Sign in to use this feature.

Years

Between: -

Subjects

remove_circle_outline
remove_circle_outline
remove_circle_outline

Journals

Article Types

Countries / Regions

Search Results (12)

Search Parameters:
Keywords = Chiralpak AD-3

Order results
Result details
Results per page
Select all
Export citation of selected articles as:
13 pages, 1143 KB  
Article
Enantioselective Complexation of Xylopinine: A Cyclodextrin-Assisted CE and NMR Study
by Erzsébet Várnagy, Gergő Tóth, Sándor Hosztafi, Milo Malanga, Ida Fejős and Szabolcs Béni
Int. J. Mol. Sci. 2025, 26(19), 9405; https://doi.org/10.3390/ijms26199405 - 26 Sep 2025
Viewed by 774
Abstract
Tetrahydroprotoberberine alkaloids (THPBs) are bioactive natural products bearing stereogenic centers that frequently exhibit enantiomer-specific pharmacological effects. Xylopinine (XPN), a representative THPB, shows cytotoxic, antimicrobial, and antimalarial activity in vitro, and displays pronounced stereoselectivity in vivo, with the naturally occurring (S)-enantiomer emphasizing [...] Read more.
Tetrahydroprotoberberine alkaloids (THPBs) are bioactive natural products bearing stereogenic centers that frequently exhibit enantiomer-specific pharmacological effects. Xylopinine (XPN), a representative THPB, shows cytotoxic, antimicrobial, and antimalarial activity in vitro, and displays pronounced stereoselectivity in vivo, with the naturally occurring (S)-enantiomer emphasizing the need for reliable enantioselective analysis. In this study, we present the synthesis of racemic XPN from norlaudanosine, and its first comprehensive cyclodextrin-assisted capillary electrophoresis screening dedicated to the enantioseparation of XPN. Sulfated- and sulfobutyl-ether-β-cyclodextrin (S-β-CyD, SBE-β-CyD) provided efficient resolution (Rs > 3), while heptakis-(6-deoxy-6-(2-carboxyethyl)thio)-β-CyD (subetadex, SBX) yielded outstanding separation (Rs > 9). The enantiomer migration order was consistently R,S, except when using SBE-β-CyD, which showed the inverse sequence. Chiral HPLC using a Chiralpak AD column in polar organic mode with methanol modified with 0.1% diethylamine as mobile phase enabled the semi-preparative isolation of XPN enantiomers, with the (S)-enantiomer exceeding 95% purity. The absolute configuration was confirmed by circular dichroism spectroscopy. 1H NMR titration and 2D rotating-frame nuclear Overhauser effect correlation spectroscopy (ROESY) consistently revealed multi-site recognition of XPN by SBX, supporting the inclusion of both aromatic rings (A and D). Full article
(This article belongs to the Special Issue Cyclodextrins: Properties and Applications, 3rd Edition)
Show Figures

