Amide/Amino-Based Functional Additives for Lubricants: Structure, Antimicrobial Activity and Wear Resistance
Abstract
:1. Introduction
2. Results
2.1. Analysis of Synthesised QACs
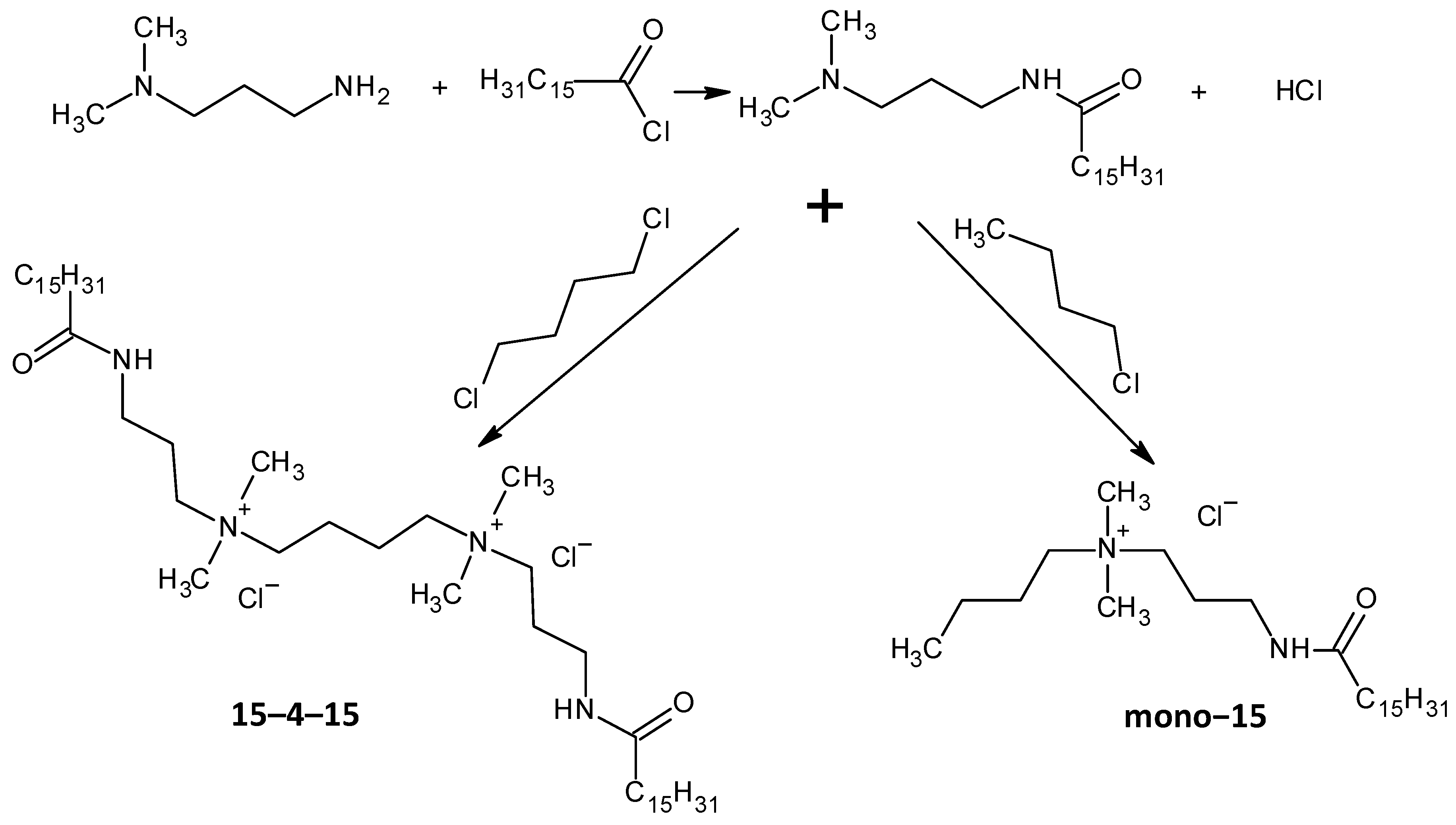
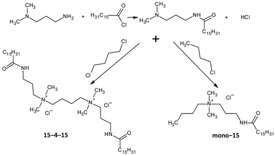
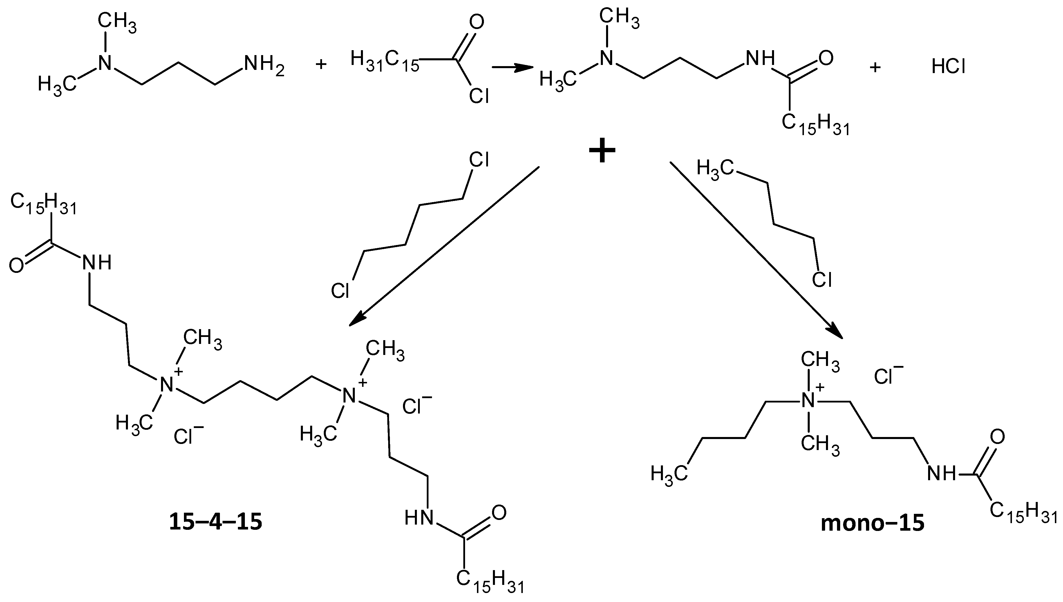
2.1.1. [3-(N,N-dimethylamine)propyl]hexadecanamide
2.1.2. 15–4–15 Gemini QAC
2.1.3. Synthesis of mono–15 QAC
2.2. Antibacterial Activity
2.2.1. The Results of the Determination of Antibacterial Properties of mono–15 and 15–4–15 Additives
2.2.2. The Results of the Determined Antibacterial Properties of Grease with mono–15 and 15–4–15 Additives
2.3. The Results of the Determination of Additives’ Effectiveness in the Environment of Oil and Vegetable Grease
3. Discussion
4. Materials and Methods
4.1. Analytical Methods
4.1.1. Gas Chromatography
4.1.2. Mass Spectrometry
4.1.3. Antibacterial Properties
The Antibacterial Properties of Surfactant Additives
The Preparation of Analytical Samples for the Evaluation of Lubricants Containing Surface-Active Additives
4.1.4. Tribological Tests
4.1.5. Oxidative Stability
4.1.6. Corrosion Test
4.2. Synthesis Procedures
4.2.1. Synthesis of [3-(N,N-dimethylamine)propyl]hexadecanamide
4.2.2. Synthesis of 15–4–15 Gemini QAC
4.2.3. Synthesis of mono–15 QAC
5. Conclusions
Author Contributions
Funding
Institutional Review Board Statement
Informed Consent Statement
Data Availability Statement
Acknowledgments
Conflicts of Interest
References
- Bartz, W.J. Ecotribology: Environmentally Acceptable Tribological Practices. Tribol. Int. 2006, 39, 728–733. [Google Scholar] [CrossRef]
- Mortier, R.M.; Fox, M.F.; Orszulik, S.T. Chemistry and Technology of Lubricants; Springer: Berlin/Heidelberg, Germany, 2009. [Google Scholar]
- Bloch, H.P. Practical Lubrication for Industrial Facilities; Fairmont Press: New York, NY, USA, 2000. [Google Scholar]
- Lugt, P.M. Grease Lubrication in Rolling Bearings; John Wiley and Sons: London, UK, 2013. [Google Scholar]
- Mang, T. Encyclopedia of Lubricants and Lubrication; Springer: Berlin/Heidelberg, Germany, 2014. [Google Scholar]
- Mang, T.; Dresel, W. Lubricants and Lubrication; Wiley VCH: Weinheim, Germany, 2007. [Google Scholar]
- Ishchuk, Y.L. Lubricating Grease Manufacturing Technology; New Age International: New Delhi, India, 2008. [Google Scholar]
- Pirro, D.M.; Webster, M.; Daschner, E. Lubrication Fundamentals, Third Edition, Revised and Expanded; CRC Press: London, UK, 2016. [Google Scholar]
