Sign in to use this feature.

Years

Between: -

Subjects

remove_circle_outline
remove_circle_outline
remove_circle_outline
remove_circle_outline
remove_circle_outline
remove_circle_outline
remove_circle_outline
remove_circle_outline
remove_circle_outline

Journals

Article Types

Countries / Regions

Search Results (84)

Search Parameters:
Keywords = Anacardium occidentale

Order results
Result details
Results per page
Select all
Export citation of selected articles as:
32 pages, 5730 KB  
Article
Anti-Aging and Wound Healing Activity of Cashew Apple (Anacardium occidentale) Extract and Its Liposomal Development to Enhance Skin Permeability and Ascorbic Acid Stability
by Narumon Changsan, Apichart Atipairin, Poowadon Muenraya, Pajaree Sakdiset, Titpawan Nakpheng, Teerapol Srichana, Rutthapol Sritharadol, Neelam Balekar, Wirot Chanthorn, Nawattakorn Nualsri, Mapasawan Lewviriyakun and Somchai Sawatdee
Cosmetics 2025, 12(6), 246; https://doi.org/10.3390/cosmetics12060246 - 5 Nov 2025
Viewed by 899
Abstract
The cashew apple (Anacardium occidentale L.) is rich in antioxidant bioactive constituents that have anti-aging and wound healing properties. The objective of this study is to evaluate the biological activities of cashew apple extract (CAE) and to improve the issue involving the [...] Read more.
The cashew apple (Anacardium occidentale L.) is rich in antioxidant bioactive constituents that have anti-aging and wound healing properties. The objective of this study is to evaluate the biological activities of cashew apple extract (CAE) and to improve the issue involving the instability of ascorbic acid, the principal active compound, by encapsulating the extract in liposomes in order to enhance its stability and skin permeation for cosmetic applications. CAE was obtained from fresh cashew apple via ethanol maceration, solvent evaporation, and freeze-drying. Ascorbic acid content, total phenolic content (TPC), total flavonoid content (TFC), and total caffeoylquinic acid content (TCQAC) were determined. The ascorbic acid content and its tautomer in the extract were quantified using the LC-MS/MS method. Biological activities, including antioxidant, anti-tyrosinase, fibroblast collagen synthesis, cytoprotection against oxidative stress, wound healing, and cytotoxicity, were assessed. CAE was encapsulated in liposomes to enhance the stability of its inherent ascorbic acid and improve its skin in comparison to free-CAE. The CAE and liposomal-CAE were incorporated and formulated into a solution, and their physicochemical stability was assessed after storage. CAE appeared as a brown, viscous liquid with a characteristic sweet, fruity scent. Each gram of CAE contained 0.90 ± 0.05 mg of ascorbic acid, TPC, 81.40 ± 7.14 mg of gallic acid equivalents (GAE), TFC, 3.73 ± 0.30 mg of rutin equivalents (RE), and TCQAC, 4.48 ± 0.05 mg of chlorogenic acid equivalents (CGAE). CAE exhibited antioxidant properties (IC50 = 282.19 ± 11.16 and 963.66 ± 3.95 µg/mL for DPPH and ABTS assay, respectively) and weak anti-tyrosinase activity (IC50 = 4213.77 ± 138.97 µg/mL). It was non-cytotoxic to fibroblast and monocyte cells at a concentration of less than 1 mg/mL. In vitro wound healing assays demonstrated that CAE stimulated collagen production in a dose-dependent manner at CAE concentrations above 250 µg/mL. Additionally, CAE exhibited cytoprotective effects against H2O2-induced oxidative stress and did not induce inflammatory responses in immune cells. The liposomal formulation containing CAE achieved high encapsulation efficiency (79.75–84.55%) based on ascorbic acid content. In skin permeation studies, CAE-loaded liposomes demonstrated an enhancement ratio approximately two-fold greater than that of free-CAE. Stability testing over 3 months showed that the ascorbic acid content in CAE-loaded liposomes remained significantly higher than that in the free-CAE under both refrigerated and long-term conditions (30 °C/75% RH). CAE demonstrated potential anti-aging properties for improving aging skin. Liposomal incorporation markedly improved ascorbic acid stability and skin permeability. Full article
(This article belongs to the Special Issue Functional Molecules as Novel Cosmetic Ingredients)
Show Figures

