Sign in to use this feature.

Years

Between: -

Subjects

remove_circle_outline
remove_circle_outline
remove_circle_outline
remove_circle_outline
remove_circle_outline
remove_circle_outline
remove_circle_outline
remove_circle_outline
remove_circle_outline

Journals

remove_circle_outline
remove_circle_outline
remove_circle_outline
remove_circle_outline
remove_circle_outline
remove_circle_outline
remove_circle_outline
remove_circle_outline
remove_circle_outline
remove_circle_outline
remove_circle_outline
remove_circle_outline
remove_circle_outline
remove_circle_outline
remove_circle_outline
remove_circle_outline
remove_circle_outline
remove_circle_outline
remove_circle_outline
remove_circle_outline
remove_circle_outline
remove_circle_outline
remove_circle_outline
remove_circle_outline
remove_circle_outline
remove_circle_outline
remove_circle_outline
remove_circle_outline
remove_circle_outline

Article Types

Countries / Regions

remove_circle_outline
remove_circle_outline
remove_circle_outline
remove_circle_outline
remove_circle_outline
remove_circle_outline
remove_circle_outline
remove_circle_outline
remove_circle_outline

Search Results (6,134)

Search Parameters:
Keywords = CO2 consumption

Order results
Result details
Results per page
Select all
Export citation of selected articles as:
26 pages, 4686 KB  
Article
Life Cycle Assessment of Urban Water Systems: Analyzing Environmental Impacts and Mitigation Pathways for Seoul Metropolitan City
by Li Li, Gyumin Lee and Doosun Kang
Sustainability 2026, 18(3), 1328; https://doi.org/10.3390/su18031328 - 28 Jan 2026
Abstract
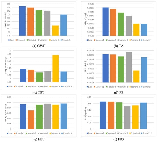
Sustainable urban water system (UWS) management is vital for climate-resilient, resource-efficient cities. This study presents the first comprehensive life cycle assessment (LCA) of Seoul Metropolitan City (SMC)’s UWS, encompassing water abstraction, treatment, distribution, wastewater collection and treatment, and sludge management. Nine midpoint impact [...] Read more.
Sustainable urban water system (UWS) management is vital for climate-resilient, resource-efficient cities. This study presents the first comprehensive life cycle assessment (LCA) of Seoul Metropolitan City (SMC)’s UWS, encompassing water abstraction, treatment, distribution, wastewater collection and treatment, and sludge management. Nine midpoint impact categories from ReCiPe 2016 (H) were analyzed to identify environmental hotspots and mitigation pathways. Results show that wastewater treatment dominates impacts, contributing 57.3% of global warming potential (GWP; 0.947 kg CO2-eq per functional unit of 1 m3 of potable water supplied) and 71.1% of freshwater eutrophication (FE; 0.00066 kg P-eq/m3), driven by electricity use, sludge disposal, and direct CH4/N2O emissions. Electricity consumption is the leading driver across GWP, terrestrial acidification (TA), and fossil resource scarcity (FRS). Infrastructure construction notably influenced terrestrial ecotoxicity (TET) and human toxicity. Sensitivity analysis showed that SMC’s projected 2030 electricity mix could reduce GWP and FRS by up to 18%. Scenario evaluations revealed that sludge ash utilization in concrete and expanded wastewater reuse improve resource circularity, whereas biogas upgrading, solar generation, and heat recovery significantly lower GWP and FRS. The findings underscore the importance of energy decarbonization, resource recovery, and infrastructure longevity in achieving low-carbon and resource-efficient UWSs. This study offers a transferable framework for guiding sustainability transitions in rapidly urbanizing, energy-transitioning regions. Full article
Show Figures

