Sign in to use this feature.

Years

Between: -

Subjects

remove_circle_outline
remove_circle_outline
remove_circle_outline
remove_circle_outline

Journals

Article Types

Countries / Regions

Search Results (15)

Search Parameters:
Keywords = BioFire Respiratory Panel 2.1

Order results
Result details
Results per page
Select all
Export citation of selected articles as:
10 pages, 203 KB  
Article
Molecular Detection of Various Non-Seasonal, Zoonotic Influenza Viruses Using BioFire FilmArray and GenXpert Diagnostic Platforms
by Charlene Ranadheera, Taeyo Chestley, Orlando Perez, Breanna Meek, Laura Hart, Morgan Johnson, Yohannes Berhane and Nathalie Bastien
Viruses 2025, 17(7), 970; https://doi.org/10.3390/v17070970 - 10 Jul 2025
Viewed by 1172
Abstract
Since 2020, the Gs/Gd H5N1 influenza virus (clade 2.3.4.4b) has established itself within wild bird populations across Asia, Europe, and the Americas, causing outbreaks in wild mammals, commercial poultry, and dairy farms. The impacts on the bird populations and the agricultural industry has [...] Read more.
Since 2020, the Gs/Gd H5N1 influenza virus (clade 2.3.4.4b) has established itself within wild bird populations across Asia, Europe, and the Americas, causing outbreaks in wild mammals, commercial poultry, and dairy farms. The impacts on the bird populations and the agricultural industry has been significant, requiring a One Health approach to enhanced surveillance in both humans and animals. To support pandemic preparedness efforts, we evaluated the Cepheid Xpert Xpress CoV-2/Flu/RSV plus kit and the BioFire Respiratory 2.1 Panel for their ability to detect the presence of non-seasonal, zoonotic influenza A viruses, including circulating H5N1 viruses from clade 2.3.4.4b. Both assays effectively detected the presence of influenza virus in clinically-contrived nasal swab and saliva specimens at low concentrations. The results generated using the Cepheid Xpert Xpress CoV-2/Flu/RSV plus kit and the BioFire Respiratory 2.1 Panel, in conjunction with clinical and epidemiological findings provide valuable diagnostic findings that can strengthen pandemic preparedness and surveillance initiatives. Full article
(This article belongs to the Section Animal Viruses)
16 pages, 1128 KB  
Article
Surveillance of Respiratory Pathogens Among Rapid Diagnostic Test-Negative Acute Respiratory Infection Patients in Myanmar in 2023, with a Focus on Rhinovirus and Enterovirus Genotyping
by Yuyang Sun, Tsutomu Tamura, Yadanar Kyaw, Swe Setk, Moe Myat Aye, Htay Htay Tin, Su Mon Kyaw Win, Jiaming Li, Tri Bayu Purnama, Irina Chon, Keita Wagatsuma, Hisami Watanabe and Reiko Saito
Viruses 2025, 17(6), 860; https://doi.org/10.3390/v17060860 - 17 Jun 2025
Viewed by 1205
Abstract
This study explored the distribution and genetic characteristics of respiratory pathogens in outpatients with acute respiratory infections (ARIs) in Yangon, Myanmar, during the 2023 rainy season. Among 267 patients who tested negative for influenza, RSV, and SARS-CoV-2 using rapid diagnostic tests, 84.6% were [...] Read more.
This study explored the distribution and genetic characteristics of respiratory pathogens in outpatients with acute respiratory infections (ARIs) in Yangon, Myanmar, during the 2023 rainy season. Among 267 patients who tested negative for influenza, RSV, and SARS-CoV-2 using rapid diagnostic tests, 84.6% were positive for at least one pathogen according to a multiplex polymerase chain reaction (PCR) assay, the BioFire® FilmArray® Respiratory Panel 2.1. The most common viruses detected were rhinovirus/enterovirus (RV/EV) at 37.8%, respiratory syncytial virus (RSV) at 22.4%, and human metapneumovirus (hMPV) at 10.0%. These pathogens co-circulated mainly from July to September, with RV/EV consistently predominant. Symptom comparison among RV/EV-, RSV-, and hMPV-infected patients showed similar clinical features, though fever was more common in hMPV cases. Among RV/EV-positive patients, 59.3% had single infections, while 40.7% experienced co-infections, especially with RSV and adenovirus. Genotyping identified 28 types from five species, primarily RV-A and RV-C, which were genetically diverse. One EV-D68 case was also found, emphasizing its potential risk. This study underscores the genetic diversity and clinical impact of RV/EV and stresses the importance of ongoing molecular surveillance in Myanmar’s post-COVID-19 context to inform effective public health responses. Full article
Show Figures

