Sign in to use this feature.

Years

Between: -

Subjects

remove_circle_outline
remove_circle_outline
remove_circle_outline
remove_circle_outline
remove_circle_outline
remove_circle_outline

Journals

Article Types

Countries / Regions

Search Results (13)

Search Parameters:
Keywords = FRP tendons

Order results
Result details
Results per page
Select all
Export citation of selected articles as:
25 pages, 8099 KB  
Article
Assessment of Externally Prestressed Beams with FRP Rebars Considering Bond–Slip Effects
by Zhangxiang Li, Bo Chen, Xueliang Wang and Tiejiong Lou
Materials 2025, 18(4), 787; https://doi.org/10.3390/ma18040787 - 11 Feb 2025
Cited by 2 | Viewed by 1234
Abstract
This paper presents detailed numerical modeling of externally prestressed concrete (EPC) beams with fiber-reinforced polymer (FRP) rebars. Particular attention is paid to the bond–slip interactions between FRP rebars and concrete. A refined 3D finite element model (FEM) incorporating a script describing the bond–slip [...] Read more.
This paper presents detailed numerical modeling of externally prestressed concrete (EPC) beams with fiber-reinforced polymer (FRP) rebars. Particular attention is paid to the bond–slip interactions between FRP rebars and concrete. A refined 3D finite element model (FEM) incorporating a script describing the bond–slip of FRP rebars and concrete is developed in ABAQUS. The model effectiveness, rooted in the interface behavior between FRP rebars and concrete, is comprehensively assessed using experimental data. A comprehensive investigation has been conducted using FEM on the mechanical behavior of carbon fiber-reinforced polymer (CFRP) tendon–EPC beams with FRP rebars. Due to the bond–slip effect, FRP rebars in EPC beams exhibit a distinct phenomenon of stress degradation. This suggests that the traditional method based on plane cross-sectional assumptions is no longer suitable for the engineering design of EPC beams with FRP rebars. Moreover, the study assesses several models including typical design codes for their accuracy in predicting the elevation of ultimate stress in external tendons. It is demonstrated that some of the design codes are overly conservative when estimating the tendon stress in EPC beams with FRP rebars. Full article
Show Figures

Figure 1

13 pages, 2881 KB  
Article
Experimental Study on Tensile Performance of FRP Tendons/Cables with Varied Bond Anchorage Factors
by Xing Zhao, Lanjinhua Meng and Sihao Li
Materials 2024, 17(1), 4; https://doi.org/10.3390/ma17010004 - 19 Dec 2023
Cited by 3 | Viewed by 1790
Abstract
FRP tendons and cables are increasingly being used in civil engineering structures due to their high strength-to-weight ratio and corrosion resistance. The bond anchorage factors, which characterize the bond strength between the FRP tendon/cable and the surrounding materials, play a critical role in [...] Read more.
FRP tendons and cables are increasingly being used in civil engineering structures due to their high strength-to-weight ratio and corrosion resistance. The bond anchorage factors, which characterize the bond strength between the FRP tendon/cable and the surrounding materials, play a critical role in determining the overall performance of the system. In this study, a series of tensile tests were conducted on FRP tendons/cables with different bond anchorage factors to evaluate their load-carrying capacity, load–displacement curve, and strain distribution. The study considered different types and surface shapes of FRP tendons/cables, and determined the influence of anchoring length, bonding medium type, and bonding medium thickness on the performance. The strain distribution of FRP tendons/cables at the anchorage end gradually increased along the loading section to the free end. A stress analysis model of the anchoring section was proposed and found to be consistent with the test results. Full article
Show Figures

