Sign in to use this feature.

Years

Between: -

Subjects

remove_circle_outline
remove_circle_outline
remove_circle_outline
remove_circle_outline
remove_circle_outline
remove_circle_outline
remove_circle_outline
remove_circle_outline
remove_circle_outline

Journals

Article Types

Countries / Regions

Search Results (14)

Search Parameters:
Keywords = CF-PU

Order results
Result details
Results per page
Select all
Export citation of selected articles as:
28 pages, 8057 KB  
Article
Multicriteria Decision Analysis of the Influence of Natural Fibers on the Flexibility of Renewable Polyurethane Composites
by Edivane Cardoso, Viviane Escócio, Carlos Infante and Elen Pacheco
Materials 2025, 18(7), 1610; https://doi.org/10.3390/ma18071610 - 2 Apr 2025
Viewed by 878
Abstract
Renewable polyurethane (PU) composites were developed using castor oil and long coir (LCF), ground coir (GCF) or cellulose fiber (CF) at PU/fiber ratios of 50/50, 60/40 and 70/30 wt/wt%, respectively. The aim was to study the influence of natural fibers on composite flexibility [...] Read more.
Renewable polyurethane (PU) composites were developed using castor oil and long coir (LCF), ground coir (GCF) or cellulose fiber (CF) at PU/fiber ratios of 50/50, 60/40 and 70/30 wt/wt%, respectively. The aim was to study the influence of natural fibers on composite flexibility via thermogravimetry, differential scanning calorimetry, scanning electron microscopy and water absorption, density, tensile strength, flexural and flammability tests. The set of properties was evaluated (1) subjectively by assigning importance values to the different properties and (2) via multicriteria decision analysis (MCDA). In general, the PU composites with cellulose fiber (PU/CF) exhibited higher thermal degradation temperatures, greater tensile moduli and toughness and less flammability. The composites with the best results for both analysis methods (property set analysis) were PU/CF:60/40 wt/wt% and 70/30 wt/wt%, obtained with cellulose fiber (low lignin content) and the highest PU percentage; these were the most suitable for applications that require flexibility, such as in interior design. When comparing the different coir fiber sizes, the composites containing more long coir fiber (PU/LCF 60/40 wt/wt% and 70/30 wt/wt%) presented the best results. The results of subjective property set analysis were validated using multicriteria analysis, resulting in a simple analysis for application. Full article
Show Figures

Figure 1

15 pages, 3412 KB  
Article
New Cyclam-Based Fe(III) Complexes Coatings Targeting Cobetia marina Biofilms
by Fábio M. Carvalho, Luciana C. Gomes, Rita Teixeira-Santos, Ana P. Carapeto, Filipe J. Mergulhão, Stephanie Almada, Elisabete R. Silva and Luis G. Alves
Molecules 2025, 30(4), 917; https://doi.org/10.3390/molecules30040917 - 16 Feb 2025
Viewed by 1303
Abstract
Recent research efforts to mitigate the burden of biofouling in marine environments have focused on the development of environmentally friendly coatings that can provide long-lasting protective effects. In this study, the antifouling performance of novel polyurethane (PU)-based coatings containing cyclam-based Fe(III) complexes against [...] Read more.
Recent research efforts to mitigate the burden of biofouling in marine environments have focused on the development of environmentally friendly coatings that can provide long-lasting protective effects. In this study, the antifouling performance of novel polyurethane (PU)-based coatings containing cyclam-based Fe(III) complexes against Cobetia marina biofilm formation was investigated. Biofilm assays were performed over 42 days under controlled hydrodynamic conditions that mimicked marine environments. Colony-forming units (CFU) determination and flow cytometric (FC) analysis showed that PU-coated surfaces incorporating 1 wt.% of complexes with formula [{R2(4-CF3PhCH2)2Cyclam}FeCl2]Cl (R = H, HOCH2CH2CH2) significantly reduced both culturable and total cells of C. marina biofilms up to 50% (R = H) and 38% (R = HOCH2CH2CH2) compared to PU-coated surface without complexes (control surface). The biofilm architecture was further analyzed using Optical Coherence Tomography (OCT), which showed that biofilms formed on the PU-coated surfaces containing cyclam-based Fe(III) complexes exhibited a significantly reduced thickness (58–61% reduction), biovolume (50–60% reduction), porosity (95–97% reduction), and contour coefficient (77% reduction) compared to the control surface, demonstrating a more uniform and compact structure. These findings were also supported by Confocal Laser Scanning Microscopy (CLSM) images, which showed a decrease in biofilm surface coverage on PU-coated surfaces containing cyclam-based Fe(III) complexes. Moreover, FC analysis revealed that exposure to PU-coated surfaces increases bacterial metabolic activity and induces ROS production. These results underscore the potential of these complexes to incorporate PU-coated surfaces as bioactive additives in coatings to effectively deter long-term bacterial colonization in marine environments, thereby addressing biofouling-related challenges. Full article
Show Figures