Figure 1

19 pages, 582 KB  
Article
Shotgun Metagenomic Sequencing Analysis as a Diagnostic Strategy for Patients with Lower Respiratory Tract Infections
by Ha-eun Cho, Min Jin Kim, Jongmun Choi, Yong-Hak Sohn, Jae Joon Lee, Kyung Sun Park, Sun Young Cho, Ki-Ho Park and Young Jin Kim
Microorganisms 2025, 13(6), 1338; https://doi.org/10.3390/microorganisms13061338 - 9 Jun 2025
Viewed by 1091
Abstract
Conventional diagnostic methods (CDMs) for lower respiratory infections (LRIs) have limitations in detecting causative pathogens. This study evaluates the utility of shotgun metagenomic sequencing (SMS) as a complementary diagnostic tool using bronchoalveolar lavage (BAL) fluid. Sixteen BAL fluid samples from pneumonia patients with [...] Read more.
Conventional diagnostic methods (CDMs) for lower respiratory infections (LRIs) have limitations in detecting causative pathogens. This study evaluates the utility of shotgun metagenomic sequencing (SMS) as a complementary diagnostic tool using bronchoalveolar lavage (BAL) fluid. Sixteen BAL fluid samples from pneumonia patients with positive CDM results—including bacterial/fungal cultures; PCR for Mycobacterium tuberculosis or cytomegalovirus; and the BioFire® FilmArray® Pneumonia Panel (BioFire Diagnostics LLC, Salt Lake City, UT, USA)—underwent 10 Gb SMS on the Illumina NovaSeq 6000 platform (Illumina, San Diego, CA, USA). Reads were aligned to the NCBI RefSeq database; with fungal identification further supported by internal transcribed spacer (ITS) analysis. Antibiotic resistance genes (ARGs) were annotated using the Comprehensive Antibiotic Resistance Database. Microbial reads accounted for 0.00002–0.04971% per sample. SMS detected corresponding bacteria in 63% of cases, increasing to 69% when subdominant taxa were included. Fungal reads were low; however, Candida species were identified in four samples via ITS. No viral reads were detected. ARGs meeting perfect match criteria were found in two cases. This is the first real-world study comparing SMS with CDMs, including semiquantitative PCR, in BAL fluid for LRI. SMS shows promise as a supplementary diagnostic method, with further research needed to optimize its performance and cost-effectiveness. Full article
Show Figures

Figure 1

8 pages, 844 KB  
Case Report
A Case of Severe Respiratory Failure Caused by Metapneumovirus and Influenza Virus in a Patient with HIV Infection
by Luca Pipitò, Chiara Vincenza Mazzola, Eleonora Bono, Claudia Gioè, Giovanni M. Giammanco, Celestino Bonura and Antonio Cascio
Viruses 2025, 17(3), 289; https://doi.org/10.3390/v17030289 - 20 Feb 2025
Viewed by 1462
Abstract
Background: Human metapneumovirus (HMPV) is a significant cause of respiratory infections, particularly in children, the elderly, and immunocompromised individuals. However, data on HMPV infection in people living with HIV (PLWH) are limited, and cases of co-infection with influenza A virus in this population [...] Read more.
Background: Human metapneumovirus (HMPV) is a significant cause of respiratory infections, particularly in children, the elderly, and immunocompromised individuals. However, data on HMPV infection in people living with HIV (PLWH) are limited, and cases of co-infection with influenza A virus in this population have not been previously described. Case Presentation: We reported the case of a 73-year-old HIV-positive man with multiple comorbidities, including insulin-dependent diabetes mellitus, who presented with fever, asthenia, and glycometabolic decompensation. Despite an initially unremarkable chest computed tomography (CT) scan, the patient developed progressive respiratory failure, requiring high-flow oxygen therapy. Molecular testing using the BIOFIRE® FILMARRAY® Pneumonia Panel Plus identified HMPV and influenza A virus as the causative pathogens. Bacterial cultures were negative, allowing for the discontinuation of empirical antibiotic therapy. The patient was successfully weaned off oxygen therapy and discharged after clinical improvement. Conclusions: This case highlights the potential severity of HMPV and influenza A co-infection in PLWH, emphasizing the importance of molecular diagnostics in distinguishing viral from bacterial infections. Rapid and accurate pathogen identification is essential for guiding appropriate antimicrobial stewardship and optimizing patient outcomes in community-acquired pneumonia. Full article
(This article belongs to the Section Human Virology and Viral Diseases)
Show Figures