Figure 1

19 pages, 3288 KB  
Article
Energy-Efficient Retrofit of Heat Exchange Networks for Oil Treatment and Stabilization Units at Oil Fields
by Botagoz Kaldybayeva, Alisher Khussanov, Leonid Ulyev, Doskhan Kenzhebekov, Dauren Janabayev and Mikhail Chernyshov
Energies 2026, 19(3), 685; https://doi.org/10.3390/en19030685 - 28 Jan 2026
Abstract
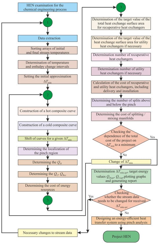
Continuous growth in prices for primary energy sources and environmental restrictions on pollutant emissions justify investments in industrial facilities to minimize specific energy consumption. In addition, oil-producing and refining enterprises were built in previous decades, when energy efficiency problems were not so urgent, [...] Read more.
Continuous growth in prices for primary energy sources and environmental restrictions on pollutant emissions justify investments in industrial facilities to minimize specific energy consumption. In addition, oil-producing and refining enterprises were built in previous decades, when energy efficiency problems were not so urgent, so little attention was paid to the development and application of tools for improvement. In this regard, at present, the application and development of methods for increasing energy efficiency is certainly relevant, especially for oil processing and stabilization units (OPSUs) at fields, through which all oil produced in a country passes. Our goal is to achieve heat integration of OPSUs with a capacity of 4 million tons of processed raw materials per year. In this study, for the heat integration of the OPSU, pinch-analysis methods with the construction of grid diagrams are used for a retrofitting project for increasing the energy efficiency of the heat exchange network (HEN) of an OPSU. The heat and economic analysis of the synthesized HEN were performed using Pinch 2.02 software. This paper presents a retrofitting-based energy-efficiency project for the OPSU HEN. A method for evolving the synthesized HEN by breaking heat load paths is applied to increase the economic efficiency of the retrofit project. The stability of the OPSU operation in the optimal mode is shown with the observed change in the bank interest rate. The implementation of the synthesized HEN will reduce specific energy consumption by 77%, decreasing CO2 emissions released into the atmosphere by 30 thousand tons per year. Full article
(This article belongs to the Section B3: Carbon Emission and Utilization)
Show Figures

Figure 1

24 pages, 5376 KB  
Article
Combustion Reaction Investigation of Marine Engine Mixed Fuel of Methane/Ammonia/Diesel
by Jingmin Rui, Haibin Li, Jing Zhao, Xiuyuan Bai, Ce Zhang, Zhongjie Shi, Dehai Li, Junpeng Xin, Dongsheng Dong and Longlong Jiang
Processes 2026, 14(3), 461; https://doi.org/10.3390/pr14030461 - 28 Jan 2026
Abstract
The utilization of low- and zero-carbon fuels in internal combustion engines is gaining increasing interest. In marine engine applications, the co-combustion of methane and ammonia has emerged as a promising strategy for reducing carbon emissions. In this work, a chemical kinetic mechanism for [...] Read more.
The utilization of low- and zero-carbon fuels in internal combustion engines is gaining increasing interest. In marine engine applications, the co-combustion of methane and ammonia has emerged as a promising strategy for reducing carbon emissions. In this work, a chemical kinetic mechanism for n-heptane/methane/ammonia blended fuel was developed and validated. Using this mechanism, sensitivity and chemical kinetic analyses were performed to explore the ignition characteristics of the fuel mixture. The results indicate that at an initial temperature of 1000 K, reaction R152 (C7H15-2 = CH3 + C6H12) exerts the strongest inhibiting effect on ignition. C7H15-2 is a major low-reactivity intermediate generated during n-heptane decomposition, and the accumulation of such intermediates contributes to the negative temperature coefficient (NTC) behavior. A cross-reaction between CH4 and NH3, R111 (CH4 + NH2 = CH3 + NH3), was identified, which impedes the smooth progression of oxidation. Elevated temperatures, oxygen-rich conditions, and higher ammonia blending ratios promote the formation of NO. The production of N2O is primarily governed by reaction R105 (NH + NO = N2O + H), whose rate increases with the NH3 molar fraction. Consumption of N2O occurs mainly via reactions R92 (N2O + H = N2 + OH) and R94 (N2O (+M) = N2 + O (+M)), both of which occur later than its formation through R105, indicating that N2O consumption is more sensitive to temperature. Full article
(This article belongs to the Special Issue Advances in Alternative Fuel Engines and Combustion Technology)
Show Figures