Graphical abstract

27 pages, 3430 KB  
Article
Systematic Characterization of Antioxidant Shielding Capacity Against Oxidative Stress of Aerial Part Extracts of Anacardium occidentale
by Alejandro Ponce-Mora, Lucia Gimeno-Mallench, José Luis Lavandera, Ryland T. Giebelhaus, Alicia Domenech-Bendaña, Antonella Locascio, Irene Gutierrez-Rojas, Salvatore Sauro, Paulina de la Mata, Seo Lin Nam, Vanessa Méril-Mamert, Muriel Sylvestre, James J. Harynuk, Gerardo Cebrián-Torrejón and Eloy Bejarano
Antioxidants 2025, 14(8), 935; https://doi.org/10.3390/antiox14080935 - 30 Jul 2025
Viewed by 1439
Abstract
Oxidative stress is a biological imbalance that contributes to cellular damage and is a major driver of aging and age-related disorders, prompting the search for natural antioxidant agents. Our study is a phytochemical, electrochemical, and biological characterization of the antioxidant potential of aqueous [...] Read more.
Oxidative stress is a biological imbalance that contributes to cellular damage and is a major driver of aging and age-related disorders, prompting the search for natural antioxidant agents. Our study is a phytochemical, electrochemical, and biological characterization of the antioxidant potential of aqueous extracts from aerial parts of A. occidentale—leaves, bark, fruit, and cashew nuts—traditionally used in folklore medicine. Extracts were analyzed using FT-IR spectroscopy, GC × GC-TOFMS, polyphenol quantification, and antioxidant capacity assays (ABTS, FRAP, DPPH). Biological activity was tested in different mice and human cell lines (SH-SY5Y, MEF, ARPE-19, and HLECs). Aqueous extracts from the leaves and bark of A. occidentale exhibited significantly higher antioxidant activity compared to those from the fruit and cashew nut. These extracts showed elevated polyphenol content and strong performance in antioxidant capacity assays. In vitro, leaf and bark extracts enhanced cell viability under H2O2-induced oxidative stress, preserved mitochondrial membrane potential, and upregulated cytoprotective genes (HMOX1, NQO1, GCLC, and GCLM) in multiple cell lines. In contrast, fruit and nut extracts showed minimal antioxidant activity and no significant gene modulation. Our findings underscore the therapeutic potential of A. occidentale leaf and bark extracts as effective natural antioxidants and support their further development as candidates for phytotherapeutic interventions. Full article
Show Figures

Figure 1

20 pages, 2456 KB  
Article
Essential Oil from the Leaves of the Dwarf Cashew Tree (Anacardium occidentale L.) in the Amazon Savannah: Physicochemical and Antioxidant Properties as a Food Preservative
by Maria Clarisnete de Oliveira Moura, Esther Morais da Silva Assuncão, Salatiel Silva Barbosa, Edu Istarley Lourenço Tenente, Alessandro Pereira de Souza, Rajá Vidya Moreira dos Santos, Ana Paula Folmer Correa, Laura Adriane de Moraes Pinto, Amélia Carlos Tuler, Daniela Cavalcante dos Santos Campos, Marcos Jose Salgado Vital, Antonio Alves de Melo Filho and Jéssica de Oliveira Monteschio
Foods 2025, 14(11), 1954; https://doi.org/10.3390/foods14111954 - 30 May 2025
Viewed by 1578
Abstract
Anacardium occidentale, known as cashew tree, is widely used in the Amazon. This study aimed to evaluate the chemical composition, as well as the biological, physicochemical, antioxidant, and acceptability properties, of the essential oil (EO) extracted from the leaves of the dwarf [...] Read more.
Anacardium occidentale, known as cashew tree, is widely used in the Amazon. This study aimed to evaluate the chemical composition, as well as the biological, physicochemical, antioxidant, and acceptability properties, of the essential oil (EO) extracted from the leaves of the dwarf cashew tree (EOLC) from the Amazonian savanna. The EO was obtained by hydrodistillation from fresh and frozen leaves, with the frozen sample selected due to its higher yield. The components of the EOLC were identified by GC-MS. Antioxidant activity was assessed using DPPH and ABTS radicals, with values of 1.96 µmol Trolox mL−1 and 1.41 mM, respectively. Total phenolic content was determined by the Folin–Ciocalteu method. Antibacterial activity was evaluated by agar diffusion and minimum inhibitory concentration (MIC) methods, and toxicity was assessed with Artemia salina L. The physicochemical properties analyzed included density, refractive index, viscosity, and solubility. Terpinolene was identified as the major compound (80.21%). The EOLC exhibited antioxidant capacity, stronger antibacterial action against Gram-positive bacteria, moderate toxicity, and appropriate physicochemical characteristics. The 0.05% concentration was the most accepted in the sensory evaluation, standing out as a promising natural alternative for application in meat products. These findings highlight the potential of EOLC as a natural food preservative and a source of bioactive compounds, with promising applications in various food matrices. Full article
Show Figures

