Abstract
In this paper, the preparation of three new polysaccharide-type chiral stationary phases (CSPs) based on levan carbamates (3,5-dimethylphenyl, 4-methylphenyl, and 1-naphthyl) is described. The enantioseparation of (±)-trans-β-lactam ureas 1a–h was investigated by high-performance liquid chromatography (HPLC) on six different chiral columns (Chiralpak AD-3, Chiralcel OD-3, Chirallica PST-7, Chirallica PST-8, Chirallica PST-9, and Chirallica PST-10) in the polar organic mode, using pure methanol (MeOH), ethanol (EtOH), and acetonitrile (ACN). Apart from the Chirallica PST-9 column (based on levan tris(1-naphthylcarbamate), the columns exhibited a satisfactory chiral recognition ability for the tested trans-β-lactam ureas 1a–h.
1. Introduction
Chiral separation has attracted much attention in the last thirty years due to the important physiological and biological activities of enantiomers [1,2,3]. Among the various separation techniques, such as gas chromatography (GC) [4,5], high-performance liquid chromatography (HPLC) [6,7], supercritical fluid chromatography (SFC) [8,9,10], capillary electrophoresis (CE) [11,12,13], capillary electrochromatography (CEC) [14,15,16], and nano liquid chromatography (nano-LC) [17], the HPLC based on the application of chiral stationary phases (CSPs) is a powerful tool for the analysis of enantiomers, as well as for obtaining enantiomerically pure compounds on a preparative scale [18].
Many CSPs have been developed, including brush-type, ligand-exchange, cyclodextrin, macrocyclic antibiotics, protein, and polysaccharide types [19,20,21,22,23]. Among these CSPs, polysaccharide-type CSPs, especially amylose and cellulose-derivative CSPs, have been shown to be one of the most useful CSPs due to their excellent performance in chiral separation [24]. In addition to amylose and cellulose, derivatives of other polysaccharides, such as chitin [25], chitosan, galactosamine, curdlan, dextran, xylan, and inulin, can also be used as chiral stationary phases, but their chiral recognition abilities as CSPs for HPLC enantioseparation depend on the nature of the monosaccharide units, linkage position, and linkage type [26].
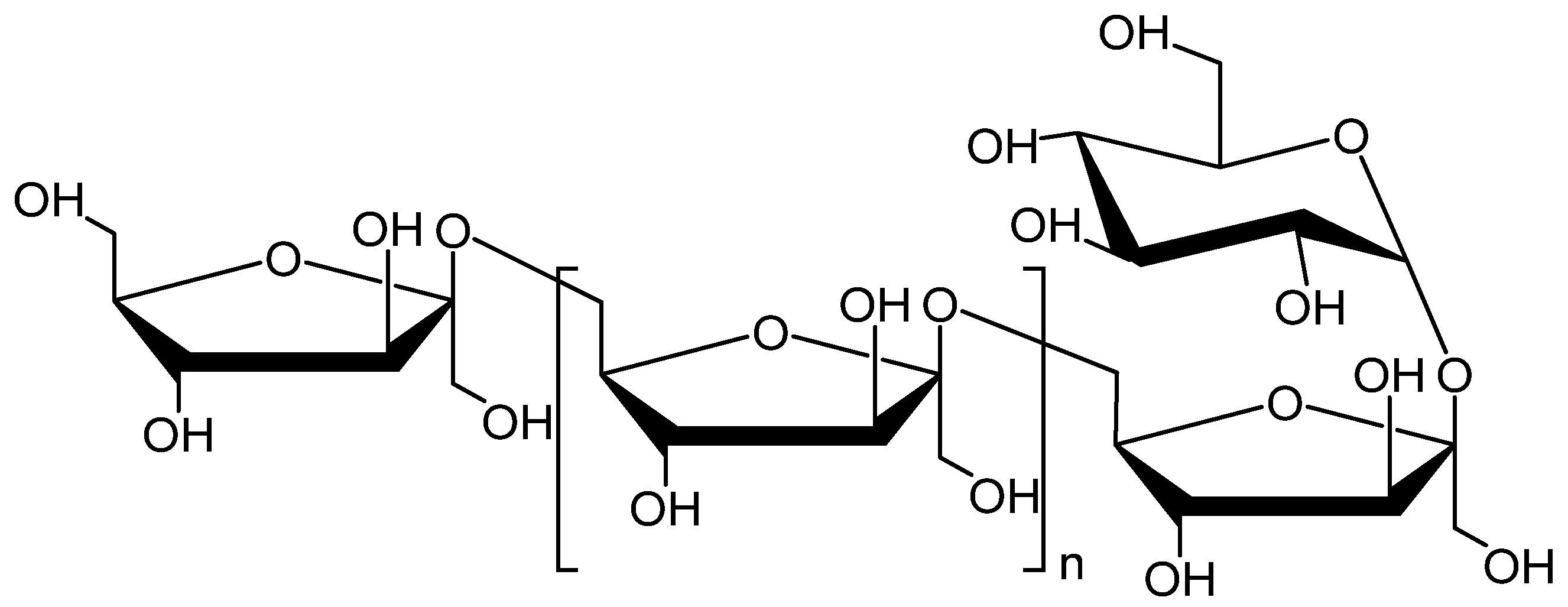
Levan is a fructan polymer consisting of β-2,6 linked fructofuranose residues in a linear chain with intermittent β-2,1-linked side chains [27,28,29]. The molecular weight and the degree of branching depend on the source of the levan. Levans with low molecular weight and minimal branching can be found in grasses [30]. In contrast, the levan produced by bacteria is characterized by a high molecular weight, which can exceed 107 [31], and it contains side chains on up to 30% of the main chain residues [32]. The conformation of levan has been far less studied than other common polysaccharides, such as amylose and cellulose. The conformational properties of the levan have been investigated by computer modeling, indicating that the helices of levan are left-handed [33]. These structural features make levan a possible candidate for the role of an effective chiral selector in CSPs. The polysaccharide levan (Figure 1) used in this study is derived from the ubiquitous Timothy grass, Phleum pratence, and is an easily accessible and relatively inexpensive chiral material of natural origin.
Figure 1.
Chemical structure of levan isolated from Timothy grass (Phleum pratence).
Polysaccharide carbamate derivatives were originally proposed as CSPs for normal-phase HPLC [24,34,35,36,37]. It was later shown that these materials can also be used effectively in reversed-phase chromatography [19,34,38]. In addition to these two modes, these materials can also be used in polar organic mode, which has become increasingly popular for various CSPs in recent years [34,38,39,40]. The polar organic mode is particularly attractive for the analytical and preparative separation of enantiomers, as it offers several advantages, such as a shorter analysis time, high efficiency, better signal/noise ratio, usually higher solubility of the analytes in the mobile phase, etc. [39,40,41,42]. In the polar organic mode, only polar organic solvents (except water), usually alcohol (methanol, ethanol, and 2-propanol), acetonitrile, or their combinations are used as the mobile phase [39,40,41].
β-lactams, a common name for azetidin-2-one, are organic four-membered cyclic amides [43] and are widely used in medicinal and organic chemistry [44]. β-lactam-containing compounds exhibit a broad spectrum of pharmacological and biological activities, such as antibacterial [43], anticancer, antiviral [45], antitubercular, anti-HIV, anti-inflammatory, and other biological activities [46,47]. In addition, these compounds act as potent inhibitors of serine protease, human leukocyte elastase, and human cytomegalovirus protease enzymes [46]. Optically active β-lactams are versatile building blocks that have found widespread use in organic synthesis [48], such as the preparation of β-amino acids, peptides, peptidomimetics, taxoids, alkaloids, and various heterocyclic molecules [44].