- Rizvi, S.Q.A. A Comprehensive Review of Lubricant Chemistry, Technology, Selection and Design; ASTM International: Baltimore, MD, USA, 2009. [Google Scholar]
- Yan, J.; Zeng, H.; Liu, T.; Mai, J.; Ji, H. Tribological Performance and Surface Analysis of a Borate Calcium as Additive in Lithium and Polyurea Greases. Tribol. Trans. 2017, 60, 621–628. [Google Scholar] [CrossRef]
- Fan, X.; Xia, Y.; Wang, L.; Li, W. Multilayer Graphene as a Lubricating Additive in Bentone Grease. Tribol. Lett. 2014, 55, 455–464. [Google Scholar] [CrossRef]
- Mohamed, A.; Osman, T.A.; Khattab, A.; Zaki, M. Tribological Behavior of Carbon Nanotubes as an Additive on Lithium Grease. J. Tribol. 2014, 137, 011801. [Google Scholar] [CrossRef]
- Kozdrach, R.; Skowroński, J. The Application of Polyvinylpyrrolidone as a Modifier of Tribological Properties of Lubricating Greases Based on Linseed Oil. J. Tribol. 2018, 140, 061801. [Google Scholar] [CrossRef]
- Stachowiak, G.; Batchelor, A.W. Engineering Tribology; Elsevier: Oxford, UK, 2007. [Google Scholar]
- Zheleznyi, L.V.; Bogaichuk, A.V.; Kobylyanskii, E.V.; Mishchuk, O.A. Antiwear Properties of High-Temperature Greases. Chem. Technol. Fuels Oils 2007, 43, 488–494. [Google Scholar] [CrossRef]
- Brown, S.F. Tribology & Lubrication Technology; STLE: Chicago, IL, USA, 2015. [Google Scholar]
- Gilardi, R. Tribology of Graphite-Filled Polystyrene. Lubricants 2016, 4, 20. [Google Scholar] [CrossRef]
- Szczerek, M.; Wiśniewski, M. Tribologia, Tribotechnika; PTT: Warszawa, Poland, 2000. [Google Scholar]
- Kozdrach, R. The Tribological Properties of Lubricating Greases Produced on Vegetable Base and Modified of Polytetrafluoroethylene. Finn. J. Trib. 2020, 37, 4–14. [Google Scholar] [CrossRef]
- Cann, P.M.; Hurley, S. Friction Properties of Grease in Elastohydrodynamic Lubrication.; NLGI Spokesman: Liberty, MO, USA, 2002; Volume 66, pp. 6–15. [Google Scholar]
- Kozdrach, R.; Skowroński, J. The Application of Chitosan as a Modifier for Lubricating Greases Based on Vegetable Oil. Tribol. Ind. 2019, 41, 212–219. [Google Scholar] [CrossRef]
- Nowicki, J.; Drabik, J.; Woszczyński, P.; Gębura, K.; Nowakowska-Bogdan, E.; Kozdrach, R. Tribological Characterisation of Plant Oil Derived Fatty Acid Esters of Higher Polyols: Comparative Experimental Study. Lubr. Sci. 2019, 31, 61–72. [Google Scholar] [CrossRef]
