Sign in to use this feature.

Years

Between: -

Subjects

remove_circle_outline
remove_circle_outline
remove_circle_outline
remove_circle_outline
remove_circle_outline
remove_circle_outline
remove_circle_outline
remove_circle_outline
remove_circle_outline

Journals

Article Types

Countries / Regions

remove_circle_outline
remove_circle_outline
remove_circle_outline
remove_circle_outline
remove_circle_outline

Search Results (350)

Search Parameters:
Keywords = Candida auris

Order results
Result details
Results per page
Select all
Export citation of selected articles as:
12 pages, 647 KB  
Systematic Review
Therapeutic Repurposing of Sertraline: Evidence for Its Antifungal Activity from In Vitro, In Vivo, and Clinical Studies
by Carmen Rodríguez-Cerdeira and Westley Eckhardt
Microorganisms 2025, 13(10), 2334; https://doi.org/10.3390/microorganisms13102334 - 10 Oct 2025
Viewed by 243
Abstract
Sertraline, a selective serotonin reuptake inhibitor (SSRI), has emerged as a candidate for therapeutic repurposing due to its reported antifungal activity. We systematically reviewed in vitro, in vivo, and clinical evidence up to July 2025 (PubMed, Scopus, Web of Science). As a result, [...] Read more.
Sertraline, a selective serotonin reuptake inhibitor (SSRI), has emerged as a candidate for therapeutic repurposing due to its reported antifungal activity. We systematically reviewed in vitro, in vivo, and clinical evidence up to July 2025 (PubMed, Scopus, Web of Science). As a result, 322 records were screened and 63 studies were found to meet the inclusion criteria (PRISMA 2020). We close a critical gap by consolidating relevant evidence on Candida auris, including preclinical in vivo models, which have been under-represented in previous summaries. Outcomes included minimum inhibitory and fungicidal concentrations (MIC/MFC), biofilm inhibition, fungal burden, survival, and pharmacokinetic/pharmacodynamic parameters. Preclinical data indicate its activity against clinically relevant fungi—particularly Cryptococcus neoformans and Candida spp., including C. auris—as well as consistent anti-biofilm effects and synergy with amphotericin B, fluconazole, micafungin, or voriconazole. Mechanistic evidence implicates mitochondrial dysfunction, membrane perturbation, impaired protein synthesis, and calcium homeostasis disruption. However, its potential for clinical translation remains uncertain: in cryptococcal meningitis, small phase II studies suggested improved early fungicidal activity, whereas a phase III randomized trial did not demonstrate a benefit regarding survival. Pharmacokinetic constraints at conventional doses, the absence of an intravenous formulation, and safety considerations at higher doses further limit its immediate applicability. Overall, the available evidence supports sertraline as a promising adjuvant candidate, rather than a stand-alone antifungal. Future research should define PK/PD targets, optimize doses and formulations, and evaluate rational combinations through rigorously designed trials, particularly for multidrug-resistant and biofilm-associated infections. Full article
(This article belongs to the Collection Feature Papers in Medical Microbiology)
Show Figures

Graphical abstract

16 pages, 805 KB  
Review
Environmental Pathogen in Healthcare Settings: Candida auris—The Emerging Threat with a Focus on the Middle East and Infection Control Strategies
by Salma AlBahrani
Microbiol. Res. 2025, 16(10), 221; https://doi.org/10.3390/microbiolres16100221 - 9 Oct 2025
Viewed by 172
Abstract
The emergence of Candida auris as a disheartening fungal pathogen in healthcare settings has prompted urgent re-evaluation of containment and mitigation strategies. This review critically examines the biological persistence, environmental adaptability, and resistance to standard antifungal therapies of the pathogen, particularly regions with [...] Read more.
The emergence of Candida auris as a disheartening fungal pathogen in healthcare settings has prompted urgent re-evaluation of containment and mitigation strategies. This review critically examines the biological persistence, environmental adaptability, and resistance to standard antifungal therapies of the pathogen, particularly regions with limited surveillance infrastructure. Based on regional experiences, such as those in Saudi Arabia and the Middle East in general, the study reveals systemic weaknesses in diagnosis, reporting, and environmental sanitation. Special consideration is paid to the combination of new disinfection technologies, including ultraviolet irradiation systems and hydrogen peroxide vaporisation, with institutional behaviour change strategies. This discussion shows the importance of synchronising technological development with frequent employee contributions and cross-functional planning. It also encourages the international standardisation of diagnostic platforms and the launch of real-time genomic surveillance to reveal evolutionary trends. Finally, the findings justify the shift towards proactive models of infection control that are founded on the resilience of systems and the agility of institutions. This paper is a synthesis of epidemiological patterns, decontamination strategies and behavioural knowledge to contribute to an emerging body of knowledge that can help to fortify healthcare settings against current fungal threats. Full article
Show Figures