Graphical abstract

20 pages, 2100 KB  
Article
Enantioseparation of Proton Pump Inhibitors by HPLC on Polysaccharide-Type Stationary Phases: Enantiomer Elution Order Reversal, Thermodynamic Characterization, and Hysteretic Effect
by Máté Dobó, Gergely Molnár, Ali Mhammad, Gergely Dombi, Arash Mirzahosseini, Zoltán-István Szabó and Gergő Tóth
Int. J. Mol. Sci. 2025, 26(15), 7217; https://doi.org/10.3390/ijms26157217 - 25 Jul 2025
Viewed by 1151
Abstract
The separation of three proton pump inhibitors (omeprazole, lansoprazole, and rabeprazole) as exemplified molecules containing chiral sulfoxide groups was investigated in polar organic liquid chromatographic mode on seven different polysaccharide stationary phases (Chiralcel OD and OJ; Chiralpak AD, AS, and IA; Lux Cellulose-2 [...] Read more.
The separation of three proton pump inhibitors (omeprazole, lansoprazole, and rabeprazole) as exemplified molecules containing chiral sulfoxide groups was investigated in polar organic liquid chromatographic mode on seven different polysaccharide stationary phases (Chiralcel OD and OJ; Chiralpak AD, AS, and IA; Lux Cellulose-2 and -4). Different alcohols, such as methanol, ethanol, 1-propanol, 2-propanol, and their combinations, were used as eluents. After method optimization, semi-preparative enantioseparation was successfully applied for the three proton pump inhibitors to collect the individual enantiomers. A detailed investigation was conducted into elution order reversal, thermodynamic parameters, the effect of eluent mixtures, and the hysteresis of retention time and selectivity. Using Chiralpak AS, containing the amylose tris[(S)-α-methylbenzylcarbamate] chiral selector, the separation of the investigated enantiomers was achieved in all four neat eluents, with methanol providing the best results. In many cases, a reversal of the enantiomer elution order was observed. In addition to chiral-selector-dependent reversal, eluent-dependent reversal was also observed. Notably, even replacing methanol with ethanol altered the enantiomer elution order. Both enthalpy- and entropy-controlled enantioseparation were also observed in several cases; however, temperature-dependent elution order reversal was not. The hysteresis of retention and selectivity was further investigated on amylose-type columns in methanol–2-propanol and methanol–ethanol eluent mixtures. The phenomenon was observed on all amylose columns regardless of the eluent mixtures employed. Hystereticity ratios were calculated and used to compare the hysteresis behaviors of different systems. Multivariate statistical analysis revealed that Chiralpak AS exhibited the most distinct enantioselective behavior among the tested columns, likely due to the absence of a direct connection between the carbamate moiety and the aromatic substituent. The present study aided in understanding the mechanisms leading to enantiomer recognition, which is crucial for developing new chiral stationary phases and chiral HPLC method development in general. Full article
(This article belongs to the Section Physical Chemistry and Chemical Physics)
Show Figures

Figure 1

12 pages, 1231 KB  
Article
Enantio- and Chemo-Selective HPLC Analysis of Silodosin on an Amylose-Based Chiral Stationary Phase
by Daniele Sadutto, Francesca Romana Mammone, Giulia D’Ettorre, Leo Zanitti, Daniela De Orsi, Romina Alfonsi, Francesca Prestinaci and Roberto Cirilli
Molecules 2025, 30(9), 1966; https://doi.org/10.3390/molecules30091966 - 29 Apr 2025
Viewed by 906
Abstract
A direct enantio- and chemo-selective high-performance liquid chromatographic method was developed for determining the enantiomeric impurity of the chiral active pharmaceutical ingredient silodosin. The simultaneous separation of enantiomers of silodosin and its main organic related substances listed in the Japanese Pharmacopoeia (JP) monograph [...] Read more.
A direct enantio- and chemo-selective high-performance liquid chromatographic method was developed for determining the enantiomeric impurity of the chiral active pharmaceutical ingredient silodosin. The simultaneous separation of enantiomers of silodosin and its main organic related substances listed in the Japanese Pharmacopoeia (JP) monograph for drug substance was achieved on Chiralpak AD-3 (250 mm × 4.6 mm, 3 μm) column under normal-phase isocratic conditions. The optimized conditions employed the mixture n-heptane-ethanol-diethylamine (70:30:0.1) (v/v/v) as a mobile phase and a temperature of 35 °C. The complete separation of the enantiomers of silodosin and its main impurities was obtained within 12 min. The chromatographic method has been validated according to the International Conference on Harmonization (ICH) guidelines and compared with the method reported in the JP monograph. The standard curve for silodosin exhibited linearity (R2 > 0.999) within the concentration range of 1.13–2500 µg mL−1. The Chiralpak AD-3 has demonstrated a remarkable level of efficiency, enabling the attainment of limits of quantitation for silodosin of 1.13 µg mL−1 (equivalent to 0.057% of a sample solution of 2 mg mL−1) and ranging from 0.48 µg mL−1 to 1.94 µg mL−1 for other impurities. Full article
Show Figures