Figure 1

20 pages, 20094 KB  
Article
Verification of Composite Beam Theory with Finite Element Model for Pretensioned Concrete Members with Prestressing FRP Tendons
by Xin Sha and James S. Davidson
Materials 2023, 16(19), 6376; https://doi.org/10.3390/ma16196376 - 24 Sep 2023
Cited by 2 | Viewed by 2003
Abstract
Composite beam theory was previously developed to establish an analytical solution for determining the transfer length of prestressed fiber-reinforced polymers (FRP) tendons in pretensioned concrete members. In the present study, a novel finite element (FE) modeling approach is proposed to provide further verification [...] Read more.
Composite beam theory was previously developed to establish an analytical solution for determining the transfer length of prestressed fiber-reinforced polymers (FRP) tendons in pretensioned concrete members. In the present study, a novel finite element (FE) modeling approach is proposed to provide further verification of the developed analytical method. The present FE model takes into account the friction coefficients obtained from pull-out tests on the FRP tendons and prestressed concrete members. Convergence analysis of two numerical simulations with different mesh densities is carried out as well. The results demonstrated that the transfer length predicted by the fine FE model with a friction coefficient of α = 0.3 for high pretension is in good agreement with the measured values and the analytical solutions. The consistency between the analytical solution and FE simulation not only further proves the reliability of composite beam theory but also demonstrates the importance of the bond–slip relationship in predicting the transfer length of pretensioned concrete members prestressed with FRP tendons. Full article
Show Figures

Figure 1

42 pages, 15346 KB  
Review
A Review of Fibre Reinforced Polymer Bridges
by Jawed Qureshi
Fibers 2023, 11(5), 40; https://doi.org/10.3390/fib11050040 - 4 May 2023
Cited by 31 | Viewed by 22537
Abstract
Fibre-reinforced polymer composites (FRPs) offer various benefits for bridge construction. Lightweight, durability, design flexibility and fast erection in inaccessible areas are their unique selling points for bridge engineering. FRPs are used in four bridge applications: (1) FRP rebars/tendons in concrete; (2) repair and [...] Read more.
Fibre-reinforced polymer composites (FRPs) offer various benefits for bridge construction. Lightweight, durability, design flexibility and fast erection in inaccessible areas are their unique selling points for bridge engineering. FRPs are used in four bridge applications: (1) FRP rebars/tendons in concrete; (2) repair and strengthening of existing bridges; (3) new hybrid–FRP bridges with conventional materials and (4) all–FRP composite new bridges made entirely of FRP materials. This paper reviews FRP bridges, including all–FRP and hybrid–FRP bridges. FRP bridges’ history, materials, processes and bridge components—deck, girder, truss, moulded parts and cables/rebars are considered. This paper does not discuss the use of FRP as an architectural element and a strengthening system. While lack of design codes, material specifications and recycling are the major challenges, the high cost of FRPs still remains the most critical barrier to the progress of FRPs in bridges. Full article
(This article belongs to the Collection Review Papers of Fibers)
Show Figures

Figure 1

18 pages, 9221 KB  
Article
Numerical and Experimental Study on Large-Diameter FRP Cable Anchoring System with Dispersed Tendons
by Jingyang Zhou, Xin Wang, Lining Ding, Shui Liu and Zhishen Wu
Buildings 2023, 13(1), 92; https://doi.org/10.3390/buildings13010092 - 30 Dec 2022
Cited by 9 | Viewed by 2367
Abstract
Based on a previously designed variable-stiffness load transfer component (LTC), a novel dispersed-tendon cable anchor system (CAS) was developed to increase the anchoring efficiency of large-diameter basalt-fiber-reinforced polymer (BFRP) cables. The static behaviors of the CAS are then numerically evaluated by a simplified [...] Read more.
Based on a previously designed variable-stiffness load transfer component (LTC), a novel dispersed-tendon cable anchor system (CAS) was developed to increase the anchoring efficiency of large-diameter basalt-fiber-reinforced polymer (BFRP) cables. The static behaviors of the CAS are then numerically evaluated by a simplified three-dimensional finite-element (FE) model and implemented in a full-scale BFRP cable. The FE results indicated that the accuracy of the simplified dispersed-tendon model could be effectively ensured by dividing the revised compensation factor. The anchor behavior of the dispersed-tendon CAS was superior to that of the parallel-tendon CAS when the same cable was applied. The radial stress and tensile stress difference can be reduced by decreasing the tendon spacing. The testing and simulated results agreed well with the load–displacement relationship and axial displacement. All tendons fractured in the testing section, and the LTC suffered minimal damage. The ultimate force of the cable with 127 4-mm-diameter tendons was 2419 kN, and the corresponding anchoring efficiency was 93%. The cable axial tensile strain in the anchoring zone decreased linearly from the loading end to the free end. The cable shear stress concentration at the loading end can be avoided by employing a variable-stiffness anchoring method. Full article
(This article belongs to the Special Issue Fiber Reinforced Polymer (FRP) Composites for Construction)
Show Figures