Graphical abstract

14 pages, 515 KB  
Article
Potential Use of Tropical and Subtropical Fruits By-Products in Pig Diet: In Vitro Two-Step Evaluation
by Dieu donné Kiatti, Francesco Serrapica, Nadia Musco, Rossella Di Palo and Serena Calabrò
Animals 2025, 15(10), 1454; https://doi.org/10.3390/ani15101454 - 17 May 2025
Cited by 1 | Viewed by 950
Abstract
Pineapple (Ananas comosus L.), cashew (Anacardium occidentale L.) and mango (Mangifera indica L.) are among the most cultivated plants in tropical and subtropical regions due to the high demand around the world. Following the harvesting and processing of pineapple, cashew [...] Read more.
Pineapple (Ananas comosus L.), cashew (Anacardium occidentale L.) and mango (Mangifera indica L.) are among the most cultivated plants in tropical and subtropical regions due to the high demand around the world. Following the harvesting and processing of pineapple, cashew and mango fruits, a huge amount of waste is generated, which is generally discarded into the environment, contributing to global pollution and water contamination. This study aims to propose alternative feeds for pigs by characterizing cashew, pineapple and mango fruit by-products through an in vitro two-step (gastro-intestinal and caecum) study to provide feeds not competing with humans and promoting eco-sustainable livestock. Ten by-products [i.e., pineapple peel and pomace; cashew nut testa, cashew (var. yellow) whole fruit and pomace; cashew (var. red) whole fruit and pomace; mango peel, kernel and testa] were sampled in Benin. The samples involved chemical analysis and an in vitro two-step digestion method (enzymatic + microbial digestibility). The results report a low dry matter (DM) content specifically in the pomace, peel and whole apple (13.0–27.2%), while higher lipids were observed for cashew nut testa and mango kernel (26.4 and 11.2% DM). The investigated by-products fall within the interval of referenced feeds for structural carbohydrates (NDF: 7.6–47.1% DM) and protein (6.21–51.2% DM), except mango by-products with a low content of protein (2.51–4.69% DM). The total dry matter digestibility, short-chain fatty acid and gas production were low for cashew by-products and stopped after 48 h of incubation. Pineapple pomace, cashew whole apple, pomace and testa can be considered as feedstuff in fattening pigs, presenting characteristics partly similar to beet pulp. Indeed, mango peel and kernel should be combined with a protein feed source to feed pigs. Presently, fruit by-products, such as those from cashew, pineapple and mango, are thrown into the environment, contributing to global warming and water pollution. These problems would be reduced by recycling these wastes in other fields, such as pig nutrition, creating a circular economy to provide feeds promoting eco-sustainable livestock. Indeed, in vivo studies are needed before proposing these by-products for pig diets. Full article
(This article belongs to the Collection Use of Agricultural By-Products in Animal Feeding)
Show Figures

Figure 1

17 pages, 741 KB  
Article
Quantification of GHG Emissions Using Different Methodologies in Tropical Conventional Cashew Cultivation
by Jonnathan Richeds da Silva Sales, Viviane da Silva Barros, Claudivan Feitosa de Lacerda, Maria Cléa Brito de Figueirêdo, Antonio Fabio da Silva Lima and Adriana Correa-Guimaraes
Sustainability 2025, 17(7), 3042; https://doi.org/10.3390/su17073042 - 29 Mar 2025
Viewed by 1214
Abstract
Quantifying GHG emissions from cashew cultivation, especially in Brazil, is essential to assess the environmental impact and promote the sustainable development of this activity. The objective of this study is to evaluate and compare methods for quantifying GHG emissions based on empirical equations [...] Read more.
Quantifying GHG emissions from cashew cultivation, especially in Brazil, is essential to assess the environmental impact and promote the sustainable development of this activity. The objective of this study is to evaluate and compare methods for quantifying GHG emissions based on empirical equations for life cycle inventories, using the conventional cashew production system in Brazil as a case study. The scope of the study encompasses, from gate to gate in a dwarf cashew production system, considering the production of one ton of cashew as a functional unit. GHG emissions were assessed and compared using the following methodologies: Nemecek-Calc, WFLDB, IPCC-Calc, BR-Calc, and Agri-footprint. The environmental assessment followed ISO standards (14040, 14044, and 14067). The results showed that the carbon footprint varied among the evaluated methodologies, with a difference of 24.5% between the highest value (129.5 kg CO2 eq-IPCC-Calc and BR-Calc) and the lowest (104 kg CO2 eq-Nemecek-Calc) per ton of cashew. N2O was the main contributor to emissions, accounting for up to 75.9%, while CO2 represented up to 25.8%. Based on the analysis criteria, WFLDB, IPCC-Calc, and BR-Calc are the most recommended methodologies, balancing clarity, scientific robustness, and regional adaptation. The choice of methodology is fundamental, as it directly influences the results and interpretation of the carbon footprint in cashew farming, impacting the sustainability of this agricultural activity. Full article
Show Figures