Figure 1

30 pages, 14513 KB  
Review
Synthesis, Structure, Properties, and Applications of Fluorinated Polyurethane
by Donghan Li, Lu Yu, Zhan Lu, Hailan Kang, Long Li, Shufa Zhao, Ning Shi and Shibo You
Polymers 2024, 16(7), 959; https://doi.org/10.3390/polym16070959 - 1 Apr 2024
Cited by 18 | Viewed by 7298
Abstract
Fluorinated polyurethane (FPU) is a new kind of polyurethane (PU) material with great applicational potential, which is attributed to its high bond energy C-F bonds. Its unique low surface energy, excellent thermal stability, and chemical stability have attracted considerable research attention. FPU with [...] Read more.
Fluorinated polyurethane (FPU) is a new kind of polyurethane (PU) material with great applicational potential, which is attributed to its high bond energy C-F bonds. Its unique low surface energy, excellent thermal stability, and chemical stability have attracted considerable research attention. FPU with targeted performance can be precisely synthesized through designing fluorochemicals as hard segments, soft segments, or additives and changes to the production process to satisfy the needs of coatings, clothing textiles, and the aerospace and biomedical industries for materials that are hydrophobic and that are resistant to weathering, heat, and flames and that have good biocompatibility. Here, the synthesis, structure, properties, and applications of FPU are comprehensively reviewed. The aims of this research are to shed light on the design scheme, synthesis method, structure, and properties of FPU synthesized from different kinds of fluorochemicals and their applications in different fields and the prospects for the future development of FPU. Full article
Show Figures

Figure 1

16 pages, 1876 KB  
Article
Aircraft Wing Design for Extended Hybrid Laminar Flow Control
by Lennart Lobitz, Hendrik Traub, Mats Overbeck, Maximilian Bień, Sebastian Heimbs, Christian Hühne, Jens Friedrichs and Peter Horst
Aerospace 2023, 10(11), 938; https://doi.org/10.3390/aerospace10110938 - 2 Nov 2023
Cited by 9 | Viewed by 5027
Abstract
Laminar flow offers significant potential for increasing the energy-efficiency of future transport aircraft. The German Cluster of Excellence SE2A is developing a new approach for hybrid laminar flow control. The concept aims to maintain laminar flow up to 80% of the [...] Read more.
Laminar flow offers significant potential for increasing the energy-efficiency of future transport aircraft. The German Cluster of Excellence SE2A is developing a new approach for hybrid laminar flow control. The concept aims to maintain laminar flow up to 80% of the chord length by integrating suction panels at the rear part of the wing, which consist of a thin suction skin and a supporting core structure. This study examines effects of various suction panel configurations on wing mass and load transfer for an all-electric short-range aircraft. Suction panel material, as well as thickness and relative density of the suction panel core are modified in meaningful boundaries. Suction panels made from Ti6Al4V offer the most robust design resulting in a significant increase in wing mass. For the studied configurations, they represent up to 33.8% of the mass of the wingbox. In contrast, panels made from Nylon11CF or PU1000 do not significantly increase the wing mass. However, the use of these materials raises questions about their robustness under operational conditions. The results demonstrate that the choice of material strongly influences the load path within the wing structure. Ti6Al4V suction panels provide sufficient mechanical properties to significantly contribute to load transfer and buckling stiffness. Locally, the share of load transfer attributed to the suction panel exceeds 50%. In contrast, compliant materials such as Nylon11CF or PU1000 are inherently decoupled from load transfer. Unlike the thickness of the suction skin, the relative density of the core structure strongly affects the wrinkling stiffness. However, wrinkling failure did not appear critical for the examined suction panel configurations. In the present study, the mechanical properties of Ti6Al4V cannot fully be exploited. Therefore, compliant suction panels made from Nylon11CF are preferred in order to achieve a lightweight solution, provided that they meet operational requirements. Full article
(This article belongs to the Special Issue Flow Control and Drag Reduction)
Show Figures

