Sign in to use this feature.

Years

Between: -

Subjects

remove_circle_outline
remove_circle_outline
remove_circle_outline
remove_circle_outline
remove_circle_outline
remove_circle_outline
remove_circle_outline

Journals

Article Types

Countries / Regions

Search Results (9)

Search Parameters:
Keywords = DRISTi

Order results
Result details
Results per page
Select all
Export citation of selected articles as:
18 pages, 1289 KB  
Review
Agricultural Runoff and Waterborne Disease in Primary Care: A Review
by Dristi Sapkota and Dinesh Phuyal
Int. J. Environ. Med. 2026, 1(1), 5; https://doi.org/10.3390/ijem1010005 - 4 Mar 2026
Viewed by 583
Abstract
Contamination of agricultural water poses significant health risks that are often underrecognized in clinical practice. This review synthesizes peer-reviewed literature from biomedical and environmental sciences. It examines the pathways by which nitrates and zoonotic pathogens contaminate rural drinking water and delineates the resulting [...] Read more.
Contamination of agricultural water poses significant health risks that are often underrecognized in clinical practice. This review synthesizes peer-reviewed literature from biomedical and environmental sciences. It examines the pathways by which nitrates and zoonotic pathogens contaminate rural drinking water and delineates the resulting spectrum of acute and chronic health risks relevant to primary care. Agricultural practices are a primary source of nitrates and pathogens (e.g., Escherichia coli, Cryptosporidium, Giardia) in rural water supplies. Nitrate nitrogen exposure is linked not only to acute infant methemoglobinemia but also to chronic conditions like colorectal and thyroid cancers and adverse birth outcomes. These risks are observed at concentrations below the current United States Environmental Protection Agency regulatory limit of 10 mg L−1 NO3–N. Pathogen exposure leads to acute gastrointestinal illness and can trigger long-term sequelae, including irritable bowel syndrome. Agricultural communities are uniquely vulnerable because they rely heavily on unregulated private wells, which are more prone to contamination than public systems. Evidence suggests a substantial and often underrecognized burden of waterborne disease in agricultural communities. The findings highlight a critical need for clinical vigilance regarding low-level nitrate nitrogen exposure and long-term post-infectious syndromes. By identifying these patterns, family physicians serve as essential sentinels for both individual patient safety and community public health. Full article
Show Figures

Graphical abstract

12 pages, 1150 KB  
Article
Comparative Analysis of AI and Ophthalmologist Grading in Diabetic Retinopathy Detection
by Patricio M. Aduriz-Lorenzo, Jyothsna Rajagopal, Pradeep Walia, Gh Mustuffa Khan and Harini Indusekar
Biomedicines 2026, 14(2), 290; https://doi.org/10.3390/biomedicines14020290 - 28 Jan 2026
Viewed by 497
Abstract
Background: Diabetic retinopathy (DR) poses a significant global health challenge that needs scalable and efficient screening pathways beyond the current limitations of teleophthalmology. This study retrospectively evaluated the diagnostic performance of an artificial intelligence (AI) DRISTi system (Version 2.1) against ophthalmologist grading for [...] Read more.
Background: Diabetic retinopathy (DR) poses a significant global health challenge that needs scalable and efficient screening pathways beyond the current limitations of teleophthalmology. This study retrospectively evaluated the diagnostic performance of an artificial intelligence (AI) DRISTi system (Version 2.1) against ophthalmologist grading for more-than-mild diabetic retinopathy (mtmDR), vision-threatening diabetic retinopathy (vtDR), and diabetic macular edema (DME). Methods: The methods involved a retrospective, observational, non-interventional validation comparing the AI DRISTi system’s output to ophthalmologist grading on 739 colour fundus images acquired using Topcon NWC 400, CrystalVue NFC 600/700, Canon CR2/CR2 AF, and Zeiss VISUCAM 500 cameras. Results: Primary outcomes included sensitivity and specificity, with statistical analyses utilizing 2 × 2 contingency tables and 95% confidence intervals. The AI system achieved an accuracy of 93.36% (sensitivity 95.03%; specificity 92.90%) for mtmDR, 98.64% (sensitivity 96.92%; specificity 99.01%) for vtDR, and 97.97% (sensitivity 92.85%; specificity 98.88%) for DME. Performance was robust and consistent across all evaluated camera types. Conclusions: In conclusion, the AI DRISTi system (Version 2.1) demonstrates strong diagnostic performance for mtmDR, vtDR, and DME, comparable to leading commercial AI systems, from fundus photographs acquired across multiple camera platforms. This system holds significant promise as an adjunctive screening tool for large-scale DR screening programs, contributing to early detection, appropriate triage, and the prevention of vision loss in at-risk populations. Full article
(This article belongs to the Special Issue Advanced Research on Diabetic Retinopathy)
Show Figures