Figure 1

16 pages, 1816 KB  
Article
Active and Passive Immunization of Pan-Fungal Vaccine NXT-2 Reduces Morbidity and Mortality in an Immunosuppressed Murine Model of Candida auris Systemic Infection
by Kwadwo O. Oworae, Emily Rayens, Taylor I. Chapman, Daniel A. Wychrij, Lizabeth Buzzelli, Whitney Rabacal and Karen A. Norris
Vaccines 2025, 13(10), 1033; https://doi.org/10.3390/vaccines13101033 - 7 Oct 2025
Viewed by 398
Abstract
Background: Candida auris has emerged as a significant public health threat causing life-threatening systemic infections. Of particular concern is the frequency of multidrug resistance, high transmissibility, and persistence in the environment; thus, there is a need for novel strategies to prevent and treat [...] Read more.
Background: Candida auris has emerged as a significant public health threat causing life-threatening systemic infections. Of particular concern is the frequency of multidrug resistance, high transmissibility, and persistence in the environment; thus, there is a need for novel strategies to prevent and treat this infection. We previously generated a “pan-fungal” vaccine candidate, NXT-2, which induces protective immunity against several invasive fungal infections. Methods: In this study, we investigated the efficacy of NXT-2 immunization against systemic C. auris infection in an immunosuppressed murine model and investigated the possible mechanisms by which NXT-2 protection is mediated in vitro. Results: Active immunization afforded significant improvement in survival and reduced morbidity in neutropenic mice challenged intravenously with C. auris compared to controls (48.4% vs. 13.8%). To assess humoral immunity in promoting protection, passive immunization with NXT-2-specific IgG to neutropenic mice prior to the challenge with C. auris resulted in significantly higher survival (42% vs. 0%) and low morbidity compared to controls. Sera from NXT-2-immunized animals inhibited biofilm formation and enhanced opsonophagocytic killing of multiple C. auris clades in vitro. Conclusions: These findings show that immunization with NXT-2 improves survival in C. auris infection and that NXT-2 antibodies promote antifungal activity in vitro and in vivo. These results extend the range of the pan-fungal NXT-2 vaccine to include protection against systemic C. auris-mediated infection and provide a rationale for the development of NXT-2 monoclonal antibodies for the treatment of C. auris infections. Full article
(This article belongs to the Special Issue Vaccines and Antibody-Based Therapeutics Against Infectious Disease)
Show Figures