- Kozdrach, R.; Drabik, J.; Szczerek, M. Influence of Silicon Additives on Tribological and Rheological Test Results for Vegetable Lubricants. Materials 2023, 16, 6245. [Google Scholar] [CrossRef] [PubMed]
- Majzner, M.; Kajdas, C. Reactions of Carboxylic Acids under Boundary Friction Conditions. Tribologia 2003, 188, 63–80. [Google Scholar]
- Fryza, J.; Kroupa, J.; Sperka, P.; Krupka, I.; Hartl, M. Investigation of Film Thickness of Grease—Lubricated Thrust Bearing: From Ball-on-Disc to Bearing. Proc. Eng. Sci. 2019, 1, 550–554. [Google Scholar] [CrossRef]
- Hu, L.; Chen, I.; Kajdas, C. XPS Investigation of the Interaction between Aluminium Alloy and Lubricating Oil Additives. Tribologia 2001, 176, 7–22. [Google Scholar]
- Zhang, W.; Liu, W.; Yu, L.; Kajdas, C. Tribological Behavior of Cast Iron and (Ca, Mg)-Sialon under Lubrication. Tribologia 2001, 181, 1037–1052. [Google Scholar]
- Kajdas, C.; Majzner, M. Tribochemiczne Przemiany Kwasów Tłuszczowych. Tribologia 2000, 172, 375–390. [Google Scholar]
- Marczak, R. Fizykochemia Procesu Tarcia. Tribologia; WNT: Warszawa, Poland, 2000. [Google Scholar]
- Hebda, M. Procesy Tarcia, Smarowania i Zużywania Maszyn; WITeEPIB: Warszawa, Poland; Radom, Poland, 2007. [Google Scholar]
- Cann, P.M. Grease Lubrication of Rolling Element Bearings—Role of the Grease Thickener. Lubr. Sci. 2007, 19, 183–196. [Google Scholar] [CrossRef]
- Pogosyan, A.K.; Martirosyan, T.R. Tribological Properties of Bentonite Thickener-Containing Greases. J. Frict. Wear 2008, 29, 205–209. [Google Scholar] [CrossRef]
- Cizaire, L.; Vacher, B.; Le Mogne, T.; Martin, J.M.; Rapoport, L.; Margolin, A.; Tenne, R. Mechanisms of Ultra-Low Friction by Hollow Inorganic Fullerene-like MoS2 Nanoparticles. Surf. Coat. Technol. 2002, 160, 282–287. [Google Scholar] [CrossRef]
- Wu, Y.Y.; Tsui, W.C.; Liu, T.C. Experimental Analysis of Tribological Properties of Lubricating Oils with Nanoparticle Additives. Wear 2007, 262, 819–825. [Google Scholar] [CrossRef]
- Kaneta, M.; Ogata, T.; Takubo, Y.; Naka, M. Effects of a Thickener Structure on Grease Elastohydrodynamic Lubrication Films. Proc. Inst. Mech. Eng. Part J J. Eng. Tribol. 2000, 214, 327–336. [Google Scholar] [CrossRef]
- Liu, H.; Wang, X.; Zhao, Q.; Li, X.; Wang, X.; Zhang, S.; Lou, W. Effect of Base Oil on Rheological Behaviors and Tribological Properties of Nano-Silica Greases. J. Bio-Tribo-Corros. 2023, 9, 24. [Google Scholar] [CrossRef]