Figure 1

15 pages, 4456 KB  
Article
Interaction Effects and Engineering Applications of Multi-Source Organic Liquid Waste Co-Incineration in Cement Kilns
by Zhanlong Song, Zhongyuan Yang, Xinxin Wei, Fusen Zhang, Yingping Pang, Xujiang Wang, Xiqiang Zhao, Yanpeng Mao and Wenlong Wang
Energies 2026, 19(3), 678; https://doi.org/10.3390/en19030678 - 28 Jan 2026
Abstract
Efficient and harmless disposal of multi-source organic liquid waste is a key requirement in current environmental protection. Herein, we employ high-temperature tube furnaces, small-scale rotary kilns, and industrial rotary kilns as test platforms, focusing on high-temperature conditions (>1200 °C) in existing industrial kilns. [...] Read more.
Efficient and harmless disposal of multi-source organic liquid waste is a key requirement in current environmental protection. Herein, we employ high-temperature tube furnaces, small-scale rotary kilns, and industrial rotary kilns as test platforms, focusing on high-temperature conditions (>1200 °C) in existing industrial kilns. Systematic studies on combustion characteristics, pollutant emission laws, and disposal adaptability were conducted. We aim to clarify the intrinsic correlations between co-incineration behaviors, pollutant generation, and disposal feasibility for the co-incineration of multi-source organic liquid waste in cement kilns. The results demonstrate significant interaction effects during the co-incineration of multi-source organic liquids, which reduces combustion energy consumption and improves operational safety. The “micro-explosion” effect generated by high-temperature incineration is the key to regulating pollutant emissions, with CO emissions of only 6.71%. Tests on small and industrial rotary kilns indicate that co-disposal of liquid waste in cement kilns does not affect the stable operation of the kiln or the quality of the cement clinker, and pollutant emissions meet industrial standards. This work can provide a scientific basis and technical support for large-scale, efficient, and clean disposal of organic liquid waste in industrial cement kilns. Full article
Show Figures

Figure 1

20 pages, 3087 KB  
Article
Catalytic Combustion Characteristics for Removal of High-Concentration Volatile Organic Compounds (VOCs)
by Tae-Jin Kang, Hyun-Ji Kim, Jieun Lee, Jin-Hee Lee, Hyo-Sik Kim, Jin-Ho Kim, No-Kuk Park, Soo Chool Lee and Suk-Hwan Kang
Atmosphere 2026, 17(2), 137; https://doi.org/10.3390/atmos17020137 - 27 Jan 2026
Abstract
The conventional treatment of high-concentration volatile organic compounds (VOCs) relies on energy-intensive dilution to avoid explosion risks. This study proposes an efficient catalytic combustion process treating VOCs directly within the explosive range while recovering reaction heat using Pt/γ-Al2O3-based catalysts [...] Read more.
The conventional treatment of high-concentration volatile organic compounds (VOCs) relies on energy-intensive dilution to avoid explosion risks. This study proposes an efficient catalytic combustion process treating VOCs directly within the explosive range while recovering reaction heat using Pt/γ-Al2O3-based catalysts promoted with La and Ce. Catalysts (0.05–0.5 wt% Pt) were synthesized via impregnation and characterized using FE-SEM, BET, and XRD. Catalytic combustion experiments at VOC concentrations up to 13,000 ppm showed combustion initiation below 200 °C, achieving 83–99% conversions at 300 °C with complete oxidation to CO2. Although 5 vol.% moisture significantly inhibited low-temperature activity through competitive adsorption, La and Ce promoters (10 wt%) effectively overcame this limitation by increasing surface area (up to 194.93 m2/g) and oxygen mobility. The Ce-promoted catalyst demonstrated superior water tolerance, achieving complete conversion at 200–210 °C due to its high Oxygen Storage Capacity (OSC). Bench-scale validation using a 1 Nm3/h system confirmed industrial feasibility. Operating at 220 °C with 13,000 ppm toluene for 100 h, the catalyst maintained >99.98% conversion with negligible deactivation and THC emissions below 2 ppm. The double-jacket heat exchanger effectively managed reaction heat (limiting temperature rise to ~20 °C) and recovered it as steam. Compared to Regenerative Thermal Oxidation, this Regenerative Catalytic Oxidation approach reduced emissions and energy consumption. This work demonstrates a robust “combustion-with-recovery” strategy for high-concentration VOC treatment, offering a sustainable alternative with high efficiency, stability, and safe energy-integrated operation. Full article
Show Figures