Chiral HPLC based on the application of chiral stationary phases (CSPs) is an effective tool for the separation of β-lactam enantiomers on the brush-type [49,50], polysaccharide-based [51,52,53,54,55,56], cyclodextrin-based [57,58,59], or macrocyclic glycopeptide-based CSPs [54,58].
Recently, we reported the enantioseparation of β-lactam ureas on immobilized amylose and cellulose phenylcarbamate-based CSPs by HPLC in the normal phase, polar organic phase, and non-standard phase modes [56]. We also reported enantioseparation on coated and/or immobilized amylose- and cellulose-based CSPs by SFC with the typical mobile phase CO2/alcohol [55,56] and with the atypical mobile phase consisting of CO2/dimethyl carbonate/alcohol mixtures [56].
The present study describes the preparation of three novel polysaccharide-type chiral stationary phases based on low-molecular-weight levan derivatives coated on a wide-pored silica gel. Their ability to enact the enantioseparation of (±)-trans-β-lactam ureas 1a–h (Figure 2) was evaluated and compared with the two most commonly used commercially available polysaccharide-type CSPs, Chiralpak AD and Chiralcel OD, and a less studied cellulose derivative, namely cellulose tris(4-methylphenylcarbamate) (Chirallica PST-10).
Figure 2.
Chemical structures of (±)-trans-β-lactam ureas 1a–h.
2. Results and Discussion
2.1. Characterization of Chiral Selectors and Chiral Stationary Phases
Figure 3 shows the degree of substitution of the hexoses of the polysaccharide levan. Figure 3a shows the MALDI-TOF MS spectra of levan and the difference in masses of 162 Da for each hexose sugar unit (H). Figure 3b shows the MALDI-TOF MS spectra of levan tris(3,5-dimethylphenylcarbamate) and the difference in mass of 603 Da for the persubstituted sugar unit (H(R)3), for levan tris(4-methylphenyl-carbamate ~561 (Figure 3c), and for levan tris(1-naphthylcarbamate) ~669 Da (Figure 3d).

Figure 3.
MADLI-TOF MS spectra of levan (a), levan tris(3,5-dimethylphenylcarbamate) (b), levan tris(4-methylphenylcarbamate) (c), and levan tris(1-naphthylcarbamate) (d). H = hexoses unit; R = 3,5-dimethylphenylcarbamate (b), R = 4-methylphenylcarbamate (c), and R = 1-naphthylcarbamate (d).
The morphologies of the silica gel Daisogel SP-1000-5-C1 and CSPs based on levan carbamate derivatives were investigated by scanning electron microscopy (SEM). The particles in all samples present with a spherical morphology; their diameter ranges from 1 to 10 μm. The surface of the particles is not smooth; voids that are present on the outer surface of the particles can be observed in all systems. Some of the particles in Figure 4c,d are coated with a thin layer.
Figure 4.
SEM images of the studied silica particles: (a) original silica particles, (b) CSP based on levan tris(3,5-dimethylphenylcarbamate), (c) CSP based on levan tris(4-methylphenylcarbamate), and (d) CSP based on levan tris(1-naphthylcarbamate).
2.2. Enantioseparation of trans-β-Lactam Ureas 1a–h
The six chiral selectors used in this work differ from each other in terms of the polysaccharide backbone (amylose, cellulose, or levan) and/or the type of the substituent (3,5-dimethylphenyl, 4-methylphenyl, and 1-naphthyl). The columns Chiralpak AD-3, Chiralcel OD-3, and Chirallica PST-7 differ only in the polysaccharide backbone, while Chiralcel OD-3 and Chirallica PST-10, as well as Chirallica PST-7, Chirallica PST-8, and Chirallica PST-9, differ only in regard to the type of substituents (Figure 3). These differences in the molecular structure of the monomers have a major influence on the three-dimensional structures of the chiral polymers. It is assumed that the differences in chiral recognition mechanisms in polysaccharide-type selectors are strongly related to the differences in the molecular environment of the chiral cavities in these selectors.
The chiral selectors based on levan and cellulose were prepared using a standard chemical derivatization protocol that is also used for the preparation of chiral selectors based on amylose or cellulose carbamates [60]. Under these conditions, the persubstituted levan or cellulose derivatives are the expected products, as confirmed by MALDI-TOF mass spectrometry in the case of levan-based chiral selectors (Figure 3).
The compounds 1a–h investigated in this study (Figure 2) have the same β-lactam ring with two chiral carbon atoms (C-3 and C-4 atoms of the β-lactam ring). These compounds differ only in the type or position of the substituents on the phenyl ring attached to the nitrogen atom of the ureido moiety. All of these different structural features can influence the molecular properties (e.g., size and polarity of the solute) and thus influence the interactions between the selector and the analyte.
The chiral recognition mechanism of polysaccharide-based CSPs is much more complex, as their chiral recognition usually depends on their supramolecular structure and the steric fit of the analyte within the chiral cavity [34,61]. The carbonyl group (C=O), the –OCH3 and –NH groups, and the phenyl moiety in the structure of chiral β-lactam compounds can form a hydrogen bond, a dipole–dipole bond, π-π interactions, and hydrophobic interactions with the C=O, the –NH group, and the aromatic ring of CSPs. The π-electron density, steric hindrances, different conformations, and spatial structures of the polysaccharide-glucose or fructose moiety on the CSPs influence the interaction between the CSPs and the tested chiral β-lactam ureas. The different types and intensities of the interactions between the β-lactam compounds and the CSPs led to different chiral recognition phenomena. The chemical structures of the six chiral selectors are shown in Figure 5.
Figure 5.
Chemical structures of carbamate derivatives of amylose, cellulose, and levan.
Chromatographic parameters such as the retention factor of the first eluting enantiomer (k1), separation factor (α), and resolution (Rs) are summarized in Table 1.
Table 1.
Chromatographic data: retention factor of the first eluted enantiomers (k1), selectivity factor (α), and resolution (Rs) for (±)-trans-β-lactam ureas 1a–h on the polysaccharide-type columns in polar organic mode.
The Chiralcel OD-3 column showed a stronger ability for enantioseparation compared to the Chiralpak AD-3 and Chirallica PST-7 columns for trans-β-lactam ureas 1a–h. These three columns contain the same chiral selector (3,5-dimethylphenylcarbamate moiety) but differ in the polysaccharide backbone, namely cellulose, amylose, and levan, respectively. When using the Chirallica PST-7 column, the retention factors of the first eluted enantiomers (k1) were lower than they were for the amylose and cellulose equivalents. However, the stronger interaction did not always result in higher values of the resolution (Rs) and enantioselectivity factor (α). In the case of Chirallica PST-7, the enantioselectivity was higher, although the retention factors were the lowest. The Chiralcel OD-3 showed significantly higher resolution values for all tested ureas compared to the Chiralpak AD-3 and Chirallica PST-7 columns. From these results, it appears that the chiral recognition mechanism depends on the higher-order structure of the polysaccharide used. The same applies to the Chirallica PST-10 column and the Chirallica PST-7 column, which contain the same 4-methylphenylcarbamate substituent bound to cellulose and levan, respectively. On the Chirallica PST-10 cellulose column, the retention time of the first eluted enantiomers and the resolution values were greater than those of the levan analog, the Chirallica PST-7 column. The performance of Chirallica PST-7 (levan tris(3,5-dimethylphenylcarbamate)) is also satisfactory, as it partially or baseline separates all tested compounds 1a–h. Its enantioselectivity and resolution values were higher than those of the other two levan CSPs. The Chirallica PST-8 column was also effective, being able to partially separate seven β-lactam ureas (1a–f and 1h) and one to baseline (compound 1g). The third levan column Chirallica PST-9 was not satisfactory, as no chiral separation was observed for half of the compounds tested. The chiral recognition ability towards the tested compounds 1a–h depended markedly on the substituents on levan-based CSPs.
