Integrated Evaluation of Ship Performance and Emission Reduction in Solid Oxide Fuel Cell–Based Hybrid Marine Systems
Abstract
1. Introduction
2. Literature Review of SOFC-Based Systems
3. Domestic Vessels as Case Studies
4. Methodology and Modeling Framework
4.1. General Modeling Assumptions and Boundary Conditions
- I.
- Vessel operation is decomposed into discrete operating modes, cruise and port, each characterized by a constant duration and energy demand per day.
- II.
- The SOFC is operated under controlled load conditions and is assumed to remain within its safe thermal operating envelope, avoiding rapid load transients.
- III.
- The ICE is responsible for accommodating load fluctuations and transient power demands during cruise mode.
- IV.
- All calculations are performed, assuming steady ambient conditions representative of temperate maritime environments.
- V.
- The analysis focuses on tank-to-propeller emissions and costs; upstream fuel production emissions are excluded.
4.2. Hybrid System Scenarios
4.3. Energy Demand Analysis Approach
4.4. Design Analysis Approach
4.5. Economic Analysis Approach
Uncertainty and Sensitivity Analysis
4.6. Environmental Analysis Approach
5. Results and Discussions
5.1. Energy Demand Analysis Results
Impact of SOFC Degradation on Fuel Consumption
5.2. Design Analysis Results
5.3. Economic Analysis Results
Uncertainty and Sensitivity Analysis of LCOE
5.4. Environmental Analysis Results
6. Conclusions
- The energy analysis demonstrates that increasing the SOFC power share enhances overall system efficiency. The SOFC efficiency in port operations improved to approximately 60% under part-load conditions, while the hybrid system efficiency in cruise mode reached 53.2%. This yielded daily fuel energy reductions of up to 9.1% for the Lake Ferry and 8.9% for the Island Ferry. The integrated degradation model revealed that higher SOFC shares also reduce the relative lifecycle fuel penalty, with cumulative consumption increasing by only 4.3% for the Lake Ferry and 4.8% for the Island Ferry over 25 years compared to a non-degrading baseline.
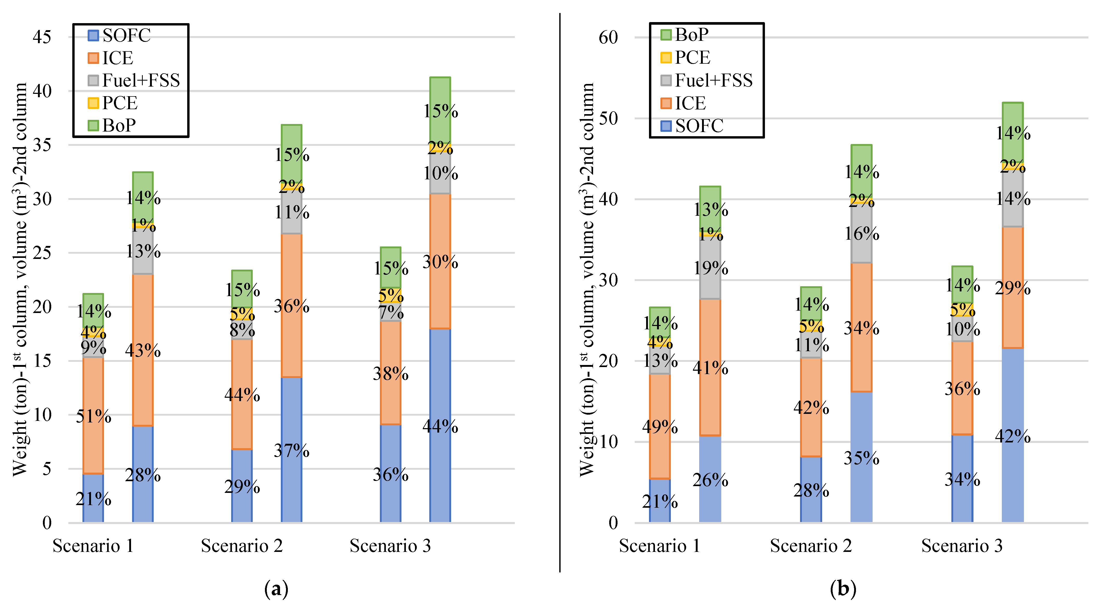
- The design analysis confirms the physical retrofit feasibility of the SOFC-ICE hybrid system, despite increased mass and volume with higher SOFC shares. For the highest integration (Scenario 3, 20% SOFC share), total system weight for the Lake Ferry increases by 20% (19% for the Island Ferry) and volume by 27% (25% for the Island Ferry) compared to Scenario 1 (10% SOFC share), due to the SOFC’s lower power density. Crucially, a quantitative space-claim analysis demonstrated that all scenarios remain within the vessels’ available machinery space, with occupancy ratios of 72–92% for the Lake Ferry and 73–91% for the Island Ferry, confirming that the systems are installable without exceeding spatial constraints.
