Sign in to use this feature.

Years

Between: -

Subjects

remove_circle_outline
remove_circle_outline
remove_circle_outline
remove_circle_outline
remove_circle_outline
remove_circle_outline
remove_circle_outline
remove_circle_outline
remove_circle_outline

Journals

remove_circle_outline
remove_circle_outline
remove_circle_outline
remove_circle_outline
remove_circle_outline

Article Types

Countries / Regions

remove_circle_outline
remove_circle_outline
remove_circle_outline
remove_circle_outline
remove_circle_outline
remove_circle_outline
remove_circle_outline

Search Results (870)

Search Parameters:
Keywords = EV cargo

Order results
Result details
Results per page
Select all
Export citation of selected articles as:
24 pages, 49240 KB  
Article
Novel Selective Anticancer Effect of Epididymis-Derived Extracellular Vesicles Against HCC38 and MCF-7 Breast Cancer Cell Lines
by Razi Zoabi, Zenab Ali Saleh, Elias Issaq, Etedal Morad, Reem Miari, Hanan Taha, Ahmad Kadriya, Abraham O. Samson and Mizied Falah
Int. J. Mol. Sci. 2026, 27(9), 3870; https://doi.org/10.3390/ijms27093870 (registering DOI) - 27 Apr 2026
Abstract
Prevalent cancers primarily include breast, lung and bronchus, prostate, and colorectal cancers. In contrast, cancer of the epididymis is very rare, and we propose that this tissue could carry inherent anticancer components, in particular, small extracellular vesicles (EVs) with antineoplastic properties. All cell [...] Read more.
Prevalent cancers primarily include breast, lung and bronchus, prostate, and colorectal cancers. In contrast, cancer of the epididymis is very rare, and we propose that this tissue could carry inherent anticancer components, in particular, small extracellular vesicles (EVs) with antineoplastic properties. All cell types release extracellular vesicles (EVs) into their intercellular space, which act in the crosstalk required to achieve homeostasis. Among these, small EVs, which are membrane-bound vesicles with an average diameter of 30–200 nm, can transfer cell-specific cargo, such as lipids, proteins, DNA and RNA, which can be selectively received by neighboring or distant cells, and trigger specific cell processes, such as growth, division, or apoptosis. Here, we isolated small EVs from epididymis tissue, and examined their effect on morphology, viability, apoptosis, cell cycle phases, and certain gene and protein expression levels, particularly of the pro-apoptotic p53 protein, in HCC38 and MCF-7 breast cancer cell lines, as well as in a normal fibroblast cell line. The various analyses demonstrated effects on breast cancer cells but not on normal cells. Specifically, epididymis-derived EVs (Ep-EVs) selectively induced apoptosis and cell cycle arrest in cancer cells, while normal cells were unaffected. Moreover, the relative uptake of Ep-EVs in HCC38 and MCF-7 breast cancer cells was significant, indicating a direct association between vesicle internalization and the biological response. Taken together, these findings demonstrate a solid experimental foundation supporting the therapeutic potential of Ep-EVs in breast cancer, with promising implications for their development as a broader anticancer platform. Full article
Show Figures

Graphical abstract

27 pages, 3160 KB  
Review
Extracellular Vesicles in Myocardial Infarction: Dual Role in Ferroptosis Regulation and In Vivo Imaging
by Cong Zhang and Yang Hou
Diagnostics 2026, 16(9), 1305; https://doi.org/10.3390/diagnostics16091305 - 27 Apr 2026
Abstract
Acute myocardial infarction (AMI), a life-threatening event caused by cardiomyocyte death due to oxygen deprivation, drives cardiac dysfunction through ferroptosis—an iron-dependent cell death mechanism involving lipid peroxidation. By delivering multifunctional cargoes with low immunogenicity, extracellular vesicles (EVs) hold the therapeutic potential to inhibit [...] Read more.
Acute myocardial infarction (AMI), a life-threatening event caused by cardiomyocyte death due to oxygen deprivation, drives cardiac dysfunction through ferroptosis—an iron-dependent cell death mechanism involving lipid peroxidation. By delivering multifunctional cargoes with low immunogenicity, extracellular vesicles (EVs) hold the therapeutic potential to inhibit cardiomyocyte ferroptosis through the regulation of iron metabolism and the mitigation of oxidative damage. Their dual role as targeted drug carriers and natural imaging probes enhances precision in AMI management. EVs enable the non-invasive tracking of biodistribution and therapeutic responses in real time when integrated with molecular imaging technology, offering insights into cardiac repair mechanisms. This synergy between EV-based therapy and advanced imaging presents a novel strategy for AMI diagnosis and targeted intervention. Full article
(This article belongs to the Section Medical Imaging and Theranostics)
Show Figures