Figure 1

11 pages, 1578 KB  
Article
Improving the Current European Pharmacopoeia Enantio-Selective HPLC Method for the Determination of Enantiomeric Purity in Atorvastatin Calcium Salt Drug Substance
by Francesca Romana Mammone, Daniele Sadutto, Giulia D’Ettorre, Antonina Mosca and Roberto Cirilli
Separations 2024, 11(5), 154; https://doi.org/10.3390/separations11050154 - 16 May 2024
Cited by 2 | Viewed by 3813
Abstract
Atorvastatin (ATV) is a well-established lipid-lowering agent. ATV has two stereogenic centers, and of the four possible stereoisomers, only the (3R,5R) form is used therapeutically. The European Pharmacopoeia (EP) monograph 2022 for ATV calcium salt describes a normal-phase high-performance [...] Read more.
Atorvastatin (ATV) is a well-established lipid-lowering agent. ATV has two stereogenic centers, and of the four possible stereoisomers, only the (3R,5R) form is used therapeutically. The European Pharmacopoeia (EP) monograph 2022 for ATV calcium salt describes a normal-phase high-performance liquid chromatography (HPLC) method for the determination of enantiomeric purity in both drug substance and working standard samples, based on a 150 mm × 4.6 mm Chiralpak AD-H column. The main problems with this method are the very long analysis time and the high solvent consumption. Here, an alternative chromatographic protocol was developed using the Chiralpak AD-3 column (250 mm × 4.6 mm) packed with 3 μm silica particles instead of the 5 μm silica particles of the Chiralpak AD-H chiral stationary phase and characterized by the same polysaccharide selector, amylose-tris(3,5-dimethylphenylcarbamate). Using a mobile phase consisting of a mixture of n-hexane-ethanol-formic acid 90:10:0.1 (v/v/v) as the mobile phase and setting the flow rate and column temperature to 1.0 mL min−1 and 35 °C, respectively, a simultaneous stereo-selective separation was achieved within 35 min without observing any overlap between the enantiomeric impurity peak and peaks related to other ATV impurities. Compared to HPLC EP conditions, the analysis time to elute all the potentially related substances was faster and significantly less mobile phase volume was required. The linearity of the method has been demonstrated in the range of 4.4 μg mL−1 to 1000 μg mL−1 (R2 > 0.999). At a concentration of 4.4 μg mL−1, which is 0.075% of the test solution (5.8 mg mL−1, as ATV free acid), the signal-to-noise ratio was found to be 20. Full article
Show Figures

Figure 1

19 pages, 3174 KB  
Article
New Levan-Based Chiral Stationary Phases: Synthesis and Comparative HPLC Enantioseparation of (±)-trans-β-Lactam Ureas in the Polar Organic Mode
by Darko Kontrec, Mladenka Jurin, Andreja Jakas and Marin Roje
Molecules 2024, 29(10), 2213; https://doi.org/10.3390/molecules29102213 - 9 May 2024
Cited by 2 | Viewed by 1907
Abstract
In this paper, the preparation of three new polysaccharide-type chiral stationary phases (CSPs) based on levan carbamates (3,5-dimethylphenyl, 4-methylphenyl, and 1-naphthyl) is described. The enantioseparation of (±)-trans-β-lactam ureas 1ah was investigated by high-performance liquid chromatography (HPLC) on six different [...] Read more.
In this paper, the preparation of three new polysaccharide-type chiral stationary phases (CSPs) based on levan carbamates (3,5-dimethylphenyl, 4-methylphenyl, and 1-naphthyl) is described. The enantioseparation of (±)-trans-β-lactam ureas 1ah was investigated by high-performance liquid chromatography (HPLC) on six different chiral columns (Chiralpak AD-3, Chiralcel OD-3, Chirallica PST-7, Chirallica PST-8, Chirallica PST-9, and Chirallica PST-10) in the polar organic mode, using pure methanol (MeOH), ethanol (EtOH), and acetonitrile (ACN). Apart from the Chirallica PST-9 column (based on levan tris(1-naphthylcarbamate), the columns exhibited a satisfactory chiral recognition ability for the tested trans-β-lactam ureas 1ah. Full article
(This article belongs to the Special Issue Development and Application of Chiral Materials)
Show Figures