Figure 1

10 pages, 258 KB  
Article
Real-Life Insights into Pertussis Diagnosis: High Yield of PCR Testing and Clinical Outcomes—An Emerging Old Enemy or Just a Sign of PCR Times?
by Ilias E. Dimeas, Ourania S. Kotsiou, Polyxeni Salgkami, Irene Poulakida, Stylianos Boutlas, Zoe Daniil, Georgia Papadamou and Konstantinos I. Gourgoulianis
J. Pers. Med. 2024, 14(12), 1116; https://doi.org/10.3390/jpm14121116 - 22 Nov 2024
Cited by 3 | Viewed by 2304
Abstract
Background/Objectives: Pertussis remains a significant public health concern despite effective vaccines due to diagnostic challenges and symptom overlap with other respiratory infections. This study assesses the prevalence of Bordetella pertussis using advanced polymerase chain reaction (PCR) testing and examines the clinical outcomes over [...] Read more.
Background/Objectives: Pertussis remains a significant public health concern despite effective vaccines due to diagnostic challenges and symptom overlap with other respiratory infections. This study assesses the prevalence of Bordetella pertussis using advanced polymerase chain reaction (PCR) testing and examines the clinical outcomes over a one-month follow-up. Methods: We conducted a cross-sectional study at the University Hospital of Larissa, Greece, from April to June 2024, collecting 532 nasopharyngeal swabs from patients with respiratory symptoms. Diagnostic testing utilized the BioFire® Respiratory 2.1 Plus Panel. Demographics, clinical presentations, vaccination histories, and clinical outcomes were systematically recorded and analyzed. Results: Of 532 patients, 47 (8.8%) were diagnosed with pertussis. The mean age was 61.87 ± 13.4 years; 57.4% were female. Only 12.8% had contact with known pertussis patients. Regarding vaccination history, 36.2% had received diphtheria, tetanus, and pertussis vaccines, with the last dose administered an average of 46 years prior to this study. The primary symptom was cough (100%), with additional symptoms including fever (36.2%) and paroxysmal cough (34%). Six patients (12.8%) required hospitalization due to pneumonia and severe respiratory failure. All patients received successful treatment; however, 23.4% reported persistent post-infectious cough at the one-month follow-up. Conclusions: PCR testing significantly improved the diagnosis of pertussis among adults presenting with respiratory symptoms. The findings highlight the need for updated vaccination strategies and improved diagnostic protocols to effectively manage pertussis and reduce its public health impact. Full article
(This article belongs to the Section Mechanisms of Diseases)
10 pages, 1061 KB  
Article
Performance Assessment of a Multiplex Real-Time PCR Assay for Detection of Viruses Causing Respiratory Tract Infections
by Pallavi Upadhyay, Fahida Surur and Vijay Singh
Diagnostics 2024, 14(21), 2350; https://doi.org/10.3390/diagnostics14212350 - 22 Oct 2024
Cited by 3 | Viewed by 2538
Abstract
Objectives: Following the COVID-19 pandemic, global epidemiological trends demonstrate a return to pre-pandemic levels of respiratory syncytial virus (RSV) and influenza (Flu) A/B viruses. For the appropriate clinical management of viral infections, reliable and timely diagnosis is crucial. The clinical presentation of these [...] Read more.
Objectives: Following the COVID-19 pandemic, global epidemiological trends demonstrate a return to pre-pandemic levels of respiratory syncytial virus (RSV) and influenza (Flu) A/B viruses. For the appropriate clinical management of viral infections, reliable and timely diagnosis is crucial. The clinical presentation of these respiratory viral infections shows significant overlaps; thus, the syndromic diagnosis of these infections becomes challenging. The goal of this study was to compare the performance of three multiplex real-time PCR-based platforms for the detection of SARS-CoV-2, Flu A, Flu B, and RSV. Materials and Methods: A retrospective study was performed on 200 de-identified nasopharyngeal and oropharyngeal specimens. All samples were tested simultaneously on three PCR-based platforms for the detection of SARS-CoV-2, Flu A, Flu B, and RSV: HealthTrackRx’s real-time PCR Open Array® respiratory panel, TrueMark™ SARS-CoV-2, Flu A, Flu B, RSV Select Panel, and BioFire® RP2.1 Panel. The positive and negative predictive value of each test was evaluated at a 95% confidence interval. Results: Among the 200 tested samples, the TrueMark™ and OpenArray® laboratory-developed tests (LDTs) showed a 100% concordance for the detection of SARS-CoV-2, Flu A, Flu B, and RSV. Overall agreement of 100% was observed for nasopharyngeal samples between the laboratory-developed tests and FDA-approved BioFire® RP2.1 Panel. Diagnostic results for these four respiratory viruses, in clinical samples, between the LDTs and the FDA-approved comparator demonstrated full concordance. Conclusions: Respiratory viral infections represent one of the major global healthcare burdens. Consequently, the accurate detection and surveillance of these viruses are critical, particularly when these viruses are known to co-circulate. The excellent performance and full concordance of the LDTs, with the BioFire® Respiratory RP2.1 panel, in detecting SARS-CoV-2, Flu A, Flu B, and RSV shows that these tests can be confidently implemented for the clinical testing of respiratory viral infections. Full article
(This article belongs to the Section Diagnostic Microbiology and Infectious Disease)
Show Figures

