidation stability compared to the unmodified lubricants. Both of the analysed substances showed bactericidal properties against Staphylococcus aureus and Salmonella enteritica. Tests of antibacterial activity in the lubricants with the addition of mono–15 and 15–4–15 confirmed that these lubricants can be considered bactericidal against Gram-positive and Gram-negative bacteria. Full article
Show Figures

Figure 1

7 pages, 542 KB  
Brief Report
Penetrating Keratoplasty in Congenital Glaucoma
by Bilge Batu Oto, Nevbahar Tamçelik, Ercüment Bozkurt, Ceyhun Arici, Oğuzhan Kılıçarslan, Busenur Gönen and Hacı Uğur Çelik
J. Clin. Med. 2023, 12(19), 6276; https://doi.org/10.3390/jcm12196276 - 29 Sep 2023
Cited by 2 | Viewed by 1857
Abstract
Background: Childhood glaucoma is one of the most common causes of corneal opacity in childhood and is associated with various pathological corneal changes, including corneal enlargement, corneal clouding, and edema. Congenital glaucoma (CG) may cause a decrease in vision outcomes due to corneal [...] Read more.
Background: Childhood glaucoma is one of the most common causes of corneal opacity in childhood and is associated with various pathological corneal changes, including corneal enlargement, corneal clouding, and edema. Congenital glaucoma (CG) may cause a decrease in vision outcomes due to corneal opacity or clouding, which is often associated with stimulus deprivation amblyopia. Therefore, to create a balance between preventing amblyopia and sustaining corneal clearance, patients with CG can be managed with early penetrating corneal transplantation surgery along with advanced glaucoma management. Aim: To investigate the graft survival rate and factors affecting graft survival in patients with congenital glaucoma who underwent penetrating keratoplasty (PKP). Study Design: Cross-sectional. Materials and Methods: Patients with congenital glaucoma who underwent PKP were retrospectively evaluated. The associations between age, corneal diameter, presence of ocular comorbidities, concurrent ocular surgeries with corneal graft, and visual outcomes were assessed. Results: Among the 30 eyes enrolled in the study, 6 (20%) had aniridia, 6 (20%) had Axenfeld–Rieger syndrome, and 18 (60%) were diagnosed with primary congenital glaucoma. Graft survival rates were 66.6% and 63.33% at 12 and 24 months, respectively. At the end of the follow-up, the overall graft survival rate was 60%. Statistical significance was observed between patient age at the time of surgery and graft failure (p = 0.02). Graft failure was associated with a younger patient age. Functional vision was achieved in 53.3% of patients. Conclusions: The management of congenital glaucoma and its corneal complications is a delicate issue that requires great effort. PKP in congenital glaucoma was moderately successful in the present study. To provide functional vision, PKP could be the treatment of choice. Full article
(This article belongs to the Section Ophthalmology)
Show Figures

Figure 1

21 pages, 747 KB  
Review
Antioxidant and Anti-Inflammatory Properties of Walnut Constituents: Focus on Personalized Cancer Prevention and the Microbiome
by Nuoxi Fan, Jennifer L. Fusco and Daniel W. Rosenberg
Antioxidants 2023, 12(5), 982; https://doi.org/10.3390/antiox12050982 - 22 Apr 2023
Cited by 23 | Viewed by 20292
Abstract
Walnuts have been lauded as a ‘superfood’, containing a remarkable array of natural constituents that may have additive and/or synergistic properties that contribute to reduced cancer risk. Walnuts are a rich source of polyunsaturated fatty acids (PUFAs: alpha-linolenic acid, ALA), tocopherols, antioxidant polyphenols [...] Read more.
Walnuts have been lauded as a ‘superfood’, containing a remarkable array of natural constituents that may have additive and/or synergistic properties that contribute to reduced cancer risk. Walnuts are a rich source of polyunsaturated fatty acids (PUFAs: alpha-linolenic acid, ALA), tocopherols, antioxidant polyphenols (including ellagitannins), and prebiotics, including fiber (2 g/oz). There is a growing body of evidence that walnuts may contribute in a positive way to the gut microbiome, having a prebiotic potential that promotes the growth of beneficial bacteria. Studies supporting this microbiome-modifying potential include both preclinical cancer models as well as several promising human clinical trials. Mediated both directly and indirectly via its actions on the microbiome, many of the beneficial properties of walnuts are related to a range of anti-inflammatory properties, including powerful effects on the immune system. Among the most potent constituents of walnuts are the ellagitannins, primarily pedunculagin. After ingestion, the ellagitannins are hydrolyzed at low pH to release ellagic acid (EA), a non-flavonoid polyphenolic that is subsequently metabolized by the microbiota to the bioactive urolithins (hydroxydibenzo[b,d]pyran-6-ones). Several urolithins, including urolithin A, reportedly have potent anti-inflammatory properties. These properties of walnuts provide the rationale for including this tree nut as part of a healthy diet for reducing overall disease risk, including colorectal cancer. This review considers the latest information regarding the potential anti-cancer and antioxidant properties of walnuts and how they may be incorporated into the diet to provide additional health benefits. Full article
Show Figures