- Economically, the hybrid system presents a trade-off between high capital investment and operational savings. For the Island Ferry with high utilization, the Levelized Cost of Energy (LCOE) remained competitive (236–248 EUR/MWh) across all scenarios, as fuel savings (VoyEx) partially offset the increased SOFC capital and operational costs. In contrast, the Lake Ferry’s lower operating hours resulted in a higher LCOE (331–373 EUR/MWh), making the economic case more sensitive to the SOFC share.
- The uncertainty analysis revealed a fundamental shift in economic drivers: while fuel price dominates in low-SOFC scenarios, SOFC capital cost becomes the primary sensitivity factor in high-integration cases (20% SOFC share). This highlights that the economic viability of future, deeper decarbonization hinges critically on reducing SOFC costs.
- The SOFC-ICE hybrid system delivers substantial emission reductions, positioning it as a viable transitional decarbonization technology. Compared to conventional MDO-ICE, the system achieves annual CO2 reductions of 46–51% and NOx reductions of 51–62%, with port-area NOx eliminated entirely. It also outperforms modern LNG-ICE, providing CO2 reductions of 4.5–14% and NOx reductions of 15–35%. These reductions already meet and exceed the IMO’s 2030 GHG reduction targets, with potential for further improvement as SOFC technology matures and higher power shares become feasible.
Author Contributions
Funding
Data Availability Statement
Conflicts of Interest
Abbreviations
| AC | Alternative current |
| AFR | Air-Fuel Ratio |
| AOG | Anode-off gas |
| APU | Auxiliary Power Unit |
| BoP | Balance of Plant |
| CapEx | Capital expenses |
| CO | Carbon monoxide |
| CO2 | Carbon dioxide |
| DC | Direct current |
| EEA | European Economic Area |
| EU | European Union |
| FSS | Fuel storage system |
| GHG | Greenhouse gases |
| GT | Gas turbine |
| HCCI | Homogeneous charge compression ignition |
| HSS | Hybrid system scenario |
| ICE | Internal Combustion Engine |
| IMO | International Marine Organization |
| LCOE | Levelized cost of energy |
| LNG | Liquefied natural gas |
| mGT | Micro–Gas Turbine |
| MRV | Monitoring, reporting, and verification |
| NOx | Nitrogen oxides |
| OpEx | Operational expenses |
| PCE | Power conditioning equipment |
| PM | Particulate matter |
| PTI | Power take-in |
| PTO | Power take-off |
| Ro-Ro | Roll-on, Roll-off |
| SI | Spark ignition |
| SO2 | Sulfur dioxide |
| SOFC | Solid Oxide Fuel Cell |
| SOx | Sulfur oxides |
| ST | Steam turbine |
| VFD | Variable frequency drives |
| VoyEx | Voyage expenses |
References
- UNCTAD. Review of Maritime Transport 2024: Navigating Maritime Chokepoints; United Nations: New York, NY, USA, 2024; ISBN 9789210032063. [Google Scholar]
- Elkafas, A.G.; Seddiek, I.S. Application of Renewable Energy Systems in Seaports towards Sustainability and Decarbonization: Energy, Environmental and Economic Assessment. Renew. Energy 2024, 228, 120690. [Google Scholar] [CrossRef]
- EMSA. European Maritime Transport Environmental Report 2021; EMSA: Luxembourg, 2021. [Google Scholar]
- Eurostat Maritime Vessel Traffic. Available online: https://ec.europa.eu/eurostat/web/experimental-statistics/maritime-vessel-traffic (accessed on 21 December 2024).