Figure 1

14 pages, 1912 KB  
Article
Enantiomeric Separation and Degradation of Benoxacor Enantiomers in Horticultural Soil by Normal-Phase and Reversed-Phase High Performance Liquid Chromatography
by Haoxiang Zhu, Kunrong Qin, Ping Zhang and Haiyang Wang
Int. J. Mol. Sci. 2023, 24(10), 8887; https://doi.org/10.3390/ijms24108887 - 17 May 2023
Cited by 3 | Viewed by 1886
Abstract
The separation of benoxacor enantiomers on six commercial chiral columns was investigated by high-performance liquid chromatography (HPLC) under normal-phase and reversed-phase conditions. The mobile phases included hexane/ethanol, hexane/isopropanol, acetonitrile/water, and methanol/water. The effects of the chiral stationary phases (CSPs), temperature, and mobile phase [...] Read more.
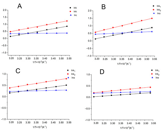
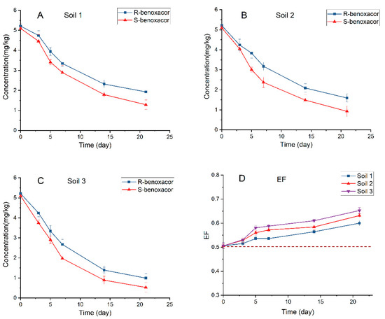
The separation of benoxacor enantiomers on six commercial chiral columns was investigated by high-performance liquid chromatography (HPLC) under normal-phase and reversed-phase conditions. The mobile phases included hexane/ethanol, hexane/isopropanol, acetonitrile/water, and methanol/water. The effects of the chiral stationary phases (CSPs), temperature, and mobile phase composition and ratio on the separation of benoxacor enantiomers were examined. Under normal-phase conditions, the two benoxacor enantiomers were completely separated on Chiralpak AD, Chiralpak IC, Lux Cellulose-1, and Lux Cellulose-3 columns and partially separated on a Lux Cellulose-2 column. Under reversed-phase conditions, benoxacor enantiomers were completely separated on a Lux Cellulose-3 column and partially separated on Chiralpak IC and Lux Cellulose-1 columns. Normal-phase HPLC performed better than reversed-phase HPLC for the separation of benoxacor enantiomers. As the column temperature increased from 10 °C to 4 °C, the enthalpy (ΔH) and entropy (ΔS) results indicated that the resolution was strongly affected by the temperature and that the lowest temperature did not always produce the best resolution. An optimized separation method on the Lux Cellulose-3 column was used to investigate the stability of benoxacor enantiomers in solvents and the degradation of benoxacor enantiomers in three types of horticultural soil. Benoxacor enantiomers were stable, and degradation or racemization were not observed in methanol, ethanol, isopropanol, acetonitrile, hexane, or water (pH = 4.0, 7.0, and 9.0). In three horticultural soils, the degradation rate of S-benoxacor was faster than that of R-benoxacor, resulting in soil enrichment with R-benoxacor. The results of this study will help to improve the risk assessment of enantiomer levels of benoxacor in the environment. Full article
(This article belongs to the Section Molecular Toxicology)
Show Figures

Figure 1

14 pages, 3697 KB  
Article
Preparation of Chiral Porous Organic Cage Clicked Chiral Stationary Phase for HPLC Enantioseparation
by Ya-Nan Gong, Qi-Yu Ma, Ying Wang, Jun-Hui Zhang, You-Ping Zhang, Rui-Xue Liang, Bang-Jin Wang, Sheng-Ming Xie and Li-Ming Yuan
Molecules 2023, 28(7), 3235; https://doi.org/10.3390/molecules28073235 - 4 Apr 2023
Cited by 9 | Viewed by 3281
Abstract
Porous organic cages (POCs) are a new subclass of porous materials, which are constructed from discrete cage molecules with permanent cavities via weak intermolecular forces. In this study, a novel chiral stationary phase (CSP) has been prepared by chemically binding a [4 + [...] Read more.
Porous organic cages (POCs) are a new subclass of porous materials, which are constructed from discrete cage molecules with permanent cavities via weak intermolecular forces. In this study, a novel chiral stationary phase (CSP) has been prepared by chemically binding a [4 + 6]-type chiral POC (C120H96N12O4) with thiol-functionalized silica gel using a thiol-ene click reaction and applied to HPLC separations. The column packed with this CSP presented good separation capability for chiral compounds and positional isomers. Thirteen racemates have been enantioseparated on this column, including alcohols, diols, ketones, amines, epoxides, and organic acids. Upon comparison with a previously reported chiral POC NC1-R-based column, commercial Chiralpak AD-H, and Chiralcel OD-H columns, this column is complementary to these three columns in terms of its enantiomeric separation; and can also separate some racemic compounds that cannot be separated by the three columns. In addition, eight positional isomers (iodoaniline, bromoaniline, chloroaniline, dibromobenzene, dichlorobenzene, toluidine, nitrobromobenzene, and nitroaniline) have also been separated. The influences of the injection weight and column temperature on separation have been explored. After the column has undergone multiple injections, the relative standard deviations (RSDs) for the retention time and selectivity were below 1.0 and 1.5%, respectively, indicating the good reproducibility and stability of the column for separation. This work demonstrates that POCs are promising materials for HPLC separation. Full article
(This article belongs to the Special Issue Chiral Recognition and Enantioseparation)
Show Figures

