Due to scheduled maintenance work on our servers, there may be short service disruptions on this website between 11:00 and 12:00 CEST on March 28th.
Sign in to use this feature.

Years

Between: -

Subjects

remove_circle_outline
remove_circle_outline
remove_circle_outline
remove_circle_outline
remove_circle_outline
remove_circle_outline
remove_circle_outline
remove_circle_outline

Journals

remove_circle_outline
remove_circle_outline
remove_circle_outline
remove_circle_outline

Article Types

Countries / Regions

remove_circle_outline
remove_circle_outline
remove_circle_outline
remove_circle_outline

Search Results (541)

Search Parameters:
Keywords = GAPDH

Order results
Result details
Results per page
Select all
Export citation of selected articles as:
13 pages, 1084 KB  
Article
Circulating Plasma Cells as a Minimally Invasive Adjunct to Bone Marrow Aspirates for Genetic Analysis of ER Stress and Autophagy in Multiple Myeloma: A Feasibility Study
by A.-M. Joëlle Marivel, Therese M. Becker, Alexander James, Yafeng Ma, Nirupama D. Verma, Tara L. Roberts and Silvia Ling
Biomedicines 2026, 14(4), 737; https://doi.org/10.3390/biomedicines14040737 (registering DOI) - 24 Mar 2026
Viewed by 124
Abstract
Background: Multiple myeloma (MM) is characterised by clonal expansion of plasma cells (PCs) in the bone marrow (BM). Disease assessment and monitoring typically rely on invasive, single-site procedures, such as BM biopsies (BMBs), which may inadequately capture intra- and extra-medullary spatial heterogeneity. Circulating [...] Read more.
Background: Multiple myeloma (MM) is characterised by clonal expansion of plasma cells (PCs) in the bone marrow (BM). Disease assessment and monitoring typically rely on invasive, single-site procedures, such as BM biopsies (BMBs), which may inadequately capture intra- and extra-medullary spatial heterogeneity. Circulating plasma cells (CPCs), enriched from peripheral blood (PB), may represent a minimally invasive alternative or adjunct for molecular profiling. Objectives: This study aimed to evaluate the feasibility of using CPCs, enriched from PB, for mRNA analysis in plasma cell dyscrasia, including MM. A secondary objective was to assess whether mRNA expression levels of the endoplasmic reticulum (ER) stress sensors X-box-binding protein 1 (uXBP1) and activating transcription factor 6 (ATF6), and the chaperone-mediated autophagy marker Lysosomal-Associated Membrane Protein 2 (LAMP2A) by droplet digital PCR (ddPCR), were associated with resistance to the second-generation proteasome inhibitor (PI) carfilzomib (Cfz). Methods: Multiple myeloma (MM) cell lines (H929 and U266) and their carfilzomib-adapted derivatives were used to establish and validate droplet digital PCR (ddPCR) assays targeting ER stress (uXBP1, ATF6) and autophagy-related (LAMP2A) transcripts. Solid tumour cell lines, including serum-starved HeLa cells, served as biological controls to support assay specificity and sensitivity. Total RNA was extracted and reverse-transcribed to complementary DNA prior to analysis. Transcript levels were normalised to those of β-actin or GAPDH, as appropriate. ddPCR was performed using the BioRad QX200 system, with results reported as the normalised transcript copy number per microlitre of reaction. Matched bone marrow aspirate (BMA) and peripheral blood (PB) samples were collected at a single clinical time point from adults undergoing investigation for plasma cell dyscrasia between January 2021 and December 2023. Samples were obtained as part of standard clinical care and/or during treatment with Bortezomib (Btz) or Cfz. Mononuclear cells were isolated by density gradient centrifugation, and CD138+ plasma cells were enriched by fluorescence-activated cell sorting. Enrichment purity was assessed qualitatively by immunofluorescence microscopy using CD138 and CD117 markers. Samples yielding fewer than 1000 CD138+ plasma cells were excluded, resulting in 10 evaluable matched patient pairs. Results: Carfilzomib-adapted MM cell lines demonstrated reduced levels of uXBP1, ATF6, and LAMP2A mRNA compared to treatment-naïve cells. In matched BM and PB samples, uXBP1 mRNA levels were consistently lower in circulating PCs than in BM-derived PCs, whereas ATF6 mRNA levels were concordant between compartments. LAMP2A mRNA levels exhibited marked inter-patient heterogeneity. Conclusions: This study demonstrates the feasibility of using CPCs as a minimally invasive source for mRNA-based biomarker assessment and highlights ddPCR as a sensitive platform for quantifying ER stress and chaperone-mediated autophagy related transcripts in CPCs. Cfz adaptation was associated with reduced levels of uXBP1 and LAMP2A mRNA in MM cell lines. Future prospective studies evaluating the clinical utility of ER stress and chaperone-mediated autophagy associated transcripts in CPCs as predictors of resistance to PI are warranted. Full article
Show Figures