Figure 1

31 pages, 1156 KB  
Review
Edible Plant-Derived Exosome-like Nanoparticles as Prebiotic Nanocarriers: Gut Microbiota Modulation and Functional Food Potential
by Yağız Alkan, Yalçın Mert Yalçıntaş, Mikhael Bechelany and Sercan Karav
Pharmaceutics 2026, 18(5), 520; https://doi.org/10.3390/pharmaceutics18050520 (registering DOI) - 24 Apr 2026
Viewed by 139
Abstract
The gut microbiota takes charge in a pivotal role in metabolic equilibrium, immune response, and modulating gut lining stability and has become the main focus of nutrition and functional food research. In this regard, the definition of prebiotics has progressed past the traditional [...] Read more.
The gut microbiota takes charge in a pivotal role in metabolic equilibrium, immune response, and modulating gut lining stability and has become the main focus of nutrition and functional food research. In this regard, the definition of prebiotics has progressed past the traditional approach limited to indigestible dietary fibers, embracing more targeted, biologically active, and functional delivery systems. In recent years, plant-derived exosomes (PDEs), a subclass of exosomes defined as extracellular vesicles (EVs) in the 30–150 nm size range, have emerged as an innovative class of nanostructures supporting this transformation. Plant-derived exosome-like nanoparticles (PELNs) have been taken into account as natural nanocarriers which are suitable for the gastrointestinal system with the help of their high biocompatibility, low immunogenicity profiles and rich bioactive cargo contents. This review discusses structural features of PELNs, molecular cargo content, and biological roles comprehensively and focuses especially on gut microbiota interactions. MicroRNAs, proteins, lipids, polyphenols, and glycans which PELNs contain are discussed with regard to shaping the microbial composition, regulating microbial metabolic activity, and modulating host-microbe communication. Findings derived from in vitro, in vivo, and limited translational studies indicate that PELNs can modulate specific microbial taxa, increase short-chain fatty acid (SCFA) yield, strengthen mucosal immune homeostasis, and induce source-dependent responses in the gut microbiota. In their traditional definition, prebiotics are taken into account as food components which selectively support proliferation and metabolism of helpful microbes, especially Bifidobacteria and Lactobacilli. Within this framework, PELNs are not only passive carriers of functional components but also evaluated as active systems which can directly affect microbiota composition and metabolic functions. Thus, they are repositioned as “prebiotic nanocarriers.” Also this review evaluates the potential of functional food and integration of major edible PELNs into synbiotic formulations by discussing their isolation and characterization methods and stabilities in the gastrointestinal environment. Limitations of clinical applications and lack of research from a prebiotic nanocarrier perspective of PELNs show that this field still contains important research gaps. The novelty of the study lies in its integration of PELN research with nutrition-based approaches to microbiota modulation and innovative functional food strategies under a single multidisciplinary conceptual framework. Full article
26 pages, 728 KB  
Review
Extracellular Vesicles as Mediators of Endothelial and Tubular Injury in Cardiac Surgery-Associated Acute Kidney Injury
by Elena Grossini, Teresa Esposito, Mohammad Mostafa Ola Pour, Carlo Smirne, Giovanni Casali, Mario Pirisi, Vincenzo Cantaluppi, Daniele Pierelli, Rosanna Vaschetto and Sakthipriyan Venkatesan
Biomedicines 2026, 14(5), 982; https://doi.org/10.3390/biomedicines14050982 - 24 Apr 2026
Viewed by 164
Abstract
Cardiac surgery represents a cornerstone of modern cardiovascular medicine, yet it is intrinsically linked to significant systemic stress responses that can compromise remote organ function. Among postoperative complications, cardiac surgery-associated acute kidney injury (CSA-AKI) remains a significant clinical challenge characterized by high morbidity [...] Read more.
Cardiac surgery represents a cornerstone of modern cardiovascular medicine, yet it is intrinsically linked to significant systemic stress responses that can compromise remote organ function. Among postoperative complications, cardiac surgery-associated acute kidney injury (CSA-AKI) remains a significant clinical challenge characterized by high morbidity and complex pathophysiology. While hemodynamic instability and ischemia–reperfusion injury are established risk factors, renal dysfunction frequently persists despite optimal perfusion. This observation suggests the involvement of potent circulating mediators in cellular injury. Extracellular vesicles (EVs) are essential for intercellular communication and serve as central hubs for transporting bioactive lipids, proteins, and genetic material. Accumulating evidence indicates that the mechanical and oxidative stress inherent to cardiopulmonary bypass triggers substantial release of EVs from platelets, erythrocytes, and injured vascular tissues. These vesicles may function as vectors that traffic oxidized mitochondrial components and pro-inflammatory cargo to the renal parenchyma. This signaling cascade appears to disrupt renal homeostasis through a proposed “dual-hit” mechanism involving the induction of endothelial dysfunction and endothelial-to-mesenchymal transition (EndMT), followed by tubular epithelial injury via mitochondrial fragmentation, redox imbalance, and downregulation of anti-aging factors. The complexity of these EV-mediated interactions may contribute to an incomplete understanding of why specific patient phenotypes fail to recover. This narrative review examines the mechanisms of surgery-induced EV biogenesis, the molecular pathogenesis of endothelial and tubular damage, and the role of intercellular crosstalk. Additionally, we discuss future perspectives on targeting the “EV vector” through therapeutic apheresis and mitochondrial pharmacotherapy to potentially improve clinical outcomes in high-risk surgical patients. Full article
17 pages, 1581 KB  
Review
Exosomal microRNAs in Bronchial Aspirate and Other Liquid Biopsy Specimens for Lung Cancer: Current Evidence and Future Perspectives—A Narrative Review
by Dragoș Huțanu, Mara Andreea Vultur, Corina Eugenia Budin, Dumitru Cătălin Sârbu, Maria Beatrice Ianoși, Edith Simona Ianoși, Hédi Katalin Sárközi and Gabriela Jimborean
Cells 2026, 15(8), 731; https://doi.org/10.3390/cells15080731 - 20 Apr 2026
Viewed by 332
Abstract
Lung cancer remains the leading cause of cancer mortality worldwide, with most cases diagnosed at advanced stages. Conventional tissue biopsy is invasive, and low-dose CT (LDCT) screening—although effective—faces practical and logistical limitations. Liquid biopsy has emerged as a minimally invasive approach to capture [...] Read more.
Lung cancer remains the leading cause of cancer mortality worldwide, with most cases diagnosed at advanced stages. Conventional tissue biopsy is invasive, and low-dose CT (LDCT) screening—although effective—faces practical and logistical limitations. Liquid biopsy has emerged as a minimally invasive approach to capture tumor-derived material, including circulating tumor DNA (ctDNA), cells, and extracellular vesicles (EVs). Among EVs, exosomes and their microRNA (miRNA) cargo offer a stable, disease-specific signal. Airway-proximal fluids such as bronchial aspirate and bronchoalveolar lavage fluid (BALF) are in direct contact with the tumor microenvironment and may contain higher concentrations of tumor-derived exosomal miRNAs compared with blood. This review synthesizes the limited but promising evidence for exosomal miRNAs in bronchial aspirate and BALF as diagnostic and prognostic biomarkers in lung cancer, examines methodological and standardization challenges, and discusses potential integration into clinical workflows, with particular emphasis on Romania’s lung cancer epidemiology and healthcare context. While only two primary studies in the last five years have explored BALF exosomal miRNAs, these data justify further multicenter investigations aligned with MISEV2023 guidelines. Integrating airway-proximal exosomal miRNA analysis into bronchoscopy procedures could enhance diagnostic precision in resource-limited health systems and support the transition towards personalized thoracic oncology. Full article
(This article belongs to the Special Issue Lung Cancer: Molecular Mechanisms and Therapeutic Opportunities)
Show Figures

