Spatial Distribution Patterns of Dominant Tree Species and Their Associations with Soil Factors in Subalpine Secondary Forests of Western Sichuan
Abstract
1. Introduction
2. Results
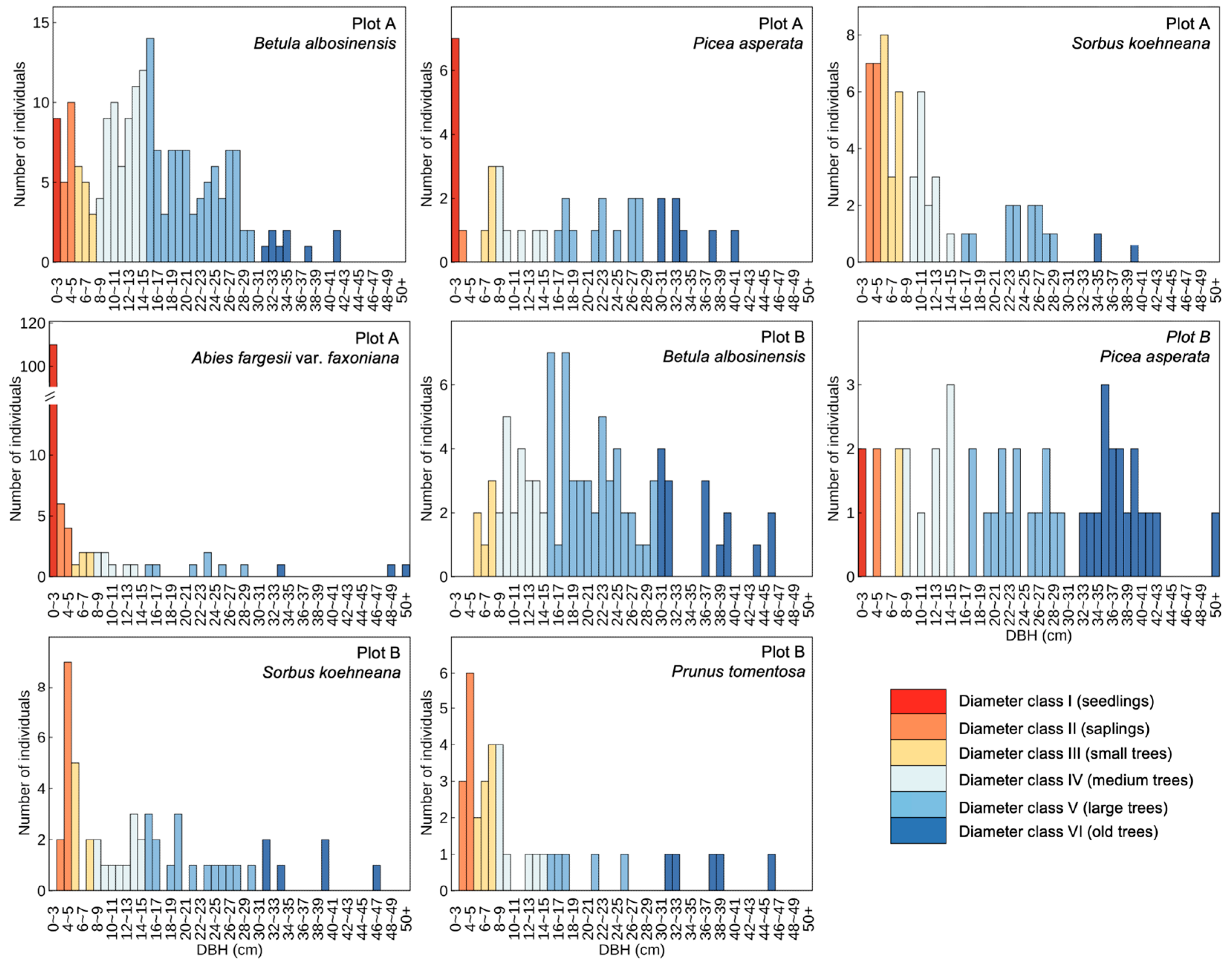
2.1. Diameter Class Structures of Dominant Tree Species
2.2. Spatial Distribution Patterns of Dominant Tree Species
2.3. Interspecific Spatial Associations Among Dominant Tree Species
2.4. Associations Between Dominance of Dominant Tree Species and Soil Water-Holding Capacities
3. Discussion
3.1. Analysis of Diameter Class Structure of Dominant Tree Species
3.2. Spatial Distribution Patterns and Associations of Dominant Tree Species and Seedlings
3.3. Associations Between Dominant Tree Species and Soil Properties
4. Materials and Methods
4.1. Study Area
4.2. Experimental Design
4.3. Determination of Soil Water-Holding Indices
4.4. Data Processing
5. Conclusions
Author Contributions
Funding
Data Availability Statement
Conflicts of Interest
References
- Mori, A.S.; Lertzman, K.P.; Gustafsson, L. Biodiversity and ecosystem services in forest ecosystems: A research agenda for applied forest ecology. J. Appl. Ecol. 2017, 54, 12–27. [Google Scholar] [CrossRef]
- Liu, P.; Wang, W.; Bai, Z.; Guo, Z.; Ren, W.; Huang, J.; Xu, Y.; Yao, J.; Ding, Y.; Zang, R. Competition and facilitation co-regulate the spatial patterns of boreal tree species in Kanas of Xinjiang, northwest China. Forest Ecol. Manag. 2020, 467, 118167. [Google Scholar] [CrossRef]
- Lin, Y.C.; Chang, L.W.; Yang, K.C.; Wang, H.H.; Sun, I.F. Point patterns of tree distribution determined by habitat heterogeneity and dispersal limitation. Oecologia 2011, 165, 175–184. [Google Scholar] [CrossRef]
- Zhang, M.; Wang, J.; Kang, X. Spatial distribution pattern of dominant tree species in different disturbance plots in the Changbai Mountain. Sci. Rep. 2022, 12, 14161. [Google Scholar] [CrossRef]
- Nguyen, H.H.; Uria-Diez, J.; Wiegand, K. Spatial distribution and association patterns in a tropical evergreen broad-leaved forest of north-central Vietnam. J. Veg. Sci. 2016, 27, 318–327. [Google Scholar] [CrossRef]
- Zhang, Y.; Liu, S.; Ma, J. Water-holding capacity of ground covers and soils in alpine and sub-alpine shrubs in western Sichuan, China. Acta Ecol. Sin. 2006, 26, 2775–2781. [Google Scholar] [CrossRef]
- John, R.; Dalling, J.W.; Harms, K.E.; Yavitt, J.B.; Stallard, R.F.; Mirabello, M.; Hubbell, S.P.; Valencia, R.; Navarrete, H.; Vallejo, M.; et al. Soil nutrients influence spatial distributions of tropical tree species. Proc. Natl. Acad. Sci. USA 2007, 104, 864–869. [Google Scholar] [CrossRef]
- Xu, W.; Ci, X.; Song, C.; He, T.; Zhang, W.; Li, Q.; Li, J. Soil phosphorus heterogeneity promotes tree species diversity and phylogenetic clustering in a tropical seasonal rainforest. Ecol. Evol. 2016, 6, 8719–8726. [Google Scholar] [CrossRef] [PubMed]