Figure 1

16 pages, 1191 KB  
Article
First Report of Candida auris Candidemia in Portugal: Genomic Characterisation and Antifungal Resistance-Associated Genes Analysis
by Isabel M. Miranda, Micael F. M. Gonçalves, Dolores Pinheiro, Sandra Hilário, José Artur Paiva, João Tiago Guimarães and Sofia Costa de Oliveira
J. Fungi 2025, 11(10), 716; https://doi.org/10.3390/jof11100716 - 3 Oct 2025
Viewed by 531
Abstract
Candida auris has emerged as a global public health threat due to its high mortality rates, multidrug resistance, and rapid transmission in healthcare settings. This study reports the first documented cases of C. auris candidemia in Portugal, comprising eight isolates from candidemia and [...] Read more.
Candida auris has emerged as a global public health threat due to its high mortality rates, multidrug resistance, and rapid transmission in healthcare settings. This study reports the first documented cases of C. auris candidemia in Portugal, comprising eight isolates from candidemia and colonised patients admitted to a major hospital in northern Portugal in 2023. Whole-genome sequencing (WGS) was performed to determine the phylogenetic relationships of the isolates, which were classified as belonging to Clade I. Genome sequencing also enabled the detection of missense mutations in antifungal resistance genes, which were correlated with antifungal susceptibility profiles determined according to EUCAST (European Committee on Antimicrobial Susceptibility Test) protocols and guidelines. All isolates exhibited resistance to fluconazole and amphotericin B according to the recently established EUCAST epidemiological cut-offs (ECOFFs). Most of the isolates showed a resistant phenotype to anidulafungin and micafungin. All isolates were resistant to caspofungin. Missense mutations identified included Y132F in ERG11, E709D in CDR1, A583S in TAC1b, K52N and E1464K in SNQ2, K74E in CIS2, M192I in ERG4, a novel mutation S237T in CRZ1, and variants in GCN5, a gene involved in chromatin remodelling and stress-response regulation. Identifying known and novel mutations highlights the evolution of antifungal resistance mechanisms in C. auris. These findings underscore the need for further research to understand C. auris resistance pathways and to guide effective clinical management strategies. Full article
(This article belongs to the Collection Invasive Candidiasis)
Show Figures

Figure 1

14 pages, 1552 KB  
Article
Antifungal Activity of 8-Hydroxyquinoline Derivatives Against Candida auris, Candida haemulonii, Cryptococcus neoformans, and Cryptococcus gattii Complex
by Maria Eduarda Krummenauer, Matheus da Silva Camargo, Caroline de Bem Gentz, Marcela Silva Lopes, Letícia Feliciani da Luz, Danielle da Silva Trentin, Belisa Ávila Rodrigues, Karine Rigon Zimmer, Saulo Fernandes de Andrade and Marilene Henning Vainstein
Pathogens 2025, 14(10), 999; https://doi.org/10.3390/pathogens14100999 - 2 Oct 2025
Viewed by 550
Abstract
Invasive fungal infections and the emergence of antifungal resistance pose significant challenges to public health. This study evaluates the antifungal activity of two 8-hydroxyquinoline derivatives, PH265 and PH276, against Cryptococcus spp., Candida auris, and Candida haemulonii. Using the EUCAST protocol, both [...] Read more.
Invasive fungal infections and the emergence of antifungal resistance pose significant challenges to public health. This study evaluates the antifungal activity of two 8-hydroxyquinoline derivatives, PH265 and PH276, against Cryptococcus spp., Candida auris, and Candida haemulonii. Using the EUCAST protocol, both compounds demonstrated broad-spectrum antifungal activity, with MICs ranging from 0.5 to 8 μg/mL. PH276 exhibited synergistic effects with fluconazole and caspofungin against C. haemulonii (FIC ≤ 0.5). The derivatives inhibited C. neoformans biofilm formation at higher concentrations and modulated polysaccharide capsule formation in Cryptococcus spp. In vivo toxicity assays in Tenebrio molitor, Galleria mellonella, and Caenorhabditis elegans revealed no significant adverse effects, with survival rates comparable to controls. These findings highlight PH265 and PH276 as promising antifungal agents with biofilm-disrupting properties, capsule-modulating effects, and low toxicity, supporting their potential for therapeutic development. Full article
Show Figures