- Eurostat EU. Ports Handled 3.4 Billion Tonnes of Freight in 2023. Available online: https://ec.europa.eu/eurostat/web/products-eurostat-news/w/ddn-20241126-1 (accessed on 21 December 2024).
- European Commission. Reducing Emissions from the Shipping Sector. Available online: https://climate.ec.europa.eu/eu-action/transport-emissions/reducing-emissions-shipping-sector_en#studies (accessed on 7 June 2023).
- EEA. National Emissions Reported to the UNFCCC and to the EU Under the Governance Regulation, April 2024; European Environment Agency: Copenhagen, Denmark, 2024. [Google Scholar] [CrossRef]
- EC. 2023 Report from the European Commission on CO2 Emissions from Maritime Transport; EC: Brussels, Belgium, 2023. [Google Scholar]
- EEA. Air Pollutant Emissions Data Viewer (Gothenburg Protocol, Air Convention) 1990–2022. Available online: https://www.eea.europa.eu/en/topics/in-depth/air-pollution/air-pollutant-emissions-data-viewer-1990-2022 (accessed on 22 December 2024).
- Elkafas, A.G. Thermodynamic Analysis and Economic Assessment of Organic Rankine Cycle Integrated with Thermoelectric Generator Onboard Container Ship. Processes 2024, 12, 355. [Google Scholar] [CrossRef]
- van Biert, L.; Godjevac, M.; Visser, K.; Aravind, P.V. A Review of Fuel Cell Systems for Maritime Applications. J. Power Sources 2016, 327, 345–364. [Google Scholar] [CrossRef]
- Salogni, A.; Colonna, P. Modeling of Solid Oxide Fuel Cells for Dynamic Simulations of Integrated Systems. Appl. Therm. Eng. 2010, 30, 464–477. [Google Scholar] [CrossRef]
- Kang, S.; Ahn, K.-Y. Dynamic Modeling of Solid Oxide Fuel Cell and Engine Hybrid System for Distributed Power Generation. Appl. Energy 2017, 195, 1086–1099. [Google Scholar] [CrossRef]
- Elkafas, A.G.; Rivarolo, M.; Gadducci, E.; Magistri, L.; Massardo, A.F. Fuel Cell Systems for Maritime: A Review of Research Development, Commercial Products, Applications, and Perspectives. Processes 2023, 11, 97. [Google Scholar] [CrossRef]
- Baldi, F.; Moret, S.; Tammi, K.; Maréchal, F. The Role of Solid Oxide Fuel Cells in Future Ship Energy Systems. Energy 2020, 194, 116811. [Google Scholar] [CrossRef]
- Azizi, M.A.; Brouwer, J. Progress in Solid Oxide Fuel Cell-Gas Turbine Hybrid Power Systems: System Design and Analysis, Transient Operation, Controls and Optimization. Appl. Energy 2018, 215, 237–289. [Google Scholar] [CrossRef]
- Chen, J.; Li, J.; Zhou, D.; Zhang, H.; Weng, S. Control Strategy Design for a SOFC-GT Hybrid System Equipped with Anode and Cathode Recirculation Ejectors. Appl. Therm. Eng. 2018, 132, 67–79. [Google Scholar] [CrossRef]
- Kumar Yadav, A.; Sinha, S.; Kumar, A. Comprehensive Review on Performance Assessment of Solid Oxide Fuel Cell-Based Hybrid Power Generation System. Therm. Sci. Eng. Prog. 2023, 46, 102226. [Google Scholar] [CrossRef]
- van Biert, L.; Woudstra, T.; Godjevac, M.; Visser, K.; Aravind, P.V. A Thermodynamic Comparison of Solid Oxide Fuel Cell-Combined Cycles. J. Power Sources 2018, 397, 382–396. [Google Scholar] [CrossRef]
- Chuahy, F.D.; Kokjohn, S.L. Solid Oxide Fuel Cell and Advanced Combustion Engine Combined Cycle: A Pathway to 70% Electrical Efficiency. Appl. Energy 2019, 235, 391–408. [Google Scholar] [CrossRef]
- Chan, S.H.; Ho, H.K.; Tian, Y. Modelling for Part-Load Operation of Solid Oxide Fuel Cell–Gas Turbine Hybrid Power Plant. J. Power Sources 2003, 114, 213–227. [Google Scholar] [CrossRef]
- Wartsila Combustion Engine vs. Aeroderivative Gas Turbine: Greenhouse Gas Emissions. Available online: https://www.wartsila.com/energy/learn-more/technology-comparison-engine-vs-aero/greenhouse-gas-emissions (accessed on 1 October 2023).