Graphical abstract

15 pages, 827 KB  
Article
Gene Expression Profiles of Inflammatory Mediators in Influenza A and B Virus Infections: Insights from Riyadh, Saudi Arabia (2020–2023)
by Noorah A. Alkubaisi, Mohamed A. Farrag, Ibrahim M. Aziz, Reem M. Aljowaie and Fahad N. Almajhdi
Genes 2026, 17(3), 325; https://doi.org/10.3390/genes17030325 - 17 Mar 2026
Viewed by 207
Abstract
Background/Objectives: Influenza A (IAV) and influenza B (IBV) viruses pose significant public health threats, with varying epidemiology and immune responses. Limited subtype-specific cytokine data exist for influenza in Saudi Arabia. This study conducted molecular surveillance on 380 NPAs from patients at King Khalid [...] Read more.
Background/Objectives: Influenza A (IAV) and influenza B (IBV) viruses pose significant public health threats, with varying epidemiology and immune responses. Limited subtype-specific cytokine data exist for influenza in Saudi Arabia. This study conducted molecular surveillance on 380 NPAs from patients at King Khalid University Hospital (KKUH) in Riyadh, Saudi Arabia, during winter seasons (2020–2023). Methods: NPA samples were collected from hospitalized patients presenting with fever (>38 °C) and respiratory symptoms. RNA was extracted using the QIAamp Viral RNA Kit, followed by RT-PCR for IAV (H1N1, A/H3N2) and IBV detection. Quantitative real-time PCR profiled mRNA expression of 17 cytokines/chemokines in IAV-positive (n = 65) and IBV-positive (n = 20) samples, normalized to GAPDH using the 2−ΔΔCq method. Appropriate statistical tests were applied (p < 0.05 significant). Results: Results showed 17.11% IAV positivity (7.89% A/H1N1, 9.21% A/H3N2) and 5.26% IBV. A/H3N2 predominated, increasing from 6.67% (2020/21) to 12.30% (2022/23). Males had higher IAV rates (25.88% vs. 10.00% females, p < 0.05), while IBV was higher in females (6.67% vs. 3.53%). Age-wise, 0–4 years had peak IAV (28.42%, p < 0.05); IBV peaked at 5–14 years (10.91%). IAV elicited higher mRNA expression IFN-α, IL-10, IL-13, and CCL-2 (p < 0.05); IBV showed elevated IL-1α, IL-6, and IL-33 (p < 0.05). Within IAV, A/H1N1 had higher IL-4, IL-10, IL-13, and IL-17; A/H3N2 elevated TNF-α, IL-6, IL-22, CCL-3, and CCL-4 (p < 0.05). Conclusions: These findings highlight subtype-specific inflammatory profiles and demographic disparities in Saudi Arabia, informing targeted interventions. Post-COVID resurgence underscores surveillance needs amid travel and gatherings. Insights into cytokine dynamics aid prognosis and therapeutics, emphasizing regional molecular monitoring for vaccine optimization and outbreak prevention. Full article
(This article belongs to the Section Molecular Genetics and Genomics)
Show Figures

Figure 1

19 pages, 4699 KB  
Article
TPP-Thiazole Derivatives Ameliorate Psoriasiform Inflammation by Glycolysis Inhibition
by Xinwei Meng, Ci-An Cheng, Zhirui Zhang, Siying Qu, Anqi Zhang, Yang Zhang, Jinxin Gu, Hanwen Zhang, Keyue Ding, Lei Fu, Mengchen Lu, Daiyun Huang and Yixue Qiao
Molecules 2026, 31(6), 982; https://doi.org/10.3390/molecules31060982 - 15 Mar 2026
Viewed by 282
Abstract
Psoriasis, a chronic inflammatory skin disease, is driven by immune dysregulation and keratinocyte hyperproliferation, with current biologics facing limitations. Emerging evidence points to mitochondrial dysfunction and a pathological shift to aerobic glycolysis as core disease drivers. Here, we report that MitoFu-O, a novel [...] Read more.
Psoriasis, a chronic inflammatory skin disease, is driven by immune dysregulation and keratinocyte hyperproliferation, with current biologics facing limitations. Emerging evidence points to mitochondrial dysfunction and a pathological shift to aerobic glycolysis as core disease drivers. Here, we report that MitoFu-O, a novel mitochondria-targeting TPP-thiazole derivative, effectively ameliorates psoriasiform inflammation in imiquimod-induced mice and cytokine-stimulated keratinocytes. Mechanistically, MitoFu-O acts by inhibiting pathological glycolysis, downregulating key glycolytic enzymes (HK1, GAPDH, LDHA), and subsequently suppressing the activation of pivotal pro-inflammatory signaling pathways (MAPK, NF-κB, and STAT3). Our findings establish targeted mitochondrial modulation as a potent therapeutic strategy, positioning MitoFu-O as a promising lead compound that acts upstream of cytokine signaling by normalizing the metabolic reprogramming fundamental to psoriatic pathogenesis. Full article
Show Figures