Figure 1

16 pages, 3673 KB  
Article
Parametric Study on Steel–Concrete Composite Beams Strengthened with Post-Tensioned CFRP Tendons
by Ahmed H. Elbelbisi, Alaa A. El-Sisi, Hilal A. Hassan, Hani A. Salim and Hesham F. Shabaan
Sustainability 2022, 14(23), 15792; https://doi.org/10.3390/su142315792 - 28 Nov 2022
Cited by 23 | Viewed by 3868
Abstract
A sustainable environment can be achieved by strengthening the existing building to avoid new construction and by replacing the construction materials with long-lasting sustainable materials such as a fiber-reinforced polymer (FRP). Using post-tensioned (PT) FRP systems has proven to be an effective technique [...] Read more.
A sustainable environment can be achieved by strengthening the existing building to avoid new construction and by replacing the construction materials with long-lasting sustainable materials such as a fiber-reinforced polymer (FRP). Using post-tensioned (PT) FRP systems has proven to be an effective technique in strengthening the structure and decreasing cracks and deformability. In this study, a 3-D finite element model was built to investigate the flexural behavior of composite beams strengthened with external PT FRP tendons. Limited research studied the use of FRP tendons to enhance the structural behavior of composite beams. This paper represents a comprehensive study of the effect of several parameters that control the design of the FRP tendons. Parameters such as PT level, tendon material, tendon length, degree of shear connection (DOSC), and tendon profile shape were considered under loading. The 3-D model’s correctness is validated using published experimental data. It was observed that of all FRP materials, carbon FRP is the best type for upgrading the beam strength, and it was recommended to use a 30 to 40% PT level. In addition, applying external PT over the full length of the beam increases the ultimate load capacity significantly. However, due to the difficulty of construction, it was recommended to use 90% of the beam span length since the difference in beam capacity does not exceed 5%. Finally, adding PT tendons with a trapezoidal and parabola profile to composite beams significantly increases the yield load and the beam capacity. Full article
(This article belongs to the Section Green Building)
Show Figures

Figure 1

16 pages, 4448 KB  
Article
Shear Behavior of T-Shaped Concrete Beams Reinforced with FRP
by Yannian Zhang, Ning Li, Qingjie Wang, Zhijun Li and Xiaoyan Qin
Buildings 2022, 12(12), 2062; https://doi.org/10.3390/buildings12122062 - 24 Nov 2022
Cited by 10 | Viewed by 2454
Abstract
The calculation formula for bearing capacity was verified and further corrected through the current study of the influences of different parameters on the shear behavior of concrete T-beams reinforced with surface-embedded FRP. Tests were conducted on 14 beams reinforced with FRP tendons, including [...] Read more.
The calculation formula for bearing capacity was verified and further corrected through the current study of the influences of different parameters on the shear behavior of concrete T-beams reinforced with surface-embedded FRP. Tests were conducted on 14 beams reinforced with FRP tendons, including assessments of different concrete strength grades, longitudinal reinforcement ratios, surface characteristics, types, diameters, reinforcement modes, FRP spacings, and specimen shear span ratios. The results show that surface-embedded FRP reinforcement technology can be utilized to improve the overall stiffness and shear strength of beams, delay the development of oblique cracking, reduce the width of diagonal cracking, and improve the bite cooperation between concrete aggregates, thus improving the manifestation of reinforcement. The shear failure mechanism of reinforced concrete beams, strengthened with surface-embedded FRP, seemed to be similar to that of ordinary reinforced concrete beams. The mechanism of action was identical to that of stirrups, and the utilization factor of FRPs was determined. Full article
(This article belongs to the Special Issue Materials in Sustainable Buildings)
Show Figures

