Sign in to use this feature.

Years

Between: -

Subjects

remove_circle_outline
remove_circle_outline
remove_circle_outline
remove_circle_outline
remove_circle_outline
remove_circle_outline
remove_circle_outline

Journals

Article Types

Countries / Regions

Search Results (14)

Search Parameters:
Keywords = Cyclone Idai

Order results
Result details
Results per page
Select all
Export citation of selected articles as:
26 pages, 34303 KB  
Article
Post-Disaster Building Damage Assessment: Multi-Class Object Detection vs. Object Localization and Classification
by Damjan Hatić, Vladyslav Polushko, Markus Rauhut and Hans Hagen
Remote Sens. 2025, 17(24), 3957; https://doi.org/10.3390/rs17243957 - 7 Dec 2025
Cited by 1 | Viewed by 1321
Abstract
Natural disasters demand swift and accurate impact assessment, yet traditional field-based methods remain prohibitively slow. While semi-automatic techniques leveraging remote sensing and drone imagery have accelerated evaluations, existing datasets predominantly emphasize Western infrastructure, offering limited representation of African contexts. The EDDA dataset (a [...] Read more.
Natural disasters demand swift and accurate impact assessment, yet traditional field-based methods remain prohibitively slow. While semi-automatic techniques leveraging remote sensing and drone imagery have accelerated evaluations, existing datasets predominantly emphasize Western infrastructure, offering limited representation of African contexts. The EDDA dataset (a Mozambique post-disaster building damage dataset developed under the Efficient Humanitarian Aid Through Intelligent Image Analysis project), addresses this critical gap by capturing rural and urban damage patterns in Mozambique following Cyclone Idai. Despite encouraging early results, significant challenges persist due to task complexity, severe class imbalance, and substantial architectural diversity across regions. Building upon EDDA, this study introduces a two-stage building damage assessment pipeline that decouples localization from classification. We employ lightweight You Only Look Once (YOLO)-based detectors—RTMDet, YOLOv7, and YOLOv8—for building localization, followed by dedicated damage severity classification using state-of-the-art architectures including Compact Convolutional Transformers, EfficientNet, and ResNet. This approach tests whether separating feature extraction tasks—assigning detectors solely to localization and specialized classifiers to damage assessment—yields superior performance compared to multi-class detection models that jointly learn both objectives. Comprehensive evaluation across 640+ model combinations demonstrates that our two-stage pipeline achieves competitive performance (mAP 0.478) with enhanced modularity compared to multi-class detection baselines (mAP 0.455), offering improved robustness across diverse building types and imbalanced damage classes. Full article
Show Figures