The effects of the nature and position of the substituent on the aromatic ring were investigated in the polar organic mode on all polysaccharide columns used. The electron-donating methoxy or tert-butyl substitution on the benzyl ring (1a vs. 1e, and 1f) led to significant variations in the chromatographic values. In the case of the methoxy group in para-position on the phenyl ring (1e), the k1 and Rs values were higher compared to the unsubstituted phenyl ring 1a (except for the Chirallica PST-7 column). The tert-butyl substitution of the aromatic ring in para position led to higher k1, α, and Rs values on the cellulose column Chiralcel OD-3 and on all three levan columns used.
In contrast, substitution with an electron-withdrawing chlorine atom (1a vs. 1d) also led to variations in the chromatographic values; however, these variations depend on the applied conditions (i.e., on the CSP).
It was found that the position of the chlorine atom in 1b compared to 1c, and 1d significantly affects chiral recognition. The chlorine atom placed in the ortho position led to shorter retentions and, in most cases, to reduced enantiorecognition on cellulose Chiralcel OD-3, as well as Chirallica PST-10, and levan Chirallica PST-7 CSPs. The halogen substitution of the aromatic ring in the ortho position can sterically hinder effective chiral recognition in the case of the investigated β-lactam ureas on the cellulose and levan-based CSPs. Meanwhile, the chlorine atom placed in the ortho position 1b led to a higher resolution on the amylose-based CSP. It appears that the compound with the chlorine atom in the ortho position of the phenyl ring fits better into the chiral cavities of amylose than the compound with the chlorine atom in the meta or para position of the phenyl ring (1c and 1d).
As can be seen from these results (Table 1), most of the columns were suitable for the enantioseparation of β-lactam ureas 1a–h using pure methanol as mobile phase.
In addition, the enantioseparations of these compounds were exanimated with less polar alcohol ethanol and aprotic acetonitrile. With the Chirallica PST-9 based on levan tris(1-naphthylcarbamate), no chiral separation was observed with ethanol and acetonitrile as the mobile phase.
On the Chiralpak AD-3, from eight chiral analytes examined with ethanol as the mobile phase, enantioselectivity was observed for six (Table 1). However, the baseline enantioseparation was observed for only five compounds 1a–f. For example, 1f was baseline resolved on the Chiralpak AD-3 column using ethanol with Rs = 6.06, but no enantiorecognition was observed with methanol. In the case of 1g, partial separation with methanol was observed, but no separation with ethanol. The enantiomers of 1i were not separated with either methanol or ethanol. The Chiralpak AD-3 column showed a slightly higher chiral recognition ability in acetonitrile compared to alcoholic mobile phases. Thus, of the eight chiral analytes studied with acetonitrile as the mobile phase, enantioselectivity was observed for all eight compounds (Table 1). However, a baseline enantioseparation was only observed for a few analytes. In contrast, of the eight chiral β-lactam ureas analyzed, the enantiomers of six compounds were separated in methanol and ethanol on this amylose-based column.
The columns Chiralcel OD-3 and Chirallica PST-7, which contain the same phenylcarbamate moiety as the column Chiralpak AD-3 column but are bound to the cellulose or levan backbone instead of amylose showed a rather high enantiomer separation ability compared to their amylose analog with methanol and ethanol as the mobile phase (Table 1). On the Chirallica PST-7 column, baseline separation was observed for all tested compounds 1a–h in ethanol, while on the Chiralcel OD-3 column, seven compounds showed baseline separation. On the Chiralcel OD-3 with acetonitrile, baseline separation was observed for only four trans-β-lactam ureas, 1c, 1d, 1f, and 1g, while the partial resolution was observed for other four tested ureas, 1a, 1b, 1e, and 1h. Acetonitrile, in general, was less suitable compared to methanol and ethanol as the mobile phase with Chirallica PST-7 column. The baseline enantioseparation was only observed for five compounds, 1a and 1c–f.
All tested compounds, 1a–h, were baseline separated on the Chirallica PST-10 column, based on cellulose tris(4-methylphenylcarbamate), with methanol and ethanol as the mobile phase. This column showed the highest resolution values with methanol and ethanol as the mobile phase compared to the other columns tested (except 1b in ethanol). The enantioseparation of the synthesized trans-β-lactam ureas 1a–h on the Chirallica PST-10 column was not investigated with acetonitrile due to the high column back pressure (above 40 MPa at 0.3 mL min−1) while using this mobile phase.
The comparison of the alcoholic eluents on the Chirallica PST-8 showed that the highest separation and resolution values were obtained with the less polar alcohol ethanol, while methanol appears to be the least favorable for the enantioseparation of these types of compounds. High enantioselectivities and resolution factors for five trans-β-lactam ureas, 1a–e, in acetonitrile were observed on the Chirallica PST-8 compared to methanol. For example, the enantiomers of 1f–h were separated in methanol and ethanol, but no enantioseparation was observed in acetonitrile.
At this stage, it was difficult to find clear dependencies between the structure and retention or separation factor. On the same column, some of the analytes were retained longer in methanol and others in ethanol or in acetonitrile as a mobile phase. The same was true also for the separation factor. This finding indicates that the intermolecular forces involved in sample retention and enantioseparation are multivariate. Thus, the chiral recognition mechanism depends not only on the mobile and chiral stationary phase, but also on the nature of analyzed compound.