Graphical abstract

18 pages, 1485 KB  
Article
A Sustainable Packaging Logistics Framework for Reducing Greenhouse Gas Emissions in Food Supply Chains
by Kostantinos Verros, Thomas Mantzou and Stella Despoudi
Appl. Sci. 2026, 16(3), 1274; https://doi.org/10.3390/app16031274 - 27 Jan 2026
Abstract
Packaging is a fundamental component of food supply chains, enabling product protection, handling, and distribution from production to final consumption. In this context, the selection of secondary and tertiary packaging dimensions plays a critical role in improving logistics efficiency and reducing greenhouse gas [...] Read more.
Packaging is a fundamental component of food supply chains, enabling product protection, handling, and distribution from production to final consumption. In this context, the selection of secondary and tertiary packaging dimensions plays a critical role in improving logistics efficiency and reducing greenhouse gas (GHG) emissions associated with material use and transportation. This study proposes a sustainable packaging logistics (SPL) framework that systematically evaluates and optimizes packaging carton dimensions to enhance pallet utilization, transport efficiency, and packaging material efficiency. The framework is applied to a real-world case study from a meat processing company, demonstrating how alternative carton dimension configurations, while maintaining a constant product weight and functional equivalence, can significantly influence pallet-loading efficiency, transported payload, and associated CO2-equivalent emissions. Rather than constituting a full life cycle assessment (LCA), the proposed approach adopts LCA-informed indicators to quantify material and transport related emission implications of packaging design choices. By integrating packaging design, palletization constraints, and logistics performance, the SPL framework provides a structured analytical basis for identifying packaging configurations that reduce material intensity and transport-related emissions. The results highlight the importance of packaging dimension optimization as a practical and scalable strategy for emission reduction in food supply chains. The proposed framework is intended to support decision-making in packaging design and to serve as a robust preparatory tool for future, more comprehensive LCA studies. Full article
Show Figures

Figure 1

28 pages, 1964 KB  
Article
The Carbon Cost of Intelligence: A Domain-Specific Framework for Measuring AI Energy and Emissions
by Rashanjot Kaur, Triparna Kundu, Kathleen Marshall Park and Eugene Pinsky
Energies 2026, 19(3), 642; https://doi.org/10.3390/en19030642 - 26 Jan 2026
Abstract
The accelerating energy demands from artificial intelligence (AI) deployment introduce systemic challenges for achieving carbon neutrality. Large language models (LLMs) represent a dominant driver of AI energy consumption, with inference operations constituting 80–90% of total energy usage. Current energy benchmarks report aggregate metrics [...] Read more.
The accelerating energy demands from artificial intelligence (AI) deployment introduce systemic challenges for achieving carbon neutrality. Large language models (LLMs) represent a dominant driver of AI energy consumption, with inference operations constituting 80–90% of total energy usage. Current energy benchmarks report aggregate metrics without domain-level breakdowns, preventing accurate carbon footprint estimation for workloadspecific operations. This study addresses this critical gap by introducing a carbon-aware framework centered on the carbon cost of intelligence (CCI), a novel metric enabling workload-specific energy and carbon calculation that balances accuracy and efficiency across heterogeneous domains. This paper presents a comprehensive cross-domain energy benchmark using the massive multitask language understanding (MMLU) dataset, measuring accuracy and energy consumption in five representative domains: clinical knowledge (medicine), professional accounting (finance), professional law (legal), college computer science (technology), and general knowledge. Empirical analysis of GPT-4 across 100 MMLU questions, 20 per domain, reveals substantive variations: legal queries consume 4.3× more energy than general knowledge queries (222 J vs. 52 J per query), while energy consumption varies by domain due to input length differences. Our analysis demonstrates the evolution from simple ratio-based approaches (weighted accuracy divided by weighted energy) to harmonic mean aggregation, showing that the harmonic mean, by preventing bias from extreme values, provides more accurate carbon usage estimates. The CCI metric, calculated using weighted harmonic mean (analogous to P/E ratios in finance, where A/E represents accuracy-to-energy ratio), enables practitioners to accurately estimate energy and carbon emissions for specific workload mixes (e.g., 80% medicine + 15% general + 5% law). Results demonstrate that the domain workload mix significantly impacts carbon footprint: a law firm workload (60% law) consumes 96% more energy per query than a hospital workload (80% medicine), representing 49% potential savings through workload optimization. Carbon footprint analysis using US Northeast grid intensity (320 gCO2e/kWh) shows domain-specific emissions ranging from 0.0046–0.0197 gCO2 per query. CCI is validated through comparison with simple weighted average, demonstrating differences up to 12.1%, confirming that the harmonic mean provides more accurate and conservative carbon estimates essential for carbon reporting and neutrality planning. Our findings provide a novel cross-domain energy benchmark for GPT-4 and establish a practical carbon calculator framework for sustainable AI deployment aligned with carbon neutrality goals. Full article
Show Figures

