Sign in to use this feature.

Years

Between: -

Subjects

remove_circle_outline
remove_circle_outline
remove_circle_outline
remove_circle_outline
remove_circle_outline
remove_circle_outline
remove_circle_outline
remove_circle_outline
remove_circle_outline

Journals

remove_circle_outline
remove_circle_outline
remove_circle_outline
remove_circle_outline
remove_circle_outline
remove_circle_outline
remove_circle_outline
remove_circle_outline
remove_circle_outline
remove_circle_outline
remove_circle_outline

Article Types

Countries / Regions

remove_circle_outline
remove_circle_outline
remove_circle_outline
remove_circle_outline
remove_circle_outline

Search Results (856)

Search Parameters:
Keywords = Chip reliability

Order results
Result details
Results per page
Select all
Export citation of selected articles as:
23 pages, 520 KB  
Article
Time-Domain Oversampling-Enabled Multi-NS Reception for MoCDMA
by Weidong Gao, Yuanhui Wang and Jun Li
Symmetry 2026, 18(2), 380; https://doi.org/10.3390/sym18020380 - 20 Feb 2026
Viewed by 89
Abstract
In molecular communication via diffusion (MCvD) uplinks where multiple nano-sensors report concurrently to a fusion center (FC), the long channel memory and the near–far imbalance jointly create strong multiple access interference (MAI) coupled with residual inter-symbol/inter-chip effects. This paper studies an oversampling-enabled time-domain [...] Read more.
In molecular communication via diffusion (MCvD) uplinks where multiple nano-sensors report concurrently to a fusion center (FC), the long channel memory and the near–far imbalance jointly create strong multiple access interference (MAI) coupled with residual inter-symbol/inter-chip effects. This paper studies an oversampling-enabled time-domain reception for an uplink molecular code-division multiple-access (MoCDMA) system employing bipolar molecular signalling. By exploiting intra-chip oversampling at the FC, three linear detectors following the principles of maximum ratio combining (MRC), zero-forcing (ZF), and minimum mean-square error (MMSE) are developed and further enhanced through a feedback-assisted interference subtraction (FAIS) scheme that combines single-tap ISI feedback equalization with near-to-far successive MAI subtraction. Owing to the complementary structure of bipolar molecular emissions, the signal-dependent counting noise corresponding to the two molecule types can be jointly modeled in a symmetric and information-independent manner to support unified linear detection and FAIS processing. Numerical results demonstrate that oversampling effectively improves detection reliability, while increasing the molecular emission budget alone is insufficient to mitigate near–far effects. Moreover, FAIS provides significant performance gains, particularly for far NSs. Full article
(This article belongs to the Section Computer)
24 pages, 3623 KB  
Article
Automated Intracellular Immunofluorescence Staining Enabled by Magnetic 3D Mixing in a Modular Microfluidic Platform
by Zhengyi Zhang, Mengyu Wang, Runtao Zhong, Yingbo Zhao and Yeqing Sun
Biosensors 2026, 16(2), 120; https://doi.org/10.3390/bios16020120 - 13 Feb 2026
Viewed by 267
Abstract
Traditional sample preparation for flow cytometry is often labor-intensive, operator-dependent, and reagent-consuming, limiting its suitability for automated and point-of-care biosensing applications. To address these challenges, this study presents a functional modular microfluidic system integrating immunomagnetic beads (IMBs) to enable automated intracellular immunofluorescence (IF) [...] Read more.
Traditional sample preparation for flow cytometry is often labor-intensive, operator-dependent, and reagent-consuming, limiting its suitability for automated and point-of-care biosensing applications. To address these challenges, this study presents a functional modular microfluidic system integrating immunomagnetic beads (IMBs) to enable automated intracellular immunofluorescence (IF) staining. The modular microfluidic platform is enabled by a dynamically actuated three-dimensional magnetic field that couples with IMBs within a microfluidic reaction chamber, requiring only one-dimensional magnet translation to induce effective three-dimensional bead motion. This magnetic–chip cooperative strategy significantly enhances microscale mixing and cell capture, facilitating automated immunostaining of the radiation biomarker in CD4+ cells. Finite element simulations were employed to guide magnetic field design by analyzing magnetic force distributions and identifying key parameters, including magnet material, size, spatial arrangement, and chip–magnet distance. Experimental validation using CD4+ cell capture confirmed the effectiveness of the magnetic mixing strategy, revealing ∇B·B as the critical design parameter. An N52 NdFeB magnet (6 mm diameter, 10 mm height) positioned within 2.2 mm of the chamber centerline stably retained IMBs at flow rates below 200 µL/min. Under optimized conditions (magnet translation speed of 8 mm/s and a 15 min mixing duration), a maximum cell capture efficiency of 86% was achieved. Subsequent automated γH2AX IF staining demonstrated a strong linear dose–response relationship (R2 > 0.9) in mean fluorescence intensity. This study demonstrates a robust and scalable strategy for automating complex IF staining workflows, highlighting the potential of magnetic-field-assisted microfluidic platforms for biosensing applications requiring reliable intracellular biomarker detection. Full article
(This article belongs to the Section Environmental, Agricultural, and Food Biosensors)
Show Figures