- Pastur, G.J.M.; Esteban, R.S.; Cellini, J.M.; Lencinas, M.V.; Peri, P.L.; Neyland, M.G. Survival and growth of Nothofagus pumilio seedlings under several microenvironments after variable retention harvesting in southern Patagonian forests. Ann. Forest Sci. 2014, 71, 349–362. [Google Scholar] [CrossRef]
- Negret, B.S.; Pérez, F.; Markesteijn, L.; Castillo, M.J.; Armesto, J.J. Diverging drought-tolerance strategies explain tree species distribution along a fog-dependent moisture gradient in a temperate rain forest. Oecologia 2013, 173, 625–635. [Google Scholar] [CrossRef]
- Yang, J.; Wang, A.; Shen, L.; Dai, G.; Liu, Y.; Zhang, Y.; Fei, W.; Wu, J. The impact of canopy on nutrient fluxes through rainfall partitioning in a mixed broadleaf and coniferous forest. Forests 2024, 15, 623. [Google Scholar] [CrossRef]
- Rubin, B.D.; Manion, P.D.; Faber-Langendoen, D. Diameter distributions and structural sustainability in forests. Forest Ecol. Manag. 2006, 222, 427–438. [Google Scholar] [CrossRef]
- Stephens, S.L.; Gill, S.J. Forest structure and mortality in an old-growth Jeffrey pine-mixed conifer forest in north-western Mexico. Forest Ecol. Manag. 2005, 205, 15–28. [Google Scholar] [CrossRef]
- Heiri, C.; Wolf, A.; Rohrer, L.; Bugmann, H. Forty years of natural dynamics in Swiss beech forests: Structure, composition, and the influence of former management. Ecol. Appl. 2009, 19, 1920–1934. [Google Scholar] [CrossRef]
- Adie, H.; Lawes, M.J. Explaining conifer dominance in Afrotemperate forests: Shade tolerance favours Podocarpus latifolius over angiosperm species. Forest Ecol. Manag. 2009, 259, 176–186. [Google Scholar] [CrossRef]
- Adie, H.; Lawes, M.J. Role reversal in the stand dynamics of an angiosperm–conifer forest: Colonising angiosperms precede a shade-tolerant conifer in Afrotemperate forest. Forest Ecol. Manag. 2009, 258, 159–168. [Google Scholar] [CrossRef]
- Dong, L.; Jin, X.; Pukkala, T.; Li, F.; Liu, Z. How to manage mixed secondary forest in a sustainable way? Eur. J. Forest Res. 2019, 138, 789–801. [Google Scholar] [CrossRef]
- Ma, J.; Liu, S.; Shi, Z.; Zhang, Y.; Kang, B.; Chen, B. Changes in species composition and diversity in the restoration process of sub-alpine dark brown coniferous forests in Western Sichuan Province, China. Front. For. China 2008, 3, 300–307. [Google Scholar] [CrossRef]
- García, D.; Obeso, J.R.; Martínez, I. Spatial concordance between seed rain and seedling establishment in bird-dispersed trees: Does scale matter? J. Ecol. 2005, 93, 693–704. [Google Scholar] [CrossRef]
- Barbeito, I.; Fortin, M.J.; Montes, F.; Cañellas, I. Response of pine natural regeneration to small-scale spatial variation in a managed Mediterranean mountain forest. Appl. Veg. Sci. 2009, 12, 488–503. [Google Scholar] [CrossRef]
