Initial Carbon Quality of Newly Shed Foliar Litter in an Alpine Forest from Proximate Analysis and 13C NMR Spectroscopy Perspectives
Abstract
1. Introduction
2. Materials and Methods
2.1. Site Description
2.2. Experimental Design and Sample Collection
2.3. Chemical Analysis
2.4. Statistical Analysis
3. Results
3.1. Proportions of Organic Components in Newly Shed Foliar Litter
3.2. Proportions of Functional C Groups in Newly Shed Foliar Litter
3.3. A/O-A and HB/HI Ratios of Newly Shed Foliar Litter
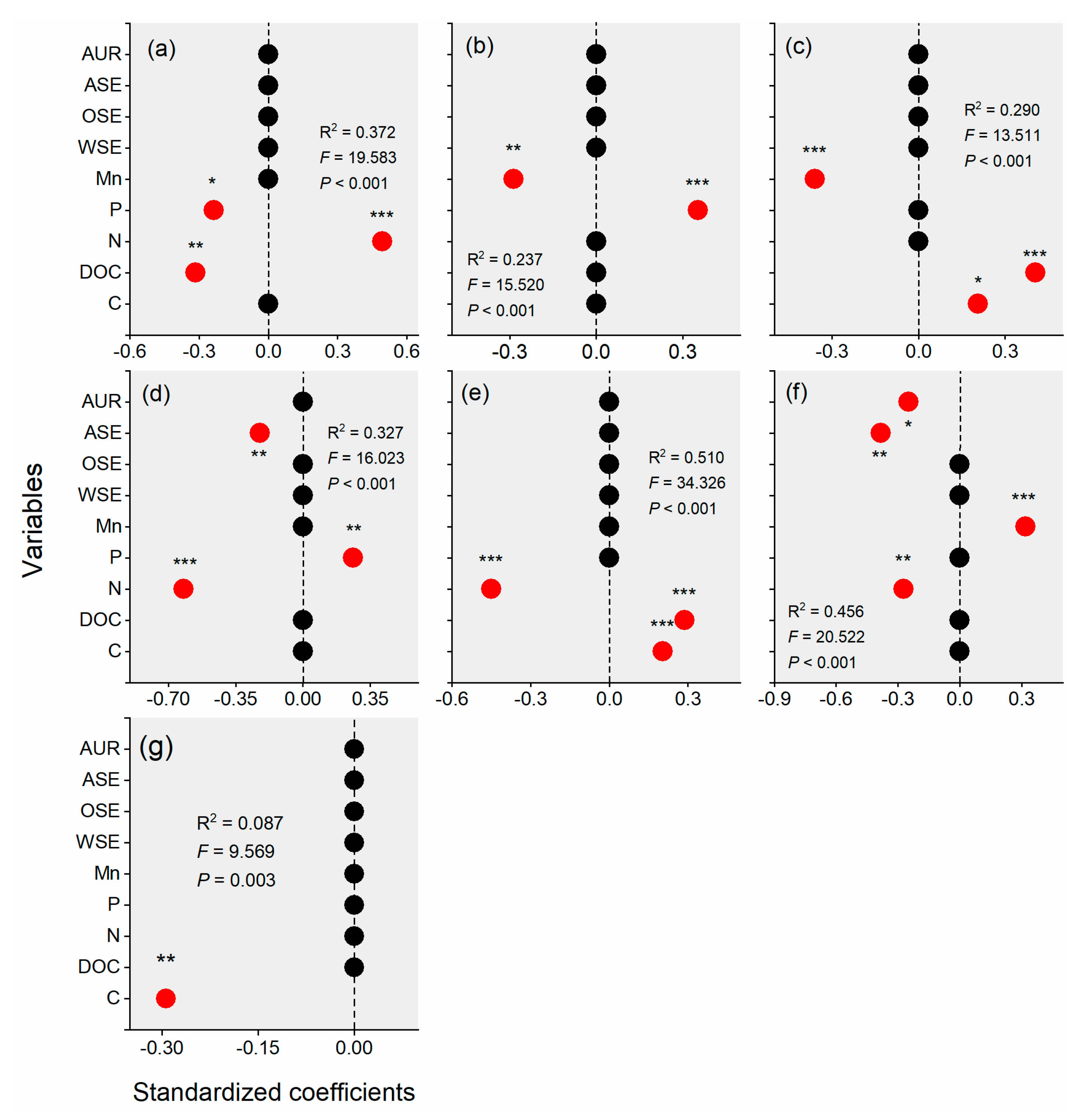
3.4. Relationships between the Initial Functional C Groups and C Loss during Litter Decomposition
4. Discussion
5. Conclusions
Supplementary Materials
Author Contributions
Funding
Institutional Review Board Statement
Acknowledgments
Conflicts of Interest
References
- Li, Q.; Zhang, M.; Geng, Q.; Jin, C.; Zhu, J.; Ruan, H.; Xu, X. The roles of initial litter traits in regulating litter decomposition: A “common plot” experiment in a subtropical evergreen broadleaf forest. Plant Soil 2020, 452, 207–216. [Google Scholar] [CrossRef]
- Hishinuma, T.; Osono, T.; Fukasawa, Y.; Azuma, J.-i.; Takeda, H. Application of 13C NMR spectroscopy to characterize organic chemical components of decomposing coarse woody debris from different climatic regions. Ann. For. Res. 2015, 58, 3–13. [Google Scholar] [CrossRef]
- Sarker, T.C.; Maisto, G.; De Marco, A.; Esposito, F.; Panico, S.C.; Alam, M.F.; Mazzoleni, S.; Bonanomi, G. Explaining trajectories of chemical changes during decomposition of tropical litter by 13C-CPMAS NMR, proximate and nutrients analysis. Plant Soil 2019, 436, 13–28. [Google Scholar] [CrossRef]
- De Marco, A.; Fioretto, A.; Giordano, M.; Innangi, M.; Menta, C.; Papa, S.; Virzo De Santo, A. C stocks in forest floor and mineral soil of two mediterranean beech forests. Forests 2016, 7, 181. [Google Scholar] [CrossRef]
- Mastný, J.; Kaštovská, E.; Bárta, J.; Chroňáková, A.; Borovec, J.; Šantrůčková, H.; Urbanová, Z.; Edwards, K.R.; Picek, T. Quality of DOC produced during litter decomposition of peatland plant dominants. Soil Biol. Biochem. 2018, 121, 221–230. [Google Scholar] [CrossRef]
- Ni, X.Y.; Yang, W.Q.; Liao, S.; Li, H.; Tan, B.; Yue, K.; Xu, Z.F.; Zhang, L.; Wu, F.Z. Rapid release of labile components limits the accumulation of humic substances in decomposing litter in an alpine forest. Ecosphere 2018, 9, e02434. [Google Scholar] [CrossRef]
- Kögel-Knabner, I. The macromolecular organic composition of plant and microbial residues as inputs to soil organic matter: Fourteen years on. Soil Biol. Biochem. 2017, 105, A3–A8. [Google Scholar] [CrossRef]
- Pisani, O.; Lin, L.H.; Lun, O.O.Y.; Lajtha, K.; Nadelhoffer, K.J.; Simpson, A.J.; Simpson, M.J. Long-term doubling of litter inputs accelerates soil organic matter degradation and reduces soil carbon stocks. Biogeochemistry 2016, 127, 1–14. [Google Scholar] [CrossRef]