Figure 1

10 pages, 250 KB  
Article
Apathy Is Associated with Slower Gait and Subjective Cognitive Complaints in a South Indian Community-Dwelling Cohort
by Matthew G. Engel, Emmeline I. Ayers, Dristi Adhikari, Marnina B. Stimmel, Erica F. Weiss, V.G. Pradeep Kumar, Alben Sigamani, Joe Verghese and Mirnova E. Ceïde
Brain Sci. 2025, 15(11), 1204; https://doi.org/10.3390/brainsci15111204 - 7 Nov 2025
Viewed by 690
Abstract
Background/Objectives: Apathy is an independent risk factor for dementia and motoric–cognitive risk syndrome (MCR), a predementia syndrome characterized by slow gait and subjective cognitive complaints (SCCs). Our objective is to assess the cross-sectional association of apathy with gait velocity, SCC, and MCR [...] Read more.
Background/Objectives: Apathy is an independent risk factor for dementia and motoric–cognitive risk syndrome (MCR), a predementia syndrome characterized by slow gait and subjective cognitive complaints (SCCs). Our objective is to assess the cross-sectional association of apathy with gait velocity, SCC, and MCR in a community-based cohort of older adults. Methods: A cross-sectional survey of N = 746 community-dwelling older adults (≥60 years of age) enrolled in the Kerala Einstein Study. Apathy was measured using the Apathy Evaluation Scale (AES). Participants were stratified by AES tertile to evaluate bivariate associations, and multivariate linear and logistic regression models were used to assess the relationship of apathy with gait velocity, SCC, and MCR. Results: Compared with participants in the lowest apathy tertile, those in the highest tertile were significantly older, less physically active, and had slower gait. High-apathy participants also had lower Addenbrooke’s Cognitive Examination scores (79.4 vs. 84.5, p < 0.001) and higher depression scores (9.3 vs. 5.4, p < 0.001). Apathy was associated with slower gait velocity (β = −3.465, p ≤ 0.002), but this relationship was no longer significant after adjusting for ACE score. Apathy and SCC were significantly associated in adjusted models (p < 0.001). Although participants with MCR had higher levels of apathy compared to those without MCR (34.6 vs. 31.4, p < 0.01), prevalent MCR and apathy were not significantly associated in regression models. Conclusions: Among community-dwelling older adults in Kerala, apathy is associated with slower gait and more severe subjective cognitive complaints but not cross-sectional MCR prevalence. These findings suggest that apathy may serve as an early risk factor in dementia pathogenesis across diverse patient populations, warranting further longitudinal investigation. Full article
27 pages, 1754 KB  
Article
Transformer-Guided Noise Detection and Correction in Remote Sensing Data for Enhanced Soil Organic Carbon Estimation
by Manoranjan Paul, Dristi Datta, Manzur Murshed, Shyh Wei Teng and Leigh M. Schmidtke
Remote Sens. 2025, 17(20), 3463; https://doi.org/10.3390/rs17203463 - 17 Oct 2025
Cited by 1 | Viewed by 973
Abstract
Soil organic carbon (SOC) is a critical indicator of soil health, directly influencing crop productivity, soil structure, and environmental sustainability. Existing SOC estimation techniques using satellite reflectance data are effective for large-scale applications; however, their accuracy is reduced due to various types of [...] Read more.
Soil organic carbon (SOC) is a critical indicator of soil health, directly influencing crop productivity, soil structure, and environmental sustainability. Existing SOC estimation techniques using satellite reflectance data are effective for large-scale applications; however, their accuracy is reduced due to various types of noisy samples caused by vegetation interference, sensor-related anomalies, atmospheric effects, and other spectral distortions. This study proposes a robust data refinement framework capable of handling any soil sample, whether clean or noisy, by identifying and correcting noisy samples to enable more accurate SOC estimation outcomes. The approach first explores complex global relationships among spectral bands to understand and represent subtle patterns in soil reflectance using the Transformer network. To remove redundancy and retain only essential information of the transformed features, we apply a dimensional reduction technique for efficient analysis. Building upon this refined representation, noisy samples are detected without relying on strict data distribution assumptions, ensuring effective identification of noisy samples in diverse conditions. Finally, instead of excluding these noisy samples, the proposed framework corrects their reflectance through a conditional Generative Adversarial Network (cGAN) to align with expected soil spectral characteristics, thereby preserving valuable information for more accurate SOC estimation. The proposed approach was evaluated on benchmark satellite datasets, demonstrating superior performance over existing noise correction techniques. Experimental validation using the Landsat 8 dataset demonstrated that the proposed framework improved SOC estimation performance by increasing R2 by 1.52%, reducing RMSE by 4.45%, and increasing RPD by 5.14% compared to the best baseline method (OC-SVM + Kriging). These results confirm the framework’s effectiveness in enhancing SOC estimation under noisy conditions. This scalable framework supports accurate SOC monitoring across diverse conditions, enabling informed soil management and advancing precision agriculture. Full article
Show Figures