Figure 1

19 pages, 2450 KB  
Article
Pomegranate Heart Rot Caused by Alternaria alternata, an Emerging Disease in Algeria
by Nesma Abdessemed, Ali Kerroum, Sabri Ala Eddine Zaidat, Brahim Beladis, Ihssan Cherief, Rossana Parlascino, Mario Riolo, Antonella Pane and Santa Olga Cacciola
J. Fungi 2026, 12(3), 209; https://doi.org/10.3390/jof12030209 - 14 Mar 2026
Viewed by 339
Abstract
Pomegranate heart rot (black heart) was observed in several pomegranate-growing areas of Algeria. From 2022 to 2025, surveys were conducted across 15 provinces (20 localities), and a total of 85 fruits (symptomatic and asymptomatic) were collected. Fruits were cut transversely to assess internal [...] Read more.
Pomegranate heart rot (black heart) was observed in several pomegranate-growing areas of Algeria. From 2022 to 2025, surveys were conducted across 15 provinces (20 localities), and a total of 85 fruits (symptomatic and asymptomatic) were collected. Fruits were cut transversely to assess internal symptoms, ranging from early aril browning to dry black rot. Thirty Alternaria isolates were obtained and grouped into four morphotypes based on colony and conidial morphological traits. A subset of 18 isolates was analysed by multilocus phylogeny (ITS, EF-1α, GAPDH and OPA10-2); all analysed isolates clustered within the Alternaria alternata species complex, in the clade including the ex-type strain CBS 916.96. Fruit pathogenicity tests with Algerian isolate GA reproduced typical internal heart rot symptoms, and the pathogen was consistently re-isolated from symptomatic tissues. In fruit inoculations with isolate GA, cultivars differed in susceptibility, with mean disease severities of 94%, 62% and 9.5% in ‘Taferrante’, ‘Ikhessène’ and ‘Kares’, respectively, expressed as the percentage of the fruit section presenting rot symptoms. Detached leaf assays indicated isolate-dependent differences in aggressiveness, and ‘Kares’ showed the lowest susceptibility. Overall, the results confirm that A. alternata is the causal agent of pomegranate heart rot in Algeria and provide baseline information for disease diagnosis and management. Full article
(This article belongs to the Section Fungi in Agriculture and Biotechnology)
Show Figures

Figure 1

17 pages, 1912 KB  
Article
The Time-Dependent Effects of Temozolomide on Autophagy Gene Expression in Glioblastoma Cells
by İlker Kiraz, Veli Kaan Aydın, Özgür Kurt, Mehmet Erdal Coşkun, Gergana Lengerova, Martina Bozhkova, Steliyan Petrov and Aylin Köseler
Biomedicines 2026, 14(3), 656; https://doi.org/10.3390/biomedicines14030656 - 13 Mar 2026
Viewed by 307
Abstract
Background: Temozolomide (TMZ) resistance represents a major therapeutic challenge in glioblastoma treatment, where autophagy has emerged as a key adaptive survival mechanism. Although numerous studies have implicated autophagy in TMZ resistance, most have assessed this process at a single point, thereby overlooking [...] Read more.
Background: Temozolomide (TMZ) resistance represents a major therapeutic challenge in glioblastoma treatment, where autophagy has emerged as a key adaptive survival mechanism. Although numerous studies have implicated autophagy in TMZ resistance, most have assessed this process at a single point, thereby overlooking its dynamic and time-dependent nature. Methods: In this study, we systematically investigated the temporal regulation of autophagy-related gene expression in two human glioblastoma cell lines with distinct MGMT methylation status and TMZ sensitivities (T98G and U87) following TMZ treatment. Cells were exposed to TMZ and harvested at defined time points (0 h, 6 h, 24 h, and 48 h). The expression levels of genes representing distinct stages of the autophagy pathway, including initiation, nucleation, elongation, selective autophagy, lysosomal function, and transcriptional regulation, were analyzed using RT-qPCR. Relative gene expression was calculated using the 2−ΔΔCT method with GAPDH as the reference gene. Results: Our results reveal a time-dependent and phase-specific transcriptional reprogramming of the autophagy machinery in response to TMZ-induced stress. Early time points were characterized by modulation of autophagy initiation and nucleation genes, whereas intermediate and late phases showed prominent regulation of genes associated with autophagosome elongation, selective autophagy, autophagic flux, and transcriptional control. Conclusions: Collectively, these findings demonstrate that autophagy in TMZ-treated glioblastoma cells is not a static response but a dynamically regulated, multi-phase program. Specifically, in TMZ-resistant T98G cells, this process matures into a sustained adaptive program with robust late-phase lysosomal integration, while in TMZ-sensitive U87 cells, the early autophagic response is transient and fails to support long-term lysosomal coordination. This temporal perspective provides new insights into the role of autophagy in TMZ tolerance and underscores the importance of time-resolved analyses when targeting autophagy to overcome chemoresistance in glioblastoma. Full article
(This article belongs to the Section Cancer Biology and Oncology)
Show Figures