Figure 1

33 pages, 12918 KB  
Article
Experimental and Simulation Research on Control Strategy Optimization of Airborne Radar Liquid Cooling System
by Jun Li, Xiang Sun, Qingmeng Li, Yang Jiang, Li Chen, Yang Gao, Bo Zhou and Erlin Meng
Energies 2026, 19(4), 975; https://doi.org/10.3390/en19040975 - 12 Feb 2026
Viewed by 284
Abstract
In the airborne environment, radar electronic systems feature diverse operation modes and complex working conditions, which impose stringent requirements on the temperature control accuracy of the cold plate liquid cooling system. The operational stability of radar chips is directly determined by the inlet [...] Read more.
In the airborne environment, radar electronic systems feature diverse operation modes and complex working conditions, which impose stringent requirements on the temperature control accuracy of the cold plate liquid cooling system. The operational stability of radar chips is directly determined by the inlet temperature of the cold plate; thus, optimizing both the structure and control strategy of the liquid cooling system is crucial to ensuring their reliable operation under airborne working conditions. In this paper, a simulation platform for the airborne radar liquid cooling system is constructed based on MATLAB/Simulink (R2023a), on which system-level design and simulation research are carried out under dynamic working conditions. After verifying the model effectiveness through experiments, a comparative analysis of the temperature control performance between feedback control and fuzzy control is conducted. Simulation and experimental verification results demonstrate that under the working conditions with coupled variations in the ambient environment and power, fuzzy control achieves a maximum temperature overshoot of merely 0.14 °C with an overshoot time of 1 s, which is significantly superior to feedback control, whose maximum temperature overshoot and overshoot time reach 6.6 °C and 4 s, respectively. This study realizes the precise and stable control of the cold plate inlet temperature and provides a feasible solution for the thermal management design of airborne liquid cooling systems and their similar counterparts. Full article
Show Figures

Figure 1

28 pages, 3275 KB  
Article
Deep-Learning-Based Classification of Lung Adenocarcinoma and Squamous Cell Carcinoma Using DNA Methylation Profiles: A Multi-Cohort Validation Study
by Maram Fahaad Almufareh, Samabia Tehsin, Mamoona Humayun, Sumaira Kausar and Asad Farooq
Cancers 2026, 18(4), 607; https://doi.org/10.3390/cancers18040607 - 12 Feb 2026
Viewed by 294
Abstract
Background/Objectives: The precise classification of non-small-cell lung cancer (NSCLC) into lung adenocarcinoma (LUAD) and lung squamous cell carcinoma (LUSC) has important role in treatment decisions and in prognosis. Proper subtyping ensures that patients receive the most appropriate therapeutic strategies and allows clinicians to [...] Read more.
Background/Objectives: The precise classification of non-small-cell lung cancer (NSCLC) into lung adenocarcinoma (LUAD) and lung squamous cell carcinoma (LUSC) has important role in treatment decisions and in prognosis. Proper subtyping ensures that patients receive the most appropriate therapeutic strategies and allows clinicians to make informed evaluations regarding disease outcomes. This study presents a deep neural-network-based classification approach utilizing genome-wide DNA methylation profiles from the Illumina HumanMethylation450 BeadChip platform. Methods: A total of 5000 of the most discriminative CpG probes are identified through variance-based feature selection in the presented methodology, which are then classified through a five-layer deep neural network with batch normalization and dropout regularization. Training and validation were performed using data from The Cancer Genome Atlas (TCGA), with external validation conducted on two independent Gene Expression Omnibus (GEO) datasets: GSE39279 and GSE56044. Results: The model achieved 96.92% accuracy with an area under the receiver-operating characteristic curve (AUC-ROC) of 0.9981 on the TCGA test set. Robust generalization was obtained in cross-dataset validation experiments, with the GEO-trained model achieving 88.92% accuracy and 0.9724 AUC-ROC when validated on TCGA data. The most influential CpG biomarkers contributing to classification decisions are analysed using SHAP (Shapley Additive Explanations). Conclusions: These findings demonstrate the potential of DNA methylation-based deep learning approaches for reliable NSCLC subtype classification with clinical applicability. Full article
(This article belongs to the Special Issue Artificial Intelligence and Machine Learning in Lung Cancer)
Show Figures