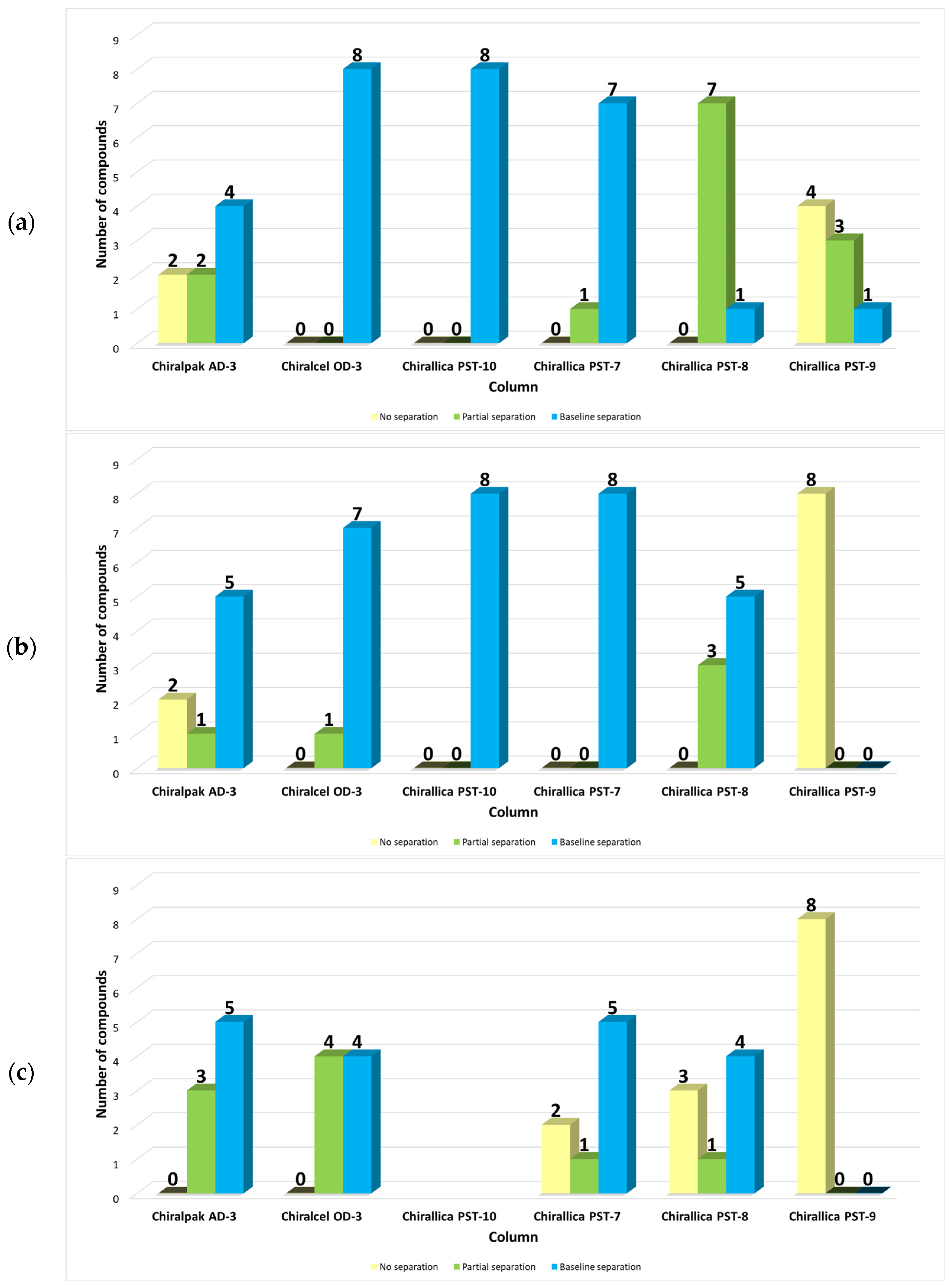
Figure 6 summarizes the results of the enantioseparation screening of the trans-β-lactam ureas 1a–h, using methanol, ethanol, and acetonitrile as the polar organic phase. Shown is the number of enantiomer separations for each column, with three bars indicating the number of non-separations, partial separations, and baseline separations. When the resolution is between 0 and 1.50, partial separation is achieved, indicating some degree of enantiorecognition of the chromatographic system (which is a combination of a CSP and a mobile phase) toward the compound [62]. For racemic compounds where Rs is ≥1.50, baseline resolution is achieved. The two columns that performed best in methanol were the Chiralcel OD-3 and the Chirallica PST-10, both of which were able to separate eight chiral β-lactam ureas or 100% of the test set shown in Table 1. The two levan columns, Chirallica PST-7 and Chirallica PST-8, also separated all ureas tested, but with a lower number of baseline separations. The Chirallica PST-9 column performed worse than the other two levan columns; baseline separation was only observed for four racemates (50%) with pure MeOH as the mobile phase. The Chiralpak AD-3 column, which contains the same phenylcarbamate moiety as the Chiralcel OD-3 column but is bound to the amylose backbone instead of cellulose, showed a lower enantiomer separation ability (75% in methanol and ethanol) compared to its cellulose analog (100% with both alcohol). In ethanol, the Chirallica PST-7 and Chirallica PST-10 columns performed best, as the baseline separations were observed for all eight compounds tested (100%). The Chirallica PST-8 separated all trans-β-lactam ureas tested (100%), but baseline separation was observed only for five compounds. No chiral separation was observed on the Chirallica PST-9 column when ethanol and acetonitrile (0%) were used as mobile phases. The two columns that performed the best in acetonitrile were the Chiralpak AD-3 and the Chiralcel OD-3, both of which separated all eight trans-β-lactam ureas (100%). The Chiralpak AD-3 had five baseline separations, and the Chiralcel OD-3 had four baseline separations. The Chirallica PST-7 resolved the enantiomers of six compounds, with five of them being baseline separated. The Chirallica PST-8 separated the enantiomers of five compounds, four of which had a baseline separation.
Figure 6.
Efficiency of the six polysaccharide-based chiral columns in the separation of the set of eight racemic trans-β-lactam ureas 1a–h in the polar organic mode, using 100% MeOH (a), 100% EtOH (b), and 100% ACN (c). Flow rate: 1 mL min−1.
The Chiralcel OD-3 and Chirallica PST-10 columns, both cellulose-based stationary phases, and the Chirallica PST-7, a levan-based stationary phase, were found to be the best HPLC stationary phases for the enantioseparation of these eight trans-β-lactam ureas, 1a–h, when methanol and ethanol were used as mobile phases. These three chiral stationary phases separated the largest number of compounds of all HPLC columns tested and exhibited the most baseline separations in methanol and ethanol. The Chiralpak AD-3 and its cellulosic analog, Chiralcel OD-3, appear to be the most suitable for the separation of the enantiomers of trans-β-lactam ureas using acetonitrile as the mobile phase.
Chromatograms of (±)-trans-β-lactam urea with phenyl group 1a and 3-chloro-4-methylphenyl group 1g attached to the nitrogen atom of the ureido group are shown in Figure 7. The enantiomers of compound 1a and 1g were partially or baseline separated on the columns Chiralpak AD-3 column, Chiralcel OD-3, Chirallica PST-7, Chirallica PST-8, and Chirallica PST-10, with methanol and ethanol as the mobile phase. On the Chirallica PST-9 column, compound 1g was separated only in methanol, while compound 1a was not separated with either methanol or ethanol. In acetonitrile, compound 1a was separated on the amylose-based Chiralpak AD-3 column and on its cellulose and levan analog, the Chiralcel OD-3 and Chirallica PST-7 columns, as well as on the Chirallica PST-8 column. In the same solvent, the enantiomers of compound 1g were not separated on all three levan columns (Chirallica PST-7, Chirallica PST-8, and Chirallica PST-9), but very good enantioseparation was observed on the other columns tested (Chiralcel OD-3 and Chiralpak AD-3). The chiral recognition of these two β-lactam compounds (1a and 1g) on the six polysaccharide CSPs tested depends on the differences in the supramolecular structure of these selectors, the type of substituent attached to the nitrogen atom of the ureido group, and the type of mobile phase used (methanol, ethanol, or acetonitrile).


Figure 7.
Chromatograms for the enantioselective separations of (±)-trans-β-lactam ureas 1a and 1g on Chiralpak AD-3 (A), Chiralcel OD-3 (B), Chirallica PST-10 (C), Chirallica PST-7 (D), Chirallica PST-8 (E), and Chirallica PST-9 (F) columns in the polar organic mode, MeOH (―), EtOH (―), and ACN (―).