Figure 1

28 pages, 10512 KB  
Article
Sordariomycetes Taxa Associated with Dracaena in Karst Outcrops: Two Novel Species and Five New Host Records from Thailand
by Napalai Chaiwan, Saowaluck Tibpromma, Samantha C. Karunarathna, Dhanushka N. Wanasinghe, Kevin D. Hyde, Nakarin Suwannarach, Ruvishika S. Jayawardena and Itthayakorn Promputtha
J. Fungi 2026, 12(3), 168; https://doi.org/10.3390/jof12030168 - 26 Feb 2026
Viewed by 475
Abstract
Currently, our understanding of the fungi associated with Dracaena species is limited. There is a clear need for more comprehensive information, especially in the context of Thailand. In our study, we collected dead Dracaena leaves with fungal structures from limestone outcrops in seven [...] Read more.
Currently, our understanding of the fungi associated with Dracaena species is limited. There is a clear need for more comprehensive information, especially in the context of Thailand. In our study, we collected dead Dracaena leaves with fungal structures from limestone outcrops in seven Thai provinces: Chiang Mai, Kanchanaburi, Krabi, Nakhon Si Thammarat, Ratchaburi, Songkhla, and Tak. The fungi in these samples were isolated and identified using a combination of morphological characteristics and a multi-loci phylogeny (ACT, CHS-1, GAPDH, ITS, LSU, and TUB2). We are thrilled to introduce seven taxa belonging to four families within three orders (Chaetosphaeriales, Glomerellales, and Xylariales). Our detailed morphological descriptions and updated phylogenetic trees of two new species (Zygosporium dracaenae, and Z. dracaenicola) and five new host/geographical records (Colletotrichum dracaenophilum, C. gigasporum, C. truncatum, Malaysiasca phaii, and Neoleptosporella camporesiana) represent a significant step forward in our understanding of this field. Full article
(This article belongs to the Special Issue Ascomycota: Diversity, Taxonomy and Phylogeny, 3rd Edition)
Show Figures

Figure 1

14 pages, 433 KB  
Article
Analysis of the rs3807135, rs3757385 and rs3778754 Variants of the IRF5 Gene and mRNA Expression in Patients with Melanoma Cancer from Western Mexico
by Claudia A. Tapia-Leyva, Fernando Valdez-Salazar, Luis A. Jiménez-Del Río, Jorge R. Padilla-Gutiérrez, José F. Muñoz-Valle and Emmanuel Valdés-Alvarado
Genes 2026, 17(3), 254; https://doi.org/10.3390/genes17030254 - 24 Feb 2026
Viewed by 282
Abstract
Objective: To analyze the association between the IRF5 gene variants rs3807135, rs3757385, and rs3778754 and mRNA expression levels in patients from western Mexico diagnosed with melanoma. Methods: An analytical cross-sectional study was conducted including 374 individuals (153 patients with newly diagnosed melanoma and [...] Read more.
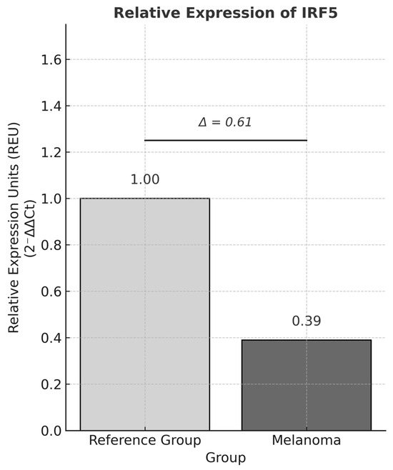
Objective: To analyze the association between the IRF5 gene variants rs3807135, rs3757385, and rs3778754 and mRNA expression levels in patients from western Mexico diagnosed with melanoma. Methods: An analytical cross-sectional study was conducted including 374 individuals (153 patients with newly diagnosed melanoma and no previous treatment, and 221 controls). The melanoma group was matched to the reference group. Genotyping of the rs3807135 (T>C), rs3757385 (T>G), and rs3778754 (C>G) variants was performed using the allelic discrimination method with TaqMan® probes. Relative mRNA expression was quantified by qPCR using the 2–ΔΔCT method, comparing IRF5 expression levels with those of the housekeeping gene GAPDH. Statistical analyses were performed in R, and allelic and genotypic frequencies were compared between patients and controls using the Chi-square test. Results: No statistically significant associations were identified between IRF5 SNVs rs3807135, rs3757385, and rs3778754 and melanoma risk. The haplotypic pattern comprised TTC, CGG, and CGC, with CGG showing a non-significant protective tendency. The mean relative expression of IRF5 was lower in melanoma patients compared with controls (≈0.39 vs. 1.0; Δ = 0.61), although this difference did not reach statistical significance (U = 1725; p = 0.841). These findings suggest a modest modulatory effect of IRF5 at the haplotypic level, likely driven by combined variant effects. Conclusions: In conclusion, the present study did not identify statistically significant associations between the IRF5 single-nucleotide variants rs3807135, rs3757385, and rs3778754 and melanoma risk in the analyzed population from western Mexico. Likewise, no significant differences in allele or genotype distributions were observed between melanoma patients and control individuals. These findings suggest that the evaluated IRF5 genetic variants do not constitute major susceptibility factors for melanoma in this cohort. Full article
(This article belongs to the Special Issue Genetics and Genomics in Cancer)
Show Figures