Figure 1

23 pages, 3351 KB  
Review
Equalization and Interference Cancellation in High-Speed Electrical Interconnects: A Comprehensive Review
by Jun Hu and Tingting Zhang
Electronics 2026, 15(4), 737; https://doi.org/10.3390/electronics15040737 - 9 Feb 2026
Viewed by 371
Abstract
High-speed electrical wireline links, spanning Serializer/Deserializer backplanes and cables, chip-to-chip and die-to-die interfaces, wide-parallel single-ended (SE) buses, and simultaneous-bidirectional (SBD) buses, increasingly operate under severe insertion loss, long channel memory, and strong multi-lane interference. Equalization is therefore a central enabler for reliable symbol [...] Read more.
High-speed electrical wireline links, spanning Serializer/Deserializer backplanes and cables, chip-to-chip and die-to-die interfaces, wide-parallel single-ended (SE) buses, and simultaneous-bidirectional (SBD) buses, increasingly operate under severe insertion loss, long channel memory, and strong multi-lane interference. Equalization is therefore a central enabler for reliable symbol recovery in the presence of inter-symbol interference (ISI), echo, and near-/far-end crosstalk. This review synthesizes recent principles, architectures, and silicon-proven implementations of wireline equalizers with an emphasis on practical hardware constraints. It further organizes key research trajectories in high-speed wireline communications across three domains: (i) Time-domain equalization and detection for ISI-limited channels, spanning feed-forward equalizers, latency-relaxed decision-feedback equalization architectures that mitigate stringent feedback-loop constraints, and partial-response signaling combined with reduced-complexity maximum-likelihood sequence detection to enhance resilience against extended channel memory. (ii) Advanced modulation and frequency-domain processing, marking the transition from conventional 4-level pulse-amplitude modulation toward higher-order constellations and multicarrier techniques, notably discrete multitone and orthogonal frequency-division multiplexing, which necessitates modulation-aware frequency-domain equalization and adaptive bit- and power-loading algorithms. (iii) Crosstalk and echo mitigation for dense SE and SBD systems, including cancellation filtering in a multiple-input multiple-output framework and coding-aided interference suppression approaches. Across these domains, we present the fundamental trade-offs between equalization performance, algorithmic convergence, power-area efficiency, and latency. Full article
Show Figures

