Due to scheduled maintenance work on our servers, there may be short service disruptions on this website between 11:00 and 12:00 CEST on March 28th.
Sign in to use this feature.

Years

Between: -

Subjects

remove_circle_outline
remove_circle_outline
remove_circle_outline
remove_circle_outline
remove_circle_outline
remove_circle_outline

Journals

Article Types

Countries / Regions

Search Results (63)

Search Parameters:
Keywords = Baxter Equation

Order results
Result details
Results per page
Select all
Export citation of selected articles as:
36 pages, 482 KB  
Article
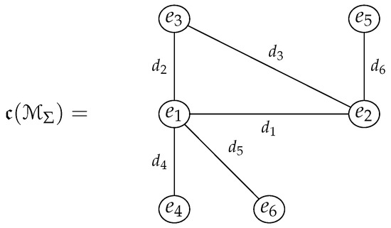
On Some Properties of Algebraic and Combinatorial Invariants Induced by Brauer Configurations and Their Applications to the Solutions of the Yang–Baxter Equation
by Agustín Moreno Cañadas, Veronica Cifuentes Vargas and José Gregorio Rodríguez-Nieto
Symmetry 2026, 18(3), 487; https://doi.org/10.3390/sym18030487 - 12 Mar 2026
Viewed by 137
Abstract
Green and Schroll introduced Brauer configurations to construct Brauer graph algebras and their generalizations, named Brauer configuration algebras, to investigate algebras of tame and wild representation types. It is worth pointing out that giving closed formulas for algebraic and combinatorial invariants (such as [...] Read more.
Green and Schroll introduced Brauer configurations to construct Brauer graph algebras and their generalizations, named Brauer configuration algebras, to investigate algebras of tame and wild representation types. It is worth pointing out that giving closed formulas for algebraic and combinatorial invariants (such as their dimensions, the dimensions of their centers, or degree sequences of their induced covering graphs) associated with significant families of Brauer configurations is, in general, a hard problem. The analysis of such algebraic and combinatorial invariants is said to be an extended Brauer analysis of the data defining the configurations. Since finite graphs are examples of Brauer configurations, this paper gives formulas for the dimensions of their induced Brauer configuration algebras and corresponding centers. Brauer configurations also induce some simple graphs called covering graphs. To date, it is not clear which properties a given graph must satisfy to be isomorphic to its induced covering graph. This paper fills this gap by establishing that the so-called hair graphs satisfy this condition. This approach allows us to use properties of morphisms in the graph category to provide set-theoretical solutions of the Yang–Baxter equation. Along these lines, we also note that giving a complete classification of the solutions to the Yang–Baxter equation remains an open problem. Full article
(This article belongs to the Special Issue Symmetry and Lie Algebras)
Show Figures