Figure 1

17 pages, 2666 KB  
Article
Effluent Dissolved Carbon Discharge from Two Municipal Wastewater Treatment Plants to the Mississippi River
by Anamika Dristi and Yijun Xu
Water 2025, 17(17), 2589; https://doi.org/10.3390/w17172589 - 1 Sep 2025
Cited by 2 | Viewed by 1695
Abstract
Nutrient and carbon transport from the Mississippi River to the Gulf of Mexico have been investigated intensively. However, little is known about the direct human contribution of carbon from wastewater treatment plants (WWTPs) to this large river, a source that can be termed [...] Read more.
Nutrient and carbon transport from the Mississippi River to the Gulf of Mexico have been investigated intensively. However, little is known about the direct human contribution of carbon from wastewater treatment plants (WWTPs) to this large river, a source that can be termed as Cultural Carbon. This study analyzed dissolved carbon in effluents from two municipal WWTPs on the bank of the Mississippi River in Baton Rouge, South Louisiana, USA. One of the WWTPs (WWTP North) is a conventional wastewater treatment facility with a treatment capacity of 40 million gallons per day (MGD), while the other (WWTP South) is a recently upgraded facility with a treatment capacity of 200 MGD. From September 2022 to November 2024, river water and effluent samples were collected monthly to analyze dissolved organic carbon (DOC) and dissolved inorganic carbon (DIC) concentrations and their mass transport. The study found significantly higher monthly average DIC (56.80 ± 16.51 mg/L) and DOC (29.52 ± 8.68 mg/L) concentrations in the effluent of WWTP North than in the effluent of WWTP South (DIC: 42.64 ± 10.50 mg/L and DOC: 12.93 ± 3.68 mg/L). Effluents from both WWTPs had substantially greater DOC and DIC levels than the Mississippi River water (DIC: 28.92 ± 4.91 mg/L and DOC: 5.47 ± 2.35 mg/L). WWTP North discharged, on average, 3.80 MT of DIC and 1.95 MT of DOC per day, whereas WWTP South discharged 6.27 MT of DIC and 1.92 MT of DOC per day, resulting in a total annual load of 3808 MT of DIC and 1459 MT of DOC entering the Mississippi River. Considering the large number of WWTPs within the Mississippi River Basin, these findings highlight a significant contribution of effluents to riverine carbon, suggesting that basin-wide carbon budgets and regional climate assessments must take them into account. The findings from this study can be useful for federal and state policymakers, as well as researchers and engineers involved in carbon science, climate change, and water quality assessment of the Mississippi River Basin and beyond. Full article
Show Figures