Figure 1

18 pages, 890 KB  
Article
Physical Unclonable Function Based Privacy-Preserving Authentication Scheme for Autonomous Vehicles Using Hardware Acceleration
by Rabeea Fatima, Ujunwa Madububambachu, Ahmed Sherif, Muhammad Hataba, Nick Rahimi and Kasem Khalil
Sensors 2026, 26(4), 1088; https://doi.org/10.3390/s26041088 - 7 Feb 2026
Viewed by 182
Abstract
With the rise of smart cities, technology has enabled more efficient urban management. A key part of this is the Internet of Vehicles (IoVs), which connects vehicles to smart city systems to improve transportation safety and efficiency. This integrated system enables wireless connection [...] Read more.
With the rise of smart cities, technology has enabled more efficient urban management. A key part of this is the Internet of Vehicles (IoVs), which connects vehicles to smart city systems to improve transportation safety and efficiency. This integrated system enables wireless connection between vehicles, allowing for the sharing of essential traffic information. However, with all this connectivity, there are growing concerns about IoV security and privacy. This paper presents a new privacy-preserving authentication scheme for Autonomous Vehicles (AVs) in the IoV field using physical unclonable functions (PUFs). This scheme employs a bilinear pairing-based encryption technique that supports search over encrypted data. The primary aim of this scheme is to authenticate AVs inside the IoV architecture. A novel PUF design generates random keys for our authentication technique, hence boosting security. This dual-layer security strategy safeguards against a range of cyber threats, including identity fraud, man-in-the-middle attacks, and unauthorized access to personal user data. The PUF design will guarantee the true randomness of the AVs’ users’ secret keys. To handle the large amount of data involved, we use hardware acceleration with different Field-Programmable Gate Arrays (FPGAs). Our examination of privacy and security demonstrates the achievement of the defined design goals. The proposed authentication framework was fully implemented and validated on FPGA platforms to demonstrate its hardware feasibility and efficiency. The integrated heterogeneous PUF achieves an average reliability exceeding 98.5% across a wide temperature range, while maintaining near-ideal randomness with an average Hamming weight of 49.7% over multiple challenge sets. Furthermore, the uniqueness metric approaches 49.9%, confirming strong inter-device distinguishability among different PUF instances. The complete authentication architecture was synthesized on Nexys-100T, Zynq-104, and Kintex-116 devices, where the design utilizes less than 80% of slice Look-Up Tables (LUTs), under 27% of on-chip memory resources, and below 16% of DSP blocks, demonstrating low hardware overhead. Full article
(This article belongs to the Special Issue Privacy and Security in Sensor Networks)
Show Figures

Figure 1

23 pages, 8890 KB  
Article
Anand Model and Finite Element Analysis of Sn-0.3Ag-0.7Cu-3Bi Lead-Free Solder Joints in BGA Packages
by Junchen Liu, Abdullah Aziz Saad, Yuezong Zheng, Hongchao Ji and Zuraihana Bachok
Materials 2026, 19(3), 636; https://doi.org/10.3390/ma19030636 - 6 Feb 2026
Viewed by 309
Abstract
Bi-doped low-silver Sn-Ag-Cu solders are increasingly gaining attention in advanced electronic packaging due to their cost-effectiveness and enhanced mechanical properties. However, the thermo-mechanical reliability mechanisms of such modified solders, particularly Sn-0.3Ag-0.7Cu-3Bi (SAC0307-3Bi) within Ball Grid Array (BGA) assemblies, remain insufficiently understood. To address [...] Read more.
Bi-doped low-silver Sn-Ag-Cu solders are increasingly gaining attention in advanced electronic packaging due to their cost-effectiveness and enhanced mechanical properties. However, the thermo-mechanical reliability mechanisms of such modified solders, particularly Sn-0.3Ag-0.7Cu-3Bi (SAC0307-3Bi) within Ball Grid Array (BGA) assemblies, remain insufficiently understood. To address this gap, this research proposes a comprehensive assessment framework integrating constitutive parameter calibration with finite element analysis (FEA) to accurately characterize the mechanical behavior and fatigue durability of SAC0307-3Bi solder joints under cyclic thermal loads. The Anand viscoplastic parameters were first calibrated via the Norton creep law and virtual tensile tests. Subsequently, a 3D quarter-symmetry model was constructed to replicate thermal cycling conditions between 25 °C and 125 °C. Simulation data reveal a strong correlation between stress concentration and the Distance to Neutral Point (DNP), pinpointing the chip-side interface of the corner joint as the critical failure site. Moreover, creep strain was observed to accrue in a “step-wise” pattern, predominantly during the heating and cooling ramps, reflecting distinct temperature sensitivity. Utilizing the Syed model, the fatigue life was estimated at approximately 2239 cycles. These insights serve as a crucial benchmark for designing robust packages using Bi-doped, low-silver lead-free solders. Full article
(This article belongs to the Special Issue Research on Metal Cutting, Casting, Forming, and Heat Treatment)
Show Figures

