Sign in to use this feature.

Years

Between: -

Subjects

remove_circle_outline
remove_circle_outline

Journals

Article Types

Countries / Regions

Search Results (16)

Search Parameters:
Keywords = Abies faxoniana

Order results
Result details
Results per page
Select all
Export citation of selected articles as:
15 pages, 3863 KB  
Article
Spatial Distribution Patterns of Dominant Tree Species and Their Associations with Soil Factors in Subalpine Secondary Forests of Western Sichuan
by Jingdong Zhao, Xin Liu, Le Wang, Qiuhong Feng, Chang Gou, Jianhua Bai and Xiaohui Yang
Plants 2025, 14(22), 3424; https://doi.org/10.3390/plants14223424 - 8 Nov 2025
Viewed by 403
Abstract
Spatial pattern analysis is essential for understanding forest structure and successional dynamics. Focusing on natural secondary forests in the subalpine region of western Sichuan, China, we established two 1-hectare permanent plots to investigate the spatial distribution of dominant tree species and assess the [...] Read more.
Spatial pattern analysis is essential for understanding forest structure and successional dynamics. Focusing on natural secondary forests in the subalpine region of western Sichuan, China, we established two 1-hectare permanent plots to investigate the spatial distribution of dominant tree species and assess the soil’s water-holding properties, aiming to clarify the relationship between species spatial patterns and edaphic conditions. The pioneer species Betula albosinensis exhibited a unimodal diameter distribution with scarce seedling presence, indicating limited regeneration. In contrast, Abies fargesii var. faxoniana showed a typical inverse J-shaped diameter distribution, suggesting stable population recruitment. At fine spatial scales, dominant species generally exhibited aggregated distributions, with A. fargesii var. faxoniana seedlings showing the strongest clumping; however, as the spatial scale increased, distributions tended toward randomness, likely due to self-thinning and density-dependent interactions. Bivariate spatial association analysis revealed that B. albosinensis was positively associated with A. fargesii var. faxoniana and Picea asperata at small scales, suggesting a potential facilitative effect of B. albosinensis on Pinaceae species. Moreover, capillary water-holding capacity was significantly higher in areas with greater conifer dominance, underscoring the strong environmental filtering effect of microhabitat moisture on community spatial structure. Collectively, our results suggest an ongoing mid- to late-successional shift from pioneer broadleaved to shade-tolerant conifer dominance, with concurrent changes in species composition and soil conditions. This study provides empirical insight into spatial successional processes and highlights their ecological implications for hydrological regulation in subalpine secondary forests. Full article
Show Figures

Figure 1

20 pages, 4005 KB  
Article
Morphological Plasticity of Ectomycorrhizal Symbiosis Promotes Adaptation of Faxon Fir (Abies fargesii var. faxoniana) to Altitudinal and Environmental Changes on Eastern Qinghai–Tibet Plateau
by Lulu Chen, Xuhua Li, Zuoxin Tang and Gexi Xu
Forests 2025, 16(11), 1670; https://doi.org/10.3390/f16111670 - 1 Nov 2025
Viewed by 1019
Abstract
Morphological plasticity (MP) is an essential strategy for plants in nutrient acquisition, disturbance alleviation, and community coexistence during environmental and climatic changes. However, to date, there has been little research concerning the MP for alpine–subalpine forests on the Qinghai–Tibet plateau. These forests are [...] Read more.
Morphological plasticity (MP) is an essential strategy for plants in nutrient acquisition, disturbance alleviation, and community coexistence during environmental and climatic changes. However, to date, there has been little research concerning the MP for alpine–subalpine forests on the Qinghai–Tibet plateau. These forests are representative of the ectomycorrhizal (ECM) type, and morphological traits of these ECM roots, such as root tip lengths, diameters, and their adherent hyphal lengths and exploration types, have rarely been studied in the context of nutrient and environmental gradients. In this study, we examined the morphological traits of ECM roots for faxon fir (Abies fargesii var. faxoniana), which dominated in subalpine forests across nine elevations on the Eastern Qinghai–Tibet plateau. By quantifying ca. 90,000 root tips, the hyphal lengths of ectomycorrhizal extraradical mycelium (EEM, i.e., short- and long-distance exploration types) reached up to 1.1 × 106 cm/m3 in soil, which decreased significantly due to gradually increasing altitude. In contrast, the variability of ECM root traits (diameter, length, and superficial area) was highly conserved along the altitudinal gradients, yet the root tip lengths were positively associated with soil protease enzyme activity. The increase in diameter and length of ECM root tips was climate-independent yet significantly associated with increasing root N concentration. In the studied forests, a long-distance exploration type of ECM hyphae was controlled by precipitation (p < 0.05), whereas the short-distance one was controlled by precipitation and temperature simultaneously. The EEM lengths of short- and long-distance exploration types were associated with high C concentration and low N concentration in host tree root tissues. Our findings demonstrated that MP expression in nutrient-foraging strategies for the dominant coniferous trees facilitates the adaptation to changing environments by specialized hyphal structures. In conclusion, ECM root tips and hyphal structures are two dimensions of functional traits linked to root N concentration in opposite ways, and their MP collectively ensures the temporal stability and resistance of subalpine forests on the Qinghai–Tibet plateau. These results provide new insights into ECM morphological traits and their adaptation in changing environments, which is valuable for understanding responses of subalpine forests to climate change. Full article
(This article belongs to the Special Issue Forest Soil Microbiology and Biogeochemistry)
Show Figures