Figure 1

10 pages, 1346 KB  
Article
The Impact of Next-Generation Sequencing Added to Multiplex PCR on Antibiotic Stewardship in Critically Ill Patients with Suspected Pneumonia
by Kendall Kling, Chao Qi, Richard G. Wunderink and Chiagozie Pickens
Diagnostics 2024, 14(13), 1388; https://doi.org/10.3390/diagnostics14131388 - 29 Jun 2024
Cited by 3 | Viewed by 2020
Abstract
Introduction: In patients with suspected pneumonia who are tested with respiratory culture and multiplex PCR, the potential added benefit of next-generation sequencing technologies is unknown. Methods: This was a single-center, retrospective study in which residual bronchoalveolar lavage (BAL) specimens were retrieved from hospitalized [...] Read more.
Introduction: In patients with suspected pneumonia who are tested with respiratory culture and multiplex PCR, the potential added benefit of next-generation sequencing technologies is unknown. Methods: This was a single-center, retrospective study in which residual bronchoalveolar lavage (BAL) specimens were retrieved from hospitalized patients. We compared its research-use-only Respiratory Pathogen Illumina Panel (RPIP) results to culture and BioFire® FilmArray Pneumonia Panel (BioFire® PN) results from critically ill patients. Results: In total, 47 BAL specimens from 47 unique patients were included. All BAL samples were tested with culture and multiplex PCR. In total, 38 of the 47 BALs were consistent with a clinical picture of pneumonia per chart review. Additional testing of the 38 samples with the RPIP identified a new bacterium in 20 patients, a new virus in 4 patients, a new bacterium plus virus in 4 patients, and no additional organisms in 10 patients. In 17 (44.5%) of these patients, the RPIP results could have indicated an antibiotic addition. Compared with cultures, the RPIP had an overall sensitivity of 64% and specificity of 98%, with a 0% sensitivity for fungus and 14% sensitivity for mycobacteria. Compared with BioFire® PN, the RPIP was 70% sensitive and 99% specific, with a 74% sensitivity for bacteria and 33% sensitivity for viruses. The RPIP was 29% more sensitive for HAP/VAP bacterial targets compared with CAP. Conclusions: Emerging NGS technologies such as the RPIP may have a role in identifying the etiology of pneumonia, even when patients have BAL culture and multiplex PCR results available. Similar to prior studies evaluating RPIP, our study showed this platform lacked sensitivity when compared with cultures, particularly for fungi and mycobacteria. However, the high specificity of the test can be leveraged when clinicians are seeking to rule out certain infections. Full article
Show Figures

Figure 1

13 pages, 1327 KB  
Article
Acute Respiratory Tract Infections (ARTIs) in Children after COVID-19-Related Social Distancing: An Epidemiological Study in a Single Center of Southern Italy
by Raffaele Falsaperla, Vincenzo Sortino, Daria La Cognata, Chiara Barberi, Giovanni Corsello, Cristina Malaventura, Agnese Suppiej, Ausilia Desiree Collotta, Agata Polizzi, Patrizia Grassi and Martino Ruggieri
Diagnostics 2024, 14(13), 1341; https://doi.org/10.3390/diagnostics14131341 - 25 Jun 2024
Cited by 4 | Viewed by 2651
Abstract
In Sicily (Italy), respiratory syncytial virus (RSV), rhinovirus (HRV), and influenza virus triggered epidemics among children, resulting in an increase in acute respiratory tract infections (ARTIs). Our objective was to capture the epidemiology of respiratory infections in children, determining which pathogens were associated [...] Read more.
In Sicily (Italy), respiratory syncytial virus (RSV), rhinovirus (HRV), and influenza virus triggered epidemics among children, resulting in an increase in acute respiratory tract infections (ARTIs). Our objective was to capture the epidemiology of respiratory infections in children, determining which pathogens were associated with respiratory infections following the lockdown and whether there were changes in the epidemiological landscape during the post-SARS-CoV-2 pandemic era. Materials and Methods: We analyzed multiplex respiratory viral PCR data (BioFire® FilmArray® Respiratory Panel 2.1 Plus) from 204 children presenting with respiratory symptoms and/or fever to our Unit of Pediatrics and Pediatric Emergency. Results: Viruses were predominantly responsible for ARTIs (99%), with RSV emerging as the most common agent involved in respiratory infections, followed by human rhinovirus/enterovirus and influenza A. RSV and rhinovirus were also the primary agents in coinfections. RSV predominated during winter months, while HRV/EV exhibited greater prevalence than RSV during the fall. Some viruses spread exclusively in coinfections (human coronavirus NL63, adenovirus, metapneumovirus, and parainfluenza viruses 1–3), while others primarily caused mono-infections (influenza A and B). SARS-CoV-2 was detected equally in both mono-infections (41%) and coinfections (59%). Conclusions: Our analysis underlines the predominance of RSV and the importance of implementing preventive strategies for RSV. Full article
Show Figures