Figure 1

23 pages, 314 KB  
Article
Preventing Disasters Before They Happen: Lessons from Successful Disaster Risk Reduction in Southern Africa
by Wilfred Lunga, Jane Kaifa, Charles Musarurwa, Gcina Malandela, Samantha Tshabalala, Caiphus Baloyi and Mmakotsedi Magampa
Sustainability 2025, 17(20), 9131; https://doi.org/10.3390/su17209131 - 15 Oct 2025
Viewed by 2447
Abstract
Disaster headlines often underscore devastation and loss while overlooking success stories where proactive disaster risk reduction (DRRM) measures have averted catastrophe, saved lives, and reduced economic damage. This study addresses the gap in documentation and analysis of DRRM success stories in Africa, particularly [...] Read more.
Disaster headlines often underscore devastation and loss while overlooking success stories where proactive disaster risk reduction (DRRM) measures have averted catastrophe, saved lives, and reduced economic damage. This study addresses the gap in documentation and analysis of DRRM success stories in Africa, particularly within the Southern African Development Community (SADC), arguing that the absence of such narratives hampers a shift from reactive to proactive disaster risk governance. The research aims to extract critical lessons from success stories for enhancing future preparedness and response frameworks. A qualitative research design was employed, integrating document analysis, expert interviews, field observations, and practitioner workshops. Data was triangulated from diverse sources, including national disaster management agency reports (e.g., South Africa’s NDMC, Botswana’s NDMO, Mozambique’s INGC), peer-reviewed literature, UNDRR reports, SADC policy documents, and first-hand experiences from the authors’ consultancy work in the African Union’s biennial DRRM reporting processes. Case studies examined include Mozambique’s response to Cyclone Idai in 2019, South Africa’s drought and flood risk governance (e.g., the 2023 floods in Eastern and Western Cape), and Malawi’s flood resilience programs. Findings reveal that successful DRRM outcomes are driven by a combination of anticipatory governance, community-based preparedness, integration of Indigenous Knowledge Systems (IKSs), and investment in infrastructure and ecosystem-based adaptation. These cases demonstrate that locally embedded, yet scientifically informed, interventions enhance resilience and reduce disaster impacts. The study underscores the relevance of theoretical frameworks such as resilience theory, narrative theory, and social learning in interpreting how success stories contribute to institutional memory and adaptive capacity. Policy recommendations emphasize the need for institutionalizing success-story documentation in national DRRM frameworks, scaling up community engagement in risk governance, and fostering regional knowledge-sharing platforms within the SADC. Furthermore, the paper advocates for making DRRM success stories more visible and actionable to transition toward more anticipatory, inclusive, and effective disaster risk management systems. Full article
(This article belongs to the Special Issue Disaster Risk Reduction and Sustainability)
19 pages, 322 KB  
Article
Health Inequalities in Primary Care: A Comparative Analysis of Climate Change-Induced Expansion of Waterborne and Vector-Borne Diseases in the SADC Region
by Charles Musarurwa, Jane M. Kaifa, Mildred Ziweya, Annah Moyo, Wilfred Lunga and Olivia Kunguma
Int. J. Environ. Res. Public Health 2025, 22(8), 1242; https://doi.org/10.3390/ijerph22081242 - 8 Aug 2025
Cited by 3 | Viewed by 2417
Abstract
Climate change has magnified health disparities across the Southern African Development Community (SADC) region by destabilizing the critical natural systems, which include water security, food production, and disease ecology. The IPCC (2007) underscores the disproportionate impact on low-income populations characterized by limited adaptive [...] Read more.
Climate change has magnified health disparities across the Southern African Development Community (SADC) region by destabilizing the critical natural systems, which include water security, food production, and disease ecology. The IPCC (2007) underscores the disproportionate impact on low-income populations characterized by limited adaptive capacity, exacerbating existing vulnerabilities. Rising temperatures, erratic precipitation patterns, and increased frequency of extreme weather events ranging from prolonged droughts to catastrophic floods have created favourable conditions for the spread of waterborne diseases such as cholera, dysentery, and typhoid, as well as the expansion of vector-borne diseases zone also characterized by warmer and wetter conditions where diseases like malaria thrives. This study employed a comparative analysis of climate and health data across Malawi, Zimbabwe, Mozambique, and South Africa examining the interplay between climatic shifts and disease patterns. Through reviews of national surveillance reports, adaptation policies, and outbreak records, the analysis reveals the existence of critical gaps in preparedness and response. Zimbabwe’s Matabeleland region experienced a doubling of diarrheal diseases in 2019 due to drought-driven water shortages, forcing communities to rely on unsafe alternatives. Mozambique faced a similar crisis following Cyclone Idai in 2019, where floodwaters precipitated a threefold surge in cholera cases, predominantly affecting children under five. In Malawi, Cyclone Ana’s catastrophic flooding in 2022 contaminated water sources, leading to a devastating cholera outbreak that claimed over 1200 lives. Meanwhile, in South Africa, inadequate sanitation in KwaZulu-Natal’s informal settlements amplified cholera transmission during the 2023 rainy season. Malaria incidence has also risen in these regions, with warmer temperatures extending the geographic range of Anopheles mosquitoes and lengthening the transmission seasons. The findings underscore an urgent need for integrated, multisectoral interventions. Strengthening disease surveillance systems to incorporate climate data could enhance early warning capabilities, while national adaptation plans must prioritize health resilience by bridging gaps between water, agriculture, and infrastructure policies. Community-level interventions, such as water purification programs and targeted vector control, are essential to reduce outbreaks in high-risk areas. Beyond these findings, there is a critical need to invest in longitudinal research so as to elucidate the causal pathways between climate change and disease burden, particularly for understudied linkages like malaria expansion and urbanization. Without coordinated action, climate-related health inequalities will continue to widen, leaving marginalized populations increasingly vulnerable to preventable diseases. The SADC region must adopt evidence-based, equity-centred strategies to mitigate these growing threats and safeguard public health in a warming world. Full article
(This article belongs to the Special Issue Health Inequalities in Primary Care)
22 pages, 1283 KB  
Article
Dynamic Approach to Update Utility and Choice by Emerging Technologies to Reduce Risk in Urban Road Transportation Systems
by Francesco Russo, Antonio Comi and Giovanna Chilà
Future Transp. 2024, 4(3), 1078-1099; https://doi.org/10.3390/futuretransp4030052 - 20 Sep 2024
Cited by 13 | Viewed by 1922
Abstract
International research attention on evacuation issues has increased significantly following the human and natural disasters at the turn of the century, such as 9/11, Hurricane Katrina, Cyclones Idai and Kenneth, the Black Saturday forest fires and tsunamis in Japan. The main problem concerning [...] Read more.
International research attention on evacuation issues has increased significantly following the human and natural disasters at the turn of the century, such as 9/11, Hurricane Katrina, Cyclones Idai and Kenneth, the Black Saturday forest fires and tsunamis in Japan. The main problem concerning when a disaster can occur involves studying the risk reduction. Risk, following all the theoretical and experimental studies, is determined by the product of three components: occurrence, vulnerability and exposure. Vulnerability can be improved over time through major infrastructure actions, but absolute security cannot be achieved. When the event will occur with certainty, only exposure remains to reduce the risk to people before the effect hits them. Exposure can be improved, under fixed conditions of occurrence and vulnerability, by improving evacuation. The main problem in terms of evacuating the population from an area is the available transport system, which must be used to its fullest. So, if the system is well managed, the evacuation improves (shorter times), meaning the exposure is reduced, and therefore, the risk is reduced. A key factor in the analysis of transport systems under emergency conditions is the behavior of the user, and therefore, the study of demand. This work identifies the main research lines that are useful for studying demand under exposure-related risk conditions. The classification of demand models that simulate evacuation conditions in relation to the effect on the transportation system is summarized. The contribution proposes a model for updating choice in relation to emergency conditions and utility. The contribution of emerging ICTs to actualization is formally introduced into the models. Intelligent technologies make it possible to improve user decisions, reducing exposure and therefore risk. The proposed model moves within the two approaches of the literature: it is an inter-period dynamic model with the probability expressed within the discrete choice theory; furthermore, it is a sequential dynamic model with the probability dependent on the previous choices. The contribution presents an example of application of the model, developing a transition matrix considering the case of choice updating under two extreme conditions. Full article
Show Figures