Figure 1

45 pages, 3426 KB  
Review
Targeting Glycolytic Metabolism in Cancer Therapy: Current Approaches and Future Perspectives
by Shuang Li, Jie Gong, Baorong Kang, Zelong Wang, Yuxuan Ma, Xinhua Xia and Hong Yan
Cells 2026, 15(4), 362; https://doi.org/10.3390/cells15040362 - 18 Feb 2026
Viewed by 796
Abstract
Targeting the Warburg effect (aerobic glycolysis) in tumor cells represents a promising metabolic therapeutic strategy in cancer research. This review analyzes the regulatory mechanisms and therapeutic potential of key glycolysis pathway components, including glucose transporters (GLUTs) and glycolytic enzymes such as hexokinase 2 [...] Read more.
Targeting the Warburg effect (aerobic glycolysis) in tumor cells represents a promising metabolic therapeutic strategy in cancer research. This review analyzes the regulatory mechanisms and therapeutic potential of key glycolysis pathway components, including glucose transporters (GLUTs) and glycolytic enzymes such as hexokinase 2 (HK2), phosphofructokinase (PFK), glyceraldehyde-3-phosphate dehydrogenase (GAPDH), pyruvate kinase M2 (PKM2), and lactate dehydrogenase A (LDHA). We evaluate the molecular mechanisms of various inhibitors and the current clinical development landscape, noting that limitations of monotherapy stem not only from tumor metabolic plasticity but also largely from the unacceptable toxicity of many inhibitors due to the essential role of glycolysis in normal cell metabolism. Furthermore, we explore the molecular basis of synergistic interactions between glycolysis inhibitors and chemotherapy, radiotherapy, immunotherapy, photothermal therapy, and targeted therapy, proposing that rational combination strategies may help overcome resistance and improve therapeutic efficacy. Finally, the review outlines future challenges and directions, emphasizing that the primary obstacle in metabolic treatments is achieving selective inhibition of glycolytic enzymes in cancer cells while sparing normal cells. To address this challenge, the development of high-selectivity agents, cancer-specific nanodelivery systems, precise biomarker identification, and innovative combination regimens based on metabolic-immune regulation is crucial for advancing glycolysis-targeted therapy toward clinical translation. Full article
(This article belongs to the Section Cellular Metabolism)
Show Figures

Graphical abstract

20 pages, 1913 KB  
Article
Transcriptome-Based Selection and Validation of Reference Genes for Gene Expression Analysis in Roegneria ciliaris ‘Liao Sheng’ Across Various Tissues and Under Drought Stress
by Qianyun Luo, Yue Liu, Yifan Wang, Guanghao Zhang, Jiafen Liu, Hongxin Li, Zhen Liang, Ying Liu, Long Bai and Sijia Liu
Genes 2026, 17(2), 237; https://doi.org/10.3390/genes17020237 - 14 Feb 2026
Viewed by 327
Abstract
Backgrounds: Roegneria ciliaris is a perennial tetraploid wild relative of wheat that is widely distributed in China. It can be used both as a forage crop and ecological grass (the grasses specifically bred for ecological restoration) due to its strong stress tolerance, early [...] Read more.
Backgrounds: Roegneria ciliaris is a perennial tetraploid wild relative of wheat that is widely distributed in China. It can be used both as a forage crop and ecological grass (the grasses specifically bred for ecological restoration) due to its strong stress tolerance, early green-up, vigorous seedling growth in spring, and great palatability. Methods: It is necessary to select and validate appropriate reference genes (RGs) for gene expression normalization by qRT-PCR in order to decipher the stress tolerance mechanism of this grass species. Therefore, eight candidate RGs were identified from transcriptome data of R. ciliaris ‘Liao sheng’ in response to drought stress. The expression stability of these RGs was evaluated by five algorithms (∆Ct, geNorm, NormFinder, Bestkeeper and ReFinder) using samples from different tissues and drought stress. Results: The results showed that MDH and RPL19 were the most stable RGs among all samples, while GAPDH and TUBA presented the lowest expression stability. These representative RGs were further used to normalize the expression level of the pyrroline-5-carboxylate synthase (P5CS) and protein phosphatase 2C (PP2C) genes in different tissues and under drought stress. The results of P5CS and PP2C expression were consistent with transcriptome data. Conclusion: Our study provided the first systematic evaluation of the most stable RG selection for qRT-PCR normalization in R. ciliaris, which will promote further research on its tissue-specific gene expression and mechanism of drought tolerance. Full article
(This article belongs to the Section Plant Genetics and Genomics)
Show Figures