Figure 1

9 pages, 778 KB  
Communication
Clinical Evaluation of the BIOFIRE SPOTFIRE Respiratory Panel
by Wai-Sing Chan, Christy Wing-Yiu Ho, Tsz-Ching Chan, Jeffrey Hung, Man-Yan To, Sau-Man Leung, Ka-Chun Lai, Ching-Yan Wong, Chin-Pang Leung, Chun-Hang Au, Thomas Shek-Kong Wan, Jonpaul Sze-Tsing Zee, Edmond Shiu-Kwan Ma and Bone Siu-Fai Tang
Viruses 2024, 16(4), 600; https://doi.org/10.3390/v16040600 - 13 Apr 2024
Cited by 3 | Viewed by 5435
Abstract
The BIOFIRE SPOTFIRE Respiratory (R) Panel is a novel, in vitro diagnostic PCR assay with 15 pathogen targets. The runtime is about 15 min which is the shortest among similar panels in the market. We evaluated the performance of the SPOTFIRE R Panel [...] Read more.
The BIOFIRE SPOTFIRE Respiratory (R) Panel is a novel, in vitro diagnostic PCR assay with 15 pathogen targets. The runtime is about 15 min which is the shortest among similar panels in the market. We evaluated the performance of the SPOTFIRE R Panel with 151 specimens, including 133 collected from the upper respiratory tract (URT), 13 from the lower respiratory tract (LRT) and 5 external quality assessment program (EQAP) samples. The respiratory specimens were enrolled throughout the first two post-COVID-19 influenza seasons in Hong Kong (March to December 2023). For URT specimens, full concordance was observed between the SPOTFIRE R Panel and the standard-of-care FilmArray Respiratory 2.1 plus Panel (RP2.1plus) for 109 specimens (109/133, 81.95%). After discrepant analysis, the SPOTFIRE R Panel identified more pathogens than the RP2.1plus in 15 specimens and vice versa in 3 specimens. The per-target negative and positive percentage agreement (NPA and PPA) were 92.86–100% except the PPA of adenovirus (88.24%). For LRT and EQAP samples, all results were fully concordant. To conclude, the performance of the SPOTFIRE R Panel was comparable to the RP2.1plus. Full article
(This article belongs to the Section Human Virology and Viral Diseases)
Show Figures