Figure 1

20 pages, 45679 KB  
Article
Multi-Temporal Sentinel-1 SAR and Sentinel-2 MSI Data for Flood Mapping and Damage Assessment in Mozambique
by Manuel Nhangumbe, Andrea Nascetti and Yifang Ban
ISPRS Int. J. Geo-Inf. 2023, 12(2), 53; https://doi.org/10.3390/ijgi12020053 - 7 Feb 2023
Cited by 25 | Viewed by 8002
Abstract
Floods are one of the most frequent natural disasters worldwide. Although the vulnerability varies from region to region, all countries are susceptible to flooding. Mozambique was hit by several cyclones in the last few decades, and in 2019, after cyclones Idai and Kenneth, [...] Read more.
Floods are one of the most frequent natural disasters worldwide. Although the vulnerability varies from region to region, all countries are susceptible to flooding. Mozambique was hit by several cyclones in the last few decades, and in 2019, after cyclones Idai and Kenneth, the country became the first one in southern Africa to be hit by two cyclones in the same raining season. Aiming to provide the local authorities with tools to yield better responses before and after any disaster event, and to mitigate the impact and support in decision making for sustainable development, it is fundamental to continue investigating reliable methods for disaster management. In this paper, we propose a fully automated method for flood mapping in near real-time utilizing multi-temporal Sentinel-1 Synthetic Aperture Radar (SAR) data acquired in the Beira municipality and Macomia district. The procedure exploits the processing capability of the Google Earth Engine (GEE) platform. We map flooded areas by finding the differences of images acquired before and after the flooding and then use Otsu’s thresholding method to automatically extract the flooded area from the difference image. To validate and compute the accuracy of the proposed technique, we compare our results with the Copernicus Emergency Management Service (Copernicus EMS) data available in the study areas. Furthermore, we investigated the use of a Sentinel-2 multi-spectral instrument (MSI) to produce a land cover (LC) map of the study area and estimate the percentage of flooded areas in each LC class. The results show that the combination of Sentinel-1 SAR and Sentinel-2 MSI data is reliable for near real-time flood mapping and damage assessment. We automatically mapped flooded areas with an overall accuracy of about 87–88% and kappa of 0.73–0.75 by directly comparing our prediction and Copernicus EMS maps. The LC classification is validated by randomly collecting over 600 points for each LC, and the overall accuracy is 90–95% with a kappa of 0.80–0.94. Full article
Show Figures