In the showcase of enantioseparation of (±)-trans-β-lactam ureas 1a and 1g, the differences in the supramolecular structure of amylose, cellulose, and levan are clearly evident. Cellulose has a supramolecular structure without twists. The helical three-dimensional structure of amylose and levan favors stronger non-covalent interactions with the second eluting enantiomer. Also, as demonstrated in this work, the application of polar mobile phases on polysaccharide columns has an important influence on enantioseparation due to the formation of hydrogen bonds [63,64]. This is why the appearance of the peak of the second eluting enantiomer is broadened.
3. Materials and Methods
3.1. Materials
The eight racemic β-lactam ureas were prepared in our laboratory by the addition of the corresponding isocyanate to (±)-trans-3-amino-β-lactam, which was prepared in three reaction steps [65].
Levan (Timothy grass, DP = 60) was purchased from Megazyme (Wicklow, Ireland). Dry pyridine, aroyl chlorides, aroyl isocynates, acetic acid, diethylamine, and Celitexxx were purchased from Sigma-Aldrich (Steinheim, Germany). Dichloromethane, methanol, 2-propanol, n-hexane, and acetonitrile were purchased from J.T. Baker (Dovenport, Holland) and distilled before use. Daisogel SP-1000-5-C1 was purchased from Daiso Co. Ltd. (Osaka, Japan).
Gradient-grade methanol (MeOH) was purchased from Honeywell (Seelze, Germany).
The empty stainless-steel HPLC columns, dimensions 250 × 4.6 mm I.D., were purchased from Knauer Gmbh (Berlin, Germany). Woven wire mesh sieve (frame diameter 200 mm, mesh size 20 μm) and sieve accessories were purchase from Retsh GmbH (Haan, Germany).
Polysaccharide-type chiral columns with identical dimensions (250 mm × 4.6 mm I.D., 3 μm particle size), Chiralpak AD-3 (based on amylose tris(3,5-dimethylphenylcarbamate)) and Chiralcel OD-3 (based on cellulose tris(3,5-dimethylphenylcarbamate)), were purchased from Daicel Chiral Technologies Co., Ltd. (Tokyo, Japan). Chirallica PST-10 (based on cellulose tris(4-methylphenylcarbamate) was prepared at Ruđer Bošković Institute (Zagreb, Croatia).
3.2. Preparation of Cellulose tris(4-Methylcarbamate) CSP
Cellulose predried in an electric oven (1.0 g), dry pyridine (20 mL), and p-tolyl isocyanate (5 mL) were mixed together and heated at an oil-bath temperature of 90–100 °C for 48 h under an argon atmosphere. The reaction mixture was cooled to room temperature, the product was precipitated with methanol, filtered off, washed with methanol, and dried in an electric oven for 24 h. Product yield: 2.46 g of a white powdery substance.
3.3. Preparation of Levan Carbamate Derivatives
3.3.1. Levan tris(3,5-Dimethylphenylcarbamate)
Levan predried in an electric oven (1.0 g), dry pyridine (20 mL), and 3,5-dimethylphenyl isocyanate (5 mL) were mixed together and heated at an oil-bath temperature of 90–100 °C for 48 h under an argon atmosphere. The reaction mixture was cooled to room temperature, the product was precipitated with methanol, filtered off, washed with methanol, and dried in an electric oven for 24 h. The crude product was mixed with dichloromethane (75 mL) and stirred on a magnetic stirrer for 60 min. The resulting suspension was separated by centrifuge, and the supernatant was evaporated to dryness. The dry residue was triturated with methanol and dried in an electric oven for 24 h. Product yield: 3.51 g of off-white powdery substance.
3.3.2. Levan tris(4-Methylphenylcarbamate)
Levan predried in an electric oven (1.0 g), dry pyridine (20 mL), and p-tolyl isocyanate (5 mL) were mixed together and heated at an oil-bath temperature of 90–100 °C for 48 h under an argon atmosphere. The reaction mixture was cooled to room temperature, the product was precipitated with methanol, filtered off, washed with methanol, and dried in an electric oven for 24 h. Product yield: 2.46 g of a white powdery substance.
3.3.3. Levan tris(1-Naphthylcarbamate)
Levan predried in an electric oven (1.0 g), dry pyridine (20 mL), and 1-naphthyl isocyanate (5.3 mL) were mixed together and heated at an oil-bath temperature of 90–100° C for 48 h under an argon atmosphere. The reaction mixture was cooled to room temperature, the product was precipitated with methanol, filtered off, washed with methanol, and dried in an electric oven for 24 h. Product yield: 3.23 g of a white powdery substance.
3.3.4. MALDI-TOF MS Measurement
The MALDI-TOF MS experiments were performed on an Autoflex speed MALDI-TOF/TOF (Bruker Daltonics, Waldbronn, Germany) instrument operating in positive linear mode in the m/z range of 1000–12,000 Da. A solid-state laser (SmartBeam, medium, Waldbronn, Germany) was used. Samples of native and derivatized polysaccharide (1 mg mL−1 chloroform solution) were loaded with a fixed amount (0.5 μL) onto an anchor chip 386 MALDI plate by a “dried-droplet” method. Samples were then loaded with 0.5 µL of CHCA matrix (α-cyano-4-hydroxycinnamic acid, 5 mg mL−1 dissolved in 30% ACN, 70% H2O/0.1% TFA) and dried.
In general, spectra were obtained by accumulating 1000 laser shots for quantification. The delayed extraction time was set to 120 ns.
3.3.5. SEM Characterization of Levan-Based CSPs
Scanning electron microscopy (SEM) of synthesized levan CSPs was carried out using a JOEL JSM-7000F field-emission scanning electron microscope.
3.4. Preparation of Levan Chiral Stationary Phases
The appropriate levan derivative was dissolved in dichloromethane. The solution was added to depolarized silica gel (3.00 g), and the mixture was sonicated for a few minutes. The solvent was removed with a rotary evaporator. The resulting chiral stationary phase was suspended in 2-propanol and passed through a sieve. The suspension was then filtered, and the separated chiral stationary phase was dried overnight in an electric dryer. After drying, the stationary phase was packed into the stainless-steel column (250 mm × 4.6 mm I.D.), using a conventional high-pressure slurry packing technique with a Knauer pneumatic HPLC pump (Knauer GmbH, Berlin, Germany).
3.5. HPLC Analysis
HPLC analyses were performed using an Agilent 1200 Series system (Agilent Technologies GmbH, Germany) consisting of a vacuum degasser, a quaternary pump, a thermostated column compartment, an autosampler, and a variable wavelength detector. The mobile phase was 100% MeOH. All experiments in the polar organic mode were performed under isocratic conditions at a flow rate of 1.0 mL min−1 and a column temperature of 30 °C. UV detection was performed at 254 nm. Agilent EZChrom Elite software version 3.1.7 (Agilent Technologies, Waldbronn, Germany) was used for the data analysis. The injection volume was 20 μL, and two parallel measurements were performed in all cases. The sample solutions of β-lactam ureas 1a–g were prepared by dissolving in the appropriate amount of MeOH (c = 0.5 mg mL−1) and filtered through an RC-45/25 Chromafil® Xtra 0.45 μm syringe filter (Macherey-Nagel GmbH & Co. KG, Düren, Germany).
The retention factors of the first and second eluted enantiomers (k1 and k2) were calculated according to the following equations:
where t0 is the retention times of the non-retained solute; and tR1 and tR2 are the retention times of the first and second eluted enantiomers, respectively.
k1 = (tR1 − t0)/t0,
k2 = (tR2 − t0)/t0,
The enantioseparation factor (α) was calculated using the following equation:
where k1 and k2 are the retention factors of the first and second eluted enantiomers, respectively. By definition, the selectivity is always greater than one because, if α is equal to one, the two peaks are co-eluting (i.e., their retention factor values are identical) [65].