Figure 1

14 pages, 5527 KB  
Article
Study of Electrochemical Transformation of Anacardic Acid from Cashew (Anacardium occidentale) Nut Shell Liquid
by Alvaro A. Arrieta, Jorge A. Ducuara and Yamid Nuñez de la Rosa
Molecules 2025, 30(6), 1330; https://doi.org/10.3390/molecules30061330 - 16 Mar 2025
Cited by 2 | Viewed by 2292
Abstract
The valorization of agricultural waste has gained attention due to the need for sustainable technologies addressing environmental and economic challenges. The aim of this work is to investigate the electrochemical transformation of anacardic acid, a major component of cashew nut shell liquid (CNSL), [...] Read more.
The valorization of agricultural waste has gained attention due to the need for sustainable technologies addressing environmental and economic challenges. The aim of this work is to investigate the electrochemical transformation of anacardic acid, a major component of cashew nut shell liquid (CNSL), into organic acids and polymeric materials. Cyclic voltammetry (CV) was carried out on ethanolic anacardic acid solutions with NaOH as the supporting electrolyte to induce oxidation reactions. CV, FTIR spectroscopy, and electrochemical impedance spectroscopy (EIS) were used to analyze the transformation processes. The results revealed oxidation sequences involving phenoxyl radicals, hydroquinones, and benzoquinones, leading to ring-opening reactions and the production of low-molecular-weight organic acids, including propionic, formic, oxalic, lactic, and acetic acids, as confirmed by HPLC. Polymerization processes were also observed, leading to the attainment of polymeric materials. FTIR spectra showed changes in phenol and carboxylic acid bands, confirming chemical transformations. CV and EIS indicated irreversible oxidation processes with charge transfer coefficients between 0.397 and 0.414 controlled by diffusion–adsorption. This work demonstrates the feasibility of electrochemical oxidation as a green method for producing organic acids from anacardic acid, aligning with circular economy principles and reducing reliance on petrochemical sources. It highlights the potential of electrochemical approaches for sustainable biomass utilization and fine chemical synthesis. Full article
Show Figures

Figure 1

14 pages, 561 KB  
Article
Cashew Gum (Anacardium occidentale) Hydrogel for Sustainable Irrigation of Cactus Pear: Effects on Growth, Chemical Composition, and Mineral Content
by Dhiéssica Barros, Ricardo Edvan, João Paulo Pessoa, Romilda Nascimento, Luan Felipe Camboim, Shirlenne Silva, José Morais Pereira Filho, Heldeney Sousa, Edson Cavalcanti Silva-Filho, Mozart Fonseca and Leilson Bezerra
Sustainability 2025, 17(2), 501; https://doi.org/10.3390/su17020501 - 10 Jan 2025
Cited by 2 | Viewed by 1724
Abstract
Hydrogels are substances designed to retain significant quantities of water and slowly release it to support plant growth. This study produced and evaluated the use of a test hydrogel (TH), a natural polymer derived from cashew gum (Anacardium occidentale), on the [...] Read more.
Hydrogels are substances designed to retain significant quantities of water and slowly release it to support plant growth. This study produced and evaluated the use of a test hydrogel (TH), a natural polymer derived from cashew gum (Anacardium occidentale), on the growth, chemical composition, and mineral content of cactus pear genotypes. The TH was compared to a negative control (no hydrogel; NH), and to a positive control or commercial hydrogel (CH). The CH was a synthetic polyacrylamide-based hydrogel. The study was carried out in a completely randomized design with a 3 × 3 factorial arrangement (n = 36), involving three hydrogel types × three cactus pear genotypes [Elephant Ear (Opuntia stricta); Giant (Opuntia ficus-indica); and Sweet (Nopalea cochenillifera)]. There was a significant effect of interaction (p ≤ 0.05) between genotypes and hydrogel types on cladode area, plant height, dry biomass of cladodes, and macro- and micromineral content. The use of TH promoted greater growth and improved chemical and mineral composition (p ≤ 0.05) to cactus genotypes. The Sweet genotype hydrated with TH presented the highest crude protein accumulation (p ≤ 0.05). Cashew gum-based hydrogel improved both growth and chemical composition of the cactus genotypes, and it is an eco-friendly alternative to synthetic polymers. Full article
Show Figures