- Zhu, J.; Zhu, C.; Lu, D.; Wang, G.G.; Zheng, X.; Cao, J.; Zhang, J. Regeneration and succession: A 50-year gap dynamic in temperate secondary forests, Northeast China. Forest Ecol. Manag. 2021, 484, 118943. [Google Scholar] [CrossRef]
- Chu, G.M.; Wang, M.; Zhang, S.X. Spatial point patters of Anabasis aphylla populations in the proluvial fan of south Junggar basin. Sci. Silvae Sin. 2014, 50, 8–14. (In Chinese) [Google Scholar]
- Yao, J.; Zhang, X.; Zhang, C.; Zhao, X.; Von Gadow, K. Effects of density dependence in a temperate forest in northeastern China. Sci. Rep. 2016, 6, 32844. [Google Scholar] [CrossRef] [PubMed]
- Li, Y.; Li, M.; Ming, A.; Wang, H.; Yu, S.; Ye, S. Spatial pattern dynamics among co-dominant populations in early secondary forests in Southwest China. J. For. Res. 2021, 32, 1373–1384. [Google Scholar] [CrossRef]
- Martínez, I.; Wiegand, T.; González-Taboada, F.; Obeso, J.R. Spatial associations among tree species in a temperate forest community in North-western Spain. Forest Ecol. Manag. 2010, 260, 456–465. [Google Scholar] [CrossRef]
- Liu, J.; Bai, X.; Yin, Y.; Wang, W.; Li, Z.; Ma, P. Spatial patterns and associations of tree species at different developmental stages in a montane secondary temperate forest of northeastern China. PeerJ 2021, 9, e11517. [Google Scholar] [CrossRef]
- Stark, H.; Nothdurft, A.; Block, J.; Bauhus, J. Forest restoration with Betula ssp. and Populus ssp. nurse crops increases productivity and soil fertility. Forest Ecol. Manag. 2015, 339, 57–70. [Google Scholar] [CrossRef]
- Shemesh, H. A systematic review of nurse objects as safe sites for seedling establishment and implications for restoration. New Phytol. 2025, 245, 2428–2438. [Google Scholar] [CrossRef]
- Andrus, R.A.; Harvey, B.J.; Rodman, K.C.; Hart, S.J.; Veblen, T.T. Moisture availability limits subalpine tree establishment. Ecology 2018, 99, 567–575. [Google Scholar] [CrossRef]
- Gavrilescu, M. Water, soil, and plants interactions in a threatened environment. Water 2021, 13, 2746. [Google Scholar] [CrossRef]
- Zhang, W.; Xu, B. Methods of Long-Term Forest Soil Research; China Forestry Publishing House: Beijing, China, 1986; pp. 30–34. [Google Scholar]
- Liu, S.; Luo, D.; Yang, H.G.; Shi, Z.M.; Liu, Q.L.; Zhang, L.; Kang, Y.; Ma, Q. Fine root biomass, productivity and turnover of Abies faxoniana primary forest in sub-alpine region of western Sichuan, China. Chin. J. Ecol. 2018, 37, 987–993. (In Chinese) [Google Scholar]
- Liu, S.; Luo, D.; Yang, H.; Shi, Z.; Liu, Q.; Zhang, L.; Kang, Y. Fine root dynamics in three forest types with different origins in a subalpine region of the Eastern Qinghai-Tibetan Plateau. Forests 2018, 9, 517. [Google Scholar] [CrossRef]
- Horne, D.J.; Scotter, D.R. The available water holding capacity of soils under pasture. Agr. Water Manag. 2016, 177, 165–171. [Google Scholar] [CrossRef]