Figure 1

24 pages, 741 KB  
Review
Extracellular Vesicles as Biomarkers for Vascular Disease
by Davide Costa, Michele Andreucci, Nicola Ielapi, Teresa Faga, Antonio Mazza, Giulio Accarino, Umberto Marcello Bracale and Raffaele Serra
Biomolecules 2026, 16(4), 608; https://doi.org/10.3390/biom16040608 - 20 Apr 2026
Viewed by 310
Abstract
Vascular diseases (VD) remain a leading global cause of morbidity and mortality, often developing silently before manifesting as severe complications like stroke or ischemia. Traditional diagnostic imaging provides essential anatomical data but frequently fails to capture the dynamic molecular processes underlying vascular pathology. [...] Read more.
Vascular diseases (VD) remain a leading global cause of morbidity and mortality, often developing silently before manifesting as severe complications like stroke or ischemia. Traditional diagnostic imaging provides essential anatomical data but frequently fails to capture the dynamic molecular processes underlying vascular pathology. This narrative review summarizes current evidence regarding Extracellular Vesicles (EVs), including exosomes, microvesicles, and apoptotic bodies, as emerging biomarkers and mediators in vascular conditions. The review evaluates the biological mechanisms of EVs across several disorders, including arterial aneurysms, peripheral artery disease, carotid stenosis, and venous thromboembolism. Findings indicate that EVs concentration and molecular cargo, particularly microRNAs and proteins, reflect the physiological state of parent cells, offering a “liquid biopsy” for vascular inflammation, endothelial dysfunction, and plaque vulnerability. Furthermore, the review explores the therapeutic potential of stem cell-derived EVs in promoting angiogenesis and tissue repair in chronic vascular ulcers. Despite these advances, the review concludes that the clinical implementation of EV-based diagnostics faces significant hurdles, primarily due to the lack of standardized isolation and characterization methods. Addressing these methodological challenges is crucial for translating EV research into routine clinical practice. Full article
(This article belongs to the Special Issue Biomolecular Sciences and Precision Medicine in Vascular Disease)
Show Figures