Figure 1

22 pages, 1090 KB  
Article
Sensitivity of Tropical Cyclone Idai Simulations to Cumulus Parametrization Schemes
by Mary-Jane M. Bopape, Hipolito Cardoso, Robert S. Plant, Elelwani Phaduli, Hector Chikoore, Thando Ndarana, Lino Khalau and Edward Rakate
Atmosphere 2021, 12(8), 932; https://doi.org/10.3390/atmos12080932 - 21 Jul 2021
Cited by 13 | Viewed by 5546
Abstract
Weather simulations are sensitive to subgrid processes that are parameterized in numerical weather prediction (NWP) models. In this study, we investigated the response of tropical cyclone Idai simulations to different cumulus parameterization schemes using the Weather Research and Forecasting (WRF) model with a [...] Read more.
Weather simulations are sensitive to subgrid processes that are parameterized in numerical weather prediction (NWP) models. In this study, we investigated the response of tropical cyclone Idai simulations to different cumulus parameterization schemes using the Weather Research and Forecasting (WRF) model with a 6 km grid length. Seventy-two-hour (00 UTC 13 March to 00 UTC 16 March) simulations were conducted with the New Tiedtke (Tiedtke), New Simplified Arakawa–Schubert (NewSAS), Multi-Scale Kain–Fritsch (MSKF), Grell–Freitas, and the Betts–Miller–Janjic (BMJ) schemes. A simulation for the same event was also conducted with the convection scheme switched off. The twenty-four-hour accumulated rainfall during all three simulated days was generally similar across all six experiments. Larger differences in simulations were found for rainfall events away from the tropical cyclone. When the resolved and convective rainfall are partitioned, it is found that the scale-aware schemes (i.e., Grell–Freitas and MSKF) allow the model to resolve most of the rainfall, while they are less active. Regarding the maximum wind speed, and minimum sea level pressure (MSLP), the scale aware schemes simulate a higher intensity that is similar to the Joint Typhoon Warning Center (JTWC) dataset, however, the timing is more aligned with the Global Forecast System (GFS), which is the model providing initial conditions and time-dependent lateral boundary conditions. Simulations with the convection scheme off were found to be similar to those with the scale-aware schemes. It was found that Tiedtke simulates the location to be farther southwest compared to other schemes, while BMJ simulates the path to be more to the north after landfall. All of the schemes as well as GFS failed to simulate the movement of Idai into Zimbabwe, showing the potential impact of shortcomings on the forcing model. Our study shows that the use of scale aware schemes allows the model to resolve most of the dynamics, resulting in higher weather system intensity in the grey zone. The wrong timing of the peak shows a need to use better performing global models to provide lateral boundary conditions for downscalers. Full article
Show Figures