- Bao, Y.Y.; Sun, J.L.; Kong, L.H. Tribological Properties and Lubricating Mechanism of SiO2 Nanoparticles in Water-based Fluid. In Proceedings of the IOP Conference Series: Materials Science and Engineering, 17th IUMRS International Conference in Asia (IUMRS-ICA 2016), Qingdao, China, 20 October 2016; Volume 182, p. 012025. [Google Scholar]
- Guru, S.R.; Venugopal, C.; Sarangi, M. Effect of Polymer Additives on the Tribological Performance of Soybean Oil. Ind. Lubr. Tribol. 2023, 75, 607–618. [Google Scholar] [CrossRef]
- Quinchia, L.A.; Delgado, M.A.; Reddyhoff, T.; Gallegos, C.; Spikes, H.A. Tribological Studies of Potential Vegetable Oil-Based Lubricants Containing Environmentally Friendly Viscosity Modifiers. Tribol. Int. 2014, 69, 110–117. [Google Scholar] [CrossRef]
- Miao, Z.; Yang, J.; Wang, L.; Liu, Y.; Zhang, L.; Li, X.; Peng, L. Synthesis of Biodegradable Lauric Acid Ester Quaternary Ammonium Salt Cationic Surfactant and Its Utilization as Calico Softener. Mater. Lett. 2008, 62, 3450–3452. [Google Scholar] [CrossRef]
- Wang, S.; Cong, Z.; Xu, Z.; Ban, S.; Song, H. Fluorescent Dyes with Multiple Quaternary Ammonium Centers for Specific Image Discrimination and Gram-Positive Antibacterial Activity. Org. Biomol. Chem. 2022, 20, 3980–3987. [Google Scholar] [CrossRef] [PubMed]
- Kuraimid, Z.K.; Abid, D.S.; Fouda, A.E.-A.S. Synthesis and Characterization of a Novel Quaternary Ammonium Salt as a Corrosion Inhibitor for Oil-Well Acidizing Processes. ACS Omega 2023, 8, 27079–27091. [Google Scholar] [CrossRef]
- Akbar, J.R.; Deubry, R.; Marangoni, D.G.; Wettig, S.D. Interactions between Gemini and Nonionic Pharmaceutical Surfactants. Can. J. Chem. 2010, 88, 1262–1270. [Google Scholar] [CrossRef]
- Ying, G.-G. Fate, Behavior and Effects of Surfactants and Their Degradation Products in the Environment. Environ. Int. 2006, 32, 417–431. [Google Scholar] [CrossRef]
- Wu, J.; Gao, H.; Shi, D.; Yang, Y.; Zhang, Y.; Zhu, W. Cationic Gemini Surfactants Containing Both Amide and Ester Groups: Synthesis, Surface Properties and Antibacterial Activity. J. Mol. Liq. 2020, 299, 112248. [Google Scholar] [CrossRef]
- Laatiris, A.; El Achouri, M.; Rosa Infante, M.; Bensouda, Y. Antibacterial Activity, Structure and CMC Relationships of Alkanediyl α,ω-Bis(Dimethylammonium Bromide) Surfactants. Microbiol. Res. 2008, 163, 645–650. [Google Scholar] [CrossRef] [PubMed]
- Kuperkar, K.; Modi, J.; Patel, K. Surface-Active Properties and Antimicrobial Study of Conventional Cationic and Synthesized Symmetrical Gemini Surfactants. J. Surfactants Deterg. 2012, 15, 107–115. [Google Scholar] [CrossRef]