- Grossman, J.J.; Cavender-Bares, J.; Hobbie, S.E. Functional diversity of leaf litter mixtures slows decomposition of labile but not recalcitrant carbon over two years. Ecol. Monogr. 2020, 90, e01407. [Google Scholar] [CrossRef]
- Wang, Y.; Zheng, J.; Boyd, S.E.; Xu, Z.; Zhou, Q. Effects of litter quality and quantity on chemical changes during eucalyptus litter decomposition in subtropical Australia. Plant Soil 2019, 442, 65–78. [Google Scholar] [CrossRef]
- De Marco, A.; Spaccini, R.; Virzo De Santo, A. Differences in nutrients, organic components and decomposition pattern of Phillyrea angustifolia leaf litter across a low maquis. Plant Soil 2021, 464, 559–578. [Google Scholar] [CrossRef]
- Preston, C.M.; Nault, J.R.; Trofymow, J.A.; Smyth, C. Chemical changes during 6 years of decomposition of 11 litters in some Canadian forest sites. Part 1. elemental composition, tannins, phenolics, and proximate fractions. Ecosystems 2009, 12, 1053–1077. [Google Scholar] [CrossRef]
- Hilli, S.; Stark, S.; Willför, S.; Smeds, A.; Reunanen, M.; Hautajärvi, R. What is the composition of AIR? Pyrolysis-GC–MS characterization of acid-insoluble residue from fresh litter and organic horizons under boreal forests in southern Finland. Geoderma 2012, 179–180, 63–72. [Google Scholar] [CrossRef]
- Preston, C.M.; Nault, J.R.; Trofymow, J.A. Chemical changes during 6 years of decomposition of 11 litters in some Canadian forest sites. Part 2. 13C abundance, solid-state 13C NMR spectroscopy and the meaning of “lignin”. Ecosystems 2009, 12, 1078–1102. [Google Scholar] [CrossRef]
- Assuncao, S.A.; Pereira, M.G.; Rosset, J.S.; Berbara, R.L.L.; Garcia, A.C. Carbon input and the structural quality of soil organic matter as a function of agricultural management in a tropical climate region of Brazil. Sci. Total Environ. 2019, 658, 901–911. [Google Scholar] [CrossRef]
- Yeasmin, S.; Singh, B.; Smernik, R.J.; Johnston, C.T. Effect of land use on organic matter composition in density fractions of contrasting soils: A comparative study using 13C NMR and DRIFT spectroscopy. Sci. Total Environ. 2020, 726, 138395. [Google Scholar] [CrossRef]
- Mathers, N.J.; Jalota, R.K.; Dalal, R.C.; Boyd, S.E. 13C-NMR analysis of decomposing litter and fine roots in the semi-arid Mulga Lands of southern Queensland. Soil Biol. Biochem. 2007, 39, 993–1006. [Google Scholar] [CrossRef]
- Lorenz, K.; Lal, R.; Preston, C.M.; Nierop, K.G.J. Strengthening the soil organic carbon pool by increasing contributions from recalcitrant aliphatic bio(macro)molecules. Geoderma 2007, 142, 1–10. [Google Scholar] [CrossRef]
- Ono, K.; Hirai, K.; Morita, S.; Ohse, K.; Hiradate, S. Organic carbon accumulation processes on a forest floor during an early humification stage in a temperate deciduous forest in Japan: Evaluations of chemical compositional changes by 13C NMR and their decomposition rates from litterbag experiment. Geoderma 2009, 151, 351–356. [Google Scholar] [CrossRef]