Figure 1

13 pages, 2099 KB  
Article
Temporal Variability in Soil Greenhouse Gas Fluxes and Influencing Factors of a Primary Forest on the Eastern Qinghai-Tibetan Plateau
by Shun Liu, Da Luo, Gexi Xu, Jiamei Wu, Qiuhong Feng and Zuomin Shi
Forests 2023, 14(11), 2255; https://doi.org/10.3390/f14112255 - 16 Nov 2023
Viewed by 1827
Abstract
Soil greenhouse gas (GHG) fluxes relate to soil carbon and nitrogen budgets and have a significant impact on climate change. Nevertheless, the temporal variation and magnitude of the fluxes of all three major GHGs (CO2, CH4 and N2O) [...] Read more.
Soil greenhouse gas (GHG) fluxes relate to soil carbon and nitrogen budgets and have a significant impact on climate change. Nevertheless, the temporal variation and magnitude of the fluxes of all three major GHGs (CO2, CH4 and N2O) and their influencing factors have not been elucidated clearly in primary forests on the eastern Qinghai-Tibetan Plateau. Herein, field chamber GHG fluxes from May to November, soil microbial community and enzyme activity were analyzed in a fir-dominated (Abies fargesii var. faxoniana) primary forest. The emission rates of CO2 and N2O ranged between 64.69–243.22 mg CO2 m−2 h−1 and 1.69–5.46 ug N2O m−2 h−1, exhibiting a temporally unimodal pattern with a peak in July. The soil acted as a CH4 sink, and the uptake rate varied between 52.96 and 84.67 μg CH4 m−2 h−1 with the higher uptake rates in June and November. The temporal variation in the CO2 flux was significantly correlated with the geometric mean of enzyme activities, suggesting that the soil CO2 flux was determined by microbial activity rather than soil microbial biomass. The soil N2O flux was positively related to nitrate concentration with marginal significance, probably because N2O was a byproduct of nitrification and denitrification processes. The soil CH4 uptake was closely associated with methanotrophic biomass (18:1ω7c). The results highlight divergent temporal dynamics of GHG fluxes owing to different driving mechanisms and an important CH4 sink in the primary forest soil, helping to evaluate the carbon and nitrogen budgets of primary forests on the eastern Qinghai-Tibetan Plateau. Full article
(This article belongs to the Section Forest Soil)
Show Figures

Figure 1

17 pages, 3076 KB  
Article
Effect of Gap Size and Elevation on the Regeneration and Coexistence of Abies, Betula, and Acer Tree Species in a Subalpine Coniferous Forest
by Wangya Han, Li Chen, Jingyang Liu, G. Geoff Wang, Dan Liu and Guohua Liu
Forests 2023, 14(10), 2099; https://doi.org/10.3390/f14102099 - 19 Oct 2023
Cited by 3 | Viewed by 1747
Abstract
Forest gaps play an important role in species regeneration and forest succession. Gap size has a primary influence on tree species coexistence and community assembly along an elevation gradient. In this study, we evaluated the regeneration and coexistence of Abies faxoniana, Betula [...] Read more.
Forest gaps play an important role in species regeneration and forest succession. Gap size has a primary influence on tree species coexistence and community assembly along an elevation gradient. In this study, we evaluated the regeneration and coexistence of Abies faxoniana, Betula utilis, and Acer maximowiczii at different life history stages in varied gap sizes along an elevation gradient (between 3000 and 3500 m a.s.l). We found that gap size can positively enlarge the effects of elevation on the regeneration density of the three species. In the process of regeneration from seedling to sapling, Abies had stronger regeneration capability, with regeneration niche breadths of more than 0.6 in different gap sizes. A factor analysis of mixed data indicated that regeneration density, soil nutrient contents, and air humidity were mainly related to gap size, but habitat temperature was largely determined by elevation. The connection between the species regeneration density and habitat conditions was due to differences in their regeneration niches, reflecting the selective preemption of environmental resources of different species in different life stages. Microhabitat heterogeneity, controlled by the characteristics of forest gaps along an elevation, affected the regeneration niche differences of the tree species, which contributed to the species coexistence and community assembly processes. Full article
(This article belongs to the Section Forest Ecology and Management)
Show Figures