α = k2/k1,
The resolution (Rs) was calculated using the following equation:
where tR1 and tR2 are the retention times of the first and second eluted enantiomers, respectively; and wb1 and wb2 are the baseline peak widths of the first and second eluted enantiomers, respectively.
Rs = 2(tR2 − tR1)/(wb1 + wb2),
For the determination of dead time (t0), i.e., the retention time of a non-adsorbing component, 1,3,5-tri-tert-butylbenzene was used.
4. Conclusions
The enantioseparation of (±)-trans-β-lactam ureas 1a–h was performed on amylose-, cellulose-, and new levan-based CSPs in the polar organic mode, using pure methanol, ethanol, and acetonitrile. The alcohol polar organic mode used on polysaccharide-based CSPs proved to be an excellent choice for the rapid and highly efficient chiral separation of the enantiomers of studied trans-β-lactam ureas 1a–h. Of the six polysaccharide columns tested, Chiralcel OD-3, Chirallica PST-7, Chirallica PST-8, and Chirallica PST-10 showed great chiral recognition ability towards β-lactam compounds 1a–h in methanol and ethanol. The Chiralpak AD-3 and the Chiralcel OD-3 columns appear to be the most suitable for the separation of the enantiomers of trans-β-lactam ureas using acetonitrile as the mobile phase.
Of the newly prepared levan-based CSPs, only the levan tris(1-naphthylcarbamate) CSP (Chirallica PST-9) did not show a satisfactory chiral recognition ability for the tested chiral trans-β-lactam ureas 1a–h, as it was able to separate only four of them in methanol, and no separation was observed in ethanol and acetonitrile.
Author Contributions
Conceptualization, D.K., M.J. and M.R.; methodology, D.K., A.J. and M.J.; investigation, A.J., D.K. and M.J.; writing—original draft preparation, M.J. and D.K.; writing—review and editing, M.R. and A.J.; visualization, M.J. and D.K.; supervision, M.R. All authors have read and agreed to the published version of the manuscript.
Funding
This research was funded by the Croatian Government and the European Union through the European Regional Development Fund-the Competitiveness and Cohesion Operational Pro-gramme (KK.01.1.1.01) through the project Bioprospecting of the Adriatic Sea (KK.01.1.1.01.0002) granted to The Scientific Centre of Excellence for Marine Bioprospecting-BioProCro.
Institutional Review Board Statement
Not applicable.
Informed Consent Statement
Not applicable.
Data Availability Statement
Data are contained within the article.
Conflicts of Interest
The authors declare no conflict of interest.
References
- Tano, C.; Son, S.-H.; Furukawa, J.; Furuike, T.; Sakairi, N. Enantiomeric separation by MEKC using dodecyl thioglycoside surfactants: Importance of an equatorially oriented hydroxy group at C-2 position in separation of dansylated amino acids. Electrophoresis 2009, 30, 2743–2746. [Google Scholar] [CrossRef] [PubMed]
- Zhou, J.; Tang, J.; Tang, W. Recent development of cationic cyclodextrins for chiral separation. TrAC Trends Anal. Chem. 2015, 65, 22–29. [Google Scholar] [CrossRef]
- Aboul-Enein, H.Y.; Ali, I. Comparative study of the enantiomeric resolution of chiral antifungal drugs econazole, miconazole and sulconazole by HPLC on various cellulose chiral columns in normal phase mode. J. Pharm. Biomed. Anal. 2002, 27, 441–446. [Google Scholar] [CrossRef]
- Elbashir, A.A.; Aboul-Enein, H.Y. Multidimensional Gas Chromatography for 964 Chiral Analysis. Crit. Rev. Anal. Chem. 2018, 48, 416–427. [Google Scholar] [CrossRef]
- Zhang, J.-H.; Xie, S.-M.; Chen, L.; Wang, B.-J.; He, P.-G.; Yuan, L.-M. Homochiral porous organic cage with high selectivity for the separation of racemates in gas chromatography. Anal. Chem. 2015, 87, 7817–7824. [Google Scholar] [CrossRef] [PubMed]
- Xie, S.-M.; Yuan, L.-M. Recent development trends for chiral stationary phases based on chitosan derivatives, cyclofructan derivatives and chiral porous materials in high performance liquid chromatography. J. Sep. Sci. 2019, 42, 6–20. [Google Scholar] [CrossRef] [PubMed]
- Ali, I.; Aboul-Enein, H.Y. Impact of immobilized polysaccharide chiral stationary phases on enantiomeric separations. J. Sep. Sci. 2006, 29, 762–769. [Google Scholar] [CrossRef] [PubMed]
- Breitbach, A.S.; Lim, Y.; Xu, Q.-L.; Kürti, L.; Armstrong, D.W.; Breitbach, Z.S. Enantiomeric separations of α-aryl ketones with cyclofructan chiral stationary phases via high performance liquid chromatography and supercritical fluid chromatography. J. Chromatogr. A 2016, 1427, 45–54. [Google Scholar] [CrossRef] [PubMed]
- Pilarova, V.; Plachka, K.; Khalikova, M.A.; Svec, F.; Novakova, L. Recent developments in supercritical fluid chromatography—Mass spectrometry: Is it a viable option for analysis of complex samples? Trends Anal. Chem. 2019, 112, 212–225. [Google Scholar] [CrossRef]
- West, C. Current trends in supercritical fluid chromatography. Anal. Bioanal. Chem. 2018, 410, 6441–6457. [Google Scholar] [CrossRef]
- Ali, I.; Sanagi, M.M.; Aboul-Enein, H.Y. Advances in chiral separations by nonaqueous capillary electrophoresis in pharmaceutical and biomedical analysis. Electrophoresis 2014, 35, 926–936. [Google Scholar] [CrossRef]
- Ali, I.; Al-Othman, Z.A.; Al-Warthan, A.; Asnin, L.; Chudinov, A. Advances in chiral separations of small peptides by capillary electrophoresis and chromatography. J. Sep. Sci. 2014, 37, 2447–2466. [Google Scholar] [CrossRef]
- Alvarez, G.; Montero, L.; Llorens, L.; Castro-Puyana, M.; Cifuentes, A. Recent advances in the application of capillary electromigration methods for food analysis and Foodomics. Electrophoresis 2018, 39, 136–159. [Google Scholar] [CrossRef]
- Fanali, S. An overview to nano-scale analytical techniques: Nano-liquid 981 chromatography and capillary electrochromatography. Electrophoresis 2017, 38, 1822–1829. [Google Scholar] [CrossRef]
- Albals, D.; Heyden, Y.V.; Schmid, M.G.; Chankvetadze, B.; Mangelings, D. Chiral separations of cathinone and amphetamine-derivatives: Comparative study between capillary electrochromatography, supercritical fluid chromatography and three liquid chromatographic modes. J. Pharm. Biomed. Anal. 2016, 121, 232–243. [Google Scholar] [CrossRef]