Figure 1

24 pages, 8130 KB  
Article
Structural Characterization and In Vitro and In Silico Studies on the Anti-α-Glucosidase Activity of Anacardic Acids from Anacardium occidentale
by Ana Priscila Monteiro da Silva, Gisele Silvestre da Silva, Francisco Oiram Filho, Maria Francilene Souza Silva, Guilherme Julião Zocolo and Edy Sousa de Brito
Foods 2024, 13(24), 4107; https://doi.org/10.3390/foods13244107 - 19 Dec 2024
Cited by 1 | Viewed by 2465
Abstract
The growing focus on sustainable use of natural resources has brought attention to cashew nut shell liquid (CNSL), a by-product rich in anacardic acids (AAs) with potential applications in diabetes treatment. In this study, three different AAs from CNSL, monoene (15:1, AAn1), diene [...] Read more.
The growing focus on sustainable use of natural resources has brought attention to cashew nut shell liquid (CNSL), a by-product rich in anacardic acids (AAs) with potential applications in diabetes treatment. In this study, three different AAs from CNSL, monoene (15:1, AAn1), diene (15:2, AAn2), and triene (15:3, AAn3), and a mixture of the three (mix) were evaluated as α-glucosidase inhibitors. The samples were characterized by combining 1D and 2D NMR spectroscopy, along with ESI-MS. In vitro assays revealed that AAn1 had the strongest inhibitory effect (IC50 = 1.78 ± 0.08 μg mL−1), followed by AAn2 (1.99 ± 0.76 μg mL−1), AAn3 (3.31 ± 0.03 μg mL−1), and the mixture (3.72 ± 2.11 μg mL−1). All AAs significantly outperformed acarbose (IC50 = 169.3 μg mL−1). In silico docking suggested that polar groups on the aromatic ring are key for enzyme–ligand binding. The double bond at C15, while not essential, enhanced the inhibitory effects. Toxicity predictions classified AAs as category IV, and pharmacokinetic analysis suggested moderately favorable drug-like properties. These findings highlight AAs as a promising option in the search for new hypoglycemic compounds. Full article
(This article belongs to the Section Nutraceuticals, Functional Foods, and Novel Foods)
Show Figures

Figure 1

19 pages, 2228 KB  
Article
Genotypic Differences Among Scions and Rootstocks Involved with Oxidative Damage and Ionic Toxicity in Cashew Plants Under Salinity
by Eugênio Silva Araújo Júnior, Anselmo Ferreira Silva, Josemir Moura Maia, Elania Freire da Silva, Alexandre Maniçoba da Rosa Ferraz Jardim, Hugo Rafael Bentzen Santos, Carlos Alberto Vieira Souza, Adriano do Nascimento Simões, Eduardo Souza and Sérgio Luiz Ferreira-Silva
Horticulturae 2024, 10(12), 1341; https://doi.org/10.3390/horticulturae10121341 - 14 Dec 2024
Cited by 3 | Viewed by 938
Abstract
The aim of this study was to evaluate the influence of scion/rootstock genotypes on ionic toxicity, oxidative damage, and photosynthesis in cashew plants subjected to salt stress. Scion/rootstock combinations (CCP 76/CCP 76, CCP 76/CCP 09, CCP 09/CCP 09 and CCP 09/CCP 76) were [...] Read more.
The aim of this study was to evaluate the influence of scion/rootstock genotypes on ionic toxicity, oxidative damage, and photosynthesis in cashew plants subjected to salt stress. Scion/rootstock combinations (CCP 76/CCP 76, CCP 76/CCP 09, CCP 09/CCP 09 and CCP 09/CCP 76) were obtained by reciprocal grafting between two genotypes (CCP 76 and CCP 09) of dwarf cashew and subjected to increased NaCl (0, 50 and 100 mM) for 30 days. Plants with CCP 76 scions had higher leaf fresh weights compared to plants with CCP 09 scions in both moderate (50 mM)- and high (100 mM)-salinity conditions. Under moderate levels of salinity, CCP 76 scions showed lower stomatal conductance, which is associated with weaker leaf toxicity symptoms, as well as lower Na+ content and higher K+ content in the leaves. Thus, the better foliar exclusion of Na+ by CCP 76 scions can be attributed to greater stomatal control, which allows for better growth and sufficient foliar K+ nutrition to mitigate foliar toxicity. Under high levels of salinity, a reduction in net photosynthesis occurred in all scion/rootstock combinations, which was apparently due to stomatal and non-stomatal restrictions. The activities of the oxidative enzymes (superoxide dismutase—SOD; ascorbate peroxidase—APX; and phenol peroxidase—POD) were little influenced by salinity, while there was a significant increase in the non-enzymatic antioxidants ascorbate (AsA) and glutathione (GSH). In addition, a reduction in photochemical activity was observed under saline conditions, suggesting that photosystems possess a potential protective mechanism. It was observed that the stomatal closure exhibited by the CCP 76 scion genotype may exert relative control over the flow of Na+ to the shoots under salt stress conditions. Taken together, the data show that, in the two genotypes evaluated, oxidative protection was more associated with reduced photochemical activity and higher levels of non-enzymatic antioxidants (AsA and GSH) than it was with the SOD-APX-POD enzymatic system. Full article
(This article belongs to the Section Genetics, Genomics, Breeding, and Biotechnology (G2B2))
Show Figures