- Pan, S.A.; Hao, G.; Li, X.; Feng, Q.; Liu, X.; Sun, O.J. Altitudinal variations of hydraulic traits in Faxon fir (Abies fargesii var. faxoniana): Mechanistic controls and environmental adaptability. For. Ecosyst. 2022, 9, 100040. [Google Scholar] [CrossRef]
- Li, D.M.; Xu, Z.J.R.; Ma, W.B.; Duan, Q.Y.; Yang, Z.X.; Bai, B.; Li, T.; Yang, C.B.; Wang, Q.Y. A preliminary report on wild germplasm resources and application suggestions of Sorbus in Sichuan. J. Sichuan For. Sci. Technol. 2019, 40, 48–51. (In Chinese) [Google Scholar] [CrossRef]
- Liu, Y.; Li, Z.; Chen, Y.; Jin, L.; Li, F.; Wang, X.; Long, Y.; Liu, C.; Kayumba, P.M. Global greening drives significant soil moisture loss. Commun. Earth Environ. 2025, 6, 600. [Google Scholar] [CrossRef]
- Balvanera, P.; Quijas, S.; Pérez-Jiménez, A. Distribution patterns of tropical dry forest trees along a mesoscale water availability gradient. Biotropica 2011, 43, 414–422. [Google Scholar] [CrossRef]
- Kulha, N.; Honkaniemi, J.; Barrere, J.; Brandl, S.; Cordonnier, T.; Korhonen, K.T.; Kunstler, G.; Paul, C.; Reineking, B.; Peltoniemi, M. Competition—Induced tree mortality across Europe is driven by shade tolerance, proportion of conspecifics and drought. J. Ecol. 2023, 111, 2310–2323. [Google Scholar] [CrossRef]
- Hackmann, C.A.; Paligi, S.S.; Mund, M.; Hölscher, D.; Leuschner, C.; Pietig, K.; Ammer, C. Root water uptake depth in temperate forest trees: Species-specific patterns shaped by neighbourhood and environment. Plant Biol. 2025; early view. [Google Scholar] [CrossRef]
- Feng, Q.H.; Huang, J.S.; Xu, Z.J.R.; Xie, D.J.; Liu, X.L.; Pan, H.L.; Liu, S.R. Effects of density adjusting on biomass and biodiversity of artificial Picea asperata forest in sub-alpine region of western Sichuan, China. J. Sichuan For. Sci. Technol. 2016, 37, 10–14. (In Chinese) [Google Scholar] [CrossRef]
- Li, J.Q.; Niu, S.K.; Liu, Y.H. Forest Ecology, 3rd ed.; Higher Education Press: Beijing, China, 2017; pp. 215–216. [Google Scholar]
- Ma, F.; Wang, S.; Sang, W.; Zhang, S.; Ma, K. Spatial distribution and sustainable development of living woody and coarse woody debris in warm-temperate deciduous broadleaved secondary forests in China. Plants 2024, 13, 638. [Google Scholar] [CrossRef] [PubMed]





| Plot | Type | Species | Count | Mean DBH (cm) | Total Basal Area (cm2) | Mean Height (m) | Mean Crown Area (m2) | Relative Dominance (%) |
|---|---|---|---|---|---|---|---|---|
| A | Tree | BA | 184 | 16.30 | 48,052.73 | 8.33 | 4.26 | 53.73 |
| PA | 31 | 19.82 | 12,160.08 | 8.00 | 2.15 | 13.60 | ||
| SK | 60 | 11.50 | 9860.26 | 4.00 | 2.88 | 11.02 | ||
| AFF | 32 | 13.54 | 8938.48 | 6.69 | 3.68 | 9.99 | ||
| PT | 45 | 10.14 | 5312.97 | 3.73 | 2.86 | 5.94 | ||
| SR | 11 | 10.99 | 1232.28 | 3.70 | 2.63 | 1.38 | ||
| PH | 2 | 4.20 | 29.59 | 2.05 | 2.36 | 0.03 | ||
| Shrub | LW | 40 | 7.72 | 2449.73 | 3.13 | 2.47 | 2.74 | |
| RO | 32 | 4.54 | 615.54 | 2.67 | 1.83 | 0.69 | ||