Figure 1

12 pages, 4319 KB  
Article
OCT Findings in Patients with Methamphetamine Use Disorder
by Şüheda Kaya and Mehmet Kaan Kaya
J. Pers. Med. 2023, 13(2), 308; https://doi.org/10.3390/jpm13020308 - 10 Feb 2023
Cited by 2 | Viewed by 2514
Abstract
Purpose: In the present study, the purpose was to examine the results of optical coherence tomography (OCT) measurements in patients diagnosed with methamphetamine use disorder (MUD) by comparing them with healthy controls. Materials and Methods: A total of 114 eyes were evaluated in [...] Read more.
Purpose: In the present study, the purpose was to examine the results of optical coherence tomography (OCT) measurements in patients diagnosed with methamphetamine use disorder (MUD) by comparing them with healthy controls. Materials and Methods: A total of 114 eyes were evaluated in this study (27 patients and 30 control group participants). After detailed biomicroscopic examinations of all participants by the same ophthalmologist, both eyes were evaluated by OCT. The retinal nerve fiber layer thickness (RNFL) and macular thickness were calculated from OCT. Results: No statistically significant differences were detected between the demographic data of the patient and control groups (p > 0.05). When OCT findings were evaluated, macular thickness and volume were not different between the groups (p > 0.05). With respect to RNFL, the left eye superior, inferior, temporal, and nasal quadrants, as well as the left eye’s total measurements were found to be thicker than those of controls (p < 0.05). In both eyes, the left eye nasal quadrant and APIS total score were negatively correlated, the total RNLF measurement of the right eye and APIS motivation subscale score were negatively correlated, central macular thickness and the APIS motivation subscale score were positively correlated, and the APIS substance use characteristics subscale score and left eye temporal quadrant RNLF measurement were positively correlated. Conclusion: Our study is the first to evaluate addiction severity and OCT findings in MUD. However, this study needs to be supported by further studies so that OCT findings, which can be used as an effective method for demonstrating possible neurodegeneration in methamphetamine use disorder, gain importance. Full article
(This article belongs to the Special Issue The Current State of Psychiatry: Personalized Medicine and Treatment)
Show Figures

