Sign in to use this feature.

Years

Between: -

Subjects

remove_circle_outline
remove_circle_outline
remove_circle_outline
remove_circle_outline
remove_circle_outline
remove_circle_outline
remove_circle_outline
remove_circle_outline
remove_circle_outline

Journals

Article Types

Countries / Regions

Search Results (29)

Search Parameters:
Keywords = AM-4

Order results
Result details
Results per page
Select all
Export citation of selected articles as:
21 pages, 3110 KB  
Article
Improved Recombinant Adeno-Associated Viral Vector Production via Molecular Evolution of the Viral Rep Protein
by Thomas Steininger, Veronika Öttl, Linda E. Franken, Cornelius Frank, Philip Ohland, Miriam Lopez Ferreiro, Stefan Klostermann, Johannes Fritsch, Evelyn Hirschauer, Anna Sandmeir, Luisa D. Hilgenfeld, Florian Semmelmann, Marie-Sofie Dürr, Fabian Konkel, Gregor Pechmann, Sabine Linder, Markus Haindl, Mustafa N. Yazicioglu, Philippe Ringler, Matthias E. Lauer, Denis Phichith, Stefan Seeber and Julia Fakhiriadd Show full author list remove Hide full author list
Int. J. Mol. Sci. 2025, 26(3), 1319; https://doi.org/10.3390/ijms26031319 - 4 Feb 2025
Cited by 2 | Viewed by 9408
Abstract
In the dynamic field of gene therapy, recombinant adeno-associated viruses (rAAVs) have become leading viral vectors due to their safety, long-term expression, and wide-ranging cell and tissue tropism. With numerous FDA approvals and commercial products underscoring their potential, there is a critical need [...] Read more.
In the dynamic field of gene therapy, recombinant adeno-associated viruses (rAAVs) have become leading viral vectors due to their safety, long-term expression, and wide-ranging cell and tissue tropism. With numerous FDA approvals and commercial products underscoring their potential, there is a critical need for efficient production processes to achieve high vector titers and quality. A major challenge in rAAV production is the efficient packaging of the genome into the viral capsid, with empty or partially filled capsids often representing over 90% of the produced material. To tackle this issue, we engineered the replication and packaging proteins of an AAV (Rep) to boost their functionality and improve vector titers. We subjected a complex Rep library derived from the AAV serotypes 1–13 to directed evolution in an AAV producer cell line. After each round of selection, single clones were analyzed, showing enrichment of specific hybrid Rep domains. Comparative analysis of these selected clones revealed considerable differences in their ability to package AAV2-based viral genomes, with hybrid Rep proteins achieving up to a 2.5-fold increase in packaging efficiency compared to their parental counterparts. These results suggest that optimizing rep gene variants through directed evolution is an effective strategy to enhance rAAV production efficiency. Full article
(This article belongs to the Special Issue Virus Engineering and Applications)
Show Figures

Figure 1

17 pages, 3338 KB  
Article
Impact of Various Extraction Technologies on Protein and Chlorophyll Yield from Stinging Nettle
by Simon Dirr and Özlem Özmutlu Karslioglu
Foods 2024, 13(20), 3318; https://doi.org/10.3390/foods13203318 - 18 Oct 2024
Cited by 2 | Viewed by 2253
Abstract
Stinging nettle (Urtica dioica L.) has gained attention as a sustainable protein source due to its rich bioactive compound profile and medicinal properties, but research on optimizing its protein extraction remains limited. This research explores various cell disruption methods, including pulsed electric [...] Read more.
Stinging nettle (Urtica dioica L.) has gained attention as a sustainable protein source due to its rich bioactive compound profile and medicinal properties, but research on optimizing its protein extraction remains limited. This research explores various cell disruption methods, including pulsed electric fields and high-pressure homogenization, combined with extraction techniques like isoelectric precipitation, ultrafiltration, and salting-out, to enhance protein yield and assess its impact on chlorophyll content. The findings indicate that high-pressure homogenization combined with isoelectric precipitation achieved the highest protein yield of 11.60%, while pulsed electric fields with ultrafiltration significantly reduced chlorophyll content from 4781.41 µg/g in raw leaves to 15.07 µg/g in the processed sample. Additionally, the findings suggest that innovative extraction technologies can improve the efficiency and sustainability of protein isolation from stinging nettle, offering a valuable addition to the repertoire of alternative protein sources. These advancements could pave the way for broader applications of stinging nettle in food fortification and functional ingredient development. Full article
(This article belongs to the Special Issue New Methods in Food Processing and Analysis)
Show Figures