Figure 1

21 pages, 9829 KB  
Article
Ethiopian Bamboo Fiber Aging Process and Reinforcement: Advancing Mechanical Properties of Bamboo Fiber-Epoxy Composites for Automobile Applications
by Yalew Dessalegn, Balkeshwar Singh, Barisso Bino Safayo, Mohammed Jameel, Nazia Hossain, Ahmad Rashedi and Gulam Mohammed Sayeed Ahmed
J. Compos. Sci. 2023, 7(9), 375; https://doi.org/10.3390/jcs7090375 - 7 Sep 2023
Cited by 3 | Viewed by 2390
Abstract
The purpose of this paper is to evaluate the properties of Ethiopian bamboo fibre polymer composites as headliners in the automobile industry. Bamboo fibres are developed using the roll milling technique, and bamboo fibre epoxy composites (BFEPCS) are developed using a compression mould [...] Read more.
The purpose of this paper is to evaluate the properties of Ethiopian bamboo fibre polymer composites as headliners in the automobile industry. Bamboo fibres are developed using the roll milling technique, and bamboo fibre epoxy composites (BFEPCS) are developed using a compression mould and a hot press machine. The mechanical properties are measured based on the recommended procedure of the ASTM. In total, 40% of the volume fraction of fibres is used to produce polymer composites. An accurate evaluation of its mechanical properties is thus critical for predicting its behaviour during a vehicle’s interior impact assessment. Conventional headliner materials are heavier, non-biodegradable, expensive, and non-sustainable during processing compared to the currently researched materials. Three representatives of bamboo plants are harvested in three regions of bamboo species, three groups of ages, and two harvesting months. Two-year-old bamboo fibres have the highest mechanical properties of all ages, and November has a higher mechanical properties compared to February. Inji-bara and Kom-bolcha have the highest and lowest mechanical properties, respectively. BFEPCs have high mechanical properties compared to BFPPCs. The mechanical properties of the current research findings have higher measured values compared to Jute felt PU, CFPU, GFMPU, BFPP, BFEP, PP foam, and TPU. The flexural strength of BFPCs has higher properties compared to their tensile strength. Ethiopian bamboo fibres and their polymer composites have the best mechanical properties for the composite industry, which is used for headliner materials in the automobile industry, compared to conventional headliner materials. Full article
(This article belongs to the Special Issue Polymer Composites and Fibers, Volume II)
Show Figures

Figure 1

16 pages, 503 KB  
Article
Optimized Statistical Beamforming for Cooperative Spectrum Sensing in Cognitive Radio Networks
by Ubaid M. Al-Saggaf, Jawwad Ahmad, Mohammed A. Alrefaei and Muhammad Moinuddin
Mathematics 2023, 11(16), 3533; https://doi.org/10.3390/math11163533 - 16 Aug 2023
Cited by 5 | Viewed by 1741
Abstract
In cognitive radio (CR), cooperative spectrum sensing (CSS) employs a fusion of multiple decisions from various secondary user (SU) nodes at a central fusion center (FC) to detect spectral holes not utilized by the primary user (PU). The energy detector (ED) is a [...] Read more.
In cognitive radio (CR), cooperative spectrum sensing (CSS) employs a fusion of multiple decisions from various secondary user (SU) nodes at a central fusion center (FC) to detect spectral holes not utilized by the primary user (PU). The energy detector (ED) is a well-established technique of spectrum sensing (SS). However, a major challenge in designing an energy detector-based SS is the requirement of correct knowledge for the distribution of decision statistics. Usually, the Gaussian assumption is employed for the received statistics, which is not true in real practice, particularly with a limited number of samples. Another big challenge in the CSS task is choosing an optimal fusion strategy. To tackle these issues, we have proposed a beamforming-assisted ED with a heuristic-optimized CSS technique that utilizes a more accurate distribution of decision statistics by employing the characterization of the indefinite quadratic form (IQF). Two heuristic algorithms, genetic algorithm with multi-parent crossover (GA-MPC) and constriction factor particle swarm-based optimization (CF-PSO), are developed to design optimum beamforming and optimum fusion weights that can maximize the global probability of detection pd while constraining the global probability of false alarm pf to below a required level. The simulation results are presented to validate the theoretical findings and to asses the performance of the proposed algorithm. Full article
(This article belongs to the Section E2: Control Theory and Mechanics)
Show Figures