Figure 1

17 pages, 6376 KB  
Article
Extracellular Vesicles Derived from VEGF mRNA-Engineered Mesenchymal Stem Cells Promote Endothelial Cell Survival
by Cuiping Zhang, Peng Huang, Matthew Pak, Jennifer A. Korchak and Abba C. Zubair
Cells 2026, 15(8), 717; https://doi.org/10.3390/cells15080717 - 18 Apr 2026
Viewed by 166
Abstract
Extracellular vesicles derived from mesenchymal stem cells (MSC-EVs) exhibit great therapeutic potential in ischemia-associated conditions and diseases such as myocardial infarction, ischemic stroke, and wound healing. Enhancing the therapeutic efficacy of MSC-EVs could advance their clinical application. Diverse cargos (proteins, mRNA, microRNA, etc.) [...] Read more.
Extracellular vesicles derived from mesenchymal stem cells (MSC-EVs) exhibit great therapeutic potential in ischemia-associated conditions and diseases such as myocardial infarction, ischemic stroke, and wound healing. Enhancing the therapeutic efficacy of MSC-EVs could advance their clinical application. Diverse cargos (proteins, mRNA, microRNA, etc.) in MSC-EVs contribute to the therapeutic effects in various diseases. Vascular endothelial growth factor (VEGF) is one of the primary driving molecules in promoting angiogenesis and protecting endothelial cells lining blood vessels from apoptosis. In this study, we explored the feasibility of engineering parent MSCs with VEGF mRNA to potentiate therapeutic effects of their derived EVs. We first detected elevated levels of VEGF mRNA and protein in transfected MSCs and demonstrated the bioactivity of secreted VEGF by an angiogenesis assay. Furthermore, EVs derived from VEGF mRNA-engineered MSCs (VEGF-MSC-EVs) contained high levels of VEGF mRNA and protein and showed superior ability to protect human umbilical vein endothelial cells (HUVECs) from apoptosis compared to EVs derived from control MSCs (control MSC-EVs). To our knowledge, this is the first report demonstrating that VEGF-MSC-EVs boost therapeutic efficacy by promoting endothelial cell survival. Our findings offer a novel approach for cell-free therapy in ischemia-associated conditions and diseases. Full article
Show Figures

Figure 1

19 pages, 721 KB  
Review
Extracellular Vesicle-Associated miRNAs in Glioblastoma: Mechanisms, Biomarkers, Therapies, and Links to Neurodegeneration
by Chun Li and Takahiro Ochiya
Cancers 2026, 18(8), 1269; https://doi.org/10.3390/cancers18081269 - 16 Apr 2026
Viewed by 209
Abstract
Extracellular vesicles (EVs) facilitate intercellular communication in glioblastoma (GBM) by transferring microRNAs (miRNAs). GBM is the most aggressive primary brain tumor in adults, and despite multimodal therapy, the median survival remains approximately 15 months. Current diagnostic approaches, including contrast-enhanced MRI, are insufficient to [...] Read more.
Extracellular vesicles (EVs) facilitate intercellular communication in glioblastoma (GBM) by transferring microRNAs (miRNAs). GBM is the most aggressive primary brain tumor in adults, and despite multimodal therapy, the median survival remains approximately 15 months. Current diagnostic approaches, including contrast-enhanced MRI, are insufficient to reliably distinguish true tumor progression from pseudoprogression. Moreover, therapeutic efficacy is limited by intratumoral heterogeneity, acquired resistance, and the restrictive nature of the blood–brain barrier (BBB). In this context, EV-associated miRNAs (EV-miRNAs) contribute to GBM progression by regulating proliferation, angiogenesis, invasion, therapeutic resistance, and immune evasion. Notably, several EV-miRNAs are dysregulated in both GBM and neurodegenerative diseases (NDDs), suggesting shared molecular pathways across central nervous system (CNS) disorders. Circulating tumor-derived EV-miRNAs represent promising liquid biopsy biomarkers for diagnosis, prognosis, and longitudinal treatment monitoring. Beyond their biomarker potential, EVs can be engineered as nanocarriers capable of crossing the BBB to deliver therapeutic cargo, including inhibitors of oncogenic miRNAs (e.g., miR-21) or tumor-suppressive miRNAs (e.g., miR-124). This review summarizes the molecular functions, biomarker applications, and therapeutic strategies of EV-miRNAs in GBM. We further discuss current challenges related to methodological standardization, scalable production, and clinical translation. Collectively, advancing the understanding and clinical implementation of EV-miRNAs may provide new opportunities for precision diagnostics and therapeutic innovation in GBM. Full article
Show Figures