Figure 1

7 pages, 894 KB  
Commentary
Advancing Peptide-Based Vaccines Against Candida: A Comparative Perspective on Liposomal and Synthetic Formulations
by Hong Xin
J. Fungi 2025, 11(10), 715; https://doi.org/10.3390/jof11100715 - 2 Oct 2025
Viewed by 482
Abstract
The growing threat of multidrug-resistant fungal pathogens, especially Candida auris, has underscored the need for effective antifungal vaccines. This commentary highlights recent advances in peptide-based vaccination using the SNAP (Spontaneous Nanoliposome Antigen Presentation) platform, focusing on the FM-SNAP vaccine, a bivalent liposomal [...] Read more.
The growing threat of multidrug-resistant fungal pathogens, especially Candida auris, has underscored the need for effective antifungal vaccines. This commentary highlights recent advances in peptide-based vaccination using the SNAP (Spontaneous Nanoliposome Antigen Presentation) platform, focusing on the FM-SNAP vaccine, a bivalent liposomal formulation targeting the surface-expressed peptides fructose bisphosphate aldolase (Fba) and methionine synthase (Met6). Compared to earlier constructs such as MP12, FM-SNAP achieves superior immunogenicity and long-lasting protection at lower antigen doses. It elicits balanced Th1/Th2 cytokine responses and demonstrates durable efficacy in both immunocompetent and complement-deficient mouse models. The platform’s compatibility with clinically approved adjuvants (MPLA and QS-21), modular peptide design, and potential for multi-pathogen applications underscores its translational promise. FM-SNAP exemplifies a next-generation vaccine strategy that is both scalable and adaptable for high-risk immunocompromised populations. Full article
Show Figures

Figure 1

17 pages, 1639 KB  
Article
Development of Melting-Curve-Based Real-Time PCR for Differentiating Medically Important Candida Species
by Eliandro Reis Tavares, Virginia Prezzi Santos, Isabela Madeira de Castro, Paulo Henrique Guilherme Borges, Gislaine Silva-Rodrigues, Anna Paula Silva Olak, Guilherme Bartolomeu-Gonçalves, Jussevania Pereira Santos, Alexandre Tadachi Morey, Kelly Ishida, Sueli Fumie Yamada-Ogatta and Lucy Megumi Yamauchi
Int. J. Mol. Sci. 2025, 26(19), 9411; https://doi.org/10.3390/ijms26199411 - 26 Sep 2025
Viewed by 250
Abstract
Candida species are the primary fungal pathogens of invasive infections associated with high morbidity and mortality. The identification of these microorganisms is critical for therapeutic management and control of hospital infection. Herein, assays targeting the Intergenic Spacer 2 (IGS2) and Internal Transcribed Spacer [...] Read more.
Candida species are the primary fungal pathogens of invasive infections associated with high morbidity and mortality. The identification of these microorganisms is critical for therapeutic management and control of hospital infection. Herein, assays targeting the Intergenic Spacer 2 (IGS2) and Internal Transcribed Spacer 1 (ITS1) from the rDNA locus were developed to differentiate Candida species. Based on consensus nucleotide sequences, specific primers and positive controls were designed, and standard PCR and real-time PCR (qPCR) assays were performed. All primers resulted in specific amplification of the molecular targets of each species with no amplifications of the negative template control. Furthermore, the primers were highly specific when tested with a range of fungal DNAs and no cross-reactivity was observed among Candida species. The assays presented a limit of detection (LoD) of 10 copies of positive control per reaction for all specific primers designed. Overall, our results showed that qPCR assays employing primers targeting the regions IGS2 and ITS1 completely differentiated between Candida albicans, Candida auris, Candida parapsilosis, Candida tropicalis, and Nakazeomyces glabratus, with great accuracy and no amplification of DNA from other fungal species. Full article
(This article belongs to the Section Molecular Pathology, Diagnostics, and Therapeutics)
Show Figures