Figure 1

30 pages, 389 KB  
Article
Nijenhuis Operators on 2D Pre-Lie Algebras and 3D Associative Algebras
by Xiaoguang Zou, Xiang Gao, Chuangchuang Kang and Jiafeng Lü
Axioms 2026, 15(1), 80; https://doi.org/10.3390/axioms15010080 - 22 Jan 2026
Viewed by 223
Abstract
In this paper, we describe all Nijenhuis operators on 2-dimensional complex pre-Lie algebras and 3-dimensional complex associative algebras. As an application, using these operators, we obtain solutions to the classical Yang-Baxter equation on the corresponding sub-adjacent Lie algebras. Full article
(This article belongs to the Special Issue New Perspectives in Lie Algebras, 2nd Edition)
15 pages, 286 KB  
Article
Isotopes of Biracks and Zhang Twists of Algebras
by Xiaolan Yu and Yanfei Zhang
Mathematics 2026, 14(2), 372; https://doi.org/10.3390/math14020372 - 22 Jan 2026
Viewed by 166
Abstract
In this paper, we introduce the notion of an Np-graded birack and construct its isotope. Every involutive Np-graded birack gives rise to an Np-graded Yang-Baxter algebra. We study the relation between isotopes of involutive Np-graded [...] Read more.
In this paper, we introduce the notion of an Np-graded birack and construct its isotope. Every involutive Np-graded birack gives rise to an Np-graded Yang-Baxter algebra. We study the relation between isotopes of involutive Np-graded biracks and Zhang twists of Np-graded Yang-Baxter algebras. As an example, Yang-Baxter algebras determined by distributive solutions are proved to be Zhang twists of polynomial algebras. Full article
(This article belongs to the Section A: Algebra and Logic)
38 pages, 503 KB  
Article
Zappa–Szép Skew Braces: A Unified Framework for Mutual Interactions in Noncommutative Algebra
by Suha Wazzan and David A. Oluyori
Mathematics 2026, 14(2), 215; https://doi.org/10.3390/math14020215 - 6 Jan 2026
Viewed by 438
Abstract
This paper introduces and systematically develops the theory of Zappa–Szép skew braces, a novel algebraic structure that provides a unified framework for bidirectional group interactions, thereby generalizing the classical constructions of semidirect skew braces and matched-pair factorizations (ZS1–ZS4, BC1–BC2). We establish the [...] Read more.
This paper introduces and systematically develops the theory of Zappa–Szép skew braces, a novel algebraic structure that provides a unified framework for bidirectional group interactions, thereby generalizing the classical constructions of semidirect skew braces and matched-pair factorizations (ZS1–ZS4, BC1–BC2). We establish the complete axiomatic foundation for these objects, characterizing them through necessary and sufficient compatibility conditions that encode mutual actions between two digroups. Central results include a semidirect embedding theorem, explicit constructions of nontrivial examples—notably a fully mutual brace of order 12 built from V4 and C3—and a detailed analysis of key structural invariants such as the socle, center, and automorphism groups. The framework is further elucidated via universal properties and categorical adjunctions, positioning Zappa–Szép skew braces as fundamental objects within noncommutative algebra. Applications to representation theory, cohomology, and the construction of set-theoretic solutions to the Yang–Baxter equation are derived, demonstrating both the generality and utility of the theory. Full article
Show Figures

Figure 1

13 pages, 3153 KB  
Article
Fabrication of a Superhydrophobic Surface via Wet Etching of a Polydimethylsiloxane Micropillar Array
by Wu-Hsuan Pei, Chuan-Chieh Hung and Yi-Je Juang
Polymers 2026, 18(1), 132; https://doi.org/10.3390/polym18010132 - 31 Dec 2025
Viewed by 641
Abstract
Superhydrophobic surfaces have gained considerable attention due to their ability to repel water and reduce surface adhesion, and they are now widely applied for self-cleaning, anti-fouling, anti-icing, and corrosion resistance purposes. In this study, either a computer numerical control (CNC) machine or photolithographic [...] Read more.
Superhydrophobic surfaces have gained considerable attention due to their ability to repel water and reduce surface adhesion, and they are now widely applied for self-cleaning, anti-fouling, anti-icing, and corrosion resistance purposes. In this study, either a computer numerical control (CNC) machine or photolithographic techniques were employed to fabricate molds with microwells, followed by soft lithography to obtain a polydimethylsiloxane (PDMS) micropillar array. An etching process was then carried out. It was found that, as etching time increased, the diameters of micropillars decreased, leading to a decrease in the solid fraction of the composite surface and increases in contact angles. When the ratios of spacing to diameter (W/D) and of height to diameter (H/D) both exceeded 1.5, the contact angle was found to exceed 150° and the original PDMS micropillar surface with a contact angle of around 135° became superhydrophobic. A drastic decrease in sliding angle was also observed at this threshold. Changes in contact angles with different W/D values were in good agreement with values calculated using the Cassie–Baxter equation, and the droplet state was verified by a pressure balance model. Meanwhile, the PDMS etching rate when using acetone as the solvent was approximately 6–8 times faster than that when using 1-Methyl-2-pyrrolidone (NMP), a result which is comparable to data in the literature. Full article
(This article belongs to the Special Issue Polymer Microfabrication and 3D/4D Printing)
Show Figures