- Ji, H.; Han, J.; Xue, J.; Hatten, J.A.; Wang, M.; Guo, Y.; Li, P. Soil organic carbon pool and chemical composition under different types of land use in wetland: Implication for carbon sequestration in wetlands. Sci. Total Environ. 2020, 716, 136996. [Google Scholar] [CrossRef]
- de Wit, H.A.; Ledesma, J.L.J.; Futter, M.N. Aquatic DOC export from subarctic Atlantic blanket bog in Norway is controlled by seasalt deposition, temperature and precipitation. Biogeochemistry 2016, 127, 305–321. [Google Scholar] [CrossRef]
- Zhang, Y.; Yang, J.P.; Yang, W.Q.; Tan, B.; Fu, C.K.; Wu, F.Z. Climate, plant organs and species control dissolved nitrogen and phosphorus in fresh litter in a subalpine forest on the eastern Tibetan Plateau. Ann. Sci. 2018, 75, 51. [Google Scholar] [CrossRef]
- Ni, X.Y.; Yang, W.Q.; Tan, B.; He, J.; Xu, L.Y.; Li, H.; Wu, F.Z. Accelerated foliar litter humification in forest gaps: Dual feedbacks of carbon sequestration during winter and the growing season in an alpine forest. Geoderma 2015, 241–242, 136–144. [Google Scholar] [CrossRef]
- Prescott, C.E.; Maynard, D.G.; Laiho, R. Humus in northern forests: Friend or foe? Ecol. Manag. 2000, 133, 23–36. [Google Scholar] [CrossRef]
- Ono, K.; Hiradate, S.; Morita, S.; Hirai, K. Fate of organic carbon during decomposition of different litter types in Japan. Biogeochemistry 2013, 112, 7–21. [Google Scholar] [CrossRef]
- De Marco, A.; Spaccini, R.; Vittozzi, P.; Esposito, F.; Berg, B.; Virzo De Santo, A. Decomposition of black locust and black pine leaf litter in two coeval forest stands on Mount Vesuvius and dynamics of organic components assessed through proximate analysis and NMR spectroscopy. Soil Biol. Biochem. 2012, 51, 1–15. [Google Scholar] [CrossRef]
- Berg, B. Decomposition patterns for foliar litter—A theory for influencing factors. Soil Biol. Biochem. 2014, 78, 222–232. [Google Scholar] [CrossRef]
- Chapin, F.S. Effects of plant traits on ecosystem and regional processes: A conceptual framework for predicting the consequences of global change. Ann. Bot. 2003, 91, 455–463. [Google Scholar] [CrossRef]
- Yang, J.; Zhang, Y.; Fu, C.; Liang, Z.; Yue, K.; Xu, Z.; Ni, X.; Wu, F. Seasonal dynamics of organic components in fresh foliar litters at different gap positions in an alpine forest on the eastern Tibetan Plateau. J. Soils Sediments 2021, 21, 810–820. [Google Scholar] [CrossRef]
- Khan, M.U.; Ahring, B.K. Lignin degradation under anaerobic digestion: Influence of lignin modifications—A review. Biomass Bioenergy 2019, 128, 105325. [Google Scholar] [CrossRef]
- Ono, K.; Hiradate, S.; Morita, S.; Ohse, K.; Hirai, K. Humification processes of needle litters on forest floors in Japanese cedar (Cryptomeria japonica) and Hinoki cypress (Chamaecyparis obtusa) plantations in Japan. Plant Soil 2010, 338, 171–181. [Google Scholar] [CrossRef]