Figure 1

10 pages, 1181 KB  
Article
Characteristics and Roles of Large Trees in Giant Panda Habitat of Wanglang Nature Reserve
by Zihan Yang, Xiaorong Wang and Dongwei Kang
Forests 2023, 14(10), 1993; https://doi.org/10.3390/f14101993 - 4 Oct 2023
Cited by 2 | Viewed by 3230
Abstract
Specific studies of large trees in giant panda (Ailuropoda melanoleuca) habitats are currently lacking. To fill this research gap, a field survey on large trees in Wanglang Nature Reserve of China was conducted. According to a previous definition of a large [...] Read more.
Specific studies of large trees in giant panda (Ailuropoda melanoleuca) habitats are currently lacking. To fill this research gap, a field survey on large trees in Wanglang Nature Reserve of China was conducted. According to a previous definition of a large tree (DBH ≥ 60 cm), a total of 19 large trees, composed of Abies fargesii var. faxoniana (73.7%), Betula albosinensis (15.8%), and Juniperus saltuaria (10.5%), were found in 50% of 30 10 m × 10 m giant panda habitat plots (contained feces of giant panda). Compared to the habitat where large trees were absent, the giant panda habitat where large trees were present was characterized by larger-sized tree diameter and more bamboo clumps. The mean proportion of large trees in the basal area of the tree layer in habitats where large trees were present was 65.5%. Considering large trees are a scarce resource and play a crucial role in habitat composition and habitat use, large trees and their habitats need to be given priority protection. To achieve more accurate protection, continuous and dynamic monitoring of large trees is needed, and the investigation of large trees should form a part of future national surveys of giant pandas. Full article
(This article belongs to the Section Forest Ecology and Management)
Show Figures

Figure 1

19 pages, 3311 KB  
Article
Spatial and Temporal Patterns of Non-Structural Carbohydrates in Faxon Fir (Abies fargesii var. faxoniana), Subalpine Mountains of Southwest China
by Shao’an Pan, Shoaib Ahmad Anees, Xuhua Li, Xinrui Yang, Xiangguang Duan and Zhigang Li
Forests 2023, 14(7), 1438; https://doi.org/10.3390/f14071438 - 13 Jul 2023
Cited by 22 | Viewed by 2175
Abstract
Non-structural carbohydrates’ (NSCs) allocation pattern is closely related to environmental factors, plant metabolism, and xylem function. At the same time, we know little about whole-tree NSC allocation patterns in different seasons, especially the high-elevation species which suffer from environmental stress. We [...] Read more.
Non-structural carbohydrates’ (NSCs) allocation pattern is closely related to environmental factors, plant metabolism, and xylem function. At the same time, we know little about whole-tree NSC allocation patterns in different seasons, especially the high-elevation species which suffer from environmental stress. We examined the concentration of NSCs in various parts of Faxon fir trees (needles, branches, trunks, and roots) at five elevations (2800 m, 3000 m, 3200 m, 3400 m, and 3600 m) over four months (July 2019, October 2019, January 2020, and April 2020). The goal was to understand how NSC allocation patterns vary by location and time in high-elevation species and what factors contribute to these variations. The results showed that the needles had the highest concentration, followed by roots, branches, and trunks. The NSC concentration was highest in January 2020 and lowest in July 2019. The total non-structural carbohydrates (TNSCs) and soluble sugar concentrations of roots and needles were substantially higher in the cold (non-growing season) than in the warm (growing season) season. At different elevations, the soluble sugar concentrations in the needles and trunks remained the highest and lowest, respectively. Branches and roots’ soluble sugar concentrations alternated and varied with the seasons at all elevations. Many factors, such as climate, morphological traits, and carbon content, affected the spatial and temporal patterns of non-structural carbohydrates, with temperature, plant moisture conditions, and carbon content being the main driving factors. Various factors’ interaction mainly influenced NSCs’ spatial and temporal patterns. Non-structural carbohydrates significantly improve the resistance of Faxon fir trees’ terminal organs in adverse environments. Full article
Show Figures