Figure 1

20 pages, 19760 KB  
Article
Experimental Investigation of the CFS-PU Composite Wall Panel under Axial Compression
by Antonio Bakran, Paulina Krolo, Lazar Lukačević and Ivan Palijan
Buildings 2023, 13(8), 1897; https://doi.org/10.3390/buildings13081897 - 26 Jul 2023
Cited by 1 | Viewed by 4751
Abstract
This study presents an innovative design for a cold-formed steel polyurethane (CFS-PU) composite wall panel, combining a cold-formed steel frame, a polyurethane foam infill, and a gypsum fibreboard sheathing. The foam filling process, in which the foam is injected under pressure, ensures uniform [...] Read more.
This study presents an innovative design for a cold-formed steel polyurethane (CFS-PU) composite wall panel, combining a cold-formed steel frame, a polyurethane foam infill, and a gypsum fibreboard sheathing. The foam filling process, in which the foam is injected under pressure, ensures uniform distribution, bonding, and interaction of all panel components. The aim of the study is to evaluate the behaviour of the CFS-PU composite panels and the influence of the PU foam and sheathing on the performance of the CFS frame structure. For this purpose, a comprehensive test programme was conducted with nine full-scale specimens, including four CFS-F specimens without infill and sheathing and five CFS-PU specimens with infill and sheathing on both sides. The study examined various aspects of the specimens, including failure modes, stability, stiffness, load-bearing capacity, and ductility index. By analysing these parameters, valuable insights were gained into the performance characteristics of the composite wall panels. The load-bearing capacity of the CFS-PU test specimens was improved by 2.34 times and the stiffness by 1.47 times compared to the CFS-F test specimens. The positive results highlight the potential of foam and sheathing in improving the axial compression performance of CFS walls. Full article
(This article belongs to the Special Issue Cold-Formed Steel Structures)
Show Figures

Figure 1

19 pages, 8076 KB  
Article
Design and Performance Analysis of New Multilevel Inverter for PV System
by Rabail Memon, Mukhtiar Ahmed Mahar, Abdul Sattar Larik and Syed Asif Ali Shah
Sustainability 2023, 15(13), 10629; https://doi.org/10.3390/su151310629 - 5 Jul 2023
Cited by 9 | Viewed by 2951
Abstract
Multilevel inverters (MLIs) have recently attracted more attention in medium-voltage and high-power applications as they can provide an effective interface with photovoltaic (PV) systems. Conventional MLIs are used to generate higher voltage levels, which improve power quality and reduce the requirement for passive [...] Read more.
Multilevel inverters (MLIs) have recently attracted more attention in medium-voltage and high-power applications as they can provide an effective interface with photovoltaic (PV) systems. Conventional MLIs are used to generate higher voltage levels, which improve power quality and reduce the requirement for passive filters. However, recent research has focused on designing new MLI topologies using reduced switch counts and less voltage stress. This study, as such, proposes a new nine-level symmetric MLI for PV systems with a minimum number of switches. This decrease in the number of switches reduces the voltage stress across the switches and the number of driving circuits, which lowers the complexity of the control circuit and, as a result, lowers the cost and size of the system. This article compares the proposed MLI with other topologies based on the DC sources, switches count, gate driver circuits (Ngd), total standing voltage per unit (TSVPU), cost function (CF), and components count per level (CC/L). The proposed topology is integrated with the PV system. MATLAB software is used to evaluate the performance of MLI at step change in irradiance and under variable load conditions. The total harmonic distortion (THD) of the proposed topology is reduced with the implementation of phase disposition pulse width modulation (PD-PWM). In addition, PD-PWM is compared with phase opposition disposition pulse width modulation (POD-PWM) and alternative phase opposition disposition pulse width (APOD-PWM) modulation techniques. The simulation results reveal the improved performance of the proposed topology at variable irradiance and under varying load conditions. The comparison results reveal minimum (TSVPU), CC/L, CF, and switch count compared to existing topologies. Hence, the proposed topology of MLI is cost-effective and superior in all aspects compared to other topologies. In summary, it offers overall improved performance, and thus, it is feasible for the PV system. Full article
Show Figures