Figure 1

17 pages, 2035 KB  
Article
Large Uncertainties in CO2 Water–Air Outgassing Estimation with Gas Exchange Coefficient KT for a Large Lowland River
by Anamika Dristi and Y. Jun Xu
Water 2023, 15(14), 2621; https://doi.org/10.3390/w15142621 - 19 Jul 2023
Cited by 6 | Viewed by 2669
Abstract
Aquatic CO2 emission is typically estimated (i.e., not measured) through a gas exchange balance. Several factors can affect the estimation, primarily flow velocity and wind speed, which can influence a key parameter, the gas exchange coefficient KT in the balancing approach. [...] Read more.
Aquatic CO2 emission is typically estimated (i.e., not measured) through a gas exchange balance. Several factors can affect the estimation, primarily flow velocity and wind speed, which can influence a key parameter, the gas exchange coefficient KT in the balancing approach. However, our knowledge of the uncertainty of predictions using these factors is rather limited. In this study, we conducted a numeric assessment on the impact of river flow velocity and wind speed on KT and the consequent CO2 emission rate. As a case study, we utilized 3-year (2019–2021) measurements on the partial pressure of dissolved carbon dioxide (pCO2) in one of the world’s largest alluvial rivers, the lower Mississippi River, to determine the difference in CO2 emission rate estimated through three approaches: velocity-based KT, wind-based KT, and a constant KT (i.e., KT = 4.3 m/day) that has been used for large rivers. Over the 3-year study period, river flow velocity varied from 0.75 ms−1 to 1.8 ms−1, and wind speed above the water surface fluctuated from 0 ms−1 to nearly 5 ms−1. Correspondingly, we obtained a velocity-based KT value of 7.80–22.11 m/day and a wind-speed-based KT of 0.77–8.40 m/day. Because of the wide variation in KT values, the estimation of CO2 emission using different approaches resulted in a substantially large difference. The velocity-based KT method yielded an average CO2 emission rate (FCO2) of 44.36 mmol m−2 h−1 for the lower Mississippi River over the 3-year study period, varying from 6.8 to 280 mmol m−2 h−1. In contrast, the wind-based KT method rendered an average FCO2 of 10.05 mmol m−2 h−1 with a small range of fluctuation (1.32–53.40 mmol m−2 h−1,), and the commonly used constant KT method produced an average FCO2 of 11.64 mmol m−2 h−1, also in a small range of fluctuation (2.42–56.87 mmol m−2 h−1). Based on the findings, we conclude that the effect of river channel geometry and flow velocity on CO2 outgassing is still largely underestimated, and the current estimation of global river CO2 emission may bear large uncertainty due to limited spatial coverage of flow conditions and the associated gas exchange variation. Full article
(This article belongs to the Special Issue Recent Progress in CO2 Emission from the World’s Rivers)
Show Figures

Figure 1

18 pages, 735 KB  
Article
Comparative Analysis of Machine and Deep Learning Models for Soil Properties Prediction from Hyperspectral Visual Band
by Dristi Datta, Manoranjan Paul, Manzur Murshed, Shyh Wei Teng and Leigh Schmidtke
Environments 2023, 10(5), 77; https://doi.org/10.3390/environments10050077 - 4 May 2023
Cited by 24 | Viewed by 5902
Abstract
Estimating various properties of soil, including moisture, carbon, and nitrogen, is crucial for studying their correlation with plant health and food production. However, conventional methods such as oven-drying and chemical analysis are laborious, expensive, and only feasible for a limited land area. With [...] Read more.
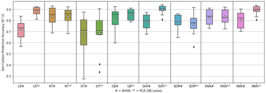
Estimating various properties of soil, including moisture, carbon, and nitrogen, is crucial for studying their correlation with plant health and food production. However, conventional methods such as oven-drying and chemical analysis are laborious, expensive, and only feasible for a limited land area. With the advent of remote sensing technologies like multi/hyperspectral imaging, it is now possible to predict soil properties non-invasive and cost-effectively for a large expanse of bare land. Recent research shows the possibility of predicting those soil contents from a wide range of hyperspectral data using good prediction algorithms. However, these kinds of hyperspectral sensors are expensive and not widely available. Therefore, this paper investigates different machine and deep learning techniques to predict soil nutrient properties using only the red (R), green (G), and blue (B) bands data to propose a suitable machine/deep learning model that can be used as a rapid soil test. Another objective of this research is to observe and compare the prediction accuracy in three cases i. hyperspectral band ii. full spectrum of the visual band, and iii. three-channel of RGB band and provide a guideline to the user on which spectrum information they should use to predict those soil properties. The outcome of this research helps to develop a mobile application that is easy to use for a quick soil test. This research also explores learning-based algorithms with significant feature combinations and their performance comparisons in predicting soil properties from visual band data. For this, we also explore the impact of dimensional reduction (i.e., principal component analysis) and transformations (i.e., empirical mode decomposition) of features. The results show that the proposed model can comparably predict the soil contents from the three-channel RGB data. Full article
(This article belongs to the Special Issue Soil Organic Carbon Assessment)
Show Figures