Figure 1

19 pages, 4058 KB  
Article
Forest Gaps Slow the Humification Process of Fir (Abies faxoniana Rehder & E.H.Wilson) Twig Litter during Eight Years of Decomposition in an Alpine Forest
by Aomiao Wu, Chengming You, Rui Yin, Zhenfeng Xu, Li Zhang, Yang Liu, Han Li, Lixia Wang, Lin Xu, Hongwei Xu, Guirong Hou, Sining Liu and Bo Tan
Forests 2023, 14(5), 868; https://doi.org/10.3390/f14050868 - 24 Apr 2023
Cited by 5 | Viewed by 2412
Abstract
Litter humification plays a crucial role in organic matter formation and soil carbon sequestration in forest ecosystems. However, how forest gap formation and gap size variation affect the litter humification process remains poorly understood. An eight-year in situ decomposition experiment was conducted to [...] Read more.
Litter humification plays a crucial role in organic matter formation and soil carbon sequestration in forest ecosystems. However, how forest gap formation and gap size variation affect the litter humification process remains poorly understood. An eight-year in situ decomposition experiment was conducted to evaluate humus accumulation (humic substances, humic and fulvic acid), humification degrees, humification ratios and optical properties (ΔlogK, E4/E6 and A600/C) of Minjiang fir (Abies faxoniana Rehder & E.H.Wilson) twig litter in four gap size treatments in an alpine primitive forest on the eastern Tibetan Plateau, including (1) closed canopies, (2) small gaps (38–46 m2 in size), (3) medium gaps (153–176 m2 in size),and (4) large gaps (255–290 m2 in size). The results indicated that the accumulation of humic substances and humic acid in the closed canopies was significantly higher than that in the large gaps during the first two years of decomposition. After eight years of decomposition, there were significant differences in the humic substance accumulations and the values of ΔlogK and A600/C among the different gap sizes. Furthermore, twig litter was humified in the first 2 years of incubation, and the net accumulation of humic substances was ranged from −23.46% to −44.04% of the initial level at the end of the experiment. The newly accumulated humus was young (mature (type Rp) humus) and transformed to mature (type A) humus after 4–6 years of decomposition. Partial least squares (PLS) suggested that gap-induced variations in twig litter chemistry (i.e., contents of cellulose, lignin, nitrogen (N) and phosphorus (P), and the ratios of C/N N/P) mainly drove the process of twig litter humification. Our results presented here denote that the formation of forest gaps retard twig litter humification process, which might be detrimental to carbon sequestration in the alpine forest ecosystems. Full article
(This article belongs to the Special Issue Forest Succession and Leaf Litter Decomposition)
Show Figures

Figure 1

17 pages, 8483 KB  
Article
Optimizing Observation Plans for Identifying Faxon Fir (Abies fargesii var. Faxoniana) Using Monthly Unmanned Aerial Vehicle Imagery
by Weibo Shi, Xiaohan Liao, Jia Sun, Zhengjian Zhang, Dongliang Wang, Shaoqiang Wang, Wenqiu Qu, Hongbo He, Huping Ye, Huanyin Yue and Torbern Tagesson
Remote Sens. 2023, 15(8), 2205; https://doi.org/10.3390/rs15082205 - 21 Apr 2023
Cited by 3 | Viewed by 2441
Abstract
Faxon fir (Abies fargesii var. faxoniana), as a dominant tree species in the subalpine coniferous forest of Southwest China, has strict requirements regarding the temperature and humidity of the growing environment. Therefore, the dynamic and continuous monitoring of Faxon fir distribution [...] Read more.
Faxon fir (Abies fargesii var. faxoniana), as a dominant tree species in the subalpine coniferous forest of Southwest China, has strict requirements regarding the temperature and humidity of the growing environment. Therefore, the dynamic and continuous monitoring of Faxon fir distribution is very important to protect this highly sensitive ecological environment. Here, we combined unmanned aerial vehicle (UAV) imagery and convolutional neural networks (CNNs) to identify Faxon fir and explored the identification capabilities of multispectral (five bands) and red-green-blue (RGB) imagery under different months. For a case study area in Wanglang Nature Reserve, Southwest China, we acquired monthly RGB and multispectral images on six occasions over the growing season. We found that the accuracy of RGB imagery varied considerably (the highest intersection over union (IoU), 83.72%, was in April and the lowest, 76.81%, was in June), while the accuracy of multispectral imagery was consistently high (IoU > 81%). In April and October, the accuracy of the RGB imagery was slightly higher than that of multispectral imagery, but for the other months, multispectral imagery was more accurate (IoU was nearly 6% higher than those of the RGB imagery for June). Adding vegetation indices (VIs) improved the accuracy of the RGB models during summer, but there was still a gap to the multispectral model. Hence, our results indicate that the optimized time of the year for identifying Faxon fir using UAV imagery is during the peak of the growing season when using a multispectral imagery. During the non-growing season, RGB imagery was no worse or even slightly better than multispectral imagery for Faxon fir identification. Our study can provide guidance for optimizing observation plans regarding data collection time and UAV loads and could further help enhance the utility of UAVs in forestry and ecological research. Full article
(This article belongs to the Special Issue Vegetation Biophysical Variables and Remote Sensing Applications)
Show Figures