Figure 1

18 pages, 319 KB  
Article
Integrable Multispecies Totally Asymmetric Stochastic Interacting Particle Systems with Homogeneous Rates
by Eunghyun Lee and Temirlan Raimbekov
Symmetry 2025, 17(9), 1510; https://doi.org/10.3390/sym17091510 - 11 Sep 2025
Cited by 1 | Viewed by 797
Abstract
We study one-dimensional stochastic particle systems with exclusion interaction—each site can be occupied by at most one particle—and homogeneous jumping rates. Earlier work of Alimohammadi and Ahmadi classified 28 Yang–Baxter integrable two-particle interaction rules for two-species models with homogeneous rates. In this work, [...] Read more.
We study one-dimensional stochastic particle systems with exclusion interaction—each site can be occupied by at most one particle—and homogeneous jumping rates. Earlier work of Alimohammadi and Ahmadi classified 28 Yang–Baxter integrable two-particle interaction rules for two-species models with homogeneous rates. In this work, we show that 7 of these 28 cases can be naturally extended to integrable models with an arbitrary number of species N2. A key novelty of our approach is the discovery of new integrable families with one or two continuous parameters that generalize these seven cases, significantly broadening the known class of multispecies integrable exclusion processes. Furthermore, for 8 of the remaining 21 cases, we propose an alternative extension scheme that also yields integrable N-species models, thereby opening new directions for constructing and classifying integrable particle systems. Full article
Show Figures

Figure 1

23 pages, 526 KB  
Article
Brauer Analysis of Thompson’s Group F and Its Application to the Solutions of Some Yang–Baxter Equations
by Agustín Moreno Cañadas, José Gregorio Rodríguez-Nieto, Olga Patricia Salazar-Díaz, Raúl Velásquez and Hernán Giraldo
Mathematics 2025, 13(7), 1127; https://doi.org/10.3390/math13071127 - 29 Mar 2025
Viewed by 940
Abstract
The study of algebraic invariants associated with Brauer configuration algebras induced by appropriate multisets is said to be a Brauer analysis of the data that define the multisets. In general, giving an explicit description of such invariants as the dimension of the algebras [...] Read more.
The study of algebraic invariants associated with Brauer configuration algebras induced by appropriate multisets is said to be a Brauer analysis of the data that define the multisets. In general, giving an explicit description of such invariants as the dimension of the algebras or the dimension of their centers is a hard problem. This paper performs a Brauer analysis on some generators of Thompson’s group F. It proves that such generators and some appropriate Christoffel words induce Brauer configuration algebras whose dimensions are given by the number of edges and vertices of the binary trees defining them. The Brauer analysis includes studying the covering graph induced by a corresponding quiver; this paper proves that these graphs allow for finding set-theoretical solutions of the Yang–Baxter equation. Full article
(This article belongs to the Special Issue Advances in Combinatorics, Discrete Mathematics and Graph Theory)
Show Figures

Figure 1

18 pages, 354 KB  
Article
Brauer Analysis of Some Time–Memory Trade-Off Attacks and Its Application to the Solution of the Yang–Baxter Equation
by Agustín Moreno Cañadas, Ismael Gutierrez, Odette M. Mendez, Andrés Sarrazola-Alzate and Jesus Antonio Zuluaga-Moreno
Symmetry 2025, 17(3), 391; https://doi.org/10.3390/sym17030391 - 4 Mar 2025
Cited by 1 | Viewed by 1368
Abstract
This paper is focused on some algebraic and combinatorial properties of a TMTO (Time–Memory Trade-Off) for a chosen plaintext attack against a cryptosystem with a perfect secrecy property. TMTO attacks aim to retrieve the preimage of a given one-way function more efficiently than [...] Read more.
This paper is focused on some algebraic and combinatorial properties of a TMTO (Time–Memory Trade-Off) for a chosen plaintext attack against a cryptosystem with a perfect secrecy property. TMTO attacks aim to retrieve the preimage of a given one-way function more efficiently than an exhaustive search and with less memory than a dictionary attack. TMTOs for chosen plaintext attacks against cryptosystems with a perfect secrecy property are associated with some directed graphs, which can be defined by suitable collections of multisets called Brauer configurations. Such configurations induce so-called Brauer configuration algebras, the algebraic and combinatorial invariant analysis of which is said to be a Brauer analysis. In this line, this paper proposes formulas for dimensions of Brauer configuration algebras (and their centers) induced by directed graphs defined by TMTO attacks. These results are used to provide some set-theoretical solutions for the Yang–Baxter equation. Full article
(This article belongs to the Special Issue Symmetry and Lie Algebras)
Show Figures