Figure 1

16 pages, 1808 KB  
Article
Isolation and Functional Characterization of Carob-Derived Nanovesicles Reveals Anti-Inflammatory and Regenerative Potential
by Mari Cruz Manzaneque-López, Christian M. Sánchez-López, Antonio Marcilla, Pedro Pérez-Bermúdez and Carla Soler
Plants 2026, 15(4), 590; https://doi.org/10.3390/plants15040590 - 13 Feb 2026
Viewed by 568
Abstract
Plant-derived nanovesicles (PDNVs) are increasingly recognized as mediators of intercellular communication in plants, where they play roles in defense, signaling, and cell wall remodeling. In addition, PDNVs are gaining increasing attention for their biomedical potential, both as natural delivery systems and as bioactive [...] Read more.
Plant-derived nanovesicles (PDNVs) are increasingly recognized as mediators of intercellular communication in plants, where they play roles in defense, signaling, and cell wall remodeling. In addition, PDNVs are gaining increasing attention for their biomedical potential, both as natural delivery systems and as bioactive entities, with promising applications in inflammatory disorders and cancer. In this study, we isolated carob nanovesicles (CbNVs) from the apoplastic fluid of carob pods (Ceratonia siliqua L.) using vacuum infiltration centrifugation followed by tangential flow filtration and size-exclusion chromatography. Morphological and biophysical analyses revealed spherical vesicles, while proteomic profiling identified 197 proteins, including suggested PDNV markers such as annexin, HSP70, GAPDH, elongation factors, malate dehydrogenase, and TET-8. These proteins were enriched in metabolic processes, stress responses, and cell wall modification pathways. Protein–protein interaction analysis further linked HSP70 to pectinesterases, reinforcing their role in cell wall remodeling and stress adaptation. Functionally, CbNVs were non-cytotoxic to human macrophages, keratinocytes, and intestinal cells. Notably, CbNVs significantly reduced LPS-induced NF-κB expression in macrophages and promoted wound closure in keratinocytes, with superior efficacy compared to the carob bioactive compound D-pinitol. These findings suggest that CbNVs harbor a synergistic cargo of bioactive molecules with anti-inflammatory and wound-healing properties, highlighting their potential as natural nanotherapeutics. Full article
(This article belongs to the Special Issue Bio-Active Compounds in Horticultural Plants—2nd Edition)
Show Figures

Figure 1

21 pages, 4855 KB  
Article
ICIsc: A Deep Learning Framework for Predicting Immune Checkpoint Inhibitor Response by Integrating scRNA-Seq and Protein Language Models
by Zhenyu Jin, Di Zhang and Luonan Chen
Bioengineering 2026, 13(2), 187; https://doi.org/10.3390/bioengineering13020187 - 6 Feb 2026
Viewed by 592
Abstract
Immune checkpoint inhibitors (ICIs) targeting PD-1/PD-L1 and CTLA-4 are widely used in the treatment of several cancers and have significantly improved survival outcomes in responsive patients. However, a substantial proportion of patients fail to benefit from these therapies, underscoring the urgent need for [...] Read more.
Immune checkpoint inhibitors (ICIs) targeting PD-1/PD-L1 and CTLA-4 are widely used in the treatment of several cancers and have significantly improved survival outcomes in responsive patients. However, a substantial proportion of patients fail to benefit from these therapies, underscoring the urgent need for accurate prediction of ICI response. We propose a deep learning framework, ICIsc, to accurately predict ICI response by integrating single-cell RNA sequencing (scRNA-seq) data with protein large language models. Specifically, patient representations are constructed using transcriptomic profiles and immune-related gene set scores as latent embedding features, while drug representations are derived from amino acid sequences of ICI encoded by the Evolutionary Scale Modeling 2 (ESM2). For bulk data, ICIsc employs a bilinear attention module to fuse patient and drug embeddings for response prediction. For scRNA-seq data, ICIsc infers cell–cell interactions using a single-sample network (SSN) approach and applies GATv2 to model immune microenvironment heterogeneity at the single-cell level. Benchmark evaluations and independent validation demonstrate that ICIsc consistently outperforms baseline models and exhibits robust generalization performance. SHAP-based interpretability analysis further identifies key genes (e.g., GAPDH) associated with immunotherapy response and patient prognosis. Overall, ICIsc provides an accurate and interpretable framework for predicting immunotherapy outcomes and elucidating underlying mechanisms. Full article
(This article belongs to the Special Issue New Sights of Deep Learning and Digital Model in Biomedicine)
Show Figures