- Wartsila Combustion Engine vs. Aeroderivative Gas Turbine: Six Elements of Dispatching. Available online: https://www.wartsila.com/energy/learn-more/technology-comparison-engines-vs-aeros/six-elements-of-dispatching (accessed on 25 December 2024).
- Wu, Z.; Tan, P.; Zhu, P.; Cai, W.; Chen, B.; Yang, F.; Zhang, Z.; Porpatham, E.; Ni, M. Performance Analysis of a Novel SOFC-HCCI Engine Hybrid System Coupled with Metal Hydride Reactor for H2 Addition by Waste Heat Recovery. Energy Convers. Manag. 2019, 191, 119–131. [Google Scholar] [CrossRef]
- Choi, W.; Kim, J.; Kim, Y.; Song, H.H. Solid Oxide Fuel Cell Operation in a Solid Oxide Fuel Cell–Internal Combustion Engine Hybrid System and the Design Point Performance of the Hybrid System. Appl. Energy 2019, 254, 113681. [Google Scholar] [CrossRef]
- Park, S.H.; Lee, Y.D.; Ahn, K.Y. Performance Analysis of an SOFC/HCCI Engine Hybrid System: System Simulation and Thermo-Economic Comparison. Int. J. Hydrogen Energy 2014, 39, 1799–1810. [Google Scholar] [CrossRef]
- Kim, J.; Kim, Y.; Choi, W.; Ahn, K.Y.; Song, H.H. Analysis on the Operating Performance of 5-KW Class Solid Oxide Fuel Cell-Internal Combustion Engine Hybrid System Using Spark-Assisted Ignition. Appl. Energy 2020, 260, 114231. [Google Scholar] [CrossRef]
- Ran, Z.; Assanis, D.; Hariharan, D.; Mamalis, S. Experimental Study of Spark-Ignition Combustion Using the Anode Off-Gas from a Solid Oxide Fuel Cell. In Proceedings of the WCX SAE World Congress Experience, SAE International, Online, 16–18 June 2020. SAE Technical Paper. [Google Scholar]
- Braun, R.; Floerchinger, G.; Wahlstrom, D.; Sullivan, N.P.; Vincent, T.; Danforth, R.; Bandhauer, T.; Olsen, D.; Windom, B. Development of a High-Efficiency, Low-Cost Hybrid SOFC/Internal Combustion Engine Power Generator. ECS Trans. 2021, 103, 221–230. [Google Scholar] [CrossRef]
- Ran, Z.; Longtin, J.; Assanis, D. Investigating Anode Off-Gas under Spark-Ignition Combustion for SOFC-ICE Hybrid Systems. Int. J. Engine Res. 2022, 23, 830–845. [Google Scholar] [CrossRef]
- Sapra, H.; Stam, J.; Reurings, J.; van Biert, L.; van Sluijs, W.; de Vos, P.; Visser, K.; Vellayani, A.P.; Hopman, H. Integration of Solid Oxide Fuel Cell and Internal Combustion Engine for Maritime Applications. Appl. Energy 2021, 281, 115854. [Google Scholar] [CrossRef]
- Elkafas, A.G.; Barberis, S.; Rivarolo, M. Thermodynamic Analysis for SOFC/ICE Integration in Hybrid Systems for Maritime Application. E3S Web Conf. 2023, 414, 02002. [Google Scholar] [CrossRef]
- Bergen C26:33L-Natural Gas Medium Speed Propulsion Engine. Available online: https://www.bergenengines.com/wp-content/uploads/2023/11/C26-33-Propulsion_v2.pdf (accessed on 1 February 2024).