Figure 1

20 pages, 7568 KB  
Article
Effect of Anacardium occidentale Leaf Powder on Growth Performance, Diarrhea Incidence, Blood Biochemistry, and Intestinal Traits in Weaned Piglets
by Roisbel Aroche, Ge Gao, Yanpin Li, Yonggang Zhang, Román Rodríguez, Yordan Martínez and Xilong Li
Animals 2024, 14(23), 3382; https://doi.org/10.3390/ani14233382 - 25 Nov 2024
Cited by 1 | Viewed by 1221
Abstract
To evaluate the phytobiotic effect of Anacardium occidentale leaf powder (AOLP) on growth performance, diarrhea incidence, blood biochemistry, and intestinal traits, seventy-two weaned piglets were randomly distributed into four groups (six replicates/group and three pigs/replicate) for 28 days, receiving a control diet (T0) [...] Read more.
To evaluate the phytobiotic effect of Anacardium occidentale leaf powder (AOLP) on growth performance, diarrhea incidence, blood biochemistry, and intestinal traits, seventy-two weaned piglets were randomly distributed into four groups (six replicates/group and three pigs/replicate) for 28 days, receiving a control diet (T0) or being supplemented with 5 (T1), 10 (T2), or 15 (T3) g/kg of AOLP. The diets did not affect the growth performance (p > 0.05); however, the AOLP groups had a decreased diarrhea incidence and malondialdehyde concentration (p < 0.05; 28 days). However, the AOLP groups had increased immunoglobulins (G and M) and villus heights (p < 0.05) in the duodenum. Likewise, T3 improved the number of goblet cells in the villi and the whole intestine (p < 0.01), the Mucin2 area in the jejunum and ileum (p < 0.05), occludin gene expression in the jejunum (p < 0.01), and acetic and valeric acid production (p < 0.05). Microbial diversity at the genus level was not different (p > 0.05); however, T3 increased the abundance of the Lactobacillus genus. These findings suggest that dietary supplementation with AOLP improved intestinal health by increasing antioxidant, immune, anti-inflammatory, and antidiarrheal activity in the weaned piglets. Full article
(This article belongs to the Section Animal Nutrition)
Show Figures

Figure 1

14 pages, 283 KB  
Article
Effect of High-Tannin and -Polyphenol Plant Material Supplement on Rumen Fermentation, Nitrogen Partitioning and Nutrient Utilization in Beef Cattle
by Pichad Khejornsart, Theerayut Juntanam, Pongsatorn Gunun, Nirawan Gunun and Anusorn Cherdthong
Animals 2024, 14(21), 3092; https://doi.org/10.3390/ani14213092 - 26 Oct 2024
Cited by 3 | Viewed by 2490
Abstract
The current issue of ruminant methane emissions is still being researched by animal nutritionists in an effort to find new approaches. In this study, five beef cattle were randomly assigned in a 5 × 5 Latin square design to examine the effects of [...] Read more.
The current issue of ruminant methane emissions is still being researched by animal nutritionists in an effort to find new approaches. In this study, five beef cattle were randomly assigned in a 5 × 5 Latin square design to examine the effects of supplementation with high-tannin and -polyphenol plant materials on nutrient utilization, rumen fermentation, and nitrogen partitioning. Cattle offered total mixed ration (TMR) silage diets with or without tannin-rich tree leaf or plant herbs, such as Piper sarmentosum Roxb., Cymbopogon citratus (DC.) Stapf, Anacardium occidentale L., and Careya arborea Roxb., were supplemented at a dose of 10 g/d. Prior to TMR feeding, the animals’ meals were supplemented with 10 g of fortified plant materials twice a day, along with 100 g of rice bran. The animals in the control group received only 100 g of rice bran and no other plant materials. The result showed that there was no difference in nutrient intake or digestibility between the supplemented and control groups. Although the effect of ruminal pH, NH3-N, Total VFA, acetate (C2), and butyrate (C4) was not significant (p > 0.05), the proportion of propionate (C3) tended to increase with supplementation (p = 0.07). There was no difference in the excretion of purine derivatives or the amount of microbial nitrogen supply, even though supplemented animals had significantly lower protozoal populations than the control group (p < 0.05). Moreover, when A. occidentale or C. arborea was added to the TMR silage diet, the nitrogen intake and retention increased considerably, although total nitrogen excretion decreased. In this approach, the leaves of Anacardium occidentale L. and Careya arborea Roxb. were particularly promising for strategic supplementation. Full article
17 pages, 2236 KB  
Article
Cashew Clones Water Productivity and Production Responses to Different Biochar Levels
by Rubens Sonsol Gondim, Carlos Alberto Kenji Taniguchi, Luiz Augusto Lopes Serrano and Carlos Farley Herbster Moura
AgriEngineering 2024, 6(4), 3768-3784; https://doi.org/10.3390/agriengineering6040215 - 17 Oct 2024
Viewed by 1986
Abstract
The cashew peduncle, the so-called cashew apple, is frequently considered as waste generated by the cashew nut industries. It needs production quality improvements to achieve a more noble use. The objective of this research was to evaluate the application of biochar over irrigation [...] Read more.
The cashew peduncle, the so-called cashew apple, is frequently considered as waste generated by the cashew nut industries. It needs production quality improvements to achieve a more noble use. The objective of this research was to evaluate the application of biochar over irrigation water productivity, yield, and cashew apple quality of two clones (‘BRS 226’ and ‘CCP 76’) of an irrigated cashew orchard. This field experiment tested four treatments of biochar from tree pruning mixed hardwood as source material, corresponding to 0, 10, 20, and 40 g per kg of soil, equivalent to the amounts of 0.0, 1.0, 2.0, and 4.0 kg per plant, respectively. The evaluated production variables were irrigation water productivity in terms of cashew nuts and peduncles per cubic meter of irrigation water applied, cashew nuts, and apples’ individual mean weight and yield. Cashew apple quality was also evaluated by soluble solids (SS), titratable acidity (TA), soluble solids/titratable acidity ratio (SS/TA), and firmness. The use of biochar had positive effects on the nut and cashew apple irrigation water productivity, on mean individual cashew apple weight only for ‘BRS 226′ Clone and soluble solids for both clones (‘BRS 226’ and ‘CCP 76’). The soluble solids/titratable acidity ratio also improved only for the BRS 226 cashew clone. There was no statistically significant positive effect of applied biochar in cashew nut and cashew apple yield and firmness. The optimal doses were 1.70 kg, 1.90 kg, 4.00 kg, 2.10 kg, and 2.25 kg per plant of biochar, respectively. Full article
(This article belongs to the Section Agricultural Irrigation Systems)
Show Figures