Figure 1

30 pages, 3967 KB  
Article
Integrated Evaluation of Ship Performance and Emission Reduction in Solid Oxide Fuel Cell–Based Hybrid Marine Systems
by Ahmed G. Elkafas and Hassan M. Attar
J. Mar. Sci. Eng. 2026, 14(3), 255; https://doi.org/10.3390/jmse14030255 - 26 Jan 2026
Viewed by 39
Abstract
This study presents a first-of-its-kind investigation into retrofitting domestic vessels with a novel hybrid system integrating a Solid Oxide Fuel Cell (SOFC) and an Internal Combustion Engine (ICE). Using a Lake Ferry and an Island Ferry as case studies, three power-sharing scenarios (10–20% [...] Read more.
This study presents a first-of-its-kind investigation into retrofitting domestic vessels with a novel hybrid system integrating a Solid Oxide Fuel Cell (SOFC) and an Internal Combustion Engine (ICE). Using a Lake Ferry and an Island Ferry as case studies, three power-sharing scenarios (10–20% SOFC contribution) were examined for cruise and port operations. The results show that increasing the SOFC power share enhances overall system efficiency, reducing daily fuel energy consumption by up to 9% while achieving SOFC efficiencies of 58–60% in port. The design analysis confirms the physical retrofit feasibility for both vessels, with all scenarios occupying 72–92% of available machinery space. However, increasing the SOFC share from 10% to 15–20% raised total system weight by 10–20% and volume by 12–27%. Economically, the system demonstrates strong viability for high-utilization vessels, with Levelized Cost of Energy (LCOE) values of 236–248 EUR/MWh, while the sensitivity analysis highlights the SOFC capital cost as the dominant economic driver. Environmentally, the hybrid system achieves annual CO2 reductions of 46–51% and NOx reductions of 51–62% compared to conventional diesel systems, with zero NOx emissions in port. The SOFC-ICE hybrid system proves to be a robust transitional pathway for maritime decarbonization, particularly for vessels with significant port-side operating hours. Full article
(This article belongs to the Special Issue Ship Performance and Emission Prediction)
Show Figures

Figure 1

12 pages, 530 KB  
Article
Results and Future Perspectives of the Sustainable Anesthesia Project: A Large-Scale, Real-World Implementation Study at the Largest Spanish Private Healthcare Provider
by Juan Acha-Ganderias, María del Pino Henríquez-de Armas, Luis Enrique Muñoz-Alameda, Ion Cristóbal, Cristina Caramés and Leticia Moral-Iglesias
Healthcare 2026, 14(3), 300; https://doi.org/10.3390/healthcare14030300 - 25 Jan 2026
Viewed by 115
Abstract
Background: Climate change is a serious threat to global health. The healthcare sector contributes substantially to greenhouse gas (GHG) emissions, with anaesthetic gases being a major source of Scope 1 emissions. We aimed to evaluate the 2024 impact of the Sustainable Anesthesia [...] Read more.
Background: Climate change is a serious threat to global health. The healthcare sector contributes substantially to greenhouse gas (GHG) emissions, with anaesthetic gases being a major source of Scope 1 emissions. We aimed to evaluate the 2024 impact of the Sustainable Anesthesia Project, designed to reduce the environmental footprint of anaesthetic gases by eliminating and/or replacing the most polluting agents (nitrous oxide and desflurane) with more sustainable alternatives (sevoflurane, total intravenous anaesthesia, and regional/local anaesthesia). Methods: We conducted a descriptive analysis of anaesthetic gas consumption in 2023 and 2024, as well as a comparison of emissions in tons of CO2, the impact on the carbon footprint, and the potential future emissions savings that full implementation of the project would entail. Results: In the first year, nitrous oxide consumption decreased by 64% and desflurane by 63%. Overall anaesthetic-gas emissions fell by 8386 tCO2e versus 2023, a 54% relative reduction. Furthermore, the contribution of these gases to the total Scope 1 emissions markedly declined from 35.18% in 2023 to 21.22% in 2024. An additional reduction potential of around 4800 tCO2e was identified for consolidation by 2025 with full implementation. Conclusions: The results observed in this study demonstrate the success of the Sustainable Anesthesia Project, whose strategy represents an extensible and applicable option to other centers and companies in the health sector to reduce their environmental impact. Full article
(This article belongs to the Section Healthcare and Sustainability)
Show Figures