Figure 1

29 pages, 12316 KB  
Article
A Split-Wedge Anchorage for CFRP Cables: Numerical Model vs. Experimental Results
by Marco Damiani and Nicola Nisticò
Polymers 2022, 14(13), 2675; https://doi.org/10.3390/polym14132675 - 30 Jun 2022
Cited by 8 | Viewed by 3967
Abstract
Fiber-reinforced polymers (FRPs) are widely used within civil structural applications either for structural retrofitting or new constructions. This is due to their appreciable mechanical properties such as high stiffness and strength, resistance to environmental effects, as well low density. Through the years, such [...] Read more.
Fiber-reinforced polymers (FRPs) are widely used within civil structural applications either for structural retrofitting or new constructions. This is due to their appreciable mechanical properties such as high stiffness and strength, resistance to environmental effects, as well low density. Through the years, such peculiarities have encouraged researchers to apply FRP cables within the design of prestressing systems, where steel cables are systematically adopted. However, the brittleness intrinsic to FRP materials necessitates additional efforts to design the anchorage devices. In fact, tendons are here subjected to stress peaks, which need to be controlled in order to prevent the premature failure of the cable. Following this goal, authors recently studied an optimized split-wedge anchorage, for 12 mm-diameter pultruded-carbon-fiber-reinforced polymer (PCFRP) tendons, adopting double-angle (DA) wedges, and compared its performance with a single-angle (SA) wedge configuration. Tensile tests were performed on 3 SA and 2 DA prototypes, respectively, through a universal testing machine: the DA configuration exploited the average cable capacity (257 kN) once, denoting a maximum efficiency. The obtained experimental results are utilized, in the framework of the present work, to calibrate contact parameters of nonlinear finite element models. The presented numerical results helped to assess benefits of the proposed configurations and the behavior of the anchorage components: the DA configuration turned out to satisfactorily avoid stress peak superpositions on the cable, with a reduction in pressure in the loading end of the cable with respect to the SA model. Full article
Show Figures

Figure 1

21 pages, 6974 KB  
Article
Optimal Design of a Novel Composite Anchorage for Carbon-Fiber-Reinforced Polymer (CFRP) Tendons
by Yamin Sun, Kuihua Mei, Shengjiang Sun, Tao Wang and Xiang Ren
Polymers 2022, 14(10), 2048; https://doi.org/10.3390/polym14102048 - 17 May 2022
Cited by 10 | Viewed by 2737
Abstract
In this study, we proposed a novel composite anchorage that considers the anchoring performance and dimension simultaneously. The design concept of this composite anchorage was first introduced, followed by comparison with the traditional inner-cone bond-type anchorage and traditional composite anchorage through theoretical and [...] Read more.
In this study, we proposed a novel composite anchorage that considers the anchoring performance and dimension simultaneously. The design concept of this composite anchorage was first introduced, followed by comparison with the traditional inner-cone bond-type anchorage and traditional composite anchorage through theoretical and experimental methods. Then, a parametric study was conducted to determine the influence of different parameters on the anchoring performance, and the optimal design parameters were recommended according to the finite element (FE) and test results. Finally, the practicability of the optimal design parameters were validated through experiments on the anchorage with multiple CFRP tendons. Results showed that the novel composite anchorage could improve the anchoring performance compared with the traditional inner-cone bond-type anchorage by promoting increased anchorage efficiency by 60.4% and, with an ideal failure mode of tendon rupture. Moreover, the novel composite anchorage had smaller dimensions and avoided the presence of a vulnerable position at the junction of the mechanical and bond parts compared with the traditional composite anchorage. In addition, a group of optimal design parameters of this composite anchorage with a pre-tightening force of 130 kN, an inclinational differential angle of 0.1°, an inclination angle of 2.9°, and an embedded length of 30 d~40 d were proposed. The composite anchorage with five CFRP tendons designed with the proposed parameters failed with the rupture of the tendons and exhibited an anchoring efficiency of 1.05. This result showed that the optimal parameters were suitable for this novel composite anchorage to grip multiple tendons. This study can provide an experimental and theoretical basis for designing large-tonnage anchorage for multiple FRP tendons used as hangers or cables in real bridges. Full article
(This article belongs to the Special Issue Mechanical Response of Fibre-Reinforced Polymers)
Show Figures