Figure 1

12 pages, 1006 KB  
Article
Mitigation of Nitrous Oxide Emissions from Rice–Wheat Cropping Systems with Sub-Surface Application of Nitrogen Fertilizer and Water-Saving Irrigation
by Yam Kanta Gaihre, Wendie D. Bible, Upendra Singh, Joaquin Sanabria and Khagendra Raj Baral
Sustainability 2023, 15(9), 7530; https://doi.org/10.3390/su15097530 - 4 May 2023
Cited by 4 | Viewed by 2679
Abstract
Management of nitrogen (N) fertilizer and irrigation can play a critical role to increase nitrogen use efficiency (NUE). However, the impacts of N application at the root zone via urea briquette deep placement (UDP) and water-saving irrigation alternate wetting and drying (AWD) on [...] Read more.
Management of nitrogen (N) fertilizer and irrigation can play a critical role to increase nitrogen use efficiency (NUE). However, the impacts of N application at the root zone via urea briquette deep placement (UDP) and water-saving irrigation alternate wetting and drying (AWD) on N2O emissions are not well-understood. A greenhouse study was conducted to investigate the impacts of UDP on N2O emissions, NUE, and grain yields of rice and wheat compared with broadcast prilled urea (PU). For rice, the effect of UDP was evaluated under continuous flooding (CF) and AWD, while the control (no N) and PU were tested only under CF. In rice, UDP under CF irrigation produced similar emissions to PU-CF, but UDP under AWD irrigation increased emissions by 4.5-fold compared with UDP under CF. UDP under CF irrigation increased (p < 0.05) rice grain yields and N recovery efficiency (RE) by 26% and 124% compared with PU-CF, respectively. In wheat, UDP had no effects (p > 0.05) on emissions compared with PU. However, it produced higher wheat grain yields (9%) and RE (35%) over PU. In conclusion, UDP under CF irrigation increases the RE and grain yields of rice without increasing N2O emissions, but the yield may reduce and N2O emissions may increase under AWD. Full article
(This article belongs to the Special Issue Sustainable Agriculture: Soil Fertility and Nutrient Management)
Show Figures

Figure 1

13 pages, 3621 KB  
Article
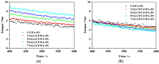
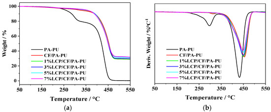
Tribological and Mechanical Applications of Liquid-Crystal-Polymer-Modified Carbon-Fiber-Reinforced Polyamide–Polyurethane Composites
by Zhen Zhou, Xiaoqing Wang, Xiaomeng Li, Chang Liu, Guoping Li and Yunjun Luo
Polymers 2023, 15(9), 2033; https://doi.org/10.3390/polym15092033 - 25 Apr 2023
Cited by 2 | Viewed by 2661
Abstract
An aromatic copolyester liquid crystal polymer (LCP) was introduced into carbon-fiber-reinforced polyamide–polyurethane (CF/PA-PU) composites through melt blending to improve the tribological properties of the composites. The effects of LCP on the mechanical, processing, and thermal properties of CF/PA-PU composites were compared to those [...] Read more.
An aromatic copolyester liquid crystal polymer (LCP) was introduced into carbon-fiber-reinforced polyamide–polyurethane (CF/PA-PU) composites through melt blending to improve the tribological properties of the composites. The effects of LCP on the mechanical, processing, and thermal properties of CF/PA-PU composites were compared to those of commonly-used graphite (Gr). The results showed that at 5 wt.% LCP content, the coefficient of friction (COF) was decreased by 16.06%, and the wear rate by 32.22% in the LCP/CF/PA-PU composite compared to the CF/PA-PU composite. Furthermore, using LCP instead of Gr showed significantly improved mechanical properties and reduced processing viscosity. The tensile strength of 5%LCP/CF/PA-PU composite could reach 99.08 MPa, while the equilibrium torque was reduced, being 26.85% higher and 18.37% lower than those of CF/PA-PU composite, respectively. The thermal stability of LCP/CF/PA-PU composites was also enhanced. The addition of 5 wt.% LCP to CF/PA-PU composite increased the initial decomposition temperature by 14.19% compared to CF/PA-PU. In sharp contrast, the addition of Gr increased equilibrium torque and actual processing temperature leading to processing difficulties and instability. This approach offers a novel strategy for tribological applications and tackles the problem of high viscosity in CF/PA-PU composites. Full article
(This article belongs to the Section Polymer Applications)
Show Figures