Figure 1

13 pages, 1249 KB  
Article
Optimization of Efficient Tungsten Extraction Process from Wolframite by Na2CO3 Alkaline Melting
by Yang Zheng, Liwen Zhang, Hailong Bai and Xiaoli Xi
Minerals 2026, 16(2), 126; https://doi.org/10.3390/min16020126 - 24 Jan 2026
Viewed by 127
Abstract
Tungsten is a critical metal for advanced industrial applications, yet its supply is challenged by the depletion of high-grade ores. This study presents a comprehensive optimization and mechanistic analysis of the alkaline fusion process for extracting tungsten from wolframite ((Fe,Mn)WO4) using [...] Read more.
Tungsten is a critical metal for advanced industrial applications, yet its supply is challenged by the depletion of high-grade ores. This study presents a comprehensive optimization and mechanistic analysis of the alkaline fusion process for extracting tungsten from wolframite ((Fe,Mn)WO4) using sodium carbonate (Na2CO3). Experimental investigations systematically evaluated the effects of alkali-to-ore ratio, reaction temperature (650–1000 °C), and reaction duration (30–270 min). Optimal conditions were established at a 2:1 Na2CO3-to-ore molar ratio, a reaction temperature of 750 °C, and a holding time of 30 min, achieving a tungsten extraction efficiency exceeding 99.9%. This represents a significant improvement in energy and process efficiency over conventional methods. A novel kinetic analysis reveals a two-stage reaction mechanism, transitioning from a slow, diffusion-controlled solid-state reaction (Ea = 243 kJ/mol) to a rapid, autocatalytic liquid-phase reaction (Ea = 212 kJ/mol) upon the formation of a Na2WO4–Na2CO3 eutectic above approximately 590 °C. The optimal temperature of 750 °C is rationalized as the point that ensures operation within this kinetically favorable liquid-phase regime. Furthermore, a thermochemical analysis of ore impurities indicates that silicon, lead, sulfur, and calcium are effectively sequestered into the slag phase as stable silicates, insoluble lead compounds, and sulfates, highlighting an intrinsic purification benefit. X-ray fluorescence (XRF) and X-ray diffraction (XRD) analyses confirmed minimal residual tungsten in the processed slag. This streamlined process, supported by a robust mechanistic understanding, reduces alkaline consumption, shortens reaction times, and maintains high yields, offering a sustainable and efficient pathway for leveraging declining wolframite resources. Full article
(This article belongs to the Section Mineral Processing and Extractive Metallurgy)
Show Figures

Figure 1

20 pages, 730 KB  
Article
Improving the Energy Performance of Residential Buildings Through Solar Renewable Energy Systems and Smart Building Technologies: The Cyprus Example
by Oğulcan Vuruşan and Hassina Nafa
Sustainability 2026, 18(3), 1195; https://doi.org/10.3390/su18031195 - 24 Jan 2026
Viewed by 162
Abstract
Residential buildings in Mediterranean regions remain major contributors to energy consumption and greenhouse gas emissions. Existing studies often assess renewable energy technologies or innovative building solutions in isolation, with limited attention to their combined performance across different residential typologies. This study evaluates the [...] Read more.
Residential buildings in Mediterranean regions remain major contributors to energy consumption and greenhouse gas emissions. Existing studies often assess renewable energy technologies or innovative building solutions in isolation, with limited attention to their combined performance across different residential typologies. This study evaluates the integrated impact of solar renewable energy systems and smart building technologies on the energy performance of residential buildings in Cyprus. A typology-based methodology is applied to three representative residential building types—detached, semi-detached, and apartment buildings—using dynamic energy simulation and scenario analysis. Results show that solar photovoltaic systems achieve higher standalone reductions than solar thermal systems, while smart building technologies significantly enhance operational efficiency and photovoltaic self-consumption. Integrated solar–smart scenarios achieve up to 58% reductions in primary energy demand and 55% reductions in CO2 emissions, and 25–30 percentage-point increases in PV self-consumption, enabling detached and semi-detached houses to approach national nearly zero-energy building (nZEB) performance thresholds. The study provides climate-specific, quantitative evidence supporting integrated solar–smart strategies for Mediterranean residential buildings and offers actionable insights for policy-making, design, and sustainable residential development. Full article
Show Figures