Figure 1

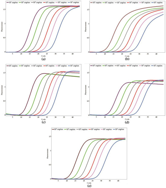
15 pages, 647 KB  
Article
Candidemia in a General Hospital in Kuwait: Epidemiology, Species Distribution, Risk Factors, and Antifungal Susceptibility Patterns over a 10-Year Period (2015–2024)
by Khalifa Al Benwan, Sarah Ahmed, Dalal Al Banwan and Maria John
J. Fungi 2025, 11(9), 670; https://doi.org/10.3390/jof11090670 - 12 Sep 2025
Viewed by 604
Abstract
This 10-year retrospective observational study (2015–2024) conducted at Al-Amiri Hospital in Kuwait aimed to analyze the epidemiology, species distribution, and key risk factors associated with Candida bloodstream infections. Data were collected on patient demographics and clinical risk factors, and the distribution of Candida [...] Read more.
This 10-year retrospective observational study (2015–2024) conducted at Al-Amiri Hospital in Kuwait aimed to analyze the epidemiology, species distribution, and key risk factors associated with Candida bloodstream infections. Data were collected on patient demographics and clinical risk factors, and the distribution of Candida species was determined based on isolates recovered from patients with confirmed candidemia. Multivariate logistic regression was performed to identify factors associated with candidemia outcomes. Cases significantly increased from 33 (2015–2016) to 93 (2023–2024), predominantly affecting elderly patients (≥65 years) and intensive care unit (ICU) admissions. A shift in species distribution was observed, with a decline in Candida albicans and a marked increase in Candidozyma auris (formerly Candida auris) and C. parapsilosis. Antifungal susceptibility patterns were species-specific: C. albicans, C. parapsilosis, and C. tropicalis remained highly susceptible to all tested antifungals, while Nakaseomyces glabratus (formerly Candida glabrata) showed fluconazole resistance in 25% of isolates. C. auris exhibited resistance to fluconazole (97%) and variable resistance to echinocandins and voriconazole. Echinocandins retained broad-spectrum activity across most species. Independent risk factors included ICU admission, advanced age, and comorbidities. N. glabratus and C. auris infections were linked to higher mortality. This study highlights the growing candidemia burden in Kuwait, driven by emerging non-albicans Candida (NAC) spp. and related species. Early species identification and susceptibility testing are crucial for effective treatment and improved outcomes, necessitating enhanced infection control and antifungal stewardship. Full article
(This article belongs to the Section Fungal Pathogenesis and Disease Control)
Show Figures

Figure 1

10 pages, 641 KB  
Case Report
Candidozyma auris Spondylodiscitis: A Case Report from Saudi Arabia and Literature Review
by Rakan Sambas, Khalid Bin Aziz, Faisal N. Alqahtani, Hussam Alhathlol, Marwan Alhumaidi, Abdulrahman Alsaedy and Thamer S. Alhowaish
Pathogens 2025, 14(9), 903; https://doi.org/10.3390/pathogens14090903 - 8 Sep 2025
Viewed by 609
Abstract
Candidozyma auris (formerly known as Candida auris) is an emerging multidrug-resistant fungal pathogen that has become increasingly implicated in healthcare-associated infections; however, its involvement in spondylodiscitis is exceedingly rare. We report the case of a 65-year-old Saudi male with multiple comorbidities who [...] Read more.
Candidozyma auris (formerly known as Candida auris) is an emerging multidrug-resistant fungal pathogen that has become increasingly implicated in healthcare-associated infections; however, its involvement in spondylodiscitis is exceedingly rare. We report the case of a 65-year-old Saudi male with multiple comorbidities who presented with altered mental status and was subsequently diagnosed with Candidozyma auris spondylodiscitis and bilateral psoas abscesses. Despite broad-spectrum antifungal therapy and multidisciplinary management, the patient’s condition rapidly deteriorated. This case highlights the significant challenges in diagnosing and managing multidrug-resistant C. auris infections and underscores the need for early suspicion, effective source control, and novel antifungal strategies in high-risk populations. Full article
Show Figures