Figure 1

14 pages, 7310 KB  
Article
Fatigue Assessment of Carbon Fiber-Reinforced Polyurethane with Regard to Crack Initiation and Propagation
by Lars Gerdes, Pascal Franck, Stefan Richle, Gion A. Barandun and Frank Walther
Eng 2023, 4(2), 1009-1022; https://doi.org/10.3390/eng4020060 - 24 Mar 2023
Cited by 2 | Viewed by 3062
Abstract
Due to their lightweight potential, the use of fiber-reinforced polymers is the current standard for many technical fields of application. Especially, the automotive and aerospace sectors are to be emphasized. This entails a sophisticated knowledge regarding the material properties, since the safety standards [...] Read more.
Due to their lightweight potential, the use of fiber-reinforced polymers is the current standard for many technical fields of application. Especially, the automotive and aerospace sectors are to be emphasized. This entails a sophisticated knowledge regarding the material properties, since the safety standards applied in these fields are of high importance. To ensure the safety of the components, a detailed mechanical material characterization is indispensable. The aim of this work was to investigate different influencing factors on the fatigue behavior of carbon fiber-reinforced polyurethane, which is to be certified for aviation applications. Tensile tests provided a basic understanding of the material properties, which appeared to be affected by the specimen width, varied from 3 to 25 mm, by up to 30%. Subsequently, the influence of the cutting direction was investigated in the course of the fatigue tests. Thus, the fatigue strength of longitudinally cut specimens was found to be higher than that of transversely cut specimens by 6%. By means of specific measurement technologies, the material responses were associated with crack initiation and propagation during the fatigue lifetime. The material properties, such as the thermoelastic effect, could be examined during the fatigue tests. Furthermore, turning points in the courses of the characteristic values of the material and correlations with local phenomena were identified. Full article
(This article belongs to the Section Materials Engineering)
Show Figures

Figure 1

32 pages, 10329 KB  
Article
A Hybrid Classification of Imbalanced Hyperspectral Images Using ADASYN and Enhanced Deep Subsampled Multi-Grained Cascaded Forest
by Debaleena Datta, Pradeep Kumar Mallick, Annapareddy V. N. Reddy, Mazin Abed Mohammed, Mustafa Musa Jaber, Abed Saif Alghawli and Mohammed A. A. Al-qaness
Remote Sens. 2022, 14(19), 4853; https://doi.org/10.3390/rs14194853 - 28 Sep 2022
Cited by 19 | Viewed by 4220
Abstract
Hyperspectral image (HSI) analysis generally suffers from issues such as high dimensionality, imbalanced sample sets for different classes, and the choice of classifiers for artificially balanced datasets. The existing conventional data imbalance removal techniques and forest classifiers lack a more efficient approach to [...] Read more.
Hyperspectral image (HSI) analysis generally suffers from issues such as high dimensionality, imbalanced sample sets for different classes, and the choice of classifiers for artificially balanced datasets. The existing conventional data imbalance removal techniques and forest classifiers lack a more efficient approach to dealing with the aforementioned issues. In this study, we propose a novel hybrid methodology ADASYN-enhanced subsampled multi-grained cascade forest (ADA-Es-gcForest) which comprises four folds: First, we extracted the most discriminative global spectral features by reducing the vast dimensions, i.e., the redundant bands using principal component analysis (PCA). Second, we applied the subsampling-based adaptive synthetic minority oversampling method (ADASYN) to augment and balance the dataset. Third, we used the subsampled multi-grained scanning (Mg-sc) to extract the minute local spatial–spectral features by adaptively creating windows of various sizes. Here, we used two different forests—a random forest (RF) and a complete random forest (CRF)—to generate the input joint-feature vectors of different dimensions. Finally, for classification, we used the enhanced deep cascaded forest (CF) that improvised in the dimension reduction of the feature vectors and increased the connectivity of the information exchange between the forests at the different levels, which elevated the classifier model’s accuracy in predicting the exact class labels. Furthermore, the experiments were accomplished by collecting the three most appropriate, publicly available his landcover datasets—the Indian Pines (IP), Salinas Valley (SV), and Pavia University (PU). The proposed method achieved 91.47%, 98.76%, and 94.19% average accuracy scores for IP, SV, and PU datasets. The validity of the proposed methodology was testified against the contemporary state-of-the-art eminent tree-based ensembled methods, namely, RF, rotation forest (RoF), bagging, AdaBoost, extreme gradient boost, and deep multi-grained cascade forest (DgcForest), by simulating it numerically. Our proposed model achieved correspondingly higher accuracies than those classifiers taken for comparison for all the HS datasets. Full article
Show Figures