Figure 1

16 pages, 12341 KB  
Article
A 278-Year Summer Minimum Temperature Reconstruction Based on Tree-Ring Data in the Upper Reaches of Dadu River
by Jinjian Li, Liya Jin and Zeyu Zheng
Forests 2023, 14(4), 832; https://doi.org/10.3390/f14040832 - 18 Apr 2023
Cited by 2 | Viewed by 3183
Abstract
In the context of global warming, climate change in river headwater regions and its drivers have attracted increasing attention. In this study, tree-ring width (TRW) chronology was constructed using tree-ring samples of fir (Abies faxoniana) in Dadu River Basin in the [...] Read more.
In the context of global warming, climate change in river headwater regions and its drivers have attracted increasing attention. In this study, tree-ring width (TRW) chronology was constructed using tree-ring samples of fir (Abies faxoniana) in Dadu River Basin in the central part of the western Sichuan Plateau, China. Correlation analysis with climatic factors implies that the radial growth of trees in the region is mainly limited by temperature and has the highest correlation with the mean minimum temperature in summer (June and July) (R = 0.602, p < 0.001). On this basis, the TRW chronology was adopted to reconstruct variations in the mean minimum temperatures in summer from 1733 to 2010 in the upper reaches of Dadu River. The reconstruction equation was stable and reliable and offered a variance explanation rate of 36.2% in the observed period (1962~2010). In the past 278 years, the region experienced nine warm periods and ten cold periods. The warmest and coldest years occurred in 2010 and 1798, respectively, with values of 13.6 °C and 11.0 °C. The reconstruction was highly spatiotemporally representative and verified by temperatures reconstructed using other tree-ring data in surrounding areas. A significant warming trend was found in the last few decades. Moreover, the multi-taper method (MTM) analysis indicated significant periodic changes in quasi-2-year and 21–35-year periods, for which the El Niño Southern Oscillation (ENSO) and the Pacific decadal oscillation (PDO) could be the key controlling factors. Full article
(This article belongs to the Special Issue Response of Tree Rings to Climate Change and Climate Extremes)
Show Figures