Figure 1

12 pages, 6185 KB  
Article
Chiral Covalent-Organic Framework MDI-β-CD-Modified COF@SiO2 Core–Shell Composite for HPLC Enantioseparation
by Xiaoyan Ran, Ping Guo, Caifang Liu, Yulan Zhu, Cheng Liu, Bangjin Wang, Junhui Zhang, Shengming Xie and Liming Yuan
Molecules 2023, 28(2), 662; https://doi.org/10.3390/molecules28020662 - 9 Jan 2023
Cited by 18 | Viewed by 3315
Abstract
The chiral covalent-organic framework (CCOF) is a new kind of chiral porous material, which has been broadly applied in many fields owing to its high porosity, regular pores, and structural adjustability. However, conventional CCOF particles have the characteristics of irregular morphology and inhomogeneous [...] Read more.
The chiral covalent-organic framework (CCOF) is a new kind of chiral porous material, which has been broadly applied in many fields owing to its high porosity, regular pores, and structural adjustability. However, conventional CCOF particles have the characteristics of irregular morphology and inhomogeneous particle size distribution, which lead to difficulties in fabricating chromatographic columns and high column backpressure when the pure CCOFs particles are directly used as the HPLC stationary phases. Herein, we used an in situ growth strategy to prepare core–shell composite by immobilizing MDI-β-CD-modified COF on the surface of SiO2-NH2. The synthesized MDI-β-CD-modified COF@SiO2 was utilized as a novel chiral stationary phase (CSP) to explore its enantiomeric-separation performance in HPLC. The separation of racemates and positional isomers on MDI-β-CD-modified COF@SiO2-packed column (column A) utilizing n-hexane/isopropanol as the mobile phase was investigated. The results demonstrated that column A displayed remarkable separation ability for racemic compounds and positional isomers with good reproducibility and stability. By comparing the MDI-β-CD-modified COF@SiO2-packed column (column A) with commercial Chiralpak AD-H column and the previously reported β-CD-COF@SiO2-packed column (column B), the chiral recognition ability of column A can be complementary to that of Chiralpak AD-H column and column B. The relative standard deviations (RSDs) of the retention time and peak area for the separation of 1,2-bis(4-fluorophenyl)-2-hydroxyethanone were 0.28% and 0.79%, respectively. Hence, the synthesis of CCOFs@SiO2 core–shell composites as the CSPs for chromatographic separation has significant research potential and application prospects. Full article
(This article belongs to the Special Issue Chiral Recognition and Enantioseparation)
Show Figures

Figure 1

10 pages, 1617 KB  
Article
HPLC Enantioseparation of Rigid Chiral Probes with Central, Axial, Helical, and Planar Stereogenicity on an Amylose (3,5-Dimethylphenylcarbamate) Chiral Stationary Phase
by Simona Rizzo, Tiziana Benincori, Francesca Fontana, Dario Pasini and Roberto Cirilli
Molecules 2022, 27(23), 8527; https://doi.org/10.3390/molecules27238527 - 3 Dec 2022
Cited by 8 | Viewed by 3185
Abstract
The chiral resolving ability of the commercially available amylose (3,5-dimethylphenylcarbamate)-based chiral stationary phase (CSP) toward four chiral probes representative of four kinds of stereogenicity (central, axial, helical, and planar) was investigated. Besides chirality, the evident structural feature of selectands is an extremely limited [...] Read more.
The chiral resolving ability of the commercially available amylose (3,5-dimethylphenylcarbamate)-based chiral stationary phase (CSP) toward four chiral probes representative of four kinds of stereogenicity (central, axial, helical, and planar) was investigated. Besides chirality, the evident structural feature of selectands is an extremely limited conformational freedom. The chiral rigid analytes were analyzed by using pure short alcohols as mobile phases at different column temperatures. The enantioselectivity was found to be suitable for all compounds investigated. This evidence confirms that the use of the amylose-based CSP in HPLC is an effective strategy for obtaining the resolution of chiral compounds containing any kind of stereogenic element. In addition, the experimental retention and enantioselectivity behavior, as well as the established enantiomer elution order of the investigated chiral analytes, may be used as key information to track essential details on the enantiorecognition mechanism of the amylose-based chiral stationary phase. Full article
(This article belongs to the Special Issue Natural Polymers and Biopolymers III)
Show Figures