Figure 1

21 pages, 4193 KB  
Article
Implications for Tracking SDG Indicator Metrics with Gridded Population Data
by Cascade Tuholske, Andrea E. Gaughan, Alessandro Sorichetta, Alex de Sherbinin, Agathe Bucherie, Carolynne Hultquist, Forrest Stevens, Andrew Kruczkiewicz, Charles Huyck and Greg Yetman
Sustainability 2021, 13(13), 7329; https://doi.org/10.3390/su13137329 - 30 Jun 2021
Cited by 22 | Viewed by 6588
Abstract
Achieving the seventeen United Nations Sustainable Development Goals (SDGs) requires accurate, consistent, and accessible population data. Yet many low- and middle-income countries lack reliable or recent census data at the sufficiently fine spatial scales needed to monitor SDG progress. While the increasing abundance [...] Read more.
Achieving the seventeen United Nations Sustainable Development Goals (SDGs) requires accurate, consistent, and accessible population data. Yet many low- and middle-income countries lack reliable or recent census data at the sufficiently fine spatial scales needed to monitor SDG progress. While the increasing abundance of Earth observation-derived gridded population products provides analysis-ready population estimates, end users lack clear use criteria to track SDGs indicators. In fact, recent comparisons of gridded population products identify wide variation across gridded population products. Here we present three case studies to illuminate how gridded population datasets compare in measuring and monitoring SDGs to advance the “fitness for use” guidance. Our focus is on SDG 11.5, which aims to reduce the number of people impacted by disasters. We use five gridded population datasets to measure and map hazard exposure for three case studies: the 2015 earthquake in Nepal; Cyclone Idai in Mozambique, Malawi, and Zimbabwe (MMZ) in 2019; and flash flood susceptibility in Ecuador. First, we map and quantify geographic patterns of agreement/disagreement across gridded population products for Nepal, MMZ, and Ecuador, including delineating urban and rural populations estimates. Second, we quantify the populations exposed to each hazard. Across hazards and geographic contexts, there were marked differences in population estimates across the gridded population datasets. As such, it is key that researchers, practitioners, and end users utilize multiple gridded population datasets—an ensemble approach—to capture uncertainty and/or provide range estimates when using gridded population products to track SDG indicators. To this end, we made available code and globally comprehensive datasets that allows for the intercomparison of gridded population products. Full article
Show Figures

Figure 1

29 pages, 3461 KB  
Article
Impact of Tropical Cyclones on Inhabited Areas of the SWIO Basin at Present and Future Horizons. Part 2: Modeling Component of the Research Program RENOVRISK-CYCLONE
by Christelle Barthe, Olivier Bousquet, Soline Bielli, Pierre Tulet, Joris Pianezze, Marine Claeys, Chia-Lun Tsai, Callum Thompson, François Bonnardot, Fabrice Chauvin, Julien Cattiaux, Marie-Noëlle Bouin, Vincent Amelie, Guilhem Barruol, Radiance Calmer, Stéphane Ciccione, Emmanuel Cordier, Quoc-Phi Duong, Jonathan Durand, Frauke Fleischer-Dogley, Romain Husson, Edouard Lees, Sylvie Malardel, Nicolas Marquestaut, Alberto Mavume, Dominique Mékiès, Alexis Mouche, Navalona Manitriniana Ravoson, Bruno Razafindradina, Elisa Rindraharisaona, Gregory Roberts, Manvendra Singh, Lova Zakariasy and Jonas Zuculeadd Show full author list remove Hide full author list
Atmosphere 2021, 12(6), 689; https://doi.org/10.3390/atmos12060689 - 28 May 2021
Cited by 7 | Viewed by 6747
Abstract
The ReNovRisk-Cyclone program aimed at developing an observation network in the south-west Indian ocean (SWIO) in close synergy with the implementation of numerical tools to model and analyze the impacts of tropical cyclones (TC) in the present and in a context of climate [...] Read more.
The ReNovRisk-Cyclone program aimed at developing an observation network in the south-west Indian ocean (SWIO) in close synergy with the implementation of numerical tools to model and analyze the impacts of tropical cyclones (TC) in the present and in a context of climate change. This paper addresses the modeling part of the program. First, a unique coupled system to simulate TCs in the SWIO is developed. The ocean–wave–atmosphere coupling is considered along with a coherent coupling between sea surface state, wind field, aerosol, microphysics, and radiation. This coupled system is illustrated through several simulations of TCs: the impact of air–sea flux parameterizations on the evolution of TC Fantala is examined, the full coupling developed during the program is illustrated on TC Idai, and the potential of novel observations like space-borne synthetic aperture radar and sea turtles to validate the atmosphere and ocean models is presented with TC Herold. Secondly, the evolution of cyclonic activity in the SWIO during the second half of the 21st century is assessed. It was addressed both using climate simulation and through the implementation of a pseudo global warming method in the high-resolution coupled modeling platform. Our results suggest that the Mascarene Archipelago should experience an increase of TC related hazards in the medium term. Full article
(This article belongs to the Special Issue Tropical Cyclones in the Indian Ocean)
Show Figures