Figure 1

15 pages, 1780 KB  
Article
Rapid Forensic DNA Profiling via Real-Time Recombinase Polymerase Amplification of InDel Markers
by Liesl De Keyzer, Sonja Škevin, Koen Deserranno, Dieter Deforce and Filip Van Nieuwerburgh
Biosensors 2026, 16(2), 106; https://doi.org/10.3390/bios16020106 - 6 Feb 2026
Viewed by 347
Abstract
Forensic DNA profiling commonly relies on polymerase chain reaction (PCR) amplification followed by capillary electrophoresis (CE) or massively parallel sequencing (MPS), which requires expensive, laboratory-based equipment that depends on a stable power supply and is unsuitable for field applications. Here, we present a [...] Read more.
Forensic DNA profiling commonly relies on polymerase chain reaction (PCR) amplification followed by capillary electrophoresis (CE) or massively parallel sequencing (MPS), which requires expensive, laboratory-based equipment that depends on a stable power supply and is unsuitable for field applications. Here, we present a proof-of-concept assay that uses recombinase polymerase amplification (RPA) combined with exo probe detection for rapid, isothermal genotyping of insertion–deletion (InDel) markers. To the best of our knowledge, this study represents the first demonstration of forensic DNA typing using RPA coupled with exo probes. The reaction proceeds at 39 °C and combines amplification and detection in a single 20 min step. Thirteen DNA samples were genotyped in triplicate across eight InDel loci using allele-specific fluorescent probes. Genotypes were derived from differential endpoint fluorescence between matched and mismatched probes. Compared with benchmark genotyping, 97.07% of genotypes (n = 307) were correct at 1 ng DNA input. Accurate profiles were reliably obtained for DNA inputs as low as 250 pg, and partial profiles were still detectable at 31 pg. The results demonstrate that RPA-based InDel genotyping is fast, sensitive, and reproducible. With further optimization, such as refined probe design and selection of robust loci, the assay has clear potential to achieve complete accuracy and to be integrated into portable lab-on-a-chip platforms for rapid, field-deployable forensic identification. Full article
(This article belongs to the Section Biosensor and Bioelectronic Devices)
Show Figures

Figure 1

29 pages, 4998 KB  
Systematic Review
Standardizing TEER Measurements in Blood-Brain Barrier-on-Chip Systems: A Systematic Review of Electrode Designs and Configurations
by Nazanin Ghane, Reza Jafari and Naser Valipour Motlagh
Biomimetics 2026, 11(2), 119; https://doi.org/10.3390/biomimetics11020119 - 5 Feb 2026
Viewed by 413
Abstract
The blood-brain barrier (BBB) is one of the most selective physiological interfaces in the human body. Transendothelial electrical resistance (TEER) has become a widely adopted quantitative metric for assessing its in vitro structural and functional integrity. Although TEER measurements are routinely incorporated into [...] Read more.
The blood-brain barrier (BBB) is one of the most selective physiological interfaces in the human body. Transendothelial electrical resistance (TEER) has become a widely adopted quantitative metric for assessing its in vitro structural and functional integrity. Although TEER measurements are routinely incorporated into BBB-on-chips, the absence of harmonized electrode architectures, measurement settings, and reporting standards continues to undermine reproducibility and translational reliability among laboratories. This systematic review provides the first comprehensive classification and critical comparison of electrode configurations used for TEER assessment, specifically within BBB-on-chip systems. Eligible studies were analyzed and categorized according to electrode design, fabrication method, integration strategy, and operational constraints. We critically evaluated six principal electrode architectures, highlighting their performance trade-offs in terms of uniformity of current distribution, long-term stability, scalability, and compatibility with dynamic shear conditions. Furthermore, we propose a bioinspired TEER reporting framework that consolidates essential metadata, including electrode specification, temperature control, viscosity effects, and blank resistance correction. Our analysis proposes screen-printed and hybrid silver-indium tin oxide (ITO) electrodes as promising candidates for next-generation BBB platforms. Moreover, our review provides a structured roadmap for standardizing TEER electrode design and reporting practices to facilitate interlaboratory consistency and accelerate the adoption of BBB-on-chip systems as truly biomimetic platforms for predictive neuropharmacological workflows. Full article
(This article belongs to the Section Biomimetic Design, Constructions and Devices)
Show Figures