Figure 1

18 pages, 2058 KB  
Article
Impact of pH, Temperature and Exogenous Proteins on Aspartic Peptidase Secretion in Candida auris and the Candida haemulonii Species Complex
by Gabriel C. Silva, Pedro F. Barbosa, Lívia S. Ramos, Marta H. Branquinha and André L. S. Santos
Pathogens 2025, 14(9), 873; https://doi.org/10.3390/pathogens14090873 - 2 Sep 2025
Viewed by 579
Abstract
Candida species commonly secrete aspartic peptidases (Saps), which are virulence factors involved in nutrient acquisition, colonization, tissue invasion, immune evasion and host adaptation. However, the regulation of Sap production remains poorly characterized in emerging, widespread and multidrug-resistant members of the Candida haemulonii clade [...] Read more.
Candida species commonly secrete aspartic peptidases (Saps), which are virulence factors involved in nutrient acquisition, colonization, tissue invasion, immune evasion and host adaptation. However, the regulation of Sap production remains poorly characterized in emerging, widespread and multidrug-resistant members of the Candida haemulonii clade (C. auris, C. haemulonii, C. haemulonii var. vulnera and C. duobushaemulonii). This study investigated the influence of temperature, pH and protein substrate on Sap production using bloodstream isolates of the C. haemulonii clade. Sap activity was initially assessed using the enzyme coefficient (Pz) in fungal cells grown on yeast carbon base (YCB) agar supplemented with bovine serum albumin (BSA) to determine optimal conditions for enzymatic production. C. auris and C. duobushaemulonii exhibited the highest Sap activity at 96 h, pH 4.0–5.0, and 37 °C, whereas C. haemulonii and C. haemulonii var. vulnera displayed more variable and isolate-dependent profiles. Sap production was markedly suppressed at pH 6.0. The addition of pepstatin A, an inhibitor of aspartic peptidases, abolished Sap activity and impaired fungal growth in a dose-dependent manner, confirming both the enzymatic identity and its critical role in nitrogen acquisition. Conversely, YCB supplemented with an inorganic nitrogen source (ammonium sulfate) supported fungal growth but did not induce Sap production. To explore substrate specificity, YCB was supplemented with a panel of proteins. Serum albumins (bovine and human) induced the highest Sap production, followed by globulin, gelatin, hemoglobin, collagen and immunoglobulin G, while elastin and mucin elicited the lowest Sap production. Isolate-specific preferences for protein substrates were observed. Finally, fluorometric assays using a Sap-specific fluorogenic peptide substrate confirmed the presence of Sap activity in cell-free supernatants, which was consistently and entirely blocked by pepstatin A. These findings highlight inter- and intraspecies variability in Sap regulation among C. haemulonii clade, stressing the critical roles of substrate availability, pH and temperature in shaping fungal adaptation to host environments. Full article
(This article belongs to the Special Issue Rare Fungal Infection Studies)
Show Figures