Figure 1

13 pages, 1921 KB  
Article
Initial Carbon Quality of Newly Shed Foliar Litter in an Alpine Forest from Proximate Analysis and 13C NMR Spectroscopy Perspectives
by Jiaping Yang, Junpeng Mu, Yu Zhang, Changkun Fu, Qing Dong, Yulian Yang and Qinggui Wu
Forests 2022, 13(11), 1886; https://doi.org/10.3390/f13111886 - 10 Nov 2022
Cited by 4 | Viewed by 2016
Abstract
The initial carbon (C) quality of plant litter is one of the major factors controlling the litter decomposition rate and regulating C sequestration, but a comprehensive understanding is still lacking. Here, we used proximate analysis and 13C nuclear magnetic resonance (NMR) with [...] Read more.
The initial carbon (C) quality of plant litter is one of the major factors controlling the litter decomposition rate and regulating C sequestration, but a comprehensive understanding is still lacking. Here, we used proximate analysis and 13C nuclear magnetic resonance (NMR) with spectral editing techniques to quantify the variations in the initial C quality for four dominant species (fir: Abies faxoniana Rehd. et Wils.; spruce: Picea asperata Mast; willow: Salix paraplesia Schneid; and rosa: Rosa omeiensis Rolfe.), including the organic compositions and C-based chemical structures of newly shed foliar litter over eight months in an alpine forest on the eastern Tibetan Plateau. The results indicated that the fractions of acid-soluble extractives (ASE) and acid-unhydrolyzable residues (AUR) were the main fractions of organic components, and aliphatic C and O-alkyl C were the main functional C groups for all plant species. Under the effects of the plant species, higher levels of ASE (37.62%) and aliphatic C (35.44%) were detected in newly shed rosa foliar litter, while higher levels of AUR (fir: 37.05%; spruce: 41.45%; and willow: 40.04%) and O-alkyl C (fir: 32.03%; spruce: 35.02%; and willow: 32.34%) were detected in newly shed fir, spruce and willow foliar litter. Moreover, the A/O-A and HB/HI ratios in rosa litter were 0.88 and 1.15, respectively, which were higher than those in fir, spruce and willow litter. The C quality of newly shed foliar litter varied seasonally due to the litter quality and environmental conditions, especially nitrogen (N), dissolved organic carbon (DOC), manganese (Mn) and monthly air temperature. We also found that C loss during 4-year litter decomposition was highly related to the aromatic C and phenolic C contents in newly shed foliar litter, suggesting that litter decomposition was strongly controlled by the initial recalcitrant C fractions. We conclude that the C quality of newly shed foliar litter in rosa might be structurally stable and more resistant to degradation than that of fir, spruce and willow, which contain abundant labile C fractions, and the initial recalcitrant C fractions are closely related to C loss during litter decomposition, which might contribute to soil C sequestration in alpine forests. Full article
Show Figures

Figure 1

14 pages, 2690 KB  
Article
The Contributions of Soil Fauna to the Accumulation of Humic Substances during Litter Humification in Cold Forests
by Yu Tan, Kaijun Yang, Zhenfeng Xu, Li Zhang, Han Li, Chengming You and Bo Tan
Forests 2022, 13(8), 1235; https://doi.org/10.3390/f13081235 - 4 Aug 2022
Cited by 9 | Viewed by 2414
Abstract
Litter humification is an essential process of soil carbon sequestration in forest ecosystems, but the relationship between soil fauna and humic substances has not been well understood. Therefore, a field litterbag experiment with manipulation of soil fauna was carried out in different soil [...] Read more.
Litter humification is an essential process of soil carbon sequestration in forest ecosystems, but the relationship between soil fauna and humic substances has not been well understood. Therefore, a field litterbag experiment with manipulation of soil fauna was carried out in different soil frozen seasons over one year in cold forests. The foliar litter of four dominated tree species was selected as Birch (Betula albosinensis), Fir (Abies fargesii var. faxoniana), Willow (Salix paraplesia), and Cypress (Juniperus saltuaria). We studied the contribution of soil fauna to the accumulation of humic substances (including humic acid and fulvic acid) and humification degree as litter humification proceeding. The results showed that soil fauna with litter property and environmental factor jointly determined the accumulation of humic substances (humic acid and fulvic acid) and humification degree of four litters. After one year of incubation, the contribution rates of soil fauna to the accumulation of humic substances were 109.06%, 71.48%, 11.22%, and −44.43% for the litter of fir, cypress, birch, and willow, respectively. Compared with other stages, both growing season and leaf falling stage could be favorable to the contributions of soil fauna to the accumulation of humic substances in the litter of birch, fir, and cypress rather than in willow litter. In contrast, the contribution rates of soil fauna to humification degree were −49.20%, −7.63%, −13.27%, and 12.66% for the litter of fir, cypress, birch, and willow, respectively. Statistical analysis indicated that temperature changes at different sampling stages and litter quality exhibited dominant roles in the contributions of soil fauna on the accumulation of humus and litter humifiaction degree in the cold forests. Overall, the present results highlight that soil fauna could play vital roles in the process of litter humification and those strengths varied among species and seasons. Full article
Show Figures