Graphical abstract

29 pages, 1087 KB  
Review
Recent Advances in Microfluidic Chip Technology for Laboratory Medicine: Innovations and Artificial Intelligence Integration
by Hong Cai, Dongxia Wang, Yiqun Zhao and Chunhui Yang
Biosensors 2026, 16(2), 104; https://doi.org/10.3390/bios16020104 - 5 Feb 2026
Viewed by 737
Abstract
Microfluidic chip technologies, also known as lab-on-a-chip systems, have profoundly transformed laboratory medicine by enabling the miniaturization, automation, and rapid processing of complex diagnostic assays using minimal sample volumes. Recent advances in chip design, fabrication methods—including 3D printing, modular and flexible substrates—and biosensor [...] Read more.
Microfluidic chip technologies, also known as lab-on-a-chip systems, have profoundly transformed laboratory medicine by enabling the miniaturization, automation, and rapid processing of complex diagnostic assays using minimal sample volumes. Recent advances in chip design, fabrication methods—including 3D printing, modular and flexible substrates—and biosensor integration have significantly enhanced the performance, sensitivity, and clinical applicability of these devices. Integration of advanced biosensors allows for real-time detection of circulating tumor cells, nucleic acids, and exosomes, supporting innovative applications in cancer diagnostics, infectious disease detection, point-of-care testing (POCT), personalized medicine, and therapeutic monitoring. Notably, the convergence of microfluidics with artificial intelligence (AI) and machine learning has amplified device automation, reliability, and analytical power, resulting in “smart” diagnostic platforms capable of self-optimization, automated analysis, and clinical decision support. Emerging applications in fields such as neuroscience diagnostics and microbiome profiling further highlight the broad potential of microfluidic technology. Here, we present findings from a comprehensive review of recent innovations in microfluidic chip design and fabrication, advances in biosensor and AI integration, and their clinical applications in laboratory medicine. We also discuss current challenges in manufacturing, clinical validation, and system integration, as well as future directions for translating next-generation microfluidic technologies into routine clinical and public health practice. Full article
(This article belongs to the Section Biosensors and Healthcare)
Show Figures

Figure 1

12 pages, 2752 KB  
Article
Label-Free Microdroplet Concentration Detector Based on a Quadruple Resonant Ring Metamaterial
by Wenjin Guo, Yinuo Cheng and Jian Li
Sensors 2026, 26(3), 1013; https://doi.org/10.3390/s26031013 - 4 Feb 2026
Viewed by 199
Abstract
This paper proposes and experimentally validates a label-free microdroplet concentration detector based on a quad-resonator metamaterial. The device exploits the linear relationship between the dielectric constant of a binary mixed solution and its concentration, mapping concentration information to absorption frequency shifts with a [...] Read more.
This paper proposes and experimentally validates a label-free microdroplet concentration detector based on a quad-resonator metamaterial. The device exploits the linear relationship between the dielectric constant of a binary mixed solution and its concentration, mapping concentration information to absorption frequency shifts with a sensitivity of 28.53 GHz/RIU. System modeling was performed through full-wave simulation. Experimental results demonstrate a highly linear relationship between resonance frequency shift and concentration across ethanol, water, and ethanol–water solutions. The relative deviation between simulation and measurement is less than 3%, validating the model’s reliability and the robustness of the detection principle. This detector supports rapid non-contact sample replacement without requiring chemical labeling or specialized packaging. It can be mass-produced on standard PDMS substrates, with each unit reusable for >50 cycles. With a single measurement time of <30 s, it meets high-throughput detection demands. Featuring low power consumption, high precision, and scalability, this device holds broad application prospects in point-of-care diagnostics, online process monitoring, and resource-constrained scenarios. Future work will focus on achieving simultaneous multi-component detection via multi-resonator arrays and integrating chip-level wireless readout modules to further enhance portability and system integration. Full article
(This article belongs to the Section Physical Sensors)
Show Figures