Figure 1

9 pages, 224 KB  
Article
On Some Unification Theorems: Yang–Baxter Systems; Johnson–Tzitzeica Theorem
by Florin Felix Nichita
Axioms 2025, 14(3), 156; https://doi.org/10.3390/axioms14030156 - 21 Feb 2025
Viewed by 974
Abstract
This paper investigates the properties of the Yang–Baxter equation, which was initially formulated in the field of theoretical physics and statistical mechanics. The equation’s framework is extended through Yang–Baxter systems, aiming to unify algebraic and coalgebraic structures. The unification of the algebra structures [...] Read more.
This paper investigates the properties of the Yang–Baxter equation, which was initially formulated in the field of theoretical physics and statistical mechanics. The equation’s framework is extended through Yang–Baxter systems, aiming to unify algebraic and coalgebraic structures. The unification of the algebra structures and the coalgebra structures leads to an extension for the duality between finite dimensional algebras and finite dimensional coalgebras to the category of finite dimensional Yang–Baxter structures. In the same manner, we attempt to unify the Tzitzeica–Johnson theorem and its dual version, obtaining a new theorem about circle configurations. Full article
(This article belongs to the Special Issue New Perspectives in Lie Algebras)
Show Figures

Figure 1

24 pages, 356 KB  
Article
Set-Theoretical Solutions for the Yang–Baxter Equation in GE-Algebras: Applications to Quantum Spin Systems
by Ibrahim Senturk, Tahsin Oner, Abdullah Engin Çalık, Hüseyin Şirin, Metin Bilge and Neelamegarajan Rajesh
Axioms 2024, 13(12), 846; https://doi.org/10.3390/axioms13120846 - 2 Dec 2024
Cited by 1 | Viewed by 1907
Abstract
This manuscript presents set-theoretical solutions to the Yang–Baxter equation within the framework of GE-algebras by constructing mappings that satisfy the braid condition and exploring the algebraic properties of GE-algebras. Detailed proofs and the use of left and right translation operators are provided to [...] Read more.
This manuscript presents set-theoretical solutions to the Yang–Baxter equation within the framework of GE-algebras by constructing mappings that satisfy the braid condition and exploring the algebraic properties of GE-algebras. Detailed proofs and the use of left and right translation operators are provided to analyze these algebraic interactions, while an algorithm is introduced to automate the verification process, facilitating broader applications in quantum mechanics and mathematical physics. Additionally, the Yang–Baxter equation is applied to spin transformations in quantum mechanical spin-12 systems, with transformations like rotations and reflections modeled using GE-algebras. A Cayley table is used to represent the algebraic structure of these transformations, and the proposed algorithm ensures that these solutions are consistent with the Yang–Baxter equation, offering new insights into the role of GE-algebras in quantum spin systems. Full article
12 pages, 23755 KB  
Article
Estimation of the Structure of Hydrophobic Surfaces Using the Cassie–Baxter Equation
by Oleksiy Myronyuk, Egidijus Vanagas, Aleksej M. Rodin and Miroslaw Wesolowski
Materials 2024, 17(17), 4322; https://doi.org/10.3390/ma17174322 - 31 Aug 2024
Cited by 19 | Viewed by 3587
Abstract
The effect of extreme water repellency, called the lotus effect, is caused by the formation of a Cassie–Baxter state in which only a small portion of the wetting liquid droplet is in contact with the surface. The rest of the bottom of the [...] Read more.
The effect of extreme water repellency, called the lotus effect, is caused by the formation of a Cassie–Baxter state in which only a small portion of the wetting liquid droplet is in contact with the surface. The rest of the bottom of the droplet is in contact with air pockets. Instrumental methods are often used to determine the textural features that cause this effect—scanning electron and atomic force microscopies, profilometry, etc. However, this result provides only an accurate texture model, not the actual information about the part of the surface that is wetted by the liquid. Here, we show a practical method for estimating the surface fraction of texture that has contact with liquid in a Cassie–Baxter wetting state. The method is performed using a set of ethanol–water mixtures to determine the contact angle of the textured and chemically equivalent flat surfaces of AlSI 304 steel, 7500 aluminum, and siloxane elastomer. We showed that the system of Cassie–Baxter equations can be solved graphically by the wetting diagrams introduced in this paper, returning a value for the texture surface fraction in contact with a liquid. We anticipate that the demonstrated method will be useful for a direct evaluation of the ability of textures to repel liquids, particularly superhydrophobic and superoleophobic materials, slippery liquid-infused porous surfaces, etc. Full article
Show Figures