- Wu, F.Z.; Yang, W.Q.; Zhang, J.; Deng, R.J. Litter decomposition in two subalpine forests during the freeze–thaw season. Acta Oecol. 2010, 36, 135–140. [Google Scholar] [CrossRef]
- IUSS Working Group WRB. World Reference Base for Soil Resources 2014, update 2015. In International Soil Classification System for Naming Soils and Creating Legends for Soil Maps; Schad, P., van Huyssteen, C., Micheli, E., Eds.; World Soil Resources Reports No. 106; FAO: Rome, Italy, 2015; 192p. [Google Scholar]
- Hilli, S.; Stark, S.; Derome, J. Carbon quality and stocks in organic horizons in boreal forest soils. Ecosystems 2008, 11, 270–282. [Google Scholar] [CrossRef]
- Carrasco, B.; Cabaneiro, A.; Fernandez, I. Exploring potential pine litter biodegradability as a natural tool for low-carbon forestry. Ecol. Manag. 2017, 401, 166–176. [Google Scholar] [CrossRef]
- Bonanomi, G.; Incerti, G.; Giannino, F.; Mingo, A.; Lanzotti, V.; Mazzoleni, S. Litter quality assessed by solid state 13C NMR spectroscopy predicts decay rate better than C/N and Lignin/N ratios. Soil Biol. Biochem. 2013, 56, 40–48. [Google Scholar] [CrossRef]
- He, Y.; Chen, C.; Xu, Z.; Williams, D.; Xu, J. Assessing management impacts on soil organic matter quality in subtropical Australian forests using physical and chemical fractionation as well as 13C NMR spectroscopy. Soil Biol. Biochem. 2009, 41, 640–650. [Google Scholar] [CrossRef]
- Zhu, J.X.; He, X.H.; Wu, F.Z.; Yang, W.Q.; Tan, B. Decomposition of abies faxoniana litter varies with freeze–thaw stages and altitudes in subalpine/alpine forests of southwest China. Scand. J. For. Res. 2012, 27, 586–596. [Google Scholar] [CrossRef]
- Wang, D.; Abdullah, K.M.; Xu, Z.; Wang, W. Water extractable organic C and total N: The most sensitive indicator of soil labile C and N pools in response to the prescribed burning in a suburban natural forest of subtropical Australia. Geoderma 2020, 377, 114586. [Google Scholar] [CrossRef]
- Peng, Y.; Yang, W.Q.; Yue, K.; Tan, B.; Huang, C.P.; Xu, Z.F.; Ni, X.Y.; Zhang, L.; Wu, F.Z. Temporal dynamics of phosphorus during aquatic and terrestrial litter decomposition in an alpine forest. Sci. Total Environ. 2018, 642, 832–841. [Google Scholar] [CrossRef]
- Ni, X.Y.; Berg, B.; Yang, W.Q.; Li, H.; Liao, S.; Tan, B.; Yue, K.; Xu, Z.F.; Zhang, L.; Wu, F.Z. Formation of forest gaps accelerates C, N and P release from foliar litter during 4 years of decomposition in an alpine forest. Biogeochemistry 2018, 139, 321–335. [Google Scholar] [CrossRef]
- Baldock, J.A.; Masiello, C.A.; Gélinas, Y.; Hedges, J.I. Cycling and composition of organic matter in terrestrial and marine ecosystems. Mar. Chem. 2004, 92, 39–64. [Google Scholar] [CrossRef]
- McKee, G.A.; Soong, J.L.; Caldéron, F.; Borch, T.; Cotrufo, M.F. An integrated spectroscopic and wet chemical approach to investigate grass litter decomposition chemistry. Biogeochemistry 2016, 128, 107–123. [Google Scholar] [CrossRef]