Figure 1

55 pages, 6845 KB  
Review
Microfluidic Droplet Splitting in T-Junction: State of the Art in Actuation and Flow Manipulation
by Xiena M. Salem, Laisha Y. Rincones, Esperanza Moreno, Richard O. Adansi, Sohail M. A. K. Mohammed, Md Mahamudur Rahman and Piyush Kumar
Actuators 2026, 15(2), 96; https://doi.org/10.3390/act15020096 - 3 Feb 2026
Viewed by 370
Abstract
Droplet-based microfluidics has emerged as a powerful platform for precise fluid manipulation in biomedical, chemical, and material science applications. Among various geometries, T-junction microchannels are widely utilized for droplet generation and splitting due to their simplicity and reliability. This review provides a comprehensive [...] Read more.
Droplet-based microfluidics has emerged as a powerful platform for precise fluid manipulation in biomedical, chemical, and material science applications. Among various geometries, T-junction microchannels are widely utilized for droplet generation and splitting due to their simplicity and reliability. This review provides a comprehensive overview of droplet splitting mechanisms in T-junction microfluidic systems, with particular emphasis on the role of actuation methods in enhancing control and functionality. We first discuss the fundamental physics governing droplet behavior, including the influence of capillary and viscous forces, flow regimes, and geometric parameters. Passive strategies based on flow rate tuning and channel design are outlined, followed by an in-depth examination of active actuation techniques: thermal, electrical, magnetic, acoustic, and pneumatic and their effects on droplet dynamics. In addition, the review highlights computational modeling approaches and experimental tools used to characterize and predict splitting behavior. Finally, we explore the current challenges and future directions in integrating multifunctional actuation systems for real-time, programmable droplet control in lab-on-a-chip platforms. This article serves as a foundational resource for researchers aiming to advance microfluidic droplet manipulation through actuator-enabled strategies. Full article
Show Figures

Graphical abstract

14 pages, 2606 KB  
Article
Optical Multi-Frequency Discrimination and Phase Identification System Based on On-Chip Dual MZM
by Xiang Li, Hanyu Wang, Xiang Zheng, Mingxuan Li, Jianguo Liu and Zeping Zhao
Photonics 2026, 13(2), 145; https://doi.org/10.3390/photonics13020145 - 2 Feb 2026
Viewed by 244
Abstract
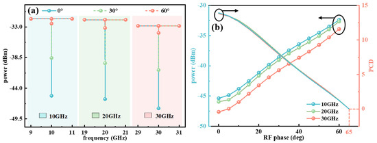
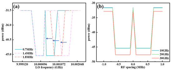
A photonic frequency discrimination and phase identification system based on an on-chip dual Mach–Zehnder modulator (MZM) is proposed. By utilizing the power cancellation (PCD) condition, the system achieves high-precision frequency discrimination and phase identification of multi-frequency radio frequency (RF) signals. The system adopts [...] Read more.
A photonic frequency discrimination and phase identification system based on an on-chip dual Mach–Zehnder modulator (MZM) is proposed. By utilizing the power cancellation (PCD) condition, the system achieves high-precision frequency discrimination and phase identification of multi-frequency radio frequency (RF) signals. The system adopts an on-chip dual-MZM architecture, effectively reducing phase interference in signal transmission caused by environmental factors. This is achieved through precise bias control and the adjustment of the local oscillator (LO) signal’s optical path delay using a tunable optical delay line (TODL), ensuring that the dual MZM operates in the phase inversion condition. When the LO frequency matches that of an RF signal, a significant power attenuation is observed at the system output. The phase of the RF signal is extracted from the corresponding PCD. Experimental results demonstrate that the system achieves a bandwidth of 30 GHz, a frequency resolution of 700 kHz, and a frequency resolution error of less than 498 kHz, with a phase identification range from 0° to 65°. With high integration, the system demonstrates excellent accuracy in multi-frequency signal measurement and phase identification, offering a reliable solution for complex RF scenarios. Full article
(This article belongs to the Special Issue Microwave Photonics: Challenges and Applications)
Show Figures