- Ghumare, A.K.; Pawar, B.V.; Bhagwat, S.S. Synthesis and Antibacterial Activity of Novel Amido-Amine-Based Cationic Gemini Surfactants. J. Surfactants Deterg. 2013, 16, 85–93. [Google Scholar] [CrossRef]
- Shaban, S.M.; Aiad, I.; Moustafa, H.Y.; Hamed, A. Amidoamine Gemini Surfactants Based Dimethylamino Propyl Amine: Preparation, Characterization and Evaluation as Biocide. J. Mol. Liq. 2015, 212, 907–914. [Google Scholar] [CrossRef]
- Olutas, E.B.; Kartal, N.B.; Birinci Yildirim, A. Self-Assembly, Surface, Antibacterial, and Solubilization Properties of Phenylglycine Type Amino Acid-Based Cationic Surfactants. J. Mol. Liq. 2022, 367, 120528. [Google Scholar] [CrossRef]
- Costerton, J.W.; Cheng, K.-J. The Role of the Bacterial Cell Envelope in Antibiotic Resistance. J. Antimicrob. Chemother. 1975, 1, 363–377. [Google Scholar] [CrossRef] [PubMed]
- Tavano, L.; Infante, M.R.; Riya, M.A.; Pinazo, A.; Vinardell, M.P.; Mitjans, M.; Manresa, M.A.; Perez, L. Role of Aggregate Size in the Hemolytic and Antimicrobial Activity of Colloidal Solutions Based on Single and Gemini Surfactants from Arginine. Soft Matter 2013, 9, 306–319. [Google Scholar] [CrossRef]
- Holah, J.T.; Taylor, J.H.; Dawson, D.J.; Hall, K.E. Biocide Use in the Food Industry and the Disinfectant Resistance of Persistent Strains of Listeria Monocytogenes and Escherichia coli. J. Appl. Microbiol. 2002, 92, 111S–120S. [Google Scholar] [CrossRef]
- Piecuch, A.; Obłąk, E.; Guz-Regner, K. Antibacterial Activity of Alanine-Derived Gemini Quaternary Ammonium Compounds. J. Surfactants Deterg. 2016, 19, 275–282. [Google Scholar] [CrossRef]
- Martín-Rodríguez, A.J.; Babarro, J.M.F.; Lahoz, F.; Sansón, M.; Martín, V.S.; Norte, M.; Fernández, J.J. From Broad-Spectrum Biocides to Quorum Sensing Disruptors and Mussel Repellents: Antifouling Profile of Alkyl Triphenylphosphonium Salts. PLoS ONE 2015, 10, e0123652. [Google Scholar] [CrossRef]
- Vieira, D.B.; Carmona-Ribeiro, A.M. Cationic Lipids and Surfactants as Antifungal Agents: Mode of Action. J. Antimicrob. Chemother. 2006, 58, 760–767. [Google Scholar] [CrossRef] [PubMed]
- Gilbert, E.A.; Guastavino, J.F.; Nicollier, R.A.; Lancelle, M.V.; Russell-White, K.; Murguía, M.C. Synthesis and Properties of Cleavable Quaternary Ammonium Compounds. J. Oleo Sci. 2021, 70, 59–65. [Google Scholar] [CrossRef] [PubMed]