Figure 1

22 pages, 2097 KB  
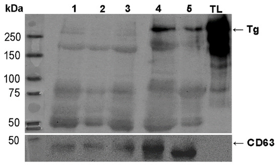
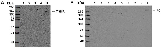
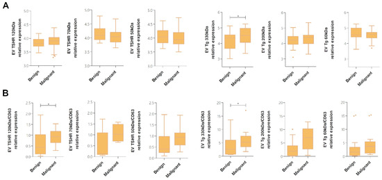
Article
Thyroid-Originating Extracellular Vesicles Harbor Thyroid-Specific Biomarkers with Potential Relevance for Thyroid Cancer Recurrence Detection
by Nevena Bobar, Ninoslav Mitić, Maja Kosanović, Sonja Šelemetjev, Tijana Išić Denčić, Katarina Taušanović and Jelena Janković Miljuš
Int. J. Mol. Sci. 2026, 27(8), 3510; https://doi.org/10.3390/ijms27083510 - 14 Apr 2026
Viewed by 248
Abstract
Thyroid cancer (TC) is the most common endocrine malignancy, and challenges persist in preoperative diagnosis of indeterminate nodules and postoperative monitoring when thyroglobulin (Tg) assays are compromised by interfering anti-Tg antibodies (Tg-Ab). Extracellular vesicles (EVs) carry molecular cargo reflective of cells of origin [...] Read more.
Thyroid cancer (TC) is the most common endocrine malignancy, and challenges persist in preoperative diagnosis of indeterminate nodules and postoperative monitoring when thyroglobulin (Tg) assays are compromised by interfering anti-Tg antibodies (Tg-Ab). Extracellular vesicles (EVs) carry molecular cargo reflective of cells of origin and are increasingly explored as biomarker sources. In this study, we investigated whether thyroid-derived EVs retain the expression of thyroid-specific thyrotropin-receptor (TSHR), a suitable target in immunoaffinity-based EV isolation, and explored the presence of Tg in EV cargo as potential surrogate for serum Tg. EVs from thyroid cell lines (Nthy-Ori 3-1, TPC-1, OCUT2) and plasma of patients with benign, malignant tumors and recurrent TC were isolated by differential ultracentrifugation and characterized via nanoparticle tracking and Dot and Western blot analyses. EVs derived from Nthy-Ori 3-1 and TPC-1 cell lines were positive for surface TSHR and vesicular Tg, but not OCUT2. All plasma-derived EVs were positive for TSHR and Tg, while their electrophoretic profiles from vesicles differed compared to tissue lysate. Tg was detectable in EVs isolated from recurrent TC samples, even in Tg-Ab positive cases. Together, these results support the use of TSHR for targeted EV isolation and point to vesicular Tg as a potential recurrence marker. Full article
Show Figures

Graphical abstract

7 pages, 970 KB  
Brief Report
Predicting Recombinant mRNA Loading into Extracellular Vesicles: Insights from CD81 Fusion Constructs
by Alessia Gabardi, Elena Gurrieri, Giulia Carradori, Dalia Tarantino and Vito Giuseppe D’Agostino
Int. J. Mol. Sci. 2026, 27(8), 3484; https://doi.org/10.3390/ijms27083484 - 13 Apr 2026
Viewed by 348
Abstract
Extracellular vesicles (EVs) are increasingly explored as vehicles for intercellular communication and the delivery of functional molecules, such as RNA. Recent studies have identified transcript-intrinsic features that influence EV-RNA sorting, including sequence length/complexity and coding probability. However, predicting the enrichment of coding transcripts [...] Read more.
Extracellular vesicles (EVs) are increasingly explored as vehicles for intercellular communication and the delivery of functional molecules, such as RNA. Recent studies have identified transcript-intrinsic features that influence EV-RNA sorting, including sequence length/complexity and coding probability. However, predicting the enrichment of coding transcripts into EVs remains exploratory. Using the workflow we previously described for the characterization of CD81 fusion constructs, we measured the vesicular distribution of recombinant transcripts transiently expressed in HEK293T cells, yielding protein cargo that mirrored the intracellular abundance. We included the CD81Δ and E7 constructs to obtain insights into the potential correlation between transcript length and EV distribution. We observed that EV-RNA levels do not scale proportionally with intracellular abundance, unlike the corresponding protein cargo. We consider cumulative RNA structure, sub-cellular dynamics, post-transcriptional modifications, and RNA-binding protein interactions as necessary factors that may dictate mRNA recruitment into EVs independent of transcript length, possibly inspiring new trajectories to maximize EV-RNA loading strategies. Full article
(This article belongs to the Section Molecular Biology)
Show Figures