Figure 1

16 pages, 2302 KB  
Article
Moment Redistribution in Continuous Externally CFRP Prestressed Beams with Steel and FRP Rebars
by Tiejiong Lou, Zhangxiang Li and Miao Pang
Polymers 2021, 13(8), 1181; https://doi.org/10.3390/polym13081181 - 7 Apr 2021
Cited by 6 | Viewed by 2799
Abstract
This paper assesses the impact of adopting carbon- or glass-fiber-reinforced polymer (CFRP or GFRP) instead of steel rebars on the redistribution of moments in prestressed concrete beams (PCBs) with external CFRP tendons. A numerical program is introduced, and numerical simulations are performed on [...] Read more.
This paper assesses the impact of adopting carbon- or glass-fiber-reinforced polymer (CFRP or GFRP) instead of steel rebars on the redistribution of moments in prestressed concrete beams (PCBs) with external CFRP tendons. A numerical program is introduced, and numerical simulations are performed on two-span continuous beams with steel, CFRP or GFRP rebars of various areas, i.e., Ar2 = 360–3560 mm2, and Ar1/Ar2 = 1.5, where Ar1 and Ar2 are areas of tensile rebars over the positive and negative moment zones, respectively. The results show the moment redistribution is contributed by concrete cracking only for the beams with fiber-reinforced polymer (FRP) rebars, and by concrete cracking and steel yielding for the beams with steel rebars. As a result, the use of FRP rebars leads to a substantially lower moment redistribution than in steel rebars. It is also demonstrated that Eurocode 2, CSA A23.3-04 and ACI 318-19 fail to reflect the rebar influence on moment redistribution in PCBs with external tendons. A simplified equation for the quantification of moment redistribution in externally PCBs with steel and FRP rebars is recommended, which yields accurate and conservative predictions. Full article
Show Figures

Graphical abstract

16 pages, 4425 KB  
Article
Numerical Study of Using FRP and Steel Rebars in Simply Supported Prestressed Concrete Beams with External FRP Tendons
by Miao Pang, Zhangxiang Li and Tiejiong Lou
Polymers 2020, 12(12), 2773; https://doi.org/10.3390/polym12122773 - 24 Nov 2020
Cited by 17 | Viewed by 3512
Abstract
This study aimed at examining the feasibility of using fiber-reinforced polymer (FRP) rebars instead of steel ones in prestressed concrete beams (PCBs) with external FRP tendons. By applying an experimentally validated program, numerical tests were performed on simply supported PCBs, with investigated variables [...] Read more.
This study aimed at examining the feasibility of using fiber-reinforced polymer (FRP) rebars instead of steel ones in prestressed concrete beams (PCBs) with external FRP tendons. By applying an experimentally validated program, numerical tests were performed on simply supported PCBs, with investigated variables including rebars’ type and area. Three types of rebars were considered, i.e., carbon, glass FRPs (CFRP, GFRP), and reinforcing steel. The ratio of tensile rebars ranged from 0.22% to 2.16%. The results indicated that the beams with CFRP rebars exhibited better crack mode and higher ultimate load than the beams with GFRP or steel rebars. GFRP rebars led to considerably higher ultimate deflection and tendon stress increment than steel rebars. In addition, several models for calculating the ultimate stress in unbonded tendons were assessed. An analytical model was also proposed to predict the tendon stress at ultimate and flexural strength in externally PCBs with steel and FRP rebars. The model predictions agreed well with the numerical results. Full article
Show Figures