Figure 1

15 pages, 1307 KB  
Article
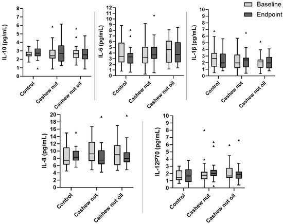
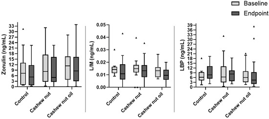
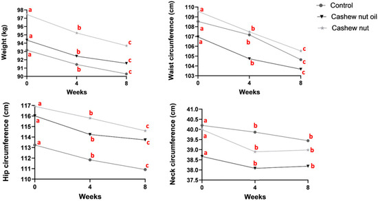
Effects of Cashew Nuts (Anacardium occidentale L.) and Cashew Nut Oil on Intestinal Permeability and Inflammatory Markers during an Energy-Restricted 8-Week Intervention: A Randomized Controlled Trial (Brazilian Nuts Study)
by Talitha Silva Meneguelli, Aline Lage Wendling, Ana Claudia Pelissari Kravchychyn, Daniela Mayumi Usuda Prado Rocha, Ana Paula Dionísio, Josefina Bressan, Hércia Stampini Duarte Martino, Elad Tako and Helen Hermana Miranda Hermsdorff
Foods 2024, 13(18), 2917; https://doi.org/10.3390/foods13182917 - 14 Sep 2024
Cited by 4 | Viewed by 3160
Abstract
Cashew nuts can contribute to improving intestinal permeability and inflammation as they contain essential nutrients and bioactive compounds, but no clinical trials have evaluated these potential effects. This randomized trial aimed to assess the effects of cashew nuts and their oil on intestinal [...] Read more.
Cashew nuts can contribute to improving intestinal permeability and inflammation as they contain essential nutrients and bioactive compounds, but no clinical trials have evaluated these potential effects. This randomized trial aimed to assess the effects of cashew nuts and their oil on intestinal permeability and inflammatory markers. Sixty-four adults with overweight or obesity were allocated into three groups receiving energy restriction (−500 kcal/day): control (CT, free nuts), cashew nuts (CN, 30 g/day), or cashew nut oil (OL, 30 mL/day). Urine lactulose and mannitol, plasma zonulin and the lipopolysaccharide-binding protein (LBP), plasma interleukins (IL-6, TNF-α, IL-10, IL-1β, IL-8, and IL-12p70), and C-reactive proteins were analyzed. Energy restriction reduced body fat and other indicators of adiposity without differences between the groups. Only the control group increased LBPs after an 8-week intervention. There were no statistically significant differences found between the groups in terms of intestinal permeability and inflammatory markers. In conclusion, incorporating cashew nuts or cashew nut oil into an energy-restricted 8-week dietary intervention did not change intestinal permeability and inflammatory markers. As studies evaluating cashew nuts on these markers remain scarce, further research is needed, perhaps with a longer study period and a higher concentration of cashew nuts and oil. Full article
(This article belongs to the Section Food Nutrition)
Show Figures