Figure 1

17 pages, 665 KB  
Review
The Promise and Challenges of Mesenchymal Stem Cell-Derived Extracellular Vesicles in Periodontal Disease
by Jonghoe Byun
Pathogens 2026, 15(4), 420; https://doi.org/10.3390/pathogens15040420 - 13 Apr 2026
Viewed by 373
Abstract
Periodontal disease represents a major global health burden, beginning with gingivitis and progressing to periodontitis, which causes connective tissue breakdown, alveolar bone resorption, and eventual tooth loss. Beyond local pathology, periodontitis is a chronic inflammatory condition with systemic associations, including cardiovascular disease, diabetes, [...] Read more.
Periodontal disease represents a major global health burden, beginning with gingivitis and progressing to periodontitis, which causes connective tissue breakdown, alveolar bone resorption, and eventual tooth loss. Beyond local pathology, periodontitis is a chronic inflammatory condition with systemic associations, including cardiovascular disease, diabetes, and metabolic disorders. Mesenchymal stem cells (MSCs) and their extracellular vesicles (EVs) have emerged as promising candidates for periodontal regeneration. This review aimed to map the current evidence on MSC-derived EVs (MSC-EVs) in periodontal regeneration, focusing on their mechanisms of action, therapeutic potential, and translational challenges. A comprehensive literature search was conducted across a major biomedical database (PubMed) to identify preclinical and clinical studies investigating MSC-EVs in the context of periodontitis. Data were charted on EV cargo composition, biological functions, regenerative outcomes, and reported limitations. Evidence indicates that MSC-EVs encapsulate bioactive molecules—including antimicrobial peptides, proteins, lipids, and microRNAs—that modulate immune responses, suppress pro-inflammatory signaling, and promote angiogenesis and tissue repair. In periodontal models, MSC-EVs attenuate osteoclast activity, enhance fibroblast proliferation, and stimulate extracellular matrix remodeling, supporting regeneration of periodontal ligament and alveolar bone. Exosome-based approaches demonstrate advantages such as reduced immunogenicity, improved safety, and feasibility for storage and standardization. However, most findings remain preclinical, with limited human data available. To bridge the translational gap, well-designed clinical trials are needed to confirm efficacy and safety while addressing regulatory challenges, GMP standards, and outcome measures. Harnessing their regenerative capacity while mitigating side effects may guide precision-targeted therapies, and continued mechanistic studies with standardized production will be key to advancing MSC-EVs into clinical practice. Full article
(This article belongs to the Section Vaccines and Therapeutic Developments)
Show Figures

Figure 1

17 pages, 901 KB  
Review
Single-Cell Immune Atlases to Map Small Extracellular Vesicle Cargo in Tuberculosis–Diabetes Comorbidity: A Narrative Review and Conceptual Roadmap
by Ramona Cioboata, Silviu Gabriel Vlasceanu, Denisa Maria Mitroi, Anca Lelia Riza, Mara Amalia Balteanu, Oana Maria Catana and Mihai Olteanu
Int. J. Mol. Sci. 2026, 27(8), 3437; https://doi.org/10.3390/ijms27083437 - 11 Apr 2026
Viewed by 270
Abstract
Tuberculosis–diabetes mellitus (TB-DM) is increasingly recognized as a syndemic in which chronic metabolic dysregulation amplifies tuberculosis severity, delays treatment response, and increases relapse and mortality. However, conventional systemic correlates soluble cytokines and bulk whole-blood transcriptomic signatures often appear broadly similar between TB and [...] Read more.
Tuberculosis–diabetes mellitus (TB-DM) is increasingly recognized as a syndemic in which chronic metabolic dysregulation amplifies tuberculosis severity, delays treatment response, and increases relapse and mortality. However, conventional systemic correlates soluble cytokines and bulk whole-blood transcriptomic signatures often appear broadly similar between TB and TB-DM. This highlights a key gap: clinically meaningful immune dysfunction in TB-DM likely resides in specific lung and blood cell states that are poorly resolved by bulk assays. Small extracellular vesicles (EVs) in plasma and bronchoalveolar lavage (BAL) provide a tractable “liquid biopsy” layer because their RNA and protein cargo can integrate information from infected macrophages, neutrophils, and epithelial/endothelial compartments, and may also include pathogen-derived components. Yet most EV studies remain bulk and cell-agnostic, and interpretation is constrained by heterogeneous vesicle mixtures, selective cargo packaging, and co-isolated non-vesicular contaminants, issues that are especially problematic for nucleic-acid claims without rigorous controls. In this targeted narrative review (2010–2026), we argue that single-cell and multimodal immune reference atlases, including scRNA-seq/CITE-seq, provide a needed scaffold to link EV cargo patterns to specific immune cell states, pathways, and anatomic compartments in TB-DM, enabling prioritized candidates and testable hypotheses. We outline three complementary frameworks: reference-atlas anchoring to project EV cargo modules onto atlas-defined immune states; orthogonal triangulation combining computational inference with immunoaffinity enrichment, targeted validation, and functional assays; and cautious use of “droplet-era” extracellular signals as hypothesis-generating priors for EV-producing states. Implemented in longitudinal, clinically annotated cohorts with standardized EV workflows, atlas-guided EV profiling could yield cell-of-origin–resolved biomarkers of TB-DM immunopathology and treatment response, while prioritizing mechanistically plausible targets for host-directed intervention. Full article
(This article belongs to the Section Molecular Pathology, Diagnostics, and Therapeutics)
Show Figures