Figure 1

14 pages, 2273 KB  
Article
Effects of Forest Gaps on Abies faxoniana Rehd. Leaf Litter Mass Loss and Carbon Release along an Elevation Gradient in a Subalpine Forest
by Han Li, Ting Du, Yulian Chen, Yu Zhang, Yulian Yang, Jiaping Yang, Qing Dong, Li Zhang and Qinggui Wu
Forests 2022, 13(8), 1201; https://doi.org/10.3390/f13081201 - 29 Jul 2022
Cited by 4 | Viewed by 2292
Abstract
Changes in the microenvironment induced by forest gaps may affect litter decomposition, yet it is unclear how the gap effects respond to altitudinal and seasonal differences. Here, a four-year litterbag decomposition experiment along an elevation gradient (3000, 3300, 3600 m) was conducted in [...] Read more.
Changes in the microenvironment induced by forest gaps may affect litter decomposition, yet it is unclear how the gap effects respond to altitudinal and seasonal differences. Here, a four-year litterbag decomposition experiment along an elevation gradient (3000, 3300, 3600 m) was conducted in an Abies faxoniana Rehd. subalpine forest of southwestern China, to assess the potential seasonal effects of forest gaps (large: ≈250 m2, middle: ≈125 m2, small: ≈40 m2 vs. closed canopy) on litter mass loss and carbon release at different elevations. We found that the A. faxoniana litter mass loss and carbon release reached 50~53 and 58~64% after four years of decomposition, respectively. Non-growing seasons (November to April) had a greater decline than the growing seasons (May to October). Litter in the forest gaps exhibited significantly higher mass loss than that under the closed canopy, and the decomposition constant (k) exhibited a gradually declining trend from large gaps, middle gaps, small gaps to closed canopy. Moreover, more significant differences of gap on both carbon content and release were observed at the 3600 m site than the other two elevations. Our findings indicate that (i) a rather high mass loss and carbon release during the decomposition of A. faxoniana litter was observed at high elevations of the subalpine forest subjected to low temperatures in the non-growing seasons and (ii) there were stimulative effects of forest gaps on litter mass loss and carbon release in early decomposition, especially in the non-growing seasons, driven by fewer freeze–thaw cycles when compared to the closed canopy, which diminished at the end of the experiment. The results will provide crucial ecological data for further understanding how opening gaps as a main regeneration method would induce changes in carbon cycling in subalpine forest ecosystems. Full article
Show Figures

Figure 1

10 pages, 1278 KB  
Article
Temporary Stability Characteristics and Influencing Factors of Abies faxoniana-Dominated Communities in the Wanglang Nature Reserve
by Dongwei Kang and Junqing Li
Forests 2022, 13(8), 1186; https://doi.org/10.3390/f13081186 - 26 Jul 2022
Cited by 4 | Viewed by 1855
Abstract
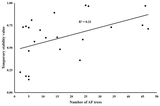
Specialized studies on the stability of Abies faxoniana (AF) communities are lacking. In order to fill this gap, a field survey of AF communities was conducted in the Wanglang Nature Reserve. Temporary stability is the possibility of the most dominant species to remain [...] Read more.
Specialized studies on the stability of Abies faxoniana (AF) communities are lacking. In order to fill this gap, a field survey of AF communities was conducted in the Wanglang Nature Reserve. Temporary stability is the possibility of the most dominant species to remain unchanged in a short period, reflecting the persistence of community stability to some extent. In this study, the temporary stability characteristics and influencing factors of the AF-dominated communities were analyzed. The results showed that the dominance of AF over the second dominant tree species became more pronounced as the temporary stability of the AF-dominated communities increased. Communities with the largest temporary stability value were dominated by AF alone. Furthermore, temporary stability had a significant linear positive relationship with the number of AF trees but not the AF size. There was no significant difference in the temporary stability between communities with and without large AF trees. It was concluded that with the increase in temporary stability, AF became more impossible to be replaced by other tree species in the short term, and the number of AF trees significantly affected the temporary stability of the AF-dominated communities. This study provides new insights into the stability characteristics of AF communities. Full article
(This article belongs to the Section Forest Ecology and Management)
Show Figures