Figure 1

21 pages, 11365 KB  
Article
Mapping and Monitoring Spatio-Temporal Patterns of Rainfed Agriculture Lands of North Darfur State, Sudan, Using Earth Observation Data
by Mohammed B. Altoom, Elhadi Adam and Khalid Adem Ali
Land 2023, 12(2), 307; https://doi.org/10.3390/land12020307 - 22 Jan 2023
Cited by 5 | Viewed by 4350
Abstract
Rainfed agriculture in Northern Darfur is influenced by erratic seasonal and decadal rainfall patterns and frequent droughts. Understanding the spatio-temporal variation in rainfed agriculture is crucial for promoting food security, socio-economic stability and protecting the vulnerable ecosystem. This study aimed to investigate the [...] Read more.
Rainfed agriculture in Northern Darfur is influenced by erratic seasonal and decadal rainfall patterns and frequent droughts. Understanding the spatio-temporal variation in rainfed agriculture is crucial for promoting food security, socio-economic stability and protecting the vulnerable ecosystem. This study aimed to investigate the spatio-temporal dynamics of rainfed agriculture in North Darfur State from 1984–2019 using multitemporal Landsat observation data. Using the random forest technique, the multitemporal images were classified into common land use/land cover classes and rainfed agriculture on goz (sandy) and wadi (seasonal river) lands. Overall accuracies were assessed using a confusion matrix. Overall accuracies were assessed using a confusion matrix has ranging between 94.7% and 96.9%, while the kappa statistics were greater than 0.90. The results showed that the high spatial variability in goz land used for rainfed agriculture increased of (889,622.46 ha) over 1994–1999, while it decreased (658,568.61 ha) over 2004–2009 south of the 232.9 mm isohyet. Rainfed cultivation of wadi lands expanded significantly of (580,515.03 ha) over 2014–2019 and decreased (182,701.8 ha) over 1994–1999, especially in the 362.8–477.2 mm isohyets (beyond the climate-adapted 500 mm isohyet agronomic dry limit). These spatial trends need further investigation as they may exacerbate both regional land degradation and disputes among farmers over scarce wadi lands. This study provides essential spatial data which are lacking owing to ongoing conflicts; this can help decision-makers formulate sustainable land use monitoring systems. Full article
(This article belongs to the Section Land – Observation and Monitoring)
Show Figures

Figure 1

37 pages, 1649 KB  
Systematic Review
Mindfulness Interventions for Attention Deficit Hyperactivity Disorder: A Systematic Review and Meta-Analysis
by Clara R. Kretschmer, Burcu Göz Tebrizcik and Eleanor J. Dommett
Psychiatry Int. 2022, 3(4), 363-399; https://doi.org/10.3390/psychiatryint3040031 - 7 Dec 2022
Cited by 9 | Viewed by 33412
Abstract
Attention Deficit Hyperactivity Disorder (ADHD) is a common neurodevelopmental condition impacting children and adults. Current treatments are limited and there is increasing interest in the use of mindfulness, which is growing in popularity. Previous systematic reviews have typically focused on specific ages, outcome [...] Read more.
Attention Deficit Hyperactivity Disorder (ADHD) is a common neurodevelopmental condition impacting children and adults. Current treatments are limited and there is increasing interest in the use of mindfulness, which is growing in popularity. Previous systematic reviews have typically focused on specific ages, outcome measures or interventions. The current review aimed to take a more comprehensive approach. Title and abstract searches were performed in five databases for randomized and non-randomized controlled trials or pre-post studies with participants with an ADHD diagnosis or a score above a clinically relevant cut-off on a validated ADHD measure. Studies had to measure symptoms of ADHD, global or social functioning. Extraction of key information including participant status (i.e., diagnosis, scale scores, comorbidities, medication use), study design, and outcome measures was conducted. Effect sizes (Hedge’s g) were calculated and where a measure had been used in at least three studies with the same population, meta-analyses were considered. Twenty-nine studies were initially identified, with seven deemed poor quality and removed from further analysis leaving, 22 studies containing data from 1237 children and adults with ADHD along with data from 525 family members. The data indicate possible benefits of mindfulness on self-compassion, quality of life, wellbeing, depression, and anxiety. The findings also suggest that mindfulness may also improve ADHD symptoms, executive function, problematic behaviours, and emotional dysregulation, although results vary by age of patient and measures used. Parent stress and parenting style have received limited attention, highlighting the need for more studies in these areas. Whilst the data presented suggest that mindfulness may be beneficial, the evidence base is not as strong as the popularity of the approach. Many of the studies lacked blind assessment, adequate randomization, or suitable control conditions. As such high-quality controlled studies considering medication, other psychosocial interventions, use of active and in active controls and comorbidity as well as longer follow-up periods, are needed to confirm this. Full article
Show Figures