Figure 1

26 pages, 620 KB  
Article
Transport Infrastructure, Economic Expansion, and CO2 Dynamics: The Critical Role of Green Energy Consumption in the United States
by Karzan Ismael, Ali Mohammed Salih, Kamaran Qader Yaqub, Giovanni Tesoriere and Tiziana Campisi
Sustainability 2026, 18(3), 1191; https://doi.org/10.3390/su18031191 - 24 Jan 2026
Viewed by 360
Abstract
This paper examines the nexus between transportation infrastructure, economic growth, and carbon dioxide (CO2) emissions in the United States, with particular emphasis on the moderating role of green energy consumption (GEC). The United States is an economically advanced country with a [...] Read more.
This paper examines the nexus between transportation infrastructure, economic growth, and carbon dioxide (CO2) emissions in the United States, with particular emphasis on the moderating role of green energy consumption (GEC). The United States is an economically advanced country with a well-developed transport infrastructure and sustained economic growth; however, this development has been accompanied by increasing environmental pressures, notably rising CO2 emissions from the transport sector. Drawing on the Environmental Kuznets Curve (EKC) framework, the study investigates whether renewable energy sources—specifically wind, solar, and hydropower—can decouple economic growth from environmental degradation. A Vector Error Correction Model (VECM) was employed to analyze both short-run dynamics and long-run cointegrating relationships among transport infrastructure, economic activity, CO2 emissions, and green energy consumption. The results indicate that relative to fossil-based energy, green energy significantly mitigates the emission-enhancing effects of transport infrastructure expansion and economic growth. These findings underscore the pivotal role of renewable energy in achieving sustainable development. From a policy perspective, the results highlight the importance of integrating green energy into national transport and infrastructure planning. Overall, the study demonstrates that in transport-intensive economies, the expansion of renewable energy does not constrain economic growth but is essential for ensuring its long-term environmental sustainability. Full article
21 pages, 1638 KB  
Review
A Systematic Analysis of Factors Influencing Life Cycle Assessment Outcomes in Aquaponics
by Syed Ejaz Hussain Mehdi, Aparna Sharma, Suleman Shahzad, Sandesh Pandey, Fida Hussain, Woochang Kang and Sang-Eun Oh
Water 2026, 18(3), 301; https://doi.org/10.3390/w18030301 - 23 Jan 2026
Viewed by 190
Abstract
Aquaponic systems are the integration of aquaculture and hydroponic systems to enhance productivity, reduce land use, and improve sustainability. This review focused on commonly used life cycle assessment (LCA) methodologies, system boundaries, and functional units used in aquaponics, standard impact categories, and identified [...] Read more.
Aquaponic systems are the integration of aquaculture and hydroponic systems to enhance productivity, reduce land use, and improve sustainability. This review focused on commonly used life cycle assessment (LCA) methodologies, system boundaries, and functional units used in aquaponics, standard impact categories, and identified hotspots. The scope is worldwide and encompasses a variety of aquaponic designs, fish species, and crops, illustrating the diversity of the systems examined. The analysis indicates that aquaponics provides the considerable environmental advantages of decreased fertilizer consumption and water conservation in comparison with aquaculture and hydroponic system. However, aquaponics systems are characterized by high energy consumption and may produce greater greenhouse gas (GHG) emissions compared to traditional farming methods when reliant on fossil fuel energy sources. Studies show that fish feed production, system infrastructure, and electricity usage for pumps, lights, heating, and other controls are hotspots. Harmonized comparisons of previous studies show methodological differences, especially in fish–plant co-production. Despite these variations, most believe that energy efficiency, renewable energy, feed optimization, and waste reuse may make aquaponics more sustainable. The study recommends the inclusion of broader environmental and social impacts. Also, future focus might be on making a standard functional unit or specifying system boundaries which might provide different accurate outcomes. Full article
(This article belongs to the Special Issue Advanced Water Management for Sustainable Aquaculture)
Show Figures