- Lv, C.; Liu, Y.; Mangelings, D.; Vander Heyden, Y. Enantioselectivity of monolithic silica stationary phases immobilized with different concentrations cellulose tris(3,5-dimethylphenylcarbamate), analyzed with different mobile phases in capillary electrochromatography. Electrophoresis 2011, 32, 2708–2717. [Google Scholar] [CrossRef]
- Ghanem, A.; Ahmed, M.; Ishii, H.; Ikegami, T. Immobilized β-cyclodextrin-based silica vs polymer monoliths for chiral nano liquid chromatographic separation of racemates. Talanta 2015, 132, 301–314. [Google Scholar] [CrossRef]
- López-Ram-de-Víu, P.; Gálvez, J.A.; Díaz-de-Villegas, M.D. High-performance liquid chromatographic enantioseparation of unusual amino acid derivatives with axial chirality on polysaccharide-based chiral stationary phases. J. Chromatogr. A 2015, 1390, 78–85. [Google Scholar] [CrossRef] [PubMed]
- Tachibana, K.; Ohnishi, A. Reversed-phase liquid chromatographic separation of enantiomers on polysaccharide type chiral stationary phases. J. Chromatogr. A 2015, 906, 127–154. [Google Scholar] [CrossRef]
- Cavazzini, A.; Pasti, L.; Massi, A.; Marchetti, N.; Dondi, F. Recent applications in chiral high performance liquid chromatography: A review. Anal. Chim. Acta 2011, 706, 205–222. [Google Scholar] [CrossRef]
- Fernandes, C.; Phyo, Y.; Silva, A.S.; Tiritan, M.E.; Kijjoa, A.; Pinto, M.M.M. Chiral stationary phases based on small molecules: An update of the last seventeen years. Sep. Purif. Rev. 2017, 47, 89–123. [Google Scholar] [CrossRef]
- Fernandes, C.; Tiritan, M.E.; Pinto, M. Small molecules as chromatographic tools for HPLC enantiomeric resolution: Pirkle-type chiral stationary phases evolution. Chromatographia 2013, 76, 871–897. [Google Scholar] [CrossRef]
- Lämmerhofer, M. Chiral recognition by enantioselective liquid chromatography: Mechanisms and modern chiral stationary phases. J. Chromatogr. A 2010, 1217, 814–856. [Google Scholar] [CrossRef] [PubMed]
- Okamoto, Y.; Yashima, E. Polysaccharide derivatives for chromatographic separation of enantiomers. Angew. Chem. Int. Ed. 1998, 37, 1020–1043. [Google Scholar] [CrossRef]
- Ikai, T.; Okamoto, Y. Structure control of polysaccharide derivatives for efficient separation of enantiomers by chromatography. Chem. Rev. 2009, 109, 6077–6101. [Google Scholar] [CrossRef] [PubMed]
- Okamoto, Y.; Noguchi, J.; Yashima, E. Enantioseparation on 3,5-dichloro- and 3,5-dimethylphenylcarbamates of polysaccharides as chiral stationary phases for high-performance liquid chromatography. React. Funct. Polym. 1998, 37, 183–188. [Google Scholar] [CrossRef]
- Bruni, G.O.; Qi, Y.; Terrell, E.; Dupre, R.A.; Mattison, C.P. Characterization of Levan Fructan Produced by a Gluconobacter japonicus Strain Isolated from a Sugarcane Processing Facility. Microorganisms 2024, 12, 107. [Google Scholar] [CrossRef]
- Liu, Q.; Yu, S.; Zhang, T.; Jiang, B.; Mu, W. Efficient biosynthesis of levan from sucrose by a novel levansucrase from Brenneria goodwinii. Carbohydr. Polym. 2017, 157, 1732–1740. [Google Scholar] [CrossRef] [PubMed]
- Xavier, J.R.; Ramana, K.V. Optimization of Levan Production by Cold-Active Bacillus licheniformis ANT 179 and Fructooligosaccharide Synthesis by Its Levansucrase. Appl. Biochem. Biotechnol. 2017, 181, 986–1006. [Google Scholar] [CrossRef]
- Tomašić, J.; Jennings, H.J.; Glaudemans, C.P.J. Evidence for a single type of linkage in a fructofuranan from Lolium perenne. Carbohydr. Res. 1978, 62, 127–133. [Google Scholar] [CrossRef]
- Keith, J.; Wiley, B.; Ball, D.; Arcidiacono, S.; Zorfass, D.; Mayer, J.; Kaplan, D. Continuous culture system for production of biopolymer levan using erwinia herbicola. Biotechnol. Bioeng. 1991, 38, 557–560. [Google Scholar] [CrossRef] [PubMed]
- Simms, P.J.; Boyko, W.J.; Edwards, J.R. The structural analysis of a levan produced by Streptococcus salivarius SS2. Carbohydr. Res. 1990, 208, 193–198. [Google Scholar] [CrossRef] [PubMed]
- French, A.D. Accessible conformations of the β-d-(2→1)- and -(2→6)-linked d-fructans inulin and levan. Carbohydr. Res. 1988, 176, 17–29. [Google Scholar] [CrossRef]
- Chankvetadze, B. Recent developments on polysaccharide-based chiral stationary phases for liquid-phase separation of enantiomers. J. Chromatogr. A 2012, 1269, 26–51. [Google Scholar] [CrossRef] [PubMed]
- Teixeira, J.; Tiritan, M.E.; Pinto, M.M.M.; Fernandes, C. Chiral Stationary Phases for Liquid Chromatography: Recent Developments. Molecules 2019, 24, 865. [Google Scholar] [CrossRef] [PubMed]
- Yashima, E.; Yamamoto, C.; Okamoto, Y. Polysaccharide-Based Chiral LC Columns. Synlett 1998, 4, 344–360. [Google Scholar] [CrossRef]
- Okamoto, Y.; Aburatani, R.; Fukumoto, T.; Hatada, K. Useful Chiral Stationary Phases for HPLC. Amylose Tris(3,5-dimethylphenylcarbamate) and Tris(3,5-dichlorophenylcarbamate) Supported on Silica Gel. Chem. Lett. 1987, 16, 1857–1860. [Google Scholar] [CrossRef]
- Scriba, G.K.E. Chiral recognition in separation sciences. Part I: Polysaccharide and cyclodextrin selectors. Trends Anal. Chem. 2019, 120, 115639. [Google Scholar] [CrossRef]
- Ates, H.; Younes, A.A.; Mangelings, D.; Vander Heyden, Y. Enantioselectivity of polysaccharide-based chiral selectors in polar organic solvents chromatography: Implementation of chlorinated selectors in a separation strategy. J. Pharm. Biomed. Anal. 2013, 74, 1–13. [Google Scholar] [CrossRef]
- Chankvetadze, B.; Kartozia, I.; Yamamoto, C.; Okamoto, Y. Comparative enantioseparation of selected chiral drugs on four different polysaccharide-type chiral stationary phases using polar organic mobile phases. J. Pharm. Biomed. Anal. 2002, 27, 467–478. [Google Scholar] [CrossRef]
- Matarashvili, I.; Shvangiradze, I.; Chankvetadze, L.; Sidamonidze, S.; Takaishvili, N.; Farkas, T.; Chankvetadze, B. High-performance liquid chromatographic separations of stereoisomers of chiral basic agrochemicals with polysaccharide-based chiral columns and polar organic mobile phases. J. Sep. Sci. 2015, 38, 4173–4179. [Google Scholar] [CrossRef]