Figure 1

19 pages, 5000 KB  
Article
Magnetic Nanoparticle-Integrated Microfluidic Chip Enables Reliable Isolation of Plasma Cell-Free DNA for Molecular Diagnostics
by Amir Monfaredan, Sena Şen, Arash Adamnejad Ghafour, Ebru Cingöz Çapan, Muhammed Ertuğrul Çapan, Ridvan Şeçkin Özen, Şeref Buğra Tuncer and Oral Öncül
Diagnostics 2026, 16(3), 460; https://doi.org/10.3390/diagnostics16030460 - 2 Feb 2026
Viewed by 319
Abstract
Background/Objectives: Cell-free DNA (cfDNA) is a valuable biomarker for cancer diagnosis and therapy monitoring; however, its low abundance and fragmented nature present major challenges for reliable isolation, particularly from limited plasma volumes. Here, we report the development and evaluation of a novel [...] Read more.
Background/Objectives: Cell-free DNA (cfDNA) is a valuable biomarker for cancer diagnosis and therapy monitoring; however, its low abundance and fragmented nature present major challenges for reliable isolation, particularly from limited plasma volumes. Here, we report the development and evaluation of a novel magnetically assisted microfluidic chip with a three-inlet design for efficient cfDNA extraction from small-volume plasma samples. Methods: The platform enables controlled infusion of plasma, lysis buffer, and magnetic nanoparticle suspensions at defined flow rates. An external magnetic field selectively captures cfDNA-bound nanoparticles while efficiently removing background impurities. Results: Direct comparison with two in vitro diagnostic (IVD)-certified commercial cfDNA extraction kits showed that the microfluidic system achieved comparable cfDNA yields at standard plasma volumes and superior performance at reduced input volumes. High DNA purity and integrity were confirmed by quantitative PCR amplification of a housekeeping gene and clinically relevant targets. The complete workflow required approximately 9 min, used minimal equipment, reduced contamination risk, and enabled rapid processing with future potential for parallel multi-chip configurations. Conclusions: These findings establish the proposed microfluidic platform as a rapid, reproducible, and scalable alternative to conventional cfDNA extraction methods. By significantly improving recovery efficiency from small plasma volumes, the system enhances the clinical feasibility of liquid biopsy applications in cancer diagnostics and precision medicine. Full article
(This article belongs to the Section Point-of-Care Diagnostics and Devices)
Show Figures

Figure 1

11 pages, 743 KB  
Article
Efficient Catalysis by Sodium Hypophosphite for Solid-State Polymerization of High-Viscosity PA6/66 Copolyamide: Kinetics, Process Optimization, and Industrial Application
by Feng Jiang, Chunxiao Yu, Zhiyu Hu, Yilan Wu and Xin Li
Polymers 2026, 18(3), 384; https://doi.org/10.3390/polym18030384 - 31 Jan 2026
Viewed by 301
Abstract
The industrial preparation via solid-state polymerization (SSP) of high-viscosity copolyamides 6/66 (PA6/66) addresses the challenges, including prolonged reaction times, high energy consumption, and uneven viscosity distribution. In this study, sodium hypophosphite was introduced into the PA6/66 copolymerization system as a solid-state polymerization catalyst. [...] Read more.
The industrial preparation via solid-state polymerization (SSP) of high-viscosity copolyamides 6/66 (PA6/66) addresses the challenges, including prolonged reaction times, high energy consumption, and uneven viscosity distribution. In this study, sodium hypophosphite was introduced into the PA6/66 copolymerization system as a solid-state polymerization catalyst. The effects of this catalyst on the solid-state viscosity-increasing rate and relative viscosity were systematically investigated, and the extraction process was optimized to solve the loss of catalyst and controllable extractable content. The results showed that the relative viscosity of PA6/66 increased linearly with the SSP time, and the apparent viscosity increase rate could be stably maintained at 0.14 h−1 at 160 °C due to the catalytic action. Based on the phosphorus (P) content in the chips, the viscosity increase rate is not further large when the P content is 25 ppm at 150 °C and 30 ppm at 160 °C, which can be added as a “control concentration” as a catalyst. The extraction kinetics showed that the catalyst concentration of the chip could be kept higher than the control concentration, and the extractable content can satisfy the requirements for processing. The catalyst of sodium hypophosphite was utilized on the 4500 tons/year PA6/66 continuous polymerization test line, and the high-viscosity PA6/66 chips with uniform viscosity were stably prepared. This study provides a reliable theoretical basis and process route for the large-scale continuous preparation of high-quality and high-viscosity PA6/66 resin. Full article
(This article belongs to the Section Polymer Chemistry)
Show Figures

Figure 1

Back to TopTop