- Wärtsilä 20DF Dual Fuel Marine Engine. Available online: https://www.wartsila.com/marine/products/engines-and-generating-sets/dual-fuel-engines/wartsila-20df (accessed on 20 March 2024).
- Caterpillar Commercial Engines 3512E TIER 4/IMO III. Available online: https://www.cat.com/it_IT/products/new/power-systems/marine-power-systems/commercial-propulsion-engines/1000031003.html (accessed on 18 March 2024).
- Ma, Y.; Wang, Z.; Yu, S.; Han, F.; Ji, Y.; Cai, W. Design and Simulation of Ammonia-Fueled SOFC-ICE Hybrid Power System for Ship Application. In Proceedings of the 2022 IEEE 7th International Conference on Power and Renewable Energy, ICPRE 2022, Shanghai, China, 23–26 September 2022; pp. 772–777. [Google Scholar] [CrossRef]
- Kokjohn, S. An Integrated High Pressure SOFC and Premixed Compression Ignition (PCI) Engine System; University of Wisconsin: Madison, WI, USA, 2021. [Google Scholar]
- Elkafas, A.G.; Mantelli, L.; Barberis, S.; Rivarolo, M. Design Performance Analysis of a Turbocharged Solid Oxide Fuel Cell Integrated with Internal Combustion Engine for Maritime Applications. Appl. Therm. Eng. 2025, 272, 126335. [Google Scholar] [CrossRef]
- Navigazione Laghi Motonave Serie “Tonale”. Available online: https://www.navigazionelaghi.it/en/fleet/motonave-serie-tonale/ (accessed on 1 October 2023).
- Marine Traffic ANNA MUR. Available online: https://www.marinetraffic.com/en/ais/details/ships/shipid:190580/mmsi:247352700/imo:8120569/vessel:ANNA_MUR (accessed on 1 February 2024).
- Clean Hydrogen JU. Strategic Research and Innovation Agenda (SRIA) 2021–2027. Agenda 2022, 2021, 2027. Available online: https://www.clean-hydrogen.europa.eu/about-us/key-documents/strategic-research-and-innovation-agenda_en (accessed on 23 September 2025).
- Meng, X.; Sun, C.; Mei, J.; Tang, X.; Hasanien, H.M.; Jiang, J.; Fan, F.; Song, K. Fuel Cell Life Prediction Considering the Recovery Phenomenon of Reversible Voltage Loss. J. Power Sources 2025, 625, 235634. [Google Scholar] [CrossRef]
- Meng, X.; Liu, M.; Mei, J.; Li, X.; Grigoriev, S.; Hasanien, H.M.; Tang, X.; Li, R.; Sun, C. Polarization Loss Decomposition-Based Online Health State Estimation for Proton Exchange Membrane Fuel Cells. Int. J. Hydrogen Energy 2025, 157, 150162. [Google Scholar] [CrossRef]
- Elkafas, A.G.; Rivarolo, M.; Barberis, S.; Massardo, A.F. Feasibility Assessment of Alternative Clean Power Systems Onboard Passenger Short-Distance Ferry. J. Mar. Sci. Eng. 2023, 11, 1735. [Google Scholar] [CrossRef]
- BloomEnergy The Bloom Energy Server 5. Available online: https://www.bloomenergy.com/resource/bloom-energy-server/ (accessed on 4 June 2023).
- Foripower DC/DC Converter. Available online: https://www.foripower.com/index_84.aspx?lcoid=84 (accessed on 15 July 2023).
- ABB. ABB Drive Architecture. Available online: https://new.abb.com/drives/it/convertitori-di-frequenza-in-bassa-tensione/industrial-drives/acs880-single-drive/acs880-01 (accessed on 21 December 2024).
- ABB. Process Performance Induction Motors. Available online: https://www.abb.com/global/en/areas/motion/motors-generators/low-voltage-motors/iec-low-voltage-motors/process-performance-motors/process-performance-induction-motors (accessed on 21 December 2024).