- Ahmady, A.R.; Hosseinzadeh, P.; Solouk, A.; Akbari, S.; Szulc, A.M.; Brycki, B.E. Cationic Gemini Surfactant Properties, Its Potential as a Promising Bioapplication Candidate, and Strategies for Improving Its Biocompatibility: A Review. Adv. Colloid Interface Sci. 2022, 299, 102581. [Google Scholar] [CrossRef] [PubMed]
- Zhao, X.; Li, Y.; Yuan, H.; Yin, J.; Hu, M. Antibacterial Mechanism of Octamethylene-1,8-Bis(Dodecyldimethylammonium Bromide) against E. coli. J. Surfactants Deterg. 2017, 20, 717–723. [Google Scholar] [CrossRef]
- Zhou, Z.; Zhou, S.; Zhang, X.; Zeng, S.; Xu, Y.; Nie, W.; Zhou, Y.; Xu, T.; Chen, P. Quaternary Ammonium Salts: Insights into Synthesis and New Directions in Antibacterial Applications. Bioconjug. Chem. 2023, 34, 302–325. [Google Scholar] [CrossRef] [PubMed]
- Martín, V.I.; de la Haba, R.R.; Ventosa, A.; Congiu, E.; Ortega-Calvo, J.J.; Moyá, M.L. Colloidal and Biological Properties of Cationic Single-Chain and Dimeric Surfactants. Colloids Surf. B Biointerfaces 2014, 114, 247–254. [Google Scholar] [CrossRef] [PubMed]
- Raetz, C.R.H.; Whitfield, C. Lipopolysaccharide Endotoxins. Annu. Rev. Biochem. 2002, 71, 635–700. [Google Scholar] [CrossRef]
- Balgavý, P.; Devínsky, F. Cut-off Effects in Biological Activities of Surfactants. Adv. Colloid Interface Sci. 1996, 66, 23–63. [Google Scholar] [CrossRef]
- Devínsky, F.; Kopecka-Leitmanová, A.; Šeršeň, F.; Balgavý, P. Cut-off Effect in Antimicrobial Activity and in Membrane Perturbation Efficiency of the Homologous Series of N,N-Dimethylalkylamine Oxides. J. Pharm. Pharmacol. 1990, 42, 790–794. [Google Scholar] [CrossRef]
- Kowalczyk, I.; Pakiet, M.; Szulc, A.; Koziróg, A. Antimicrobial Activity of Gemini Surfactants with Azapolymethylene Spacer. Molecules 2020, 25, 4054. [Google Scholar] [CrossRef]
- Koziróg, A.; Brycki, B. Monomeric and Gemini Surfactants as Antimicrobial Agents—Influence on Environmental and Reference Strains. Acta Biochim. Pol. 2015, 62, 879–883. [Google Scholar] [CrossRef] [PubMed]
- Gilbert, P.; Moore, L.E. Cationic Antiseptics: Diversity of Action under a Common Epithet. J. Appl. Microbiol. 2005, 99, 703–715. [Google Scholar] [CrossRef] [PubMed]
- Sapozhnikov, S.V.; Sabirova, A.E.; Shtyrlin, N.V.; Druk, A.Y.; Agafonova, M.N.; Chirkova, M.N.; Kazakova, R.R.; Grishaev, D.Y.; Nikishova, T.V.; Krylova, E.S.; et al. Design, Synthesis, Antibacterial Activity and Toxicity of Novel Quaternary Ammonium Compounds Based on Pyridoxine and Fatty Acids. Eur. J. Med. Chem. 2021, 211, 113100. [Google Scholar] [CrossRef] [PubMed]