Figure 1

22 pages, 3300 KB  
Article
Normalization Challenges Across Adipocyte Differentiation and Lipid-Modulating Treatments: Identifying Reliable Housekeeping Genes
by Zhenya Ivanova, Valeria Petrova, Toncho Penev and Natalia Grigorova
Int. J. Mol. Sci. 2026, 27(3), 1369; https://doi.org/10.3390/ijms27031369 - 29 Jan 2026
Viewed by 365
Abstract
Accurate normalization of RT-qPCR data requires selecting stable internal control genes, particularly in models characterized by dynamic metabolic transitions, such as 3T3-L1 adipocytes. The current study compares the expression stability of nine widely used housekeeping genes (HKGs) (peptidylprolyl isomerase A (Ppia), [...] Read more.
Accurate normalization of RT-qPCR data requires selecting stable internal control genes, particularly in models characterized by dynamic metabolic transitions, such as 3T3-L1 adipocytes. The current study compares the expression stability of nine widely used housekeeping genes (HKGs) (peptidylprolyl isomerase A (Ppia), glyceraldehyde-3-phosphate dehydrogenase (Gapdh), beta-2 microglobulin (B2M), ribosomal protein, large, P0 (36b4), hydroxymethylbilane synthase (Hmbs), hypoxanthine guanine phosphoribosyl transferase (Hprt), tyrosine 3-monooxygenase/tryptophan 5-monooxygenase activation protein, zeta polypeptide (Ywhaz), 18S ribosomal RNA (18S), and β-actin (Actb)) across key stages of differentiation (days 0, 9, and 18) and under treatments with palmitic acid and docosahexaenoic acid. Stability was assessed using four classical algorithms—geNorm, NormFinder, BestKeeper, and RefFinder—supplemented by the ΔCt method, conventional statistical testing, correlation, and regression analysis relative to two target genes, fatty acid-binding protein 4 (Fabp4) and sterol regulatory element binding transcription factor 1 (Srebf1). The obtained data indicate that no single HKG remains universally stable across these experimental conditions, and the expression of traditionally used reference genes (Gapdh, Actb, Hprt, 18S) is highly influenced by both the stage of adipogenesis and exposure to lipid-modulating factors. In contrast, Ppia, 36b4, and B2M—despite some of them being underestimated in use as references—consistently display the lowest variability across most analytical tools, forming a reliable and functionally diverse normalization panel. It should be noted that our initial stability assessment revealed apparent discrepancies among mathematical evaluation methods, emphasizing the need for a holistic, multiple-level approach strategy. The applied combination of algorithmic and statistical methods provides a more rigorous and objective framework for assessing the stability of reference genes, which is highly recommended in such a complex adipocyte-based model. Full article
(This article belongs to the Special Issue Fat and Obesity: Molecular Mechanisms and Pathogenesis)
Show Figures

Figure 1

11 pages, 855 KB  
Article
CD36 rs1761667 Polymorphism and Its Impact on Molecular Signatures in Bladder Cancer
by Mihai Ioan Pavalean, Ioana Maria Lambrescu, Gisela Gaina, Victor Lucian Madan, Mihail Eugen Hinescu and Laura Cristina Ceafalan
Diseases 2026, 14(2), 44; https://doi.org/10.3390/diseases14020044 - 28 Jan 2026
Viewed by 452
Abstract
Background: Bladder cancer remains a heterogeneous disease, and genetic factors are increasingly recognized as potential contributors to its pathogenesis. CD36, a multifunctional scavenger receptor implicated in lipid metabolism and tumor progression, has not been previously investigated in relation to bladder cancer-associated polymorphisms. Objectives: [...] Read more.
Background: Bladder cancer remains a heterogeneous disease, and genetic factors are increasingly recognized as potential contributors to its pathogenesis. CD36, a multifunctional scavenger receptor implicated in lipid metabolism and tumor progression, has not been previously investigated in relation to bladder cancer-associated polymorphisms. Objectives: This study examined the relationship between the rs1761667 variant and CD36 mRNA expression. Methods: Our study included 30 patients with bladder cancer and 19 controls. PCR–RFLP genotyping for rs1761667 and RT–qPCR quantification of CD36 mRNA expression, with GAPDH as the reference gene, were performed. Expression levels were analyzed using the 2−ΔΔCt method, and statistical significance was defined as p < 0.05. Results: In patients, CD36 expression varied significantly across rs1761667 genotypes with reduced expression in AA carriers compared with GG carriers (post hoc, p = 0.009, with a Holm-adjusted p = 0.03). No significant genotype-related differences were observed among controls. Genotype distributions did not differ significantly between cases and controls (χ2, p = 0.053). Conclusions: These results indicate that rs1761667 may modulate CD36 transcription in a genotype-dependent manner, particularly in the disease context. Overall, our findings point to a potential biological connection between inherited CD36 variation and bladder cancer-related pathways, underscoring the need for further validation in tumor tissues Full article
Show Figures