- Rivarolo, M.; Rattazzi, D.; Magistri, L.; Massardo, A.F. Multi-Criteria Comparison of Power Generation and Fuel Storage Solutions for Maritime Application. Energy Convers. Manag. 2021, 244, 114506. [Google Scholar] [CrossRef]
- Lindstad, E.; Lagemann, B.; Rialland, A.; Gamlem, G.M.; Valland, A. Reduction of Maritime GHG Emissions and the Potential Role of E-Fuels. Transp. Res. D Transp. Environ. 2021, 101, 103075. [Google Scholar] [CrossRef]
- Korberg, A.D.; Brynolf, S.; Grahn, M.; Skov, I.R. Techno-Economic Assessment of Advanced Fuels and Propulsion Systems in Future Fossil-Free Ships. Renew. Sustain. Energy Rev. 2021, 142, 110861. [Google Scholar] [CrossRef]
- Kanchiralla, F.M.; Brynolf, S.; Malmgren, E.; Hansson, J.; Grahn, M. Life-Cycle Assessment and Costing of Fuels and Propulsion Systems in Future Fossil-Free Shipping. Environ. Sci. Technol. 2022, 56, 12517–12531. [Google Scholar] [CrossRef]
- Baldi, F.; Brynolf, S.; Maréchal, F. The Cost of Innovative and Sustainable Future Ship Energy Systems. In Proceedings of the 32nd International Conference on Efficiency, Cost, Optimization, Simulation and Environmental Impact of Energy Systems, Wroclaw, Poland, 23–28 June 2019. [Google Scholar]
- Lee, Y.D.; Ahn, K.Y.; Morosuk, T.; Tsatsaronis, G. Exergetic and Exergoeconomic Evaluation of an SOFC-Engine Hybrid Power Generation System. Energy 2018, 145, 810–822. [Google Scholar] [CrossRef]
- Kim, K.; Park, K.; Roh, G.; Choung, C.; Kwag, K.; Kim, W. Proposal of Zero-Emission Tug in South Korea Using Fuel Cell/Energy Storage System: Economic and Environmental Long-Term Impacts. J. Mar. Sci. Eng. 2023, 11, 540. [Google Scholar] [CrossRef]
- Kistner, L.; Schubert, F.L.; Minke, C.; Bensmann, A.; Hanke-Rauschenbach, R. Techno-Economic and Environmental Comparison of Internal Combustion Engines and Solid Oxide Fuel Cells for Ship Applications. J. Power Sources 2021, 508, 230328. [Google Scholar] [CrossRef]
- Mærsk Mc-Kinney Møller Center Fuel Cost Calculator Tool. Available online: https://www.zerocarbonshipping.com/cost-calculator/?s=0 (accessed on 27 October 2024).
- Convion Convion SOFC System–Official Website. Available online: https://convion.fi/products/ (accessed on 24 February 2024).
- IMO. 2023 IMO Strategy on Reduction of GHG Emissions from Ships. 2023. Available online: https://www.imo.org/en/ourwork/environment/pages/2023-imo-strategy-on-reduction-of-ghg-emissions-from-ships.aspx (accessed on 27 October 2024).
