- Joondan, N.; Caumul, P.; Akerman, M.; Jhaumeer-Laulloo, S. Synthesis, Micellisation and Interaction of Novel Quaternary Ammonium Compounds Derived from l-Phenylalanine with 1,2-Dipalmitoyl-Sn-Glycero-3-Phosphocholine as Model Membrane in Relation to Their Antibacterial Activity, and Their Selectivity over Human Red Blood Cells. Bioorg. Chem. 2015, 58, 117–129. [Google Scholar] [CrossRef]
- Nowicki, J.; Sokołowski, A.; Reksa, D. Synthesis and Surface Active Properties of Novel Carbohydrate-Based Cationic Surfactants. J. Surfactants Deterg. 2011, 14, 179–184. [Google Scholar] [CrossRef]
- Li, X.; Zou, C.; Cui, C. Synthesis and Characterization of a Novel β-Cyclodextrin Modified Cationic Polyacrylamide and Its Application for Enhancing Oil Recovery. Starch-Stärke 2015, 67, 673–682. [Google Scholar] [CrossRef]














| Gemini QACs | ||||||
|---|---|---|---|---|---|---|
| 12–2–12 | 12–3–12 | 12–4–12 | 14–2–14 | 14–3–14 | 14–4–14 | |
| S. aureus | 6 | 6 | 1.5 | 8 | 6 | 20 |
| P. aeruginosa | 200 | 200 | 200 | >800 | >800 | >800 |
| E. coli | 50 | 50 | 50 | 500 | 600 | 600 |
| Gemini QACs | ||||||
|---|---|---|---|---|---|---|
| 16–2–16 | 16–4–16 | 16–6–16 | 12–2–12 | 12–4–12 | ||
| Gram (+) | B. subtilis | 0.13 | 0.14 | 0.19 | 0.40 | 0.39 |
| S. aureus | 0.20 | 0.19 | 0.32 | 0.33 | 0.31 | |
| Gram (−) | K. pneumonia | 0.20 | 0.19 | 0.32 | 0.40 | 0.39 |
| S. paratyphi type B | 0.28 | 0.53 | 0.51 | 0.33 | 0.31 | |
| A. niger | 0.10 | 0.10 | 0.19 | 0.24 | 0.16 | |
| Mono and Gemini QACs | ||||||
|---|---|---|---|---|---|---|
| 14–Mono | 14–3–14 | 14–6–14 | 18-Mono | 18–3–18 | 18–6–18 | |
| P. aeruginosa | - | 19 | 13 | 9 | 12 | 9 |
| B. subtilis | 15 | 12 | 15 | - | - | 11 |
| S. aureus | 16 | 15 | 16 | 11 | 10 | 10 |
| Product (GC) | Molecular Weight, Da | Structure | Name | Content, % |
|---|---|---|---|---|
| 1 | 340 | ![]() | [3-(N,N-dimethylamine)propyl]hexadecanamide | 97.6 |
| 2 | 338 | N/A | N/A, probably unsaturated product 1 | 2.4 |
| Product (GC) | Molecular Weight, Da | Structure | Name |
|---|---|---|---|
| 1 | 100 | ![]() | N,N-dimethylbutylamine |
| 2 | 296.5 | ![]() | N/A |
| 3 | 341.4 | ![]() | [3-(N,N-dimethylamine)propyl]hexadecanamide |
| 4 | 431.0 | ![]() | N/A |
| 5 | 771.7 | ![]() | 15–4–15 (single Cl−) |
| Product (GC) | Molecular Weight, Da | Structure | Name |
|---|---|---|---|
| 1 | 296.5 | ![]() | N/A |
| 2 | 341.4 | ![]() | [3-(N,N-dimethylamine)propyl]hexadecanamide |