Figure 1

13 pages, 438 KB  
Article
Performance and Energy Footprint Assessment of FPGAs and GPUs on HPC Systems Using Astrophysics Application
by David Goz, Georgios Ieronymakis, Vassilis Papaefstathiou, Nikolaos Dimou, Sara Bertocco, Francesco Simula, Antonio Ragagnin, Luca Tornatore, Igor Coretti and Giuliano Taffoni
Computation 2020, 8(2), 34; https://doi.org/10.3390/computation8020034 - 17 Apr 2020
Cited by 11 | Viewed by 4421
Abstract
New challenges in Astronomy and Astrophysics (AA) are urging the need for many exceptionally computationally intensive simulations. “Exascale” (and beyond) computational facilities are mandatory to address the size of theoretical problems and data coming from the new generation of observational facilities in AA. [...] Read more.
New challenges in Astronomy and Astrophysics (AA) are urging the need for many exceptionally computationally intensive simulations. “Exascale” (and beyond) computational facilities are mandatory to address the size of theoretical problems and data coming from the new generation of observational facilities in AA. Currently, the High-Performance Computing (HPC) sector is undergoing a profound phase of innovation, in which the primary challenge to the achievement of the “Exascale” is the power consumption. The goal of this work is to give some insights about performance and energy footprint of contemporary architectures for a real astrophysical application in an HPC context. We use a state-of-the-art N-body application that we re-engineered and optimized to exploit the heterogeneous underlying hardware fully. We quantitatively evaluate the impact of computation on energy consumption when running on four different platforms. Two of them represent the current HPC systems (Intel-based and equipped with NVIDIA GPUs), one is a micro-cluster based on ARM-MPSoC, and one is a “prototype towards Exascale” equipped with ARM-MPSoCs tightly coupled with FPGAs. We investigate the behavior of the different devices where the high-end GPUs excel in terms of time-to-solution while MPSoC-FPGA systems outperform GPUs in power consumption. Our experience reveals that considering FPGAs for computationally intensive application seems very promising, as their performance is improving to meet the requirements of scientific applications. This work can be a reference for future platform development for astrophysics applications where computationally intensive calculations are required. Full article
(This article belongs to the Special Issue Energy-Efficient Computing on Parallel Architectures)
Show Figures

Figure 1

15 pages, 4174 KB  
Article
Calculating Distortions of Short DNA Duplexes with Base Pairing Between an Oxidatively Damaged Guanine and a Guanine
by Masayo Suzuki, Katsuhito Kino, Masayuki Morikawa, Takanobu Kobayashi and Hiroshi Miyazawa
Molecules 2014, 19(8), 11030-11044; https://doi.org/10.3390/molecules190811030 - 28 Jul 2014
Cited by 6 | Viewed by 6722
Abstract
DNA is constantly being oxidized, and oxidized DNA is prone to mutation; moreover, guanine is highly sensitive to several oxidative stressors. Several oxidatively damaged forms of guanine—including 2,2,4-triamino-5(2H)-oxazolone (Oz), iminoallantoin (Ia), and spiroiminodihydantoin (Sp)—can be paired with guanine, and cause G:C-C:G [...] Read more.
DNA is constantly being oxidized, and oxidized DNA is prone to mutation; moreover, guanine is highly sensitive to several oxidative stressors. Several oxidatively damaged forms of guanine—including 2,2,4-triamino-5(2H)-oxazolone (Oz), iminoallantoin (Ia), and spiroiminodihydantoin (Sp)—can be paired with guanine, and cause G:C-C:G transversions. Previous findings indicate that guanine is incorporated more efficiently opposite Oz than opposite Ia or Sp, and that these differences in efficiency cannot be explained by differences in the stabilities of G:Oz, G:Ia, and G:Sp base pairs calculated ab initio. Here, to explain previous experimental result, we used a 3-base-pair model DNA duplex to calculate the difference in the stability and the distortion of DNA containing a G:Oz, G:Ia, or G:Sp base pair. We found that the stability of the structure containing 5ꞌ and 3ꞌ base pairs adjacent to G:Oz was more stable than that containing the respective base pairs adjacent to G:Ia or G:Sp. Moreover, the distortion of the structure in the DNA model duplex that contained a G:Oz was smaller than that containing a G:Ia or G:Sp. Therefore, our discussion can explain the previous results involving translesion synthesis past an oxidatively damaged guanine. Full article
(This article belongs to the Special Issue ECSOC-17)
Show Figures

Figure 1

Back to TopTop