- Schädel, C.; Blöchl, A.; Richter, A.; Hoch, G. Quantification and monosaccharide composition of hemicelluloses from different plant functional types. Plant Physiol. Biochem. 2010, 48, 1–8. [Google Scholar] [CrossRef] [PubMed]
- Wang, H.; Liu, S.; Wang, J.; Shi, Z.; Lu, L.; Guo, W.; Jia, H.; Cai, D. Dynamics and speciation of organic carbon during decomposition of leaf litter and fine roots in four subtropical plantations of China. Ecol. Manag. 2013, 300, 43–52. [Google Scholar] [CrossRef]
- Ussiri, D.A.N.; Johnson, C.E. Characterization of organic matter in a northern hardwood forest soil by 13C NMR spectroscopy and chemical methods. Geoderma 2003, 111, 123–149. [Google Scholar] [CrossRef]
- Yue, K.; Peng, C.; Yang, W.; Peng, Y.; Zhang, C.; Huang, C.; Wu, F. Degradation of lignin and cellulose during foliar litter decomposition in an alpine forest river. Ecosphere 2016, 7, e01523. [Google Scholar] [CrossRef]
- Maisto, G.; De Marco, A.; Meola, A.; Sessa, L.; Virzo De Santo, A. Nutrient dynamics in litter mixtures of four Mediterranean maquis species decomposing in situ. Soil Biol. Biochem. 2011, 43, 520–530. [Google Scholar] [CrossRef]
- Hopkins, D.W.; Sparrow, A.D.; Elberling, B.; Gregorich, E.G.; Novis, P.M.; Greenfield, L.G.; Tilston, E.L. Carbon, nitrogen and temperature controls on microbial activity in soils from an Antarctic dry valley. Soil Biol. Biochem. 2006, 38, 3130–3140. [Google Scholar] [CrossRef]
- Saccone, P.; Morin, S.; Baptist, F.; Bonneville, J.-M.; Colace, M.-P.; Domine, F.; Faure, M.; Geremia, R.; Lochet, J.; Poly, F.; et al. The effects of snowpack properties and plant strategies on litter decomposition during winter in subalpine meadows. Plant Soil 2013, 363, 215–229. [Google Scholar] [CrossRef]
- Yuan, Z.Y.; Chen, H.Y.H. Global trends in senesced-leaf nitrogen and phosphorus. Glob. Ecol. Biogeogr. 2009, 18, 532–542. [Google Scholar] [CrossRef]
- Klotzbücher, T.; Kaiser, K.; Guggenberger, G.; Gatzek, C.; Kalbitz, K. A new conceptual model for the fate of lignin in decomposing plant litter. Ecology 2011, 92, 1052–1062. [Google Scholar] [CrossRef] [PubMed]
- Trum, F.; Titeux, H.; Ponette, Q.; Berg, B. Influence of manganese on decomposition of common beech (Fagus sylvatica L.) leaf litter during field incubation. Biogeochemistry 2015, 125, 349–358. [Google Scholar] [CrossRef]





| Carbon Quality | Fir | Spruce | Willow | Rosa |
|---|---|---|---|---|
| Aliphatic (%) | 23.66 ± 0.65 bc | 22.06 ± 1.31 c | 28.45 ± 3.45 b | 35.44 ± 3.49 a |
| Methoxyl (%) | 5.60 ± 0.20 b | 6.67 ± 0.27 a | 6.79 ± 0.49 a | 5.39 ± 0.17 b |
| O-alkyl (%) | 32.03 ± 0.35 b | 35.02 ± 0.64 a | 32.34 ± 1.56 b | 27.60 ± 1.27 c |
| di-O-alkyl (%) | 10.58 ± 0.12 a | 10.24 ± 0.21 a | 9.38 ± 0.59 a | 8.10 ± 0.69 b |
| Aromatic (%) | 13.48 ± 0.23 a | 12.94 ± 0.49 a | 10.84 ± 1.01 b | 10.68 ± 0.89 b |