| 3 | 397.4 | ![]() | mono–15 QAC (without Cl−) |
| Lubricant | Goz/40, N/mm2 (WTWT-94/MPS-025) | Wear Diameter, d, mm (WTWT-94/MPS-025) | Oxidation Induction Time, at 80 °C, OIT, h (ASTM D 942-02) | Corrosion Degree (PN-EN ISO 2160:2004) |
|---|---|---|---|---|
| Oil A | 383 ± 27 | 0.73 ± 0.04 | 1.2 | 1 a |
| Oil A + mono–15 | 455 ± 32 | 0.67 ± 0.05 | 7.2 | 1 a |
| Oil A + 15–4–15 | 531 ± 42 | 0.62 ± 0.04 | 8.1 | 1 a |
| Grease A | 886 ± 51 | 0.48 ± 0.01 | 36.7 | 1 a |
| Grease A + mono–15 | 1008 ± 128 | 0.45 ± 0.02 | 40.3 | 1 b |
| Grease A + 15–4–15 | 1157 ± 147 | 0.42 ± 0.02 | 41.9 | 1 b |
Disclaimer/Publisher’s Note: The statements, opinions and data contained in all publications are solely those of the individual author(s) and contributor(s) and not of MDPI and/or the editor(s). MDPI and/or the editor(s) disclaim responsibility for any injury to people or property resulting from any ideas, methods, instructions or products referred to in the content. |
© 2023 by the authors. Licensee MDPI, Basel, Switzerland. This article is an open access article distributed under the terms and conditions of the Creative Commons Attribution (CC BY) license (https://creativecommons.org/licenses/by/4.0/).
Share and Cite
Drabik, J.; Korasiak, K.; Chrobak, J.; Woch, J.; Brzeźniak, N.; Barszcz, W.; Kozdrach, R.; Iłowska, J. Amide/Amino-Based Functional Additives for Lubricants: Structure, Antimicrobial Activity and Wear Resistance. Molecules 2024, 29, 122. https://doi.org/10.3390/molecules29010122
Drabik J, Korasiak K, Chrobak J, Woch J, Brzeźniak N, Barszcz W, Kozdrach R, Iłowska J. Amide/Amino-Based Functional Additives for Lubricants: Structure, Antimicrobial Activity and Wear Resistance. Molecules. 2024; 29(1):122. https://doi.org/10.3390/molecules29010122
Chicago/Turabian StyleDrabik, Jolanta, Kamil Korasiak, Justyna Chrobak, Julia Woch, Natalia Brzeźniak, Wioletta Barszcz, Rafał Kozdrach, and Jolanta Iłowska. 2024. "Amide/Amino-Based Functional Additives for Lubricants: Structure, Antimicrobial Activity and Wear Resistance" Molecules 29, no. 1: 122. https://doi.org/10.3390/molecules29010122
APA StyleDrabik, J., Korasiak, K., Chrobak, J., Woch, J., Brzeźniak, N., Barszcz, W., Kozdrach, R., & Iłowska, J. (2024). Amide/Amino-Based Functional Additives for Lubricants: Structure, Antimicrobial Activity and Wear Resistance. Molecules, 29(1), 122. https://doi.org/10.3390/molecules29010122