Figure 1

20 pages, 3319 KB  
Article
Combinatory Effect of Pequi Oil (Caryocar brasiliense)-Based Nanoemulsions Associated to Docetaxel and Anacardic Acid (Anacardium occidentale) in Triple-Negative Breast Cancer Cells In Vitro
by Alicia Simalie Ombredane, Natália Ornelas Martins, Gabriela Mara Vieira de Souza, Victor Hugo Sousa Araujo, Ísis O. Szlachetka, Sebastião William da Silva, Márcia Cristina Oliveira da Rocha, Andressa Souza de Oliveira, Cleonice Andrade Holanda, Luiz Antonio Soares Romeiro, Elysa Beatriz de Oliveira Damas, Ricardo Bentes Azevedo and Graziella Anselmo Joanitti
Pharmaceutics 2024, 16(9), 1170; https://doi.org/10.3390/pharmaceutics16091170 - 5 Sep 2024
Cited by 2 | Viewed by 1857
Abstract
Combination therapy integrated with nanotechnology offers a promising alternative for breast cancer treatment. The inclusion of pequi oil, anacardic acid (AA), and docetaxel (DTX) in a nanoemulsion can amplify the antitumor effects of each molecule while reducing adverse effects. Therefore, the study aims [...] Read more.
Combination therapy integrated with nanotechnology offers a promising alternative for breast cancer treatment. The inclusion of pequi oil, anacardic acid (AA), and docetaxel (DTX) in a nanoemulsion can amplify the antitumor effects of each molecule while reducing adverse effects. Therefore, the study aims to develop pequi oil-based nanoemulsions (PeNE) containing DTX (PDTX) or AA (PAA) and to evaluate their cytotoxicity against triple-negative breast cancer cells (4T1) in vitro. The PeNE without and with AA (PAA) and DTX (PDTX) were prepared by sonication and characterized by ZetaSizer® and electronic transmission microscopy. Viability testing and combination index (CI) were determined by MTT and Chou-Talalay methods, respectively. Flow cytometry was employed to investigate the effects of the formulations on cell structures. PeNE, PDTX, and PAA showed hydrodynamic diameter < 200 nm and a polydispersity index (PdI) of 0.3. The association PDTX + PAA induced a greater decrease in cell viability (~70%, p < 0.0001) and additive effect (CI < 1). In parallel, an association of the DTX + AA molecules led to antagonism (CI > 1). Additionally, PDTX + PAA induced an expressive morphological change, a major change in lysosome membrane permeation and mitochondria membrane permeation, cell cycle blockage in G2/M, and phosphatidylserine exposure. The study highlights the successful use of pequi oil nanoemulsions as delivery systems for DTX and AA, which enhances their antitumor effects against breast cancer cells. This nanotechnological approach shows significant potential for the treatment of triple-negative breast cancer. Full article
Show Figures

Figure 1

15 pages, 3011 KB  
Article
Spray Dried Cashew (Anacardium occidentale L.) Juice Ingredients as an Upcycling Strategy for Abundant Cashew Apple
by Francisca Pereira de Moraes, Janaína de Paula da Costa, Edilene Souza da Silva, Patrícia Maria Rocha, Fábio Gonçalves Macêdo de Medeiros, José Maria Correia da Costa and Roberta Targino Hoskin
Appl. Sci. 2024, 14(17), 7485; https://doi.org/10.3390/app14177485 - 23 Aug 2024
Cited by 2 | Viewed by 1841
Abstract
Spray-dried yellow cashew juice ingredients produced under different inlet temperatures (140 and 150 °C) and gum arabic (GA) addition ratios (15% and 25% w/v) were evaluated for their physicochemical and phytochemical attributes and storage stability for 56 days. All spray-dried [...] Read more.
Spray-dried yellow cashew juice ingredients produced under different inlet temperatures (140 and 150 °C) and gum arabic (GA) addition ratios (15% and 25% w/v) were evaluated for their physicochemical and phytochemical attributes and storage stability for 56 days. All spray-dried cashew juice particles showed high solids recovery (>70%) and solubility (>90%), low water activity (<0.3), and low hygroscopicity (<10%). Spray-dried particles prepared with 15% w/v GA showed spherical shapes with a semi-crystalline structure and higher ascorbic acid concentration (>650 mg 100 g−1) and total phenolic content (>330 mg GAE 100 g−1). During storage, spray-dried cashew juice particles maintained their water activity levels within the microbiologically safe range and retained high solubility, in addition to high ascorbic (>68%) and phenolic (>55%) acid retention. Overall, we showed that spray-drying cashew juice is a feasible strategy to upcycle abundant and undervalued cashew juice into stable, phytochemical-rich ingredients for multiple applications. Full article
Show Figures

Figure 1

Back to TopTop