Figure 1

12 pages, 250 KB  
Article
Usefulness of Chromogenic Media in the Identification of Candida spp. Yeasts Compared to Mass Spectrometry
by Agata Bloch, Tomasz Bogiel, Małgorzata Prażyńska and Eugenia Gospodarek-Komkowska
Methods Protoc. 2025, 8(5), 98; https://doi.org/10.3390/mps8050098 - 1 Sep 2025
Viewed by 802
Abstract
Yeasts of the Candida genus are part of the normal human microbiota but can cause infections (candidiasis) under certain conditions. While Candida albicans remains the most common etiological agent, the prevalence of non-albicans Candida species—such as C. glabrata, C. tropicalis, C. [...] Read more.
Yeasts of the Candida genus are part of the normal human microbiota but can cause infections (candidiasis) under certain conditions. While Candida albicans remains the most common etiological agent, the prevalence of non-albicans Candida species—such as C. glabrata, C. tropicalis, C. krusei, C. parapsilosis, C. kefyr, C. lusitaniae, and the emerging multidrug-resistant C. auris—has been increasing. Effective treatment of candidiasis requires rapid and accurate identification of the causative species, particularly due to species-specific antifungal agent resistance patterns. The aim of this study was to evaluate the usefulness of five chromogenic media for the differentiation of Candida species: BD CHROMagar Candida (Becton Dickinson), CHROM ID Candida (bioMérieux), CHROMAgar Candida Plus (CHROMAgar France, Biomaxima), CHROMAgar Candida Plus (GRASO Biotech), and Brilliance Candida Agar (OXOID). A total of 175 strains from the following species were tested: C. albicans, C. parapsilosis, C. dubliniensis, C. lusitaniae, C. tropicalis, C. glabrata, C. kefyr, C. krusei, and C. auris. Species identification was confirmed by MALDI-TOF mass spectrometry using the MALDI Biotyper system (Bruker). Colony morphology, especially color characteristics, was assessed on each medium. The morphological features of most Candida species were consistent with the manufacturer’s descriptions and allowed for presumptive species-level identification. However, some species showed reproducible but previously undescribed morphological traits, including variations in colony shade. Notably, C. auris could not be reliably identified using BD, bioMérieux, or OXOID media. In conclusion, while chromogenic media are a helpful preliminary diagnostic tool, subtle differences in colony coloration can complicate interpretation. Diagnostic caution is recommended, and confirmatory methods such as MALDI-TOF remain essential for reliable identification, especially for emerging or less common Candida species. Full article
(This article belongs to the Section Public Health Research)
20 pages, 4050 KB  
Article
Biological Features, Antimicrobial Susceptibility and Phenotypic Characterization of Candidozyma auris CDC B11903 Grown at Different Temperatures
by Terenzio Cosio, Natalia Pedretti, Luca Spaggiari, Luigi Tordelli Ruda, Samyr Kenno, Samuele Sabbatini, Enrico Salvatore Pistoia, Manola Comar, Claudia Monari, Andrea Ardizzoni, Roberta Gaziano and Eva Pericolini
J. Fungi 2025, 11(9), 625; https://doi.org/10.3390/jof11090625 - 26 Aug 2025
Viewed by 861
Abstract
Thermo-tolerance is a virulence factor responsible for the emergence of new fungal pathogens, including Candidozyma auris (formerly classified as Candida auris, C. auris). It has been shown that in C. auris the thermo-tolerance, as well as other virulence traits, such as [...] Read more.
Thermo-tolerance is a virulence factor responsible for the emergence of new fungal pathogens, including Candidozyma auris (formerly classified as Candida auris, C. auris). It has been shown that in C. auris the thermo-tolerance, as well as other virulence traits, such as the ability to aggregate, to form pseudo-hyphae, or to produce melanin are strain-specific features. Here, we investigated the impact of different temperatures (25 °C, 37 °C and 42 °C) on the phenotypic and virulence profile of C. auris strain CDC B11903. The results show a positive correlation between the resistance to antifungals and increasing temperature from 25 °C to 37 °C, while no differences were observed between 37 °C and 42 °C, except for Anidulafungin. Furthermore, C. auris growth was impaired at 25 °C as compared to 37 °C and 42 °C. Except for the haemolytic activity, which increased with rising temperatures, phospholipase, lipase and biofilm production were found at all tested temperatures. Moreover, the ability to produce melanin was observed only at 37 °C and 42 °C. The capacity to grow as pseudo-hyphae or in clusters and to adhere to both biotic and abiotic surfaces were observed at all the temperatures tested, with increased propensity of C. auris to adhere to abiotic surfaces with rising temperatures. The results underline the thermo-tolerance of C. auris strain B11903 and its increased virulence profile at human body temperature both in physiological (37 °C) and febrile state (42 °C). Full article
(This article belongs to the Section Fungal Pathogenesis and Disease Control)
Show Figures

Figure 1

24 pages, 1022 KB  
Review
Changing Climate, Changing Candida: Environmental and Social Pressures on Invasive Candidiasis and Antifungal Resistance in Latin America
by Juan Camilo Motta, Pilar Rivas-Pinedo and José Millan Onate
J. Fungi 2025, 11(9), 609; https://doi.org/10.3390/jof11090609 - 22 Aug 2025
Viewed by 1023
Abstract
Invasive candidiasis (IC) in Latin America is undergoing a significant epidemiological shift, increasingly driven by non-albicans strains such as Candida tropicalis, Candida parapsilosis, and Candidozyma auris. These pathogens often exhibit multidrug resistance, which complicates treatment and increases mortality. Diagnostic [...] Read more.
Invasive candidiasis (IC) in Latin America is undergoing a significant epidemiological shift, increasingly driven by non-albicans strains such as Candida tropicalis, Candida parapsilosis, and Candidozyma auris. These pathogens often exhibit multidrug resistance, which complicates treatment and increases mortality. Diagnostic limitations, particularly in rural and public hospitals, delay detection and hinder the provision of rapid care. Environmental pressures, such as climate change and the widespread use of azoles in agriculture, appear to favor the selection of resistant and thermotolerant strains. Migratory birds may also play a role in the environmental transmission of pathogenic fungi. These factors are amplified by socioeconomic inequalities that restrict access to diagnostics and first-line antifungals. To help mitigate this emerging challenge, a One Health-oriented framework combining integrated environmental surveillance, robust antifungal-stewardship programmers, broader diagnostic access, and coordinated cross-sector public health actions should be developed. Reinforcing these pillars could lessen the regional burden of IC and slow the advance of antifungal resistance. Full article
Show Figures