Figure 1

14 pages, 2345 KB  
Article
Comparative Chiral Separation of Thalidomide Class of Drugs Using Polysaccharide-Type Stationary Phases with Emphasis on Elution Order and Hysteresis in Polar Organic Mode
by Mohammadhassan Foroughbakhshfasaei, Máté Dobó, Francisc Boda, Zoltán-István Szabó and Gergő Tóth
Molecules 2022, 27(1), 111; https://doi.org/10.3390/molecules27010111 - 24 Dec 2021
Cited by 17 | Viewed by 5948
Abstract
The enantioseparation of four phthalimide derivatives (thalidomide, pomalidomide, lenalidomide and apremilast) was investigated on five different polysaccharide-type stationary phases (Chiralpak AD, Chiralpak AS, Lux Amylose-2, Chiralcel OD and Chiralcel OJ-H) using neat methanol (MeOH), ethanol (EtOH), 1-propanol (PROP), 2-propanol (IPA) and acetonitrile (ACN) [...] Read more.
The enantioseparation of four phthalimide derivatives (thalidomide, pomalidomide, lenalidomide and apremilast) was investigated on five different polysaccharide-type stationary phases (Chiralpak AD, Chiralpak AS, Lux Amylose-2, Chiralcel OD and Chiralcel OJ-H) using neat methanol (MeOH), ethanol (EtOH), 1-propanol (PROP), 2-propanol (IPA) and acetonitrile (ACN) as polar organic mobile phases and also in combination. Along with the separation capacity of the applied systems, our study also focuses on the elution sequences, the effect of mobile phase mixtures and the hysteresis of retention and selectivity. Although on several cases extremely high resolutions (Rs > 10) were observed for certain compounds, among the tested conditions only Chiralcel OJ-H column with MeOH was successful for baseline-separation of all investigated drugs. Chiral selector- and mobile-phase-dependent reversals of elution order were observed. Reversal of elution order and hysteresis of retention and enantioselectivity were further investigated using different eluent mixtures on Chiralpak AD, Chiralcel OD and Lux Amylose-2 column. In an IPA/MeOH mixture, enantiomer elution-order reversal was observed depending on the eluent composition. Furthermore, in eluent mixtures, enantioselectivity depends on the direction from which the composition of the eluent is approached, regardless of the eluent pair used on amylose-based columns. Using a mixture of polar alcohols not only the selectivities but the enantiomer elution order can also be fine-tuned on Chiralpak AD column, which opens up the possibility of a new type of chiral screening strategy. Full article
Show Figures