Figure 1

27 pages, 8596 KB  
Article
C-Band SAR Winds for Tropical Cyclone Monitoring and Forecast in the South-West Indian Ocean
by Quoc-Phi Duong, Sébastien Langlade, Christophe Payan, Romain Husson, Alexis Mouche and Sylvie Malardel
Atmosphere 2021, 12(5), 576; https://doi.org/10.3390/atmos12050576 - 29 Apr 2021
Cited by 10 | Viewed by 4024
Abstract
Tropical cyclone (TC) monitoring and forecast in the South West Indian Ocean (SWIO) basin remain challenging, notably because of the lack of direct observations. During the 2018–2019 cyclone season, S-1 Sentinel SAR images were acquired, as part of the ReNovRisk-Cyclone research program, giving [...] Read more.
Tropical cyclone (TC) monitoring and forecast in the South West Indian Ocean (SWIO) basin remain challenging, notably because of the lack of direct observations. During the 2018–2019 cyclone season, S-1 Sentinel SAR images were acquired, as part of the ReNovRisk-Cyclone research program, giving access to unprecedented detailed TC wind structure description without wind speed limitation. This paper assesses the quality of these data and the impact of their assimilation for TC forecasts. SAR observations are compared with analyses from a convection-permitting, limited area model AROME OI 3D-Var and with wind products used for operational TC monitoring. Their bias depends on the angle of incidence of the radar and the observation error is larger for extreme wind speed. The impact of SAR assimilation in AROME OI 3D-Var is assessed through two case studies. In the TC GELENA case, it leads to a better TC positioning and an improved representation of inner and outer vortex structures. The TC intensity reduction in the analysis propagates through subsequent analyses and it has an impact on forecasts for around 12 h. In the TC IDAI case, the 3D-Var does not manage to reproduce TC intensity captured by SAR. In both cases, the modification of the initial conditions has little influence on the intensification rate of the model forecasts. Sensitivity tests show that these results are robust to different observation errors and thinning. Full article
(This article belongs to the Special Issue Tropical Cyclones in the Indian Ocean)
Show Figures

Figure 1

17 pages, 3017 KB  
Article
Impacts of the Tropical Cyclone Idai in Mozambique: A Multi-Temporal Landsat Satellite Imagery Analysis
by Alberto Bento Charrua, Rajchandar Padmanaban, Pedro Cabral, Salomão Bandeira and Maria M. Romeiras
Remote Sens. 2021, 13(2), 201; https://doi.org/10.3390/rs13020201 - 8 Jan 2021
Cited by 63 | Viewed by 39275
Abstract
The Central Region of Mozambique (Sofala Province) bordering on the active cyclone area of the southwestern Indian Ocean has been particularly affected by climate hazards. The Cyclone Idai, which hit the region in March 2019 with strong winds causing extensive flooding and a [...] Read more.
The Central Region of Mozambique (Sofala Province) bordering on the active cyclone area of the southwestern Indian Ocean has been particularly affected by climate hazards. The Cyclone Idai, which hit the region in March 2019 with strong winds causing extensive flooding and a massive loss of life, was the strongest recorded tropical cyclone in the Southern Hemisphere. The aim of this study was to use pre- and post-cyclone Idai Landsat satellite images to analyze temporal changes in Land Use and Land Cover (LULC) across the Sofala Province. Specifically, we aimed—(i) to quantify and map the changes in LULC between 2012 and 2019; (ii) to investigate the correlation between the distance to Idai’s trajectory and the degree of vegetation damage, and (iii) to determine the damage caused by Idai on different LULC. We used Landsat 7 and 8 images (with 30 m resolution) taken during the month of April for the 8-year period. The April Average Normalized Difference Vegetation Index (NDVI) over the aforementioned period (2012–2018, pre-cyclone) was compared with the values of April 2019 (post-cyclone). The results showed a decreasing trend of the productivity (NDVI 0.5 to 0.8) and an abrupt decrease after the cyclone. The most devastated land use classes were dense vegetation (decreased by 59%), followed by wetland vegetation (−57%) and shrub land (−56%). The least damaged areas were barren land (−23%), barren vegetation (−27%), and grassland and dambos (−27%). The Northeastern, Central and Southern regions of Sofala were the most devastated areas. The Pearson Correlation Coefficient between the relative vegetation change activity after Idai (NDVI%) and the distance to Idai’s trajectory was 0.95 (R-square 0.91), suggesting a strong positive linear correlation. Our study also indicated that the LULC type (vegetation physiognomy) might have influenced the degree of LULC damage. This study provides new insights for the management and conservation of natural habitats threatened by climate hazards and human factors and might accelerate ongoing recovery processes in the Sofala Province. Full article
Show Figures