Graphical abstract

37 pages, 910 KB  
Review
Invasive Candidiasis in Contexts of Armed Conflict, High Violence, and Forced Displacement in Latin America and the Caribbean (2005–2025)
by Pilar Rivas-Pinedo, Juan Camilo Motta and Jose Millan Onate Gutierrez
J. Fungi 2025, 11(8), 583; https://doi.org/10.3390/jof11080583 - 6 Aug 2025
Viewed by 2042
Abstract
Invasive candidiasis (IC), characterized by the most common clinical manifestation of candidemia, is a fungal infection with a high mortality rate and a significant impact on global public health. It is estimated that each year there are between 227,000 and 250,000 hospitalizations related [...] Read more.
Invasive candidiasis (IC), characterized by the most common clinical manifestation of candidemia, is a fungal infection with a high mortality rate and a significant impact on global public health. It is estimated that each year there are between 227,000 and 250,000 hospitalizations related to IC, with more than 100,000 associated deaths. In Latin America and the Caribbean (LA&C), the absence of a standardized surveillance system has led to multicenter studies documenting incidences ranging from 0.74 to 6.0 cases per 1000 hospital admissions, equivalent to 50,000–60,000 hospitalizations annually, with mortality rates of up to 60% in certain high-risk groups. Armed conflicts and structural violence in LA&C cause forced displacement, the collapse of health systems, and poor living conditions—such as overcrowding, malnutrition, and lack of sanitation—which increase vulnerability to opportunistic infections, such as IC. Insufficient specialized laboratories, diagnostic technology, and trained personnel impede pathogen identification and delay timely initiation of antifungal therapy. Furthermore, the empirical use of broad-spectrum antibiotics and the limited availability of echinocandins and lipid formulations of amphotericin B have promoted the emergence of resistant non-albicans strains, such as Candida tropicalis, Candida parapsilosis, and, in recent outbreaks, Candidozyma auris. Full article
Show Figures

Figure 1

27 pages, 1161 KB  
Review
Antifungal Agents in the 21st Century: Advances, Challenges, and Future Perspectives
by Francesco Branda, Nicola Petrosillo, Giancarlo Ceccarelli, Marta Giovanetti, Andrea De Vito, Giordano Madeddu, Fabio Scarpa and Massimo Ciccozzi
Infect. Dis. Rep. 2025, 17(4), 91; https://doi.org/10.3390/idr17040091 - 1 Aug 2025
Viewed by 4020
Abstract
Invasive fungal infections (IFIs) represent a growing global health threat, particularly for immunocompromised populations, with mortality exceeding 1.5 million deaths annually. Despite their clinical and economic burden—costing billions in healthcare expenditures—fungal infections remain underprioritized in public health agendas. This review examines the current [...] Read more.
Invasive fungal infections (IFIs) represent a growing global health threat, particularly for immunocompromised populations, with mortality exceeding 1.5 million deaths annually. Despite their clinical and economic burden—costing billions in healthcare expenditures—fungal infections remain underprioritized in public health agendas. This review examines the current landscape of antifungal therapy, focusing on advances, challenges, and future directions. Key drug classes (polyenes, azoles, echinocandins, and novel agents) are analyzed for their mechanisms of action, pharmacokinetics, and clinical applications, alongside emerging resistance patterns in pathogens like Candida auris and azole-resistant Aspergillus fumigatus. The rise of resistance, driven by agricultural fungicide use and nosocomial transmission, underscores the need for innovative antifungals, rapid diagnostics, and stewardship programs. Promising developments include next-generation echinocandins (e.g., rezafungin), triterpenoids (ibrexafungerp), and orotomides (olorofim), which target resistant strains and offer improved safety profiles. The review also highlights the critical role of “One Health” strategies to mitigate environmental and clinical resistance. Future success hinges on multidisciplinary collaboration, enhanced surveillance, and accelerated drug development to address unmet needs in antifungal therapy. Full article
Show Figures

Figure 1

Back to TopTop