Figure 1

10 pages, 554 KB  
Article
Supporting Clinical Decisions with Rapid Molecular Diagnostic Pneumonia Panel in Pediatric Intensive Care Unit: Single Center Experience in Turkiye
by Gurkan Bozan, Yalcin Kara, Eylem Kiral, Mahmut Can Kizil, Ebru Kacmaz, Tercan Us, Gul Durmaz, Omer Kilic and Ener Cagri Dinleyici
Microorganisms 2023, 11(10), 2391; https://doi.org/10.3390/microorganisms11102391 - 25 Sep 2023
Cited by 4 | Viewed by 2294
Abstract
Introduction: Lower respiratory tract infections are the leading cause of morbidity and mortality in children worldwide. It is crucial to promptly conduct diagnostic investigations in order to determine the microbiological cause of pneumonia, since this is necessary to ensure the appropriate delivery of [...] Read more.
Introduction: Lower respiratory tract infections are the leading cause of morbidity and mortality in children worldwide. It is crucial to promptly conduct diagnostic investigations in order to determine the microbiological cause of pneumonia, since this is necessary to ensure the appropriate delivery of antibiotic therapy to each individual patient. We evaluated the results of a rapid molecular diagnostic pneumonia panel in children with LRTI in a pediatric intensive care unit (PICU). Patients and Methods: Rapid molecular diagnostic pneumonia panel (BioFire®, FilmArray Pneumonia Panel plus; FA-PP) findings (71 results from 46 children) in a tertiary care PICU between 2019 and 2023 were retrospectively reviewed. Results: At least one bacterial pathogen was detected in 57 cases. A total of 77% of children had underlying conditions. A total of 70.4% of children needed invasive mechanical ventilation and 54.4% had ventilator-associated pneumonia. Pseudomonas aeruginosa (50.8%), Acinetobacter calcoaceticus baumannii complex (42%), and Klebsiella pneumoniae (38.6%) were the most common pathogens detected with the FA-PP. Of the 33 cases diagnosed with VAP, more than one pathogen was identified in 65.9% of cases, with the most commonly identified bacteria being K. pneumoniae (43.1%), P. aeruginosa (38.6%), and Acinetobacter calcoaceticus baumannii complex (31.8%). According to the FA-PP results, the same antibiotic therapy was continued in 39.4% of cases, escalated in 54.5%, and de-escalated in 6.1%. Conclusions: The utilization of the FA-PP has some beneficial effects, including more prompt delivery of findings compared to conventional approaches. Additionally, this approach enables the identification of resistance profiles in children diagnosed with pneumonia in the PICU. Consequently, these test results facilitate the organization of antibiotic treatment strategies, including escalation and de-escalation approaches. The detection of resistance patterns was exclusively determined via the implementation of molecular testing, prompting a reevaluation of the isolation technique in accordance with the obtained data. Full article
(This article belongs to the Special Issue Antibiotic Resistance: Present Knowledge and Future Challenges)
Show Figures