Figure 1

16 pages, 17006 KB  
Article
Sentinel-1 Change Detection Analysis for Cyclone Damage Assessment in Urban Environments
by David Malmgren-Hansen, Thomas Sohnesen, Peter Fisker and Javier Baez
Remote Sens. 2020, 12(15), 2409; https://doi.org/10.3390/rs12152409 - 27 Jul 2020
Cited by 24 | Viewed by 7034
Abstract
For disaster emergency response, timely information is critical and satellite data is a potential source for such information. High-resolution optical satellite images are often the most informative, but these are only available on cloud-free days. For some extreme weather disasters, like cyclones, access [...] Read more.
For disaster emergency response, timely information is critical and satellite data is a potential source for such information. High-resolution optical satellite images are often the most informative, but these are only available on cloud-free days. For some extreme weather disasters, like cyclones, access to cloud-free images is unlikely for days both before and after the main impact. In this situation, Synthetic Aperture Radar (SAR) data is a unique first source of information, as it works irrespective of weather and sunlight conditions. This paper shows, in the context of the cyclone Idai that hit Mozambique in March 2019, that Change Detection between pairs of SAR data is a perfect match with weather data, and therefore captures impact from the severe cyclone. For emergency operations, the filtering of Change Detections by external data on the location of houses prior to an event allows assessment of the impact on houses as opposed to impact on the surrounding natural environment. The free availability of SAR data from Sentinel-1, with further automated processing of it, means that this analysis is a cost-effective and quick potential first indication of cyclone destruction. Full article
Show Figures

Graphical abstract

19 pages, 28312 KB  
Article
Flood Proxy Mapping with Normalized Difference Sigma-Naught Index and Shannon’s Entropy
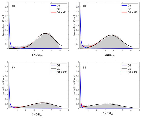
by Noel Ivan Ulloa, Shou-Hao Chiang and Sang-Ho Yun
Remote Sens. 2020, 12(9), 1384; https://doi.org/10.3390/rs12091384 - 27 Apr 2020
Cited by 22 | Viewed by 5109
Abstract
Rainfall-induced floods often cause significant loss of life as well as damage to infrastructure and crops. Synthetic Aperture Radar (SAR) Earth Observation Satellites (EOS) can be used to determine the extent of flooding over large geographical areas. Unlike optical sensors, SAR instruments are [...] Read more.
Rainfall-induced floods often cause significant loss of life as well as damage to infrastructure and crops. Synthetic Aperture Radar (SAR) Earth Observation Satellites (EOS) can be used to determine the extent of flooding over large geographical areas. Unlike optical sensors, SAR instruments are suitable for cloudy weather conditions, making them suitable for flood detection and mapping during extreme weather events. In this study, we explore the application of the Normalized Difference Sigma-Naught Index (NDSI) and Shannon’s entropy of NDSI (SNDSI) of Sentinel-1 data for open water flooding detection, based on automatic thresholding and Bayesian probability. The proposed methodology was tested using the floods in Sofala province, Mozambique, caused by cyclone Idai on March 14–19 of 2019. Results show that thresholding of the NDSI Vertical Transmit-Horizontal Receive (VH) can produce results with Overall Accuracy above 90%, and Kappa higher than 0.6. Considerable performance improvements were obtained by our thresholding method over the entropy of NDSI, yielding results with Kappa of 0.70–0.77. Additionally, it was found that Weibull distribution can properly describe the properties of flooded pixels within the histogram of SNDSI, which allows us to generate a flood probability raster using a Bayesian approach. The final per-pixel flooding probability is useful to indicate certainty in the classification results. The SNDSI Bayesian model produced an AUC (Area Under the Receiver Operating Characteristic Curve) of 0.93–0.97, with cross-polarized data yielding the most accurate results. Full article
Show Figures