Figure 1

20 pages, 816 KB  
Article
Soil Moisture, Organic Carbon, and Nitrogen Content Prediction with Hyperspectral Data Using Regression Models
by Dristi Datta, Manoranjan Paul, Manzur Murshed, Shyh Wei Teng and Leigh Schmidtke
Sensors 2022, 22(20), 7998; https://doi.org/10.3390/s22207998 - 20 Oct 2022
Cited by 39 | Viewed by 5837
Abstract
Soil moisture, soil organic carbon, and nitrogen content prediction are considered significant fields of study as they are directly related to plant health and food production. Direct estimation of these soil properties with traditional methods, for example, the oven-drying technique and chemical analysis, [...] Read more.
Soil moisture, soil organic carbon, and nitrogen content prediction are considered significant fields of study as they are directly related to plant health and food production. Direct estimation of these soil properties with traditional methods, for example, the oven-drying technique and chemical analysis, is a time and resource-consuming approach and can predict only smaller areas. With the significant development of remote sensing and hyperspectral (HS) imaging technologies, soil moisture, carbon, and nitrogen can be estimated over vast areas. This paper presents a generalized approach to predicting three different essential soil contents using a comprehensive study of various machine learning (ML) models by considering the dimensional reduction in feature spaces. In this study, we have used three popular benchmark HS datasets captured in Germany and Sweden. The efficacy of different ML algorithms is evaluated to predict soil content, and significant improvement is obtained when a specific range of bands is selected. The performance of ML models is further improved by applying principal component analysis (PCA), a dimensional reduction method that works with an unsupervised learning method. The effect of soil temperature on soil moisture prediction is evaluated in this study, and the results show that when the soil temperature is considered with the HS band, the soil moisture prediction accuracy does not improve. However, the combined effect of band selection and feature transformation using PCA significantly enhances the prediction accuracy for soil moisture, carbon, and nitrogen content. This study represents a comprehensive analysis of a wide range of established ML regression models using data preprocessing, effective band selection, and data dimension reduction and attempt to understand which feature combinations provide the best accuracy. The outcomes of several ML models are verified with validation techniques and the best- and worst-case scenarios in terms of soil content are noted. The proposed approach outperforms existing estimation techniques. Full article
(This article belongs to the Section Environmental Sensing)
Show Figures

Figure 1

18 pages, 3574 KB  
Article
A Novel Intrusion Mitigation Unit for Interconnected Power Systems in Frequency Regulation to Enhance Cybersecurity
by Faisal R. Badal, Zannatun Nayem, Subrata K. Sarker, Dristi Datta, Shahriar Rahman Fahim, S. M. Muyeen, Md. Rafiqul Islam Sheikh and Sajal K. Das
Energies 2021, 14(5), 1401; https://doi.org/10.3390/en14051401 - 4 Mar 2021
Cited by 10 | Viewed by 2868
Abstract
Cyberattacks (CAs) on modern interconnected power systems are currently a primary concern. The development of information and communication technology (ICT) has increased the possibility of unauthorized access to power system networks for data manipulation. Unauthorized data manipulation may lead to the partial or [...] Read more.
Cyberattacks (CAs) on modern interconnected power systems are currently a primary concern. The development of information and communication technology (ICT) has increased the possibility of unauthorized access to power system networks for data manipulation. Unauthorized data manipulation may lead to the partial or complete shutdown of a power network. In this paper, we propose a novel security unit that mitigates intrusion for an interconnected power system and compensates for data manipulation to augment cybersecurity. The studied two-area interconnected power system is first stabilized to alleviate frequency deviation and tie-line power between the areas by designing a fractional-order proportional integral derivative (FPID) controller. Since the parameters of the FPID controller can also be influenced by a CA, the proposed security unit, named the automatic intrusion mitigation unit (AIMU), guarantees control over such changes. The effectiveness of the AIMU is inspected against a CA, load variations, and unknown noises, and the results show that the proposed unit guarantees reliable performance in all circumstances. Full article
(This article belongs to the Special Issue Future Smart Grid Systems)
Show Figures

Figure 1

Back to TopTop