Figure 1

22 pages, 4631 KB  
Article
Smart Cities in the Roadmap Towards Decarbonization: An Example of a Solar Energy Community at Low CO2 Emissions
by Marco Gambini, Greta Magnolia, Ginevra Romagnoli and Michela Vellini
Energies 2026, 19(3), 594; https://doi.org/10.3390/en19030594 - 23 Jan 2026
Viewed by 103
Abstract
This paper presents a comprehensive analysis of different energy system configurations for Energy Communities (ECs) supplied by multiple renewable-based technologies, with a specific focus on solar solutions in the Mediterranean region. The authors have studied and then proposed the optimal aggregation of different [...] Read more.
This paper presents a comprehensive analysis of different energy system configurations for Energy Communities (ECs) supplied by multiple renewable-based technologies, with a specific focus on solar solutions in the Mediterranean region. The authors have studied and then proposed the optimal aggregation of different end-user loads within possible energy system configurations (identifying the most adequate combination of prosumers, i.e., households, municipality offices, commercial activity, and others) in order to narrow the gap between peak/off-peak demand and renewable energy availability by also integrating energy storage technologies, and in order to pursue a sustainable energy transition in urban contexts proposing smart cities at low CO2 emissions. The study demonstrates that increasing the complexity of the generation mix involves a tangible influence on self-sufficiency and self-consumption, as well as on the mitigation of CO2 emissions. In fact, a more complex system configuration, including heat pumps and energy storage, allows for up to five months of 100% self-sufficiency and almost 100% self-consumption for the entire year. In terms of greenhouse gas emissions, relevant CO2 reduction potential is possible, with up to 50% of CO2 emission reduction, when heat pumps, solar cooling, and energy storage are installed. Full article
Show Figures

Figure 1

29 pages, 2920 KB  
Article
Advancing Energy Flexibility Protocols for Multi-Energy System Integration
by Haihang Chen, Fadi Assad and Konstantinos Salonitis
Energies 2026, 19(3), 588; https://doi.org/10.3390/en19030588 - 23 Jan 2026
Viewed by 185
Abstract
This study investigates the incorporation of a standardised flexibility protocol within a physics-based models to enable controllable demand-side flexibility in residential energy systems. A heating subsystem is developed using MATLAB/Simulink and Simscape, serving as a testbed for protocol-driven control within a Multi-Energy System [...] Read more.
This study investigates the incorporation of a standardised flexibility protocol within a physics-based models to enable controllable demand-side flexibility in residential energy systems. A heating subsystem is developed using MATLAB/Simulink and Simscape, serving as a testbed for protocol-driven control within a Multi-Energy System (MES). A conventional thermostat controller is first established, followed by the implementation of an OpenADR event engine in Stateflow. Simulations conducted under consistent boundary conditions reveal that protocol-enabled control enhances system performance in several respects. It maintains a more stable and pronounced indoor–outdoor temperature differential, thereby improving thermal comfort. It also reduces fuel consumption by curtailing or shifting heat output during demand-response events, while remaining within acceptable comfort limits. Additionally, it improves operational stability by dampening high-frequency fluctuations in mdot_fuel. The resulting co-simulation pipeline offers a modular and reproducible framework for analysing the propagation of grid-level signals to device-level actions. The research contributes a simulation-ready architecture that couples standardised demand-response signalling with a physics-based MES model, alongside quantitative evidence that protocol-compliant actuation can deliver comfort-preserving flexibility in residential heating. The framework is readily extensible to other energy assets, such as cooling systems, electric vehicle charging, and combined heat and power (CHP), and is adaptable to additional protocols, thereby supporting future cross-vector investigations into digitally enabled energy flexibility. Full article
Show Figures

Figure 1

Back to TopTop