Figure 1

10 pages, 261 KB  
Article
Clinical Evaluation of BioFire COVID-19 Test, BioFire Respiratory Panel 2.1, and Cepheid Xpert Xpress SARS-CoV-2 Assays for Sample-to-Answer Detection of SARS-CoV-2
by Joonhong Park, So Yeon Kim, Jaehyeon Lee and Ki Ho Hong
Genes 2023, 14(1), 233; https://doi.org/10.3390/genes14010233 - 16 Jan 2023
Cited by 4 | Viewed by 3913
Abstract
Background: Due to the extreme infectivity of SARS-CoV-2, sample-to-answer SARS-CoV-2 reverse transcription (RT) polymerase chain reaction (PCR) assays are urgently needed in order to facilitate infectious disease surveillance and control. The purpose of this study was to evaluate three sample-to-answer SARS-CoV-2 RT-PCR assays—BioFire [...] Read more.
Background: Due to the extreme infectivity of SARS-CoV-2, sample-to-answer SARS-CoV-2 reverse transcription (RT) polymerase chain reaction (PCR) assays are urgently needed in order to facilitate infectious disease surveillance and control. The purpose of this study was to evaluate three sample-to-answer SARS-CoV-2 RT-PCR assays—BioFire COVID-19 Test, BioFire RP 2.1, and Cepheid Xpert Xpress SARS-CoV-2—using clinical samples. Methods: A total of 77 leftover nasopharyngeal swab (NP) swabs (36 positives and 41 negatives) confirmed by reference SARS-CoV-2 RT real-time (q) PCR assay were collected. The clinical sample concordance, as specified by their respective emergency use authorizations (EUAs), in comparison to the reference SARS-CoV-2 RT-qPCR assay, was assessed. Results: The results showed that all three sample-to-answer SARS-CoV-2 RT-PCR assays provided perfectly concordant results consistent with the reference SARS-CoV-2 RT-qPCR assay. The BioFire COVID-19 Test exhibited the best turnaround time (TAT) compared to the other assays, regardless of the test results, using one-way analysis of variance followed by Scheffe’s post hoc test (p < 0.001). The Xpert Xpress SARS-CoV-2 showed a shorter average TAT (mean ± standard deviation, 49.9 ± 3.1 min) in the positive samples compared to that (55.7 ± 2.5 min) of the negative samples. Conclusions: Our evaluation demonstrates that the BioFire COVID-19 Test, BioFire RP 2.1, and Cepheid Xpert Xpress SARS-CoV-2 assays compare favorably to the reference SARS-CoV-2 RT-qPCR assay, along with a 100% concordance in assay results for clinical samples and an acceptable analytical performance at their guaranteed limits of detection. The addition of a widely used simultaneous sample-to-answer SARS-CoV-2 RT-PCR assay will contribute to the number of medical laboratories able to test for COVID-19. Full article
(This article belongs to the Special Issue Molecular Genetics & Diagnosis of Infectious Diseases)
9 pages, 269 KB  
Article
Evaluation and Clinical Impact of Biofire FilmArray Pneumonia Panel Plus in ICU-Hospitalized COVID-19 Patients
by Dolores Escudero, Jonathan Fernández-Suarez, Lorena Forcelledo, Salvador Balboa, Javier Fernández, Ivan Astola, Brigida Quindos, Rainer Campos, Fernando Vázquez and José Antonio Boga
Diagnostics 2022, 12(12), 3134; https://doi.org/10.3390/diagnostics12123134 - 12 Dec 2022
Cited by 9 | Viewed by 3098
Abstract
Microbiological diagnosis by using commercial multiplex quantitative PCR systems provides great advantages over the conventional culture. In this work, the Biofire FilmArray Pneumonia Panel Plus (FAPP+) was used to test 144 low respiratory tract samples from 105 COVID-19 patients admitted to an Intensive [...] Read more.
Microbiological diagnosis by using commercial multiplex quantitative PCR systems provides great advantages over the conventional culture. In this work, the Biofire FilmArray Pneumonia Panel Plus (FAPP+) was used to test 144 low respiratory tract samples from 105 COVID-19 patients admitted to an Intensive Care Unit (ICU), detecting 78 pathogens in 59 (41%) samples. The molecular panel was evaluated by using the conventional culture (CC) as comparator, which isolated 42 pathogens in 40 (27.7%) samples. The overall percentage of agreement was 82.6%. Values of sensitivity (93%), specificity (62%), positive predictive value (50%), and negative predictive value (96%) were obtained. The mean time elapsed from sample extraction to modification of antibiotic treatment was 7.6 h. A change in antimicrobial treatment after the FAPP+ results was performed in 27% of patients. The FAPP+ is a highly sensitive diagnostic method that can be used to significantly reduce diagnostic time and that allows an early optimization of antimicrobial treatment. Full article
(This article belongs to the Special Issue Advances in the Diagnosis of Pneumonia)
12 pages, 2231 KB  
Article
Evaluation of the BioFire FilmArray Pneumonia Panel Plus to the Conventional Diagnostic Methods in Determining the Microbiological Etiology of Hospital-Acquired Pneumonia
by Noha A. Kamel, Mohammad Y. Alshahrani, Khaled M. Aboshanab and Mervat I. El Borhamy
Biology 2022, 11(3), 377; https://doi.org/10.3390/biology11030377 - 27 Feb 2022
Cited by 32 | Viewed by 5602
Abstract
Hospital-acquired pneumonia (HAP) is a substantial public health issue that is associated with high mortality rates and is complicated by an arsenal of microbial etiologies, expressing multidrug-resistant phenotypes, rendering relatively limited therapeutic options. BioFire FilmArray Pneumonia Panel plus (BFPP) is a simple multiplexed [...] Read more.
Hospital-acquired pneumonia (HAP) is a substantial public health issue that is associated with high mortality rates and is complicated by an arsenal of microbial etiologies, expressing multidrug-resistant phenotypes, rendering relatively limited therapeutic options. BioFire FilmArray Pneumonia Panel plus (BFPP) is a simple multiplexed PCR system that integrates sample preparation, nucleic acid extraction, amplification, and analysis of microbial etiology, with a turnaround time of about one hour. In comparison to standard culture methods, BFPP is simpler, easier to perform, and can simultaneously detect the most common pathogens involved in lower respiratory tract infections (34 targets). Accordingly, we evaluated the diagnostic performance of the multiplexed BFPP for the rapid detection of 27 clinically relevant respiratory pathogens and 7 genetic markers among 50 HAP cases admitted to the intensive care unit (ICU), who submitted mini-bronchoalveolar (mBAL) specimens. In comparison to standard culture methods, BFPP showed an overall sensitivity of 100% [95% CI; 90–100] and overall specificity of 90% [95% CI; 87.4–92.5] among all the tested bacterial targets. BFPP identified 11 viral targets (22%) among the tested specimens. The BFPP semi-quantitative analysis showed a concordance rate of 47.4% among positive culture specimens. For the investigation of the antibiotic resistance genes, BFPP showed a positive percent agreement (PPA), a negative percent agreement (NPA), and an overall percent agreement (OPA), reaching 97% [95% CI; 90–100], 95% [95% CI; 91.5–97], and 95% [95% CI; 93–97], respectively, with standard antibiotic sensitivity testing. In conclusion, BFPP has the potential to enhance the rapid microbiological diagnosis of HAP cases, and could aid in tailoring appropriate antibiotic therapies. Full article
Show Figures