Figure 1

12 pages, 2956 KB  
Article
Effect of Temperature on Material Properties of Carbon Fiber Reinforced Polymer (CFRP) Tendons: Experiments and Model Assessment
by Fei Zhou, Jiwen Zhang, Shoutan Song, Dong Yang and Chao Wang
Materials 2019, 12(7), 1025; https://doi.org/10.3390/ma12071025 - 28 Mar 2019
Cited by 102 | Viewed by 8793
Abstract
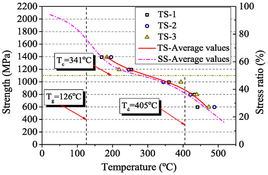
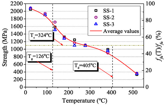
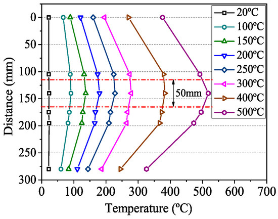
Material properties at elevated temperatures are important factors in the fire safety design and numerical analysis of concrete members strengthened with fiber reinforced polymer (FRP) composites. Most of the previous research mainly focused on tensile strength and elastic modulus in conventional steady state [...] Read more.
Material properties at elevated temperatures are important factors in the fire safety design and numerical analysis of concrete members strengthened with fiber reinforced polymer (FRP) composites. Most of the previous research mainly focused on tensile strength and elastic modulus in conventional steady state temperature tests. However, the transient state test method is more realistic for strengthening concrete structures. At the same time, the coefficient of thermal expansion of FRP composites is also one of the important factors affecting concrete members at elevated temperatures. This paper presents a detailed experimental investigation on the longitudinal thermal expansion deformation, and the mechanical properties of carbon FRP (CFRP) tendons with 8 mm diameter in the steady state and transient state. The results indicate that longitudinal deformation of CFRP tendons is negative at high temperature; in addition, the transient state test results of CFRP tendons are slightly higher than the steady state test results. The final part of this paper assesses the accuracy of different empirical models. Furthermore, a new equation calculating the properties of CFRP composites at elevated temperatures is presented with the numerical fitting technique, which is in good agreement with the experimental results. Full article
Show Figures

Figure 1

15 pages, 6641 KB  
Article
Fatigue Behavior of Concrete Beam with Prestressed Near-Surface Mounted CFRP Reinforcement According to the Strength and Developed Length
by Hee Beom Park, Jong-Sup Park, Jae-Yoon Kang and Woo-Tai Jung
Materials 2019, 12(1), 51; https://doi.org/10.3390/ma12010051 - 24 Dec 2018
Cited by 14 | Viewed by 3764
Abstract
The prestressed near-surface mounted reinforcement (NSMR) using Fiber Reinforced Polymer (FRP) was developed to improve the load bearing capacity of ageing or degraded concrete structures. The NSMR using FRP was the subject of numerous studies of which a mere portion was dedicated to [...] Read more.
The prestressed near-surface mounted reinforcement (NSMR) using Fiber Reinforced Polymer (FRP) was developed to improve the load bearing capacity of ageing or degraded concrete structures. The NSMR using FRP was the subject of numerous studies of which a mere portion was dedicated to the long-term behavior under fatigue loading. Accordingly, the present study intends to examine the fatigue performance of the NSMR applying the anchoring system developed by Korea Institute of Construction and Building Technology (KICT). To that goal, fatigue test is performed on 6.4 m reinforced concrete beams fabricated with various concrete strengths and developed lengths of the Carbon Fiber Reinforced Polymer (CFRP) tendon. The test results reveal that the difference in the concrete strength and in the developed length of the CFRP tendon has insignificant effect on the strengthening performance. It is concluded that the accumulation of fatigue loading, the concrete strength and the developed length of the tendon will not affect significantly the strengthening performance given that sufficient strengthening is secured. Full article
(This article belongs to the Special Issue Carbon Fibers and Their Composite Materials)
Show Figures

Figure 1

Back to TopTop