Figure 1

13 pages, 1518 KB  
Article
Chiral Separation and Determination of Etoxazole Enantiomers in Vegetables by Normal-Phase and Reverse-Phase High Performance Liquid Chromatography
by Ping Zhang, Yuhan He, Sheng Wang, Dongmei Shi, Yangyang Xu, Furong Yang, Jianhao Wang and Lin He
Molecules 2020, 25(14), 3134; https://doi.org/10.3390/molecules25143134 - 9 Jul 2020
Cited by 9 | Viewed by 4773
Abstract
The chiral separation of etoxazole enantiomers on Lux Cellulose-1, Lux Cellulose-3, Chiralpak IC, and Chiralpak AD chiral columns was carefully investigated by normal-phase high performance liquid chromatography and reverse-phase high performance liquid chromatography (HPLC). Hexane/isopropanol, hexane/n-butanol, methanol/water, and acetonitrile/water were used [...] Read more.
The chiral separation of etoxazole enantiomers on Lux Cellulose-1, Lux Cellulose-3, Chiralpak IC, and Chiralpak AD chiral columns was carefully investigated by normal-phase high performance liquid chromatography and reverse-phase high performance liquid chromatography (HPLC). Hexane/isopropanol, hexane/n-butanol, methanol/water, and acetonitrile/water were used as mobile phase at a flow rate of 0.8 mL/min. The effects of chiral stationary phase, mobile phase component, mobile phase ratio, and temperature on etoxazole separation were also studied. Etoxazole enantiomers were baseline separated on Lux Cellulose-1, Chiralpak IC, and Chiralpak AD chiral columns, and partially separated on Lux Cellulose-3 chiral column under normal-phase HPLC. However, the complete separation on Lux Cellulose-1, Chiralpak IC, and partial separation on Chiralpak AD were obtained under reverse-phase HPLC. Normal-phase HPLC presented better resolution for etoxazole enantiomers than reverse-phase HPLC. Thermodynamic parameters, including ΔH and ΔS, were also calculated based on column temperature changes from 10 °C to 40 °C, and the maximum resolutions (Rs) were not always acquired at the lowest temperature. Furthermore, the optimized method was successfully applied to determine etoxazole enantiomers in cucumber, cabbage, tomato, and soil. The results of chiral separation efficiency of etoxazole enantiomers under normal-phase and reverse-phase HPLC were compared, and contribute to the comprehensive environmental risk assessment of etoxazole at the enantiomer level. Full article
(This article belongs to the Section Analytical Chemistry)
Show Figures

Figure 1

13 pages, 2804 KB  
Article
HPLC Separation of 2-Ethyl-5(6)-methylpyrazine and Its Electroantennogram and Alarm Activities on Fire Ants (Solenopsis invicta Buren)
by Ya-Ya Li, Yong-Yue Lu, Min Lu, Hong-Yi Wei and Li Chen
Molecules 2018, 23(7), 1661; https://doi.org/10.3390/molecules23071661 - 7 Jul 2018
Cited by 9 | Viewed by 6628
Abstract
2-Ethyl-3,6-dimethylpyrazine (EDMP) was an alarm pheromone component isolated from the mandibular gland of the red imported fire ant, Solenopsis invicta Buren. Several pyrazine analogues have been previously found to elicit significant alarm responses in S. invicta workers. This study aimed to separate the [...] Read more.
2-Ethyl-3,6-dimethylpyrazine (EDMP) was an alarm pheromone component isolated from the mandibular gland of the red imported fire ant, Solenopsis invicta Buren. Several pyrazine analogues have been previously found to elicit significant alarm responses in S. invicta workers. This study aimed to separate the commercially available 2-ethyl-5(6)-methylpyrazine (EMP), i.e., a mixture of 2-ethyl-6-methylpyrazine (2E6MP) and 2-ethyl-5-methylpyrazine (2E5MP), and to examine both electroantennogram (EAG) and behavioral responses of S. invicta workers to EMP and the purified isomers. HPLC separations were achieved using a polysaccharide chiral stationary phase (Chiralpak AD-H) column with both mobile phases: Cyclohexane/isopropanol, and hexane/isopropanol. A ratio of 99:1 was selected for the separation of EMP at semipreparative level. The structures of the isomers obtained through the cyclohexane/isopropanol mobile phase were confirmed by detailed analyses of 2D-HSQC- and -HMBC-NMR data. The two isomers showed differential methine C–H correlations evidenced by 2D-HMBC-NMR spectra. The two concentrated fractions obtained through hexane/isopropanol mobile phase were subjected to EAG test and behavioral bioassay on S. invicta workers. The two HPLC−purified isomers, 2E6MP and 2E5MP, and their mixture (1:1) at same dose elicited similar EAG and alarm responses, indicating that these two isomers are equally active. The 2D-NMR−spectroscopic characterization, and electrophysiological and alarm activities of 2E6MP and 2E5MP were reported here for the first time. Full article
(This article belongs to the Section Analytical Chemistry)
Show Figures

Graphical abstract

Back to TopTop