Figure 1

19 pages, 13469 KB  
Article
Omic Profiling of Extracellular Vesicles from Two Cord-Related Sources Reveals Divergent Effects on Melanogenesis
by Chia-Ni Hsiung, Wen-Yu Lien, Martin Sieber and Wen-Hsien Lin
Curr. Issues Mol. Biol. 2026, 48(4), 391; https://doi.org/10.3390/cimb48040391 - 10 Apr 2026
Viewed by 622
Abstract
Extracellular vesicles (EVs) mediate intercellular communication by delivering proteins and RNAs, with their molecular cargo often reflecting the biological context of their source. Perinatal tissues are promising sources of EV-related biomaterials with potential dermatologic applications. In this study, we compared EV-related molecular cargo [...] Read more.
Extracellular vesicles (EVs) mediate intercellular communication by delivering proteins and RNAs, with their molecular cargo often reflecting the biological context of their source. Perinatal tissues are promising sources of EV-related biomaterials with potential dermatologic applications. In this study, we compared EV-related molecular cargo from two umbilical cord-associated sources, umbilical cord mesenchymal stem cell (UCMSC)-derived EVs and cord blood plasma (CBP), to investigate whether these materials exhibit distinct functional effects on melanogenesis. UCMSC-derived EVs were isolated from conditioned culture medium and characterized using nanoparticle tracking analysis (NTA), cryo-electron microscopy (cryo-EM), and canonical EV marker detection, while cord blood samples were processed to obtain plasma following centrifugation and filtration, containing EVs together with soluble plasma components. Functional assays in the murine melanocyte cell line B16F10 demonstrated that UCMSC-derived EVs suppressed melanin production, whereas CBP treatment enhanced melanogenesis. Integrative omics analyses combining microRNAs (miRNAs) microarray profiling and proteomic characterization revealed distinct molecular signatures between UCMSC-derived EVs and CBP samples. Functional validation using miRNA mimic assays showed that selected miRNAs, including miR-6862-5p, miR-3622b-5p, miR-7847-3p, miR-6774-5p, and miR-4685-5p, reduced melanin production, whereas others, including miR-203a-3p, miR-126-3p, miR-139-5p, and miR-15b-5p, increased melanin levels. Pathway analysis using Ingenuity Pathway Analysis (IPA) (QIAGEN Inc.) associated these miRNA subsets with signaling pathways involved in melanogenesis. Together, these findings indicate that UCMSC-derived EVs and CBP exhibit opposite functional effects on melanogenesis and possess distinct miRNA and protein cargo profiles, providing potential molecular targets for modulating pigmentation and supporting the development of EV-related therapeutic strategies for pigmentation disorders. Full article
(This article belongs to the Special Issue Omics Analysis for Personalized Medicine)
Show Figures