| Phenolic (%) | 10.48 ± 0.29 a | 8.74 ± 0.41 b | 7.86 ± 0.79 bc | 7.10 ± 1.02 c |
| Carboxyl (%) | 4.19 ± 0.35 b | 4.33 ± 0.32 b | 4.34 ± 0.49 b | 5.68 ± 0.90 a |
| A/O-A | 0.49 ± 0.02 c | 0.43 ± 0.03 d | 0.60 ± 0.09 b | 0.88 ± 0.11 a |
| HB/HI | 0.91 ± 0.02 b | 0.78 ± 0.02 d | 0.90 ± 0.06 c | 1.15 ± 0.08 a |
| OSE (%) | 9.26 ± 0.97 a | 6.40 ± 0.77 b | 3.98 ± 0.63 b | 6.48 ± 0.93 b |
| WSE (%) | 20.98 ± 1.41 a | 19.65 ± 1.91 a | 20.53 ± 3.25 a | 19.54 ± 1.90 a |
| ASE (%) | 34.91 ± 0.82 a | 32.50 ± 2.91 a | 35.45 ± 1.02 a | 37.62 ± 2.97 a |
| AUR (%) | 37.05 ± 1.31 a | 41.45 ± 4.00 a | 40.04 ± 3.57 a | 36.35 ± 1.67 a |
| Carbon Quality | Plant Species | Collection Time | ||||
|---|---|---|---|---|---|---|
| df | F | p | df | F | p | |
| Aliphatic | 3 | 146.85 | <0.001 | 7 | 27.661 | <0.001 |
| Methoxyl | 3 | 33.17 | <0.001 | 7 | 7.419 | <0.001 |
| O-alkyl | 3 | 236.10 | <0.001 | 7 | 34.761 | <0.001 |
| Di-O-alkyl | 3 | 66.82 | <0.001 | 7 | 9.365 | <0.001 |
| Aromatic | 3 | 54.54 | <0.001 | 7 | 16.017 | <0.001 |
| Phenolic | 3 | 54.30 | <0.001 | 7 | 9.073 | <0.001 |
| Carboxyl | 3 | 9.24 | <0.001 | 7 | 3.039 | 0.007 |
| HB/HI | 3 | 352.77 | <0.001 | 7 | 37.097 | <0.001 |
| A/O-A | 3 | 415.89 | <0.001 | 7 | 55.054 | <0.001 |
| OSE | 3 | 45.938 | <0.001 | 7 | 28.316 | <0.001 |
| WSE | 3 | 0.941 | 0.426 | 7 | 16.048 | <0.001 |
| ASE | 3 | 3.776 | 0.015 | 7 | 2.621 | 0.020 |
| AUR | 3 | 5.149 | 0.003 | 7 | 10.741 | <0.001 |
Publisher’s Note: MDPI stays neutral with regard to jurisdictional claims in published maps and institutional affiliations. |
© 2022 by the authors. Licensee MDPI, Basel, Switzerland. This article is an open access article distributed under the terms and conditions of the Creative Commons Attribution (CC BY) license (https://creativecommons.org/licenses/by/4.0/).
Share and Cite
Yang, J.; Mu, J.; Zhang, Y.; Fu, C.; Dong, Q.; Yang, Y.; Wu, Q. Initial Carbon Quality of Newly Shed Foliar Litter in an Alpine Forest from Proximate Analysis and 13C NMR Spectroscopy Perspectives. Forests 2022, 13, 1886. https://doi.org/10.3390/f13111886
Yang J, Mu J, Zhang Y, Fu C, Dong Q, Yang Y, Wu Q. Initial Carbon Quality of Newly Shed Foliar Litter in an Alpine Forest from Proximate Analysis and 13C NMR Spectroscopy Perspectives. Forests. 2022; 13(11):1886. https://doi.org/10.3390/f13111886
Chicago/Turabian StyleYang, Jiaping, Junpeng Mu, Yu Zhang, Changkun Fu, Qing Dong, Yulian Yang, and Qinggui Wu. 2022. "Initial Carbon Quality of Newly Shed Foliar Litter in an Alpine Forest from Proximate Analysis and 13C NMR Spectroscopy Perspectives" Forests 13, no. 11: 1886. https://doi.org/10.3390/f13111886
APA StyleYang, J., Mu, J., Zhang, Y., Fu, C., Dong, Q., Yang, Y., & Wu, Q. (2022). Initial Carbon Quality of Newly Shed Foliar Litter in an Alpine Forest from Proximate Analysis and 13C NMR Spectroscopy Perspectives. Forests, 13(11), 1886. https://doi.org/10.3390/f13111886