Figure 1

12 pages, 1932 KB  
Article
Litterfall and Element Return in an Abies faxoniana Forest in Tibet—A Five-Year Study
by Weiting Wu, Yabei Zhang, Lifeng Wang, Yu Zhou, Yamei Chen, Shuqin He, Jian Zhang and Yang Liu
Forests 2021, 12(11), 1577; https://doi.org/10.3390/f12111577 - 17 Nov 2021
Cited by 6 | Viewed by 2401
Abstract
Forest litter is the main contributor to soil fertility and the main carrier of circulating material and energy in forest ecosystems. Abies faxoniana (Minjiang fir) is one of the dominant species in alpine forest ecosystems. Its litter input plays important roles in soil [...] Read more.
Forest litter is the main contributor to soil fertility and the main carrier of circulating material and energy in forest ecosystems. Abies faxoniana (Minjiang fir) is one of the dominant species in alpine forest ecosystems. Its litter input plays important roles in soil organic matter formation and biogeochemical cycles in these ecosystems, but the annual litterfall pattern and its components remain largely unknown. To determine the litter input and nutrient return of A. faxoniana, we measured the litterfall and element (carbon (C), nitrogen (N), phosphorus (P), potassium (K), calcium (Ca), sodium (Na), magnesium (Mg), aluminium (Al), iron (Fe), and manganese (Mn)) contents of different litter components (branches, leaves and epiphytes) from 2016 to 2020. The results showed that the annual litterfall in the A. faxoniana forest ranged from 2055.96 to 5384.15 kg·ha−1·a−1, and the average mass proportions of branches, leaves and epiphytes were 30.12%, 62.18% and 7.7%, respectively. The litterfall yield varied significantly with time and component; not only was the yield of litter in the nongrowing season higher than that in the growing season, but it also exhibited dramatic interannual variations. We also found that time had significant effects on the contents of all elements except for Ca in the litter. The return and input amounts of each element followed the same dynamics, which closely resembled a bimodal pattern. Moreover, there was significant interannual variability in the returned amounts of each element. The ranges of annual returns of C, N and P were 744.80~2275.12, 19.80~59.00 and 1.03~2.81 kg·ha−1·a−1, respectively. The ranges of annual returns of K, Ca, Na, Mg, Al, Fe and Mn were 0.91~2.00, 7.04~18.88, 0.13~0.58, 0.33~1.20, 0.55~2.29, 0.41~1.37 and 0.16~0.48 kg·ha−1·a−1, respectively, reflecting a seasonal double-peak pattern. These results have important implications for understanding the biogeochemical cycles and material migration processes in alpine forest ecosystems. Full article
(This article belongs to the Special Issue Carbon and Nutrient Accumulation and Decomposition in Forests)
Show Figures

Figure 1

21 pages, 15474 KB  
Article
How Forest Gap and Elevation Shaped Abies faxoniana Rehd. et Wils. Regeneration in a Subalpine Coniferous Forest, Southwestern China
by Li Chen, Guohua Liu and Dan Liu
Forests 2018, 9(5), 271; https://doi.org/10.3390/f9050271 - 16 May 2018
Cited by 5 | Viewed by 4020
Abstract
Focusing on the underlying ecological mechanisms of dominant species regeneration in forest gaps at a landscape scale can provide detailed understanding for gap-based forest management. The individual effects of forest gaps or elevation on the regeneration of Abies faxoniana Rehd. et Wils. are [...] Read more.
Focusing on the underlying ecological mechanisms of dominant species regeneration in forest gaps at a landscape scale can provide detailed understanding for gap-based forest management. The individual effects of forest gaps or elevation on the regeneration of Abies faxoniana Rehd. et Wils. are well known, although elucidating how gap characteristics and elevation concurrently influence regeneration remains an important challenge. In this paper, we present an explorative study using structural equation models (SEMs) to assess the direct and indirect effects of forest gaps and elevation on Abies faxoniana Rehd. et Wils. regeneration. Four of the predicted SEMs showed the following results: (1) Temperature, photosynthetic photon flux density (PPFD), soil total carbon, gap openness, shrub layer cover, herb layer cover, and moss layer thickness in forest gaps were associated with Abies faxoniana regeneration along an elevation gradient in subalpine coniferous forest. (2) Elevation had a generally negative and indirect effect on Abies faxoniana regeneration. Forest gaps positively affected regeneration when compared with non-gap plots and gap size was positively related to small tree regeneration density and the ratio of height to diameter at breast height (HD ratio) of the tallest Abies faxoniana small trees but was negatively related to Abies faxoniana sapling regeneration density. (3) In forest gaps, the Abies faxoniana sapling density and HD ratio of the tallest Abies faxoniana small trees were mainly indirectly influenced by elevation, and Abies faxoniana small tree regeneration density was directly associated with the dominance of the sapling regeneration density. In summary, Abies faxoniana regeneration was negatively and largely affected by elevation (total effect), although forest gaps enhanced Abies faxoniana regeneration by multiple pathways (direct and indirect effects). Full article
(This article belongs to the Section Forest Ecology and Management)
Show Figures

Figure 1

Back to TopTop