Figure 1

17 pages, 294 KB  
Review
Optimizing Retail Pharmacy Success: The Role of Multichannel Marketing Strategies
by Alexander Wick, Bernhard Koczian and Kristína Králiková
Adm. Sci. 2024, 14(9), 210; https://doi.org/10.3390/admsci14090210 - 9 Sep 2024
Cited by 2 | Viewed by 8463
Abstract
This study focuses on the effect of multichannel marketing communication in retail pharmacies to establish customer satisfaction in a world experiencing the digitalization of health sectors. The objective of the study is to understand customer acquisition and retention practices, the role of online [...] Read more.
This study focuses on the effect of multichannel marketing communication in retail pharmacies to establish customer satisfaction in a world experiencing the digitalization of health sectors. The objective of the study is to understand customer acquisition and retention practices, the role of online and offline integrated communication, and the extent of customer preference for various marketing communication channels. As part of the study, the quantitative analysis of the publications included in the review was made using articles and reports published from 2014 to 2024. The review was conducted on the aspects of marketing using multiple channels in retail pharmacy and the healthcare-associated fields. The studies identified that comprehensive communication channel enhancement policies positively affect the generation of revenues, reduction in costs, and information delivery schedules in pharmaceuticals. Depending on the channel, consumers’ needs and wants differ, and there is success in personalizing and presenting reasonably logical thoughts to people. Synchronicity of online and offline communication effectively increases the customers’ power, trust, and satisfaction. E-marketing has always been significant in enhancing customers’ touch points, which is why digital transformation is vital. This study further supports the fact that multichannel marketing is mandatory for the success of a retail pharmacy in the prevalent, highly competitive environment. The implementation also presupposes knowledge of consumer differences, the synergy of online and offline contacts, the emphasis on personalization, and fast adaptation to the changing technological environment, but often within the framework of severe legislation. Full article
12 pages, 5944 KB  
Article
Quartz-Enhanced Photoacoustic Sensor Based on a Multi-Laser Source for In-Sequence Detection of NO2, SO2, and NH3
by Pietro Patimisco, Nicoletta Ardito, Edoardo De Toma, Dominik Burghart, Vladislav Tigaev, Mikhail A. Belkin and Vincenzo Spagnolo
Sensors 2023, 23(21), 9005; https://doi.org/10.3390/s23219005 - 6 Nov 2023
Cited by 12 | Viewed by 2355
Abstract
In this work, we report on the implementation of a multi-quantum cascade laser (QCL) module as an innovative light source for quartz-enhanced photoacoustic spectroscopy (QEPAS) sensing. The source is composed of three different QCLs coupled with a dichroitic beam combiner module that provides [...] Read more.
In this work, we report on the implementation of a multi-quantum cascade laser (QCL) module as an innovative light source for quartz-enhanced photoacoustic spectroscopy (QEPAS) sensing. The source is composed of three different QCLs coupled with a dichroitic beam combiner module that provides an overlapping collimated beam output for all three QCLs. The 3λ-QCL QEPAS sensor was tested for detection of NO2, SO2, and NH3 in sequence in a laboratory environment. Sensitivities of 19.99 mV/ppm, 19.39 mV/ppm, and 73.99 mV/ppm were reached for NO2, SO2, and NH3 gas detection, respectively, with ultimate detection limits of 9 ppb, 9.3 ppb, and 2.4 ppb for these three gases, respectively, at an integration time of 100 ms. The detection limits were well below the values of typical natural abundance of NO2, SO2, and NH3 in air. Full article
(This article belongs to the Special Issue Photonics for Advanced Spectroscopy and Sensing)
Show Figures

Figure 1

12 pages, 6195 KB  
Article
Investigation of Bioavailability and Food-Processing Properties of Arthrospira platensis by Enzymatic Treatment and Micro-Encapsulation by Spray Drying
by Patricia Maag, Simon Dirr and Özlem Özmutlu Karslioglu
Foods 2022, 11(13), 1922; https://doi.org/10.3390/foods11131922 - 28 Jun 2022
Cited by 12 | Viewed by 2561
Abstract
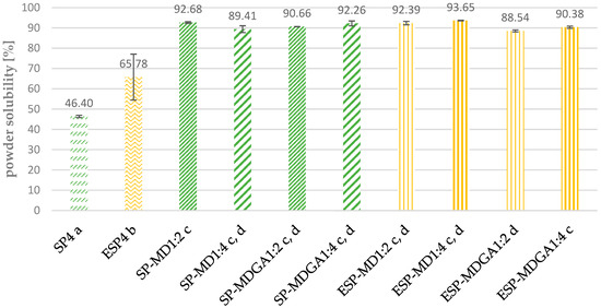
Due to its high-protein content of 60–70% on dry weight, Arthrospira platensis, has been considered as one of the most sought-after protein alternatives. However, the processing of Arthrospira platensis extract (spirulina, SP) in food is usually limited due to the strong green [...] Read more.
Due to its high-protein content of 60–70% on dry weight, Arthrospira platensis, has been considered as one of the most sought-after protein alternatives. However, the processing of Arthrospira platensis extract (spirulina, SP) in food is usually limited due to the strong green colour and taste, as well as the lack of bioavailability of plant proteins. Therefore, this study aimed to increase its use in food applications through technologies such as microencapsulation by spray drying and enzymatic treatment. The effect of different combinations of maltodextrin (MD) and gum arabic (GA) as coating material were tested in ratios of 1:2 and 1:4 for Arthrospira platensis, core to wall material, respectively. Additionally, enzymatic treatment was used to investigate whether digestibility, protein solubility and powder solubility can be improved. Thermal stability was examined by differential scanning calorimetry (DSC), and colour intensity was analysed over L* a* b* colour system. The sample SP-MD1:2 showed the highest heat stability with a denaturation peak at 67 °C, while the samples SP-MD1:4 and ESP-MD1:4 revealed the best brightening effects. The crude protein content stated by the manufacturer of 67% was confirmed. Encapsulation and enzymatic hydrolysis enhance the protein solubility, under which ESP-MD1:4 had the greatest solubility at around 83%. The protein digestibility peaks were around 99% with sample SP-MD1:2. Full article
(This article belongs to the Section Food Biotechnology)
Show Figures