| RP | 8 | 7.68 | 427.86 | 2.88 | 2.17 | 0.48 | ||
| RS | 3 | 8.43 | 169.96 | 2.43 | 2.55 | 0.19 | ||
| CM | 1 | 13.93 | 152.41 | 4.00 | 4.71 | 0.17 | ||
| EG | 3 | 3.83 | 35.41 | 1.93 | 0.79 | 0.04 | ||
| Seedling | BA–seedling | 9 | / | / | 2.28 | / | / | |
| AFF–seedling | 110 | / | / | 0.88 | / | / | ||
| PA–seedling | 7 | / | / | 1.26 | / | / | ||
| B | Tree | BA | 90 | 20.56 | 36,323.57 | 9.24 | 6.72 | 38.85 |
| PA | 44 | 25.73 | 28,263.38 | 9.06 | 3.69 | 30.23 | ||
| SK | 51 | 15.23 | 13,950.44 | 4.42 | 4.50 | 14.92 | ||
| PT | 36 | 12.91 | 8211.86 | 4.10 | 3.68 | 8.78 | ||
| AFF | 1 | 40.64 | 1297.05 | 12.20 | 12.57 | 1.39 | ||
| SR | 6 | 9.95 | 574.67 | 5.17 | 3.17 | 0.61 | ||
| Shrub | LW | 60 | 7.94 | 3867.97 | 3.52 | 1.74 | 4.14 | |
| CM | 14 | 6.66 | 562.39 | 2.85 | 3.34 | 0.60 | ||
| SH | 1 | 23.56 | 435.85 | 7.50 | 9.62 | 0.47 | ||
| RP | 1 | 3.80 | 11.37 | 3.00 | 0.79 | 0.01 | ||
| ES | 1 | 3.24 | 8.24 | 2.50 | 0.94 | 0.01 | ||
| Seedling | AFF–seedling | 1 | / | / | 0.80 | / | / | |
| PA–seedling | 2 | / | / | 1.65 | / | / |
Disclaimer/Publisher’s Note: The statements, opinions and data contained in all publications are solely those of the individual author(s) and contributor(s) and not of MDPI and/or the editor(s). MDPI and/or the editor(s) disclaim responsibility for any injury to people or property resulting from any ideas, methods, instructions or products referred to in the content. |
© 2025 by the authors. Licensee MDPI, Basel, Switzerland. This article is an open access article distributed under the terms and conditions of the Creative Commons Attribution (CC BY) license (https://creativecommons.org/licenses/by/4.0/).
Share and Cite
Zhao, J.; Liu, X.; Wang, L.; Feng, Q.; Gou, C.; Bai, J.; Yang, X. Spatial Distribution Patterns of Dominant Tree Species and Their Associations with Soil Factors in Subalpine Secondary Forests of Western Sichuan. Plants 2025, 14, 3424. https://doi.org/10.3390/plants14223424
Zhao J, Liu X, Wang L, Feng Q, Gou C, Bai J, Yang X. Spatial Distribution Patterns of Dominant Tree Species and Their Associations with Soil Factors in Subalpine Secondary Forests of Western Sichuan. Plants. 2025; 14(22):3424. https://doi.org/10.3390/plants14223424
Chicago/Turabian StyleZhao, Jingdong, Xin Liu, Le Wang, Qiuhong Feng, Chang Gou, Jianhua Bai, and Xiaohui Yang. 2025. "Spatial Distribution Patterns of Dominant Tree Species and Their Associations with Soil Factors in Subalpine Secondary Forests of Western Sichuan" Plants 14, no. 22: 3424. https://doi.org/10.3390/plants14223424
APA StyleZhao, J., Liu, X., Wang, L., Feng, Q., Gou, C., Bai, J., & Yang, X. (2025). Spatial Distribution Patterns of Dominant Tree Species and Their Associations with Soil Factors in Subalpine Secondary Forests of Western Sichuan. Plants, 14(22), 3424. https://doi.org/10.3390/plants14223424