Figure 1

14 pages, 1711 KB  
Article
Integrated Plant Nutrient Systems Improve Rice Yields without Affecting Greenhouse Gas Emissions from Lowland Rice Cultivation
by S. M. Mofijul Islam, Yam Kanta Gaihre, Md. Rafiqul Islam, Amina Khatun and Aminul Islam
Sustainability 2022, 14(18), 11338; https://doi.org/10.3390/su141811338 - 9 Sep 2022
Cited by 17 | Viewed by 3337
Abstract
Efficient management of fertilizers and irrigation could mitigate greenhouse gas (GHG) emissions and increase crop yields. Field experiments were conducted to determine the effects of an integrated plant nutrient system (IPNS) and water regime—alternate wetting and drying (AWD) and continuous flooding (CF)—on GHG [...] Read more.
Efficient management of fertilizers and irrigation could mitigate greenhouse gas (GHG) emissions and increase crop yields. Field experiments were conducted to determine the effects of an integrated plant nutrient system (IPNS) and water regime—alternate wetting and drying (AWD) and continuous flooding (CF)—on GHG emissions and rice yield. Fertilizer treatments included control (no N), prilled urea (PU), urea deep placement (UDP), and IPNS (50% N from poultry litter and 50% N from PU). Gas sampling and analysis were performed using a closed-chamber technique and gas chromatography. IPNS produced significantly (p < 0.05) higher seasonal total methane (CH4) emissions (9–15%) compared to the UDP treatment, but the emissions with IPNS were similar to those of PU. IPNS had an interaction effect with the water regime on nitrogen oxide (N2O) emissions. IPNS produced more emissions than PU under AWD, but their emissions were similar under CF irrigation. IPNS produced a significantly higher total global warming potential (GWP) than UDP but a GWP similar to the PU treatment in both Aus (pre-monsoon) and Aman (wet) seasons. AWD irrigation reduced the total GWP by 8% over CF without yield reductions. IPNS significantly increased rice yields compared to broadcast PU but yields were similar to those of UDP. These findings suggest that both IPNS and UDP could be effective in increasing crop yields without increasing GHG emissions. Full article
(This article belongs to the Special Issue Sustainable Agriculture: Soil Fertility and Nutrient Management)
Show Figures

Figure 1

26 pages, 6419 KB  
Article
Performance Analysis of a Waste-to-Energy System Integrated with the Steam–Water Cycle and Urea Hydrolysis Process of a Coal-Fired Power Unit
by Yuanyuan Zhang, Lai Wei, Xin Gao, Heng Chen, Qiubai Li, Kai Zhang and Qilong Huang
Appl. Sci. 2022, 12(2), 866; https://doi.org/10.3390/app12020866 - 15 Jan 2022
Cited by 2 | Viewed by 4126
Abstract
An innovative hybrid energy system consisting of a waste-to-energy unit and a coal-fired power unit is designed to enhance the energy recovery of waste and decrease the investment costs of waste-to-energy unit. In this integrated design, partial cold reheat steam of the coal-fired [...] Read more.
An innovative hybrid energy system consisting of a waste-to-energy unit and a coal-fired power unit is designed to enhance the energy recovery of waste and decrease the investment costs of waste-to-energy unit. In this integrated design, partial cold reheat steam of the coal-fired unit is heated by the waste-to-energy boiler’s superheater. The heat required for partial preheated air of waste-to-energy unit and its feedwater are supplied by the feedwater of CFPU. In addition, an additional evaporator is deployed in the waste-to-energy boiler, of which the outlet stream is utilized to provide the heat source for the urea hydrolysis unit of coal-fired power plant. The stand-alone and proposed designs are analyzed and compared through thermodynamic and economic methods. Results indicate that the net total energy efficiency increases from 41.84% to 42.12%, and the net total exergy efficiency rises from 41.19% to 41.46% after system integration. Moreover, the energy efficiency and exergy efficiency of waste-to-energy system are enhanced by 10.48% and 9.92%, respectively. The dynamic payback period of new waste-to-energy system is cut down from 11.39 years to 5.48 years, and an additional net present value of $14.42 million is got than before. Full article
(This article belongs to the Topic Dynamical Systems: Theory and Applications)
Show Figures

Figure 1

Back to TopTop