Figure 1

12 pages, 6649 KB  
Article
Heat-Mode Excitation in a Proximity Superconductor
by Artem Denisov, Anton Bubis, Stanislau Piatrusha, Nadezhda Titova, Albert Nasibulin, Jonathan Becker, Julian Treu, Daniel Ruhstorfer, Gregor Koblmüller, Evgeny Tikhonov and Vadim Khrapai
Nanomaterials 2022, 12(9), 1461; https://doi.org/10.3390/nano12091461 - 25 Apr 2022
Cited by 9 | Viewed by 3577
Abstract
Mesoscopic superconductivity deals with various quasiparticle excitation modes, only one of them—the charge-mode—being directly accessible for conductance measurements due to the imbalance in populations of quasi-electron and quasihole excitation branches. Other modes carrying heat or even spin, valley etc. currents populate the branches [...] Read more.
Mesoscopic superconductivity deals with various quasiparticle excitation modes, only one of them—the charge-mode—being directly accessible for conductance measurements due to the imbalance in populations of quasi-electron and quasihole excitation branches. Other modes carrying heat or even spin, valley etc. currents populate the branches equally and are charge-neutral, which makes them much harder to control. This noticeable gap in the experimental studies of mesoscopic non-equilibrium superconductivity can be filled by going beyond the conventional DC transport measurements and exploiting spontaneous current fluctuations. Here, we perform such an experiment and investigate the transport of heat in an open hybrid device based on a superconductor proximitized InAs nanowire. Using shot noise measurements, we investigate sub-gap Andreev heat guiding along the superconducting interface and fully characterize it in terms of the thermal conductance on the order of Gthe2/h, tunable by a back gate voltage. Understanding of the heat-mode also uncovers its implicit signatures in the non-local charge transport. Our experiments open a direct pathway to probe generic charge-neutral excitations in superconducting hybrids. Full article
(This article belongs to the Section Nanoelectronics, Nanosensors and Devices)
Show Figures

Figure 1

13 pages, 3425 KB  
Article
Crystallization and Electrical Properties of Ge-Rich GeSbTe Alloys
by Stefano Cecchi, Iñaki Lopez Garcia, Antonio M. Mio, Eugenio Zallo, Omar Abou El Kheir, Raffaella Calarco, Marco Bernasconi, Giuseppe Nicotra and Stefania M. S. Privitera
Nanomaterials 2022, 12(4), 631; https://doi.org/10.3390/nano12040631 - 14 Feb 2022
Cited by 21 | Viewed by 4818
Abstract
Enrichment of GeSbTe alloys with germanium has been proposed as a valid approach to increase the crystallization temperature and therefore to address high-temperature applications of non-volatile phase change memories, such as embedded or automotive applications. However, the tendency of Ge-rich GeSbTe alloys to [...] Read more.
Enrichment of GeSbTe alloys with germanium has been proposed as a valid approach to increase the crystallization temperature and therefore to address high-temperature applications of non-volatile phase change memories, such as embedded or automotive applications. However, the tendency of Ge-rich GeSbTe alloys to decompose with the segregation of pure Ge still calls for investigations on the basic mechanisms leading to element diffusion and compositional variations. With the purpose of identifying some possible routes to limit the Ge segregation, in this study, we investigate Ge-rich Sb2Te3 and Ge-rich Ge2Sb2Te5 with low (<40 at %) or high (>40 at %) amounts of Ge. The formation of the crystalline phases has been followed as a function of annealing temperature by X-ray diffraction. The temperature dependence of electrical properties has been evaluated by in situ resistance measurements upon annealing up to 300 °C. The segregation and decomposition processes have been studied by scanning transmission electron microscopy (STEM) and discussed on the basis of density functional theory calculations. Among the studied compositions, Ge-rich Ge2Sb2Te5 is found to be less prone to decompose with Ge segregation. Full article
(This article belongs to the Special Issue Synthesis, Properties and Applications of Germanium Chalcogenides)
Show Figures