Figure 1

26 pages, 1493 KB  
Article
Two Methods Based on Integral Equation Approaches in Analyzing Polyelectrolyte Solutions: Macrophase Separation
by Junhan Cho
Polymers 2024, 16(16), 2255; https://doi.org/10.3390/polym16162255 - 8 Aug 2024
Viewed by 1508
Abstract
To understand the phase behaviors of polyelectrolyte solutions, we provide two analytical methods to formulate a molecular equation of state for a system of fully charged polyanions (PAs) and polycations (PCs) in a monomeric neutral component, based on integral equation theories. The mixture [...] Read more.
To understand the phase behaviors of polyelectrolyte solutions, we provide two analytical methods to formulate a molecular equation of state for a system of fully charged polyanions (PAs) and polycations (PCs) in a monomeric neutral component, based on integral equation theories. The mixture is treated in a primitive and restricted manner. The first method utilizes Blum’s approach to charged hard spheres, incorporating the chain connectivity contribution by charged spheres via Stell’s cavity function method. The second method employs Wertheim’s multi-density Ornstein–Zernike treatment of charged hard spheres with Baxter’s adhesive potential. The pressures derived from these methods are compared to available molecular dynamics simulations data for a solution of PAs and monomeric counterions as a limiting case. Two-phase equilibrium for the system is calculated using both methods to evaluate the relative strength of phase segregation that leads to complex coacervation. Additionally, the scaling exponents for a selected solution near its critical point are examined. Full article
(This article belongs to the Section Polymer Physics and Theory)
Show Figures