| Parameter | Unit | Lake Ferry | Island Ferry |
|---|---|---|---|
| Navigation Route | (-) | Lake Garda | San Pietro–Sardinia Island |
| Length–Breadth–Depth | (m) | 54–10.8–2.34 | 77–17.2–4.53 |
| Carrying capacity | (-) | 1000 passengers + 48 cars | 771 passengers + 142 cars |
| Displacement | (ton) | 558 | 1994 |
| Maximum service speed | (knots) | 9.7 | 11.5 |
| Annual operational hours | (hours) | 2188 | 8640 |
| Available Machinery space | (m3) | 45 | 57 |
| Scenario Number | SOFC Modules | Load % (SOFC-ICE) | Lake Ferry | Island Ferry |
|---|---|---|---|---|
| Power (kW) | Power (kW) | |||
| 1 | 2 | 10–90% | 100–900 | 120–1080 |
| 2 | 3 | 15–85% | 150–850 | 180–1020 |
| 3 | 4 | 20–80% | 200–800 | 240–960 |
| Component | Product Reference | Gravimetric Density (kW/ton) | Volumetric Density (kW/m3) | Ref. |
|---|---|---|---|---|
| ICE | Bergen C26:33L6PG | 91.43 | 70.10 | [33] |
| SOFC | Bloom Energy | 21.96 | 11.1 | [45] |
| Converter-Inverter | Foripower | 5128 | 9936 | [46] |
| DC cabinet | ABB ACS880 | 1041.67 | 549.72 | [47] |
| PTO/PTI motor | ABB M3BP 500LA 4 | 1864.4 | 389.6 | [48] |
| Component | CapEx Factor (EUR/kW) | OpEx Factor (% of CapEx/year) | Ref. |
|---|---|---|---|
| ICE | 600 | 2% | [50] |
| SOFC | 5000 | 2% | [41] |
| PTI/PTO motor | 250 | 1% | [51] |
| VFD | 120 | 1% | [52] |
| Converter/inverter | 120 | 1% | [52] |
| LNG reformer | 370 | - | [53] |
| Parameter | Symbol | Baseline Value | Probabilistic Range |
|---|---|---|---|
| SOFC CapEx | 5000 EUR/kW | 3000–7000 EUR/kW | |
| SOFC Stack Lifetime | 40,000 h | 30,000–50,000 h | |
| LNG Fuel Price | 24.1 EUR/GJ | 18.1–30.1 EUR/GJ | |
| Degradation rate | dSOFC | 0.25%/kh | 0.125–0.5%/kh |
| Vessel | Scenario | Year 1 (BoL) | Year 8 | Year 16 | Year 25 (EoL) | Cumulative Increase |
|---|---|---|---|---|---|---|
| Lake Ferry | S1 | 2601 | 2714 | 2855 | 2680 | 4.76% |
| S2 | 2479 | 2581 | 2709 | 2551 | 4.52% | |
| S3 | 2363 | 2456 | 2573 | 2429 | 4.31% | |
| Island Ferry | S1 | 8055 | 8468 | 8055 * | 8928 | 5.28% |
| S2 | 7646 | 8015 | 7646 * | 8423 | 4.95% | |
| S3 | 7337 | 7680 | 7337 * | 8058 | 4.79% |
Disclaimer/Publisher’s Note: The statements, opinions and data contained in all publications are solely those of the individual author(s) and contributor(s) and not of MDPI and/or the editor(s). MDPI and/or the editor(s) disclaim responsibility for any injury to people or property resulting from any ideas, methods, instructions or products referred to in the content. |
© 2026 by the authors. Licensee MDPI, Basel, Switzerland. This article is an open access article distributed under the terms and conditions of the Creative Commons Attribution (CC BY) license.
Share and Cite
Elkafas, A.G.; Attar, H.M. Integrated Evaluation of Ship Performance and Emission Reduction in Solid Oxide Fuel Cell–Based Hybrid Marine Systems. J. Mar. Sci. Eng. 2026, 14, 255. https://doi.org/10.3390/jmse14030255
Elkafas AG, Attar HM. Integrated Evaluation of Ship Performance and Emission Reduction in Solid Oxide Fuel Cell–Based Hybrid Marine Systems. Journal of Marine Science and Engineering. 2026; 14(3):255. https://doi.org/10.3390/jmse14030255
Chicago/Turabian StyleElkafas, Ahmed G., and Hassan M. Attar. 2026. "Integrated Evaluation of Ship Performance and Emission Reduction in Solid Oxide Fuel Cell–Based Hybrid Marine Systems" Journal of Marine Science and Engineering 14, no. 3: 255. https://doi.org/10.3390/jmse14030255
APA StyleElkafas, A. G., & Attar, H. M. (2026). Integrated Evaluation of Ship Performance and Emission Reduction in Solid Oxide Fuel Cell–Based Hybrid Marine Systems. Journal of Marine Science and Engineering, 14(3), 255. https://doi.org/10.3390/jmse14030255