- Scatena, G.S.; Cassiano, N.M.; Netto, C.D.; Costa, P.R.; Cass, Q.B.; Batista, J.M. Preparative chiral separation and absolute configuration of the synthetic pterocarpanquinone LQB-118. Chirality 2017, 29, 167–171. [Google Scholar] [CrossRef]
- Deshmukh, A.R.A.S.; Bhawal, B.M.; Krishnaswamy, D.; Govande Vidyesh, V.; Shinkre Bidhan, A.; Jayanthi, A. Azetidin-2-ones, Synthon for Biologically Important Compounds. Curr. Med. Chem. 2004, 11, 1889–1920. [Google Scholar] [CrossRef]
- Dražić, T.; Roje, M. β-lactam rearrangements into five-membered heterocycles. Chem. Heterocycl. Compd. 2017, 53, 953–962. [Google Scholar] [CrossRef]
- Hosseyni, S.; Jarrahpour, A. Recent advances in β-lactam synthesis. Org. Biomol. Chem. 2018, 16, 6840–6852. [Google Scholar] [CrossRef]
- Mehta, P.D.; Sengar, N.P.S.; Pathak, A.K. 2-Azetidinone—A new profile of various pharmacological activities. Eur. J. Med. Chem. 2010, 45, 5541–5560. [Google Scholar] [CrossRef] [PubMed]
- Jarrahpour, A.; Shirvani, P.; Sinou, V.; Latour, C.; Brunel, J. Synthesis and biological evaluation of some new β-lactam-triazole hybrids. Med. Chem. Res. 2016, 25, 149–162. [Google Scholar] [CrossRef]
- Kamath, A.; Ojima, I. Advances in the chemistry of β-lactam and its medicinal applications. Tetrahedron 2012, 68, 10640–10664. [Google Scholar] [CrossRef] [PubMed]
- Pirkle, W.H.; Tsipouras, A.; Huyn, M.H.; Hart, D.J.; Lee, C.S. Use of chiral stationary phases for the chromatographic determination of enantiomeric purity and absolute configuration of some β-lactams. J. Chromatogr. 1986, 358, 377–384. [Google Scholar] [CrossRef]
- Lee, C.S.; Chen, H.H. Determination of enantiomeric purity and absolute configuration of b-lactams by high-performance liquid chromatography on chiral columns. J. Chin. Chem. Soc. 1994, 41, 187–190. [Google Scholar] [CrossRef]
- Cirilli, R.; Del Guidice, M.R.; Ferretti, R.; La Torre, F. Conformational and temperature effects on separation of stereoisomers of a C3,C4- substituted b-lactamic cholesterol absorption inhibitor on amylosebased chiral stationary phases. J. Chromatogr. A 2001, 923, 27–36. [Google Scholar] [CrossRef] [PubMed]
- Okamoto, Y.; Senoh, T.; Nakane, H.; Hatada, K. Optical resolution of betalactams by chiral HPLC on tris(phenylcarbamate)s of cellulose and amylose. Chirality 1989, 1, 216–222. [Google Scholar] [CrossRef]
- Pataj, Z.; Ilisz, I.; Berkecz, R.; Forró, E.; Fülöp, F.; Péter, A. Comparison of separation performances of amylose- and cellulose-based stationary phases in the high-performance liquid chromatographic enantioseparation of stereoisomers of β-lactams. Chirality 2010, 22, 120–128. [Google Scholar] [CrossRef] [PubMed]
- Péter, A.; Arki, A.; Forró, E.; Fülöp, F.; Armstrong, D.W. Direct high-performance liquid chromatographic enantioseparation of β-lactam stereoisomers. Chirality 2005, 17, 193–200. [Google Scholar] [CrossRef] [PubMed]
- Jurin, M.; Kontrec, D.; Dražić, T.; Roje, M. Enantioseparation of (±)-trans-β-lactam Ureas by Supercritical Fluid Chromatography. Croat. Chem. Acta 2020, 93, 203–213. [Google Scholar] [CrossRef]
- Jurin, M.; Kontrec, D.; Roje, M. HPLC and SFC Enantioseparation of (±)-Trans-β-Lactam Ureas on Immobilized Polysaccharide-Based Chiral Stationary Phases—The Introduction of Dimethyl Carbonate as an Organic Modifier in SFC. Separations 2024, 11, 38. [Google Scholar] [CrossRef]
- Sun, P.; Wang, C.; Armstrong, D.W.; Péter, A.; Forró, E. Separation of Enantiomers of β-Lactams by HPLC Using Cyclodextrin-Based Chiral Stationary Phases. J. Liq. Chromatogr. Relat. 2006, 29, 1847–1860. [Google Scholar] [CrossRef]
- Berkecz, R.; Török, R.; Ilisz, I.; Forró, E.; Fülöp, F.; Armstrong, D.W.; Péter, A. LC Enantioseparation of β-Lactam and β-Amino acid Stereoisomers and Comparison of Macrocyclic Glycopeptide- and β-Cyclodextrin-Based columns. Chromatographia 2006, 63, 37–43. [Google Scholar] [CrossRef]
- Fodor, G.; Ilisz, I.; Szemán, J.; Iványi, R.; Szente, L.; Varga, G.; Forró, E.; Fülöp, F.; Péter, A. LC Enantioseparation of β-Lactam Stereoisomers through the Use of β-Cyclodextrin-Based Chiral Stationary Phases. Chromatographia 2010, 71, 29–34. [Google Scholar] [CrossRef]
- Okamoto, Y.; Kawashima, M.; Hatada, K. Chromatographic resolution: XI. Controlled chiral recognition of cellulose triphenylcarbamate derivatives supported on silica gel. J. Chromatogr. 1986, 363, 173–186. [Google Scholar] [CrossRef]
- Pirkle, W.H.; Pochapsky, T.C. Considerations of chiral recognition relevant to the liquid chromatographic separation of enantiomers. Chem. Rev. 1989, 89, 347–362. [Google Scholar] [CrossRef]
- Allenmark, S. Chromatographic Enantioseparation: Methods and Applications, 2nd ed.; Ellis Horwood: New York, NY, USA, 1991; pp. 49–53. [Google Scholar]
- Foroughbakhshfasaei, M.; Dobó, M.; Boda, F.; Szabó, Z.-I.; Tóth, G. Comparative Chiral Separation of Thalidomide Class of Drugs Using Polysaccharide-Type Stationary Phases with Emphasis on Elution Order and Hysteresis in Polar Organic Mode. Molecules 2022, 27, 111. [Google Scholar] [CrossRef] [PubMed]
- Horváth, S.; Németh, G. Hysteresis of retention and enantioselectivity on amylose tris(3,5-dimethylphenylcarbamate) chiral stationary phases in mixtures of 2-propanol and methanol. J. Chromatogr. A 2018, 1568, 149–159. [Google Scholar] [CrossRef] [PubMed]
- Jurin, M.; Stepanić, V.; Bojanić, K.; Vadlja, D.; Kontrec, D.; Dražić, T.; Roje, M. Novel (±)-trans-β-lactam ureas: Synthesis, in silico and in vitro biological profiling. Acta Pharm. 2024, 74, 37–59. [Google Scholar] [CrossRef]
Disclaimer/Publisher’s Note: The statements, opinions and data contained in all publications are solely those of the individual author(s) and contributor(s) and not of MDPI and/or the editor(s). MDPI and/or the editor(s) disclaim responsibility for any injury to people or property resulting from any ideas, methods, instructions or products referred to in the content. |
© 2024 by the authors. Licensee MDPI, Basel, Switzerland. This article is an open access article distributed under the terms and conditions of the Creative Commons Attribution (CC BY) license (https://creativecommons.org/licenses/by/4.0/).