Graphical abstract

24 pages, 381 KB  
Article
Functional Bethe Ansatz for a sinh-Gordon Model with Real q
by Sergey Sergeev
Symmetry 2024, 16(8), 947; https://doi.org/10.3390/sym16080947 - 24 Jul 2024
Cited by 1 | Viewed by 2097
Abstract
Recently, Bazhanov and Sergeev have described an Ising-type integrable model which can be identified as a sinh-Gordon-type model with an infinite number of states but with a real parameter q. This model is the subject of Sklyanin’s Functional Bethe Ansatz. We develop [...] Read more.
Recently, Bazhanov and Sergeev have described an Ising-type integrable model which can be identified as a sinh-Gordon-type model with an infinite number of states but with a real parameter q. This model is the subject of Sklyanin’s Functional Bethe Ansatz. We develop in this paper the whole technique of the FBA which includes: (1) Construction of eigenstates of an off-diagonal element of a monodromy matrix. The most important ingredients of these eigenstates are the Clebsh-Gordan coefficients of the corresponding representation. (2) Separately, we discuss the Clebsh-Gordan coefficients, as well as the Wigner’s 6j symbols, in details. The later are rather well known in the theory of 3D indices. Thus, the Sklyanin basis of the quantum separation of variables is constructed. The matrix elements of an eigenstate of the auxiliary transfer matrix in this basis are products of functions satisfying the Baxter equation. Such functions are called usually the Q-operators. We investigate the Baxter equation and Q-operators from two points of view. (3) In the model considered the most convenient Bethe-type variables are the zeros of a Wronskian of two well defined particular solutions of the Baxter equation. This approach works perfectly in the thermodynamic limit. We calculate the distribution of these roots in the thermodynamic limit, and so we reproduce in this way the partition function of the model. (4) The real parameter q, which is the standard quantum group parameter, plays the role of the absolute temperature in the model considered. Expansion with respect to q (tropical expansion) gives an alternative way to establish the structure of the eigenstates. In this way we classify the elementary excitations over the ground state. Full article
(This article belongs to the Special Issue Symmetry in Statistical Mechanics and Complex Dynamical Systems)
57 pages, 16061 KB  
Review
Nature-Inspired Superhydrophobic Coating Materials: Drawing Inspiration from Nature for Enhanced Functionality
by Subodh Barthwal, Surbhi Uniyal and Sumit Barthwal
Micromachines 2024, 15(3), 391; https://doi.org/10.3390/mi15030391 - 13 Mar 2024
Cited by 76 | Viewed by 21743
Abstract
Superhydrophobic surfaces, characterized by exceptional water repellency and self-cleaning properties, have gained significant attention for their diverse applications across industries. This review paper comprehensively explores the theoretical foundations, various fabrication methods, applications, and associated challenges of superhydrophobic surfaces. The theoretical section investigates the [...] Read more.
Superhydrophobic surfaces, characterized by exceptional water repellency and self-cleaning properties, have gained significant attention for their diverse applications across industries. This review paper comprehensively explores the theoretical foundations, various fabrication methods, applications, and associated challenges of superhydrophobic surfaces. The theoretical section investigates the underlying principles, focusing on models such as Young’s equation, Wenzel and Cassie–Baxter states, and the dynamics of wetting. Various fabrication methods are explored, ranging from microstructuring and nanostructuring techniques to advanced material coatings, shedding light on the evolution of surface engineering. The extensive applications of superhydrophobic surfaces, spanning from self-cleaning technologies to oil–water separation, are systematically discussed, emphasizing their potential contributions to diverse fields such as healthcare, energy, and environmental protection. Despite their promising attributes, superhydrophobic surfaces also face significant challenges, including durability and scalability issues, environmental concerns, and limitations in achieving multifunctionality, which are discussed in this paper. By providing a comprehensive overview of the current state of superhydrophobic research, this review aims to guide future investigations and inspire innovations in the development and utilization of these fascinating surfaces. Full article
(This article belongs to the Special Issue Nanomaterials for Micro/Nano Devices)
Show Figures

Figure 1

13 pages, 2488 KB  
Article
On Two Non-Ergodic Reversible Cellular Automata, One Classical, the Other Quantum
by Tomaž Prosen
Entropy 2023, 25(5), 739; https://doi.org/10.3390/e25050739 - 30 Apr 2023
Cited by 3 | Viewed by 2451
Abstract
We propose and discuss two variants of kinetic particle models—cellular automata in 1 + 1 dimensions—that have some appeal due to their simplicity and intriguing properties, which could warrant further research and applications. The first model is a deterministic and reversible automaton describing [...] Read more.
We propose and discuss two variants of kinetic particle models—cellular automata in 1 + 1 dimensions—that have some appeal due to their simplicity and intriguing properties, which could warrant further research and applications. The first model is a deterministic and reversible automaton describing two species of quasiparticles: stable massless matter particles moving with velocity ±1 and unstable standing (zero velocity) field particles. We discuss two distinct continuity equations for three conserved charges of the model. While the first two charges and the corresponding currents have support of three lattice sites and represent a lattice analogue of the conserved energy–momentum tensor, we find an additional conserved charge and current with support of nine sites, implying non-ergodic behaviour and potentially signalling integrability of the model with a highly nested R-matrix structure. The second model represents a quantum (or stochastic) deformation of a recently introduced and studied charged hardpoint lattice gas, where particles of different binary charge (±1) and binary velocity (±1) can nontrivially mix upon elastic collisional scattering. We show that while the unitary evolution rule of this model does not satisfy the full Yang–Baxter equation, it still satisfies an intriguing related identity which gives birth to an infinite set of local conserved operators, the so-called glider operators. Full article
Show Figures

Figure 1

Back to TopTop