Graphical abstract

30 pages, 4465 KB  
Article
Unraveling the Potential of Giardia Extracellular Vesicles as a Vaccine Candidate
by Clarissa Faria, Sandra Jesus, Bárbara Ferreira, Ágata Lourenço, Ana Isabel Sebastião, Daniela Mateus, Bruno M. Neves, Olga Borges, Maria Teresa Cruz and Maria do Céu Sousa
Pharmaceutics 2026, 18(4), 461; https://doi.org/10.3390/pharmaceutics18040461 - 9 Apr 2026
Viewed by 354
Abstract
Objectives: This study aimed to investigated the role of Giardia extracellular vesicles (EVs) in intercellular communication and to evaluated their potential as vaccine candidates. Methods: The immunomodulatory effects of Giardia EVs were assessed in mouse macrophages and human monocyte-derived dendritic cells (Mo-DCs), [...] Read more.
Objectives: This study aimed to investigated the role of Giardia extracellular vesicles (EVs) in intercellular communication and to evaluated their potential as vaccine candidates. Methods: The immunomodulatory effects of Giardia EVs were assessed in mouse macrophages and human monocyte-derived dendritic cells (Mo-DCs), with a particular focus on key inflammatory signaling pathways. In vivo immunogenicity was evaluated following EV administration, and the antigenic composition of EV cargo was characterized by proteomic analysis. Results: Giardia EVs activated pro-inflammatory signaling pathways in mouse macrphages, including SAPK/JNK, ERK1/2, and NF-κB. This activation was associated with IκB-α degradation and nuclear translocation of p65. Furthermore, EV stimulation significantly upregulated the expression of pro-inflammatory genes, including Il1β, Il6, Il4, Ptgs2, Nos2, and Tnf, with log2 fold changes ranging from 3.9 to 15.8. Consistently, EVs increased iNOS protein expression (28–45%) and nitrite production (9.6–12.3-fold). In human Mo-DCs, Giardia EVs promoted cellular maturation, as evidenced by increased expression of MHC-II, CD80, and CD86, and enhanced T-cell proliferation with a Th1-skewed profile. In vivo immunization induced antigen-specific antibody responses, with IgG subclass distribution indicative of a balanced Th1/Th2 response. Proteomic analysis identified immunoreactive EV-associated proteins, including elongation factor 1-alpha, α-7.3 giardin, tubulin, and variant surface proteins (VSPs), which are well-established antigens in Giardia infection, with prominent bands observed at approximately 22 kDa and 50 kDa. Conclusions: Collectively, these findings demonstrate that Giardia EVs modulate innate immune responses in vitro, elicit antigen-specific humoral immunity in vivo, and contain conserved immunogenic proteins. These properties support their potential as a promising cell-free vaccine platform against giardiasis. Full article
(This article belongs to the Special Issue Next-Generation for mRNA Vaccine Delivery)
Show Figures

Graphical abstract

22 pages, 1741 KB  
Article
Fixed-Bed Bioreactor Culture Enhances Yield and Reparative Properties of hTERT Mesenchymal Stem Cell Extracellular Vesicles
by Zachary Cuba, Lenny Godinho, Sujata Choudhury, Kajal Patil, Anastasia Williams, Weidong Zhou, Marissa Howard, Surya P. Aryal, Kevin A. Clayton, David A. Routenberg, Lance A. Liotta, Heather Couch, Fatah Kashanchi and Heather Branscome
Cells 2026, 15(7), 654; https://doi.org/10.3390/cells15070654 - 7 Apr 2026
Viewed by 740
Abstract
Mesenchymal stem cells (MSCs) are multipotent cells that have the ability to mediate cellular repair through a combination of soluble paracrine factors, as well as bioactive cargo packaged within extracellular vesicles (EVs). Although MSC-derived EVs have been widely investigated for their regenerative potential, [...] Read more.
Mesenchymal stem cells (MSCs) are multipotent cells that have the ability to mediate cellular repair through a combination of soluble paracrine factors, as well as bioactive cargo packaged within extracellular vesicles (EVs). Although MSC-derived EVs have been widely investigated for their regenerative potential, progress toward translational evaluation has been limited in part by challenges in scalable and reproducible manufacturing. We recently reported that human telomerase reverse transcriptase (hTERT)-immortalized MSCs reproducibly produce EVs that retain key characteristics of EVs derived from primary MSCs. Building on this work, three-dimensional (3D) culture systems have emerged as promising platforms for large-scale manufacturing. In this study, we compared the yield, molecular composition, and functional activity of EVs produced from hTERT-immortalized MSCs cultured in either a fixed-bed bioreactor or conventional two-dimensional (2D) flasks. Our data demonstrate that bioreactor culture results in increased EV yield as compared to an equivalent production from 2D cultures. Molecular analyses indicated that bioreactor-derived EVs were associated with a broader spectrum of cargo and were enriched with molecules that may contribute to enhanced reparative function. Importantly, bioreactor-derived EVs also exerted a more pronounced effect in cellular repair assays in vitro. Collectively, these results highlight the potential of fixed-bed bioreactors as scalable platforms for EV production, offering higher yields while preserving molecular composition and functional activity. This approach represents an important step toward achieving the reproducible, high-quality EV production required for research and future translational applications. Full article
Show Figures

Figure 1

Back to TopTop