Figure 1

11 pages, 776 KB  
Article
Comparative Evaluation of Allplex Respiratory Panels 1, 2, 3, and BioFire FilmArray Respiratory Panel for the Detection of Respiratory Infections
by Harshad Lade, Jung-Min Kim, Yousun Chung, Minje Han, Eun-Kyung Mo and Jae-Seok Kim
Diagnostics 2022, 12(1), 9; https://doi.org/10.3390/diagnostics12010009 - 22 Dec 2021
Cited by 15 | Viewed by 5799
Abstract
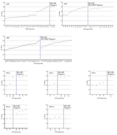
Multiplex nucleic acid amplification assays that simultaneously detect multiple respiratory pathogens in a single nasopharyngeal swab (NPS) specimen are widely used for rapid clinical diagnostics. We evaluated Allplex Respiratory Panel (RP) 1, 2, 3, and the BioFire FilmArray RP assay for detecting respiratory [...] Read more.
Multiplex nucleic acid amplification assays that simultaneously detect multiple respiratory pathogens in a single nasopharyngeal swab (NPS) specimen are widely used for rapid clinical diagnostics. We evaluated Allplex Respiratory Panel (RP) 1, 2, 3, and the BioFire FilmArray RP assay for detecting respiratory pathogens from NPS specimens. In all, 181 NPS specimens obtained from patients suspected of having respiratory infections during the non-influenza season (August–December 2019) were included. The Allplex RP 1, 2, and 3 detected 154 samples positive for respiratory viruses, whereas the BioFire FilmArray detected viruses in 98 samples. Co-infection with two or more viruses was detected in 41 and 17 NPS specimens by Allplex RP and the BioFire FilmArray RP, respectively. For adenoviruses, Allplex RP 1 detected 31 specimens, compared to 34 by the BioFire FilmArray. In all, 64 NPS specimens were positive for human enterovirus (HEV) and human rhinovirus (HRV) on the Allplex RP, in contrast to 39 HEV/HRV on the BioFire FilmArray. The parainfluenza virus (PIV-1–4) detection rate differed between the two systems. Most discrepant results were observed for NPS specimens with high cycle threshold values obtained by Allplex RP. This study showed concordant performance of the Allplex RP 1, 2, 3, and the BioFire FilmArray RP for the simultaneous detection of multiple respiratory viruses. Full article
(This article belongs to the Section Diagnostic Microbiology and Infectious Disease)
Show Figures

Figure 1

8 pages, 2291 KB  
Brief Report
Identification of SARS-CoV-2 and Enteroviruses in Sewage Water—A Pilot Study
by Anda Băicuș, Carmen Maria Cherciu and Mihaela Lazăr
Viruses 2021, 13(5), 844; https://doi.org/10.3390/v13050844 - 6 May 2021
Cited by 3 | Viewed by 3506
Abstract
Due to the outbreak of Severe Acute Respiratory Syndrome Coronavirus 2 (SARS-CoV-2), combined with the risk of polio importation from Ukraine, we evaluated the presence of SARS-CoV-2 and enteroviruses in 25 sewage water samples from Romania, concentrated using the WHO method between January [...] Read more.
Due to the outbreak of Severe Acute Respiratory Syndrome Coronavirus 2 (SARS-CoV-2), combined with the risk of polio importation from Ukraine, we evaluated the presence of SARS-CoV-2 and enteroviruses in 25 sewage water samples from Romania, concentrated using the WHO method between January 2020 and January 2021. Surveillance for enteroviruses and SARS-CoV-2 are relevant in the calculation of prevalence estimates as well as early detection of the introduction or disappearance of these viruses. For SARS-CoV-2 detection, we used two immunochromatographic nucleocapsid antigenic tests as well as real-time PCR assays, produced for respiratory samples. The isolation of cell culture lines, in accordance with the WHO recommendations, was carried out for enterovirus detection. Twenty-three of the samples investigated were positive in rapid tests for SARS-CoV-2, while the RNA of SARS-CoV-2, detected with Respiratory 2.1 plus a panel Biofire Film array, was present in eight samples. The Allplex 2019-nCoV assay was used for the validation of the tests. There were three genes detected in one sample, E, RdPR, and N, two genes, E and RdPR, in one sample, two genes, RdPR and N, in four samples, one gene, RdPR, in five samples and one gene, N, in one sample. Eight samples were positive for non-polio enteroviruses, and no poliovirus strains were isolated. This study suggests the presence of SARS-CoV-2 and enteroviruses in Romanian sewage water in 2020. As such, our results indicate that a rapid, more specific test should be developed especially for the detection of SARS-CoV-2 in sewage water. Full article
(This article belongs to the Special Issue Surveillance for Polio and Non-polio Enteroviruses)
Show Figures

Figure 1

Back to TopTop