Graphical abstract

13 pages, 3124 KB  
Letter
A Study of the Intensity of Tropical Cyclone Idai Using Dual-Polarization Sentinel-1 Data
by Peng Yu, Johnny A. Johannessen, Xiao-Hai Yan, Xupu Geng, Xiaojing Zhong and Lin Zhu
Remote Sens. 2019, 11(23), 2837; https://doi.org/10.3390/rs11232837 - 29 Nov 2019
Cited by 28 | Viewed by 5904
Abstract
Monitoring the intensity and size of a tropical cyclone (TC) is a challenging task, and is important for reducing losses of lives and property. In this study, we use Idai, one of the deadliest TCs on record in the Southern Hemisphere, as an [...] Read more.
Monitoring the intensity and size of a tropical cyclone (TC) is a challenging task, and is important for reducing losses of lives and property. In this study, we use Idai, one of the deadliest TCs on record in the Southern Hemisphere, as an example. Dual-polarization synthetic aperture radar (SAR) measurements from the Copernicus Sentinel-1 mission are used to examine the TC structure and intensity. The wind speed is estimated and compared using well known C-band model functions based on calibrated cross-polarization SAR images. Because of the relatively high noise floor of the Sentinel-1 data, wind speeds under 20 m/s from cross-polarization models are ignored and replaced by low to moderate wind speeds retrieved from co-polarization radar signals. Wind fields retrieved from the co- and cross-polarization model results are then merged together to estimate the TC size and the TC fullness scale, a concept related to the wind structure of a storm. Idai has a very strong wind speed and fullness structure, indicating that it was indeed a very intense storm. The approach demonstrates that open and freely available Sentinel-1 SAR data is a unique dataset to estimate the potential destructiveness of similar natural disasters like Idai. Full article
(This article belongs to the Section Ocean Remote Sensing)
Show Figures

Graphical abstract

9 pages, 761 KB  
Communication
Outbreak of Cholera Due to Cyclone Kenneth in Northern Mozambique, 2019
by Edgar Cambaza, Edson Mongo, Elda Anapakala, Robina Nhambire, Jacinto Singo and Edsone Machava
Int. J. Environ. Res. Public Health 2019, 16(16), 2925; https://doi.org/10.3390/ijerph16162925 - 15 Aug 2019
Cited by 42 | Viewed by 8059
Abstract
Cyclone Kenneth was the strongest in the recorded history of the African continent. It landed in the Cabo Delgado province in northern Mozambique on 25 April 2019, causing 45 deaths, destroying approximately 40,000 houses, and leaving 374,000 people in need for assistance, most [...] Read more.
Cyclone Kenneth was the strongest in the recorded history of the African continent. It landed in the Cabo Delgado province in northern Mozambique on 25 April 2019, causing 45 deaths, destroying approximately 40,000 houses, and leaving 374,000 people in need for assistance, most at risk of acquiring waterborne diseases such as cholera. This short article aims to explain how the resulting cholera outbreak occurred and the response by the government and partner organizations. The outbreak was declared on 2 May 2019, after 14 cases were recorded in Pemba city (11 cases) and the Mecúfi district (3 cases). The disease spread to Metuge, and by the 12th of May 2019, there were 149 cases. Aware of the risk of an outbreak of cholera, the government and partners took immediate action as the cyclone ended, adapting the Cholera Response Plan for Beira, revised after the experience with cyclone Idai (4–21 March 2019). The response relevant to cholera epidemics consisted of social mobilization campaigns for prevention, establishment of treatment centers and units, coordination to improve of water, sanitation and hygiene, and surveillance. By 26 May 2019, 252,448 people were immunized in the area affected by cyclone Kenneth. The recovery process is ongoing but the number of new cases has been reducing, seemingly due to an efficient response, support of several organizations and collaboration of the civil society. Future interventions shall follow the same model of response but the government of Mozambique shall keep a contingency fund to manage disasters such as cyclone Idai and Kenneth. The unlikeliness of two cyclones (Idai and Kenneth) within two months after decades without such kind of phenomena points towards the problem of climate change, and Mozambique needs to prepare effective, proven response plans to combat outbreaks of waterborne diseases due to cyclones. Full article
(This article belongs to the Section Infectious Disease Epidemiology)
Show Figures

Graphical abstract

Back to TopTop