Figure 1

19 pages, 6423 KB  
Article
Molecular Dissection of Permanent vs. Reperfused Ischemia: Multi-Omics Divergence and Precision Therapeutic Implications
by Zhiyong Shen, Yuxian Li, Tengfei Zhu, Ting Yang, Shiyu Zhou, Qian Liu, Qiong Lu, Dongyan Jing, Haiou Jiang, Jie Li and Xiao-Liang Xing
Curr. Issues Mol. Biol. 2026, 48(1), 124; https://doi.org/10.3390/cimb48010124 - 22 Jan 2026
Viewed by 497
Abstract
Objective: Cerebral ischemia–reperfusion injury (IRI) is a distinct pathological phase that differs from permanent ischemia (IR) in that it triggers secondary damage despite the restoration of blood flow. The primary objective of this study is to comprehensively characterize and compare the molecular signatures—such [...] Read more.
Objective: Cerebral ischemia–reperfusion injury (IRI) is a distinct pathological phase that differs from permanent ischemia (IR) in that it triggers secondary damage despite the restoration of blood flow. The primary objective of this study is to comprehensively characterize and compare the molecular signatures—such as differential gene expression, protein activation, and metabolic alterations—between IRI and IR. By doing so, we aim to identify key pathways and biomarkers that specifically drive IRI and IR pathology, thereby providing novel therapeutic targets to mitigate reperfusion-induced damage in stroke and related neurological conditions. Methods: We employed an integrated transcriptomic and proteomic approach to compare a permanent ischemia model (IR, 24 h ischemia) with a reperfusion model (IRI, 1 h ischemia + 24 h reperfusion), using SHAM-operated animals as controls. Results: Our results demonstrate a profound decoupling between the transcriptome and proteome in IRI. While IRI induced extensive proteomic alterations (160 changed proteins in IRI vs. IR), transcriptional changes were minimal (3 genes), indicating dominant post-transcriptional regulation. Both IR and IRI activated shared inflammatory responses (e.g., Saa3, upregulated 14.33-fold in IRI/SHAM) and metabolic shifts (Gapdh, downregulated 4.03-fold). However, IRI uniquely upregulated neuroprotective genes (Arc, Npas4), activated a specific set of reperfusion-related pathways (72 proteins), and exhibited distinct extracellular matrix remodeling (Mmp3, upregulated 11.24-fold in IR/SHAM). The overall correlation between transcriptomic and proteomic dynamics was remarkably low (r = 0.014), underscoring the importance of translation and protein decay mechanisms. Conclusions: This study redefines IRI not merely as an exacerbation of ischemic damage but as a unique adaptive molecular trajectory. We identify Pisd-ps3 and Saa3 as potential therapeutic targets and show that proteomic signatures can stratify injury phases. These findings advance the prospects of precision therapeutics aimed at neuroprotection and immunomodulation in ischemic stroke. Full article
(This article belongs to the Section Molecular Medicine)
Show Figures

Graphical abstract

12 pages, 2635 KB  
Article
Colletotrichum perseae and Colletotrichum gloeosporioides sensu strictu Causing Stem Lesion and Dieback in Avocado in Italy
by Laura Vecchio, Ilaria Martino, Vladimiro Guarnaccia, Giancarlo Polizzi and Dalia Aiello
Horticulturae 2026, 12(1), 111; https://doi.org/10.3390/horticulturae12010111 - 19 Jan 2026
Viewed by 475
Abstract
In the last decade, avocado production has increased in Italy due to the fruit’s high nutritional quality and economic value. During 2024, stem lesions, wood discoloration and dieback, often starting at the grafting point, were observed in young plants in a nursery in [...] Read more.
In the last decade, avocado production has increased in Italy due to the fruit’s high nutritional quality and economic value. During 2024, stem lesions, wood discoloration and dieback, often starting at the grafting point, were observed in young plants in a nursery in Sicily (Italy). Colletotrichum-like colonies were frequently isolated from symptomatic tissues. Multi-locus phylogenetic analysis (gapdh, chs-1, act, tub2, cal, gs and ApMat) was conducted on 11 representative isolates, identifying 6 as C. perseae and 5 as C. gloeosporioides sensu stricto (s.s.). Two representative isolates were selected for pathogenicity tests performed on 2-year-old avocado plants cultivated in a greenhouse. After two months, necrotic lesions, wood discoloration and reddish-brown streaking at the inoculation point were induced in both species. Additional inoculations of avocado fruit confirmed the ability of both species to cause fruit rot. All inoculated fungi were successfully re-isolated and identified, fulfilling Koch’s postulates. This is the first report of stem lesions and dieback caused by Colletotrichum species and the first occurrence of C. perseae in avocado plants in Europe. The results highlight the importance of early monitoring in nurseries during the propagation process and contribute to a better understanding of fungal diseases in avocado crops in Italy. Full article
(This article belongs to the Section Plant Pathology and Disease Management (PPDM))
Show Figures

Figure 1

Back to TopTop