Figure 1

13 pages, 2184 KB  
Review
GaN Heterostructures as Innovative X-ray Imaging Sensors—Change of Paradigm
by Stefan Thalhammer, Andreas Hörner, Matthias Küß, Stephan Eberle, Florian Pantle, Achim Wixforth and Wolfgang Nagel
Micromachines 2022, 13(2), 147; https://doi.org/10.3390/mi13020147 - 19 Jan 2022
Cited by 9 | Viewed by 3845
Abstract
Direct conversion of X-ray irradiation using a semiconductor material is an emerging technology in medical and material sciences. Existing technologies face problems, such as sensitivity or resilience. Here, we describe a novel class of X-ray sensors based on GaN thin film and GaN/AlGaN [...] Read more.
Direct conversion of X-ray irradiation using a semiconductor material is an emerging technology in medical and material sciences. Existing technologies face problems, such as sensitivity or resilience. Here, we describe a novel class of X-ray sensors based on GaN thin film and GaN/AlGaN high-electron-mobility transistors (HEMTs), a promising enabling technology in the modern world of GaN devices for high power, high temperature, high frequency, optoelectronic, and military/space applications. The GaN/AlGaN HEMT-based X-ray sensors offer superior performance, as evidenced by higher sensitivity due to intensification of electrons in the two-dimensional electron gas (2DEG), by ionizing radiation. This increase in detector sensitivity, by a factor of 104 compared to GaN thin film, now offers the opportunity to reduce health risks associated with the steady increase in CT scans in today’s medicine, and the associated increase in exposure to harmful ionizing radiation, by introducing GaN/AlGaN sensors into X-ray imaging devices, for the benefit of the patient. Full article
Show Figures

Figure 1

18 pages, 1484 KB  
Article
Untargeted Analysis of Lemna minor Metabolites: Workflow and Prioritization Strategy Comparing Highly Confident Features between Different Mass Spectrometers
by Rofida Wahman, Stefan Moser, Stefan Bieber, Catarina Cruzeiro, Peter Schröder, August Gilg, Frank Lesske and Thomas Letzel
Metabolites 2021, 11(12), 832; https://doi.org/10.3390/metabo11120832 - 2 Dec 2021
Cited by 7 | Viewed by 3894
Abstract
Metabolomics approaches provide a vast array of analytical datasets, which require a comprehensive analytical, statistical, and biochemical workflow to reveal changes in metabolic profiles. The biological interpretation of mass spectrometric metabolomics results is still obstructed by the reliable identification of the metabolites as [...] Read more.
Metabolomics approaches provide a vast array of analytical datasets, which require a comprehensive analytical, statistical, and biochemical workflow to reveal changes in metabolic profiles. The biological interpretation of mass spectrometric metabolomics results is still obstructed by the reliable identification of the metabolites as well as annotation and/or classification. In this work, the whole Lemna minor (common duckweed) was extracted using various solvents and analyzed utilizing polarity-extended liquid chromatography (reversed-phase liquid chromatography (RPLC)-hydrophilic interaction liquid chromatography (HILIC)) connected to two time-of-flight (TOF) mass spectrometer types, individually. This study (introduces and) discusses three relevant topics for the untargeted workflow: (1) A comparison study of metabolome samples was performed with an untargeted data handling workflow in two different labs with two different mass spectrometers using the same plant material type. (2) A statistical procedure was observed prioritizing significant detected features (dependent and independent of the mass spectrometer using the predictive methodology Orthogonal Partial Least Squares-Discriminant Analysis (OPLS-DA). (3) Relevant features were transferred to a prioritization tool (the FOR-IDENT platform (FI)) and were compared with the implemented compound database PLANT-IDENT (PI). This compound database is filled with relevant compounds of the Lemnaceae, Poaceae, Brassicaceae, and Nymphaceae families according to analytical criteria such as retention time (polarity and LogD (pH 7)) and accurate mass (empirical formula). Thus, an untargeted analysis was performed using the new tool as a prioritization and identification source for a hidden-target screening strategy. Consequently, forty-two compounds (amino acids, vitamins, flavonoids) could be recognized and subsequently validated in Lemna metabolic profile using reference standards. The class of flavonoids includes free aglycons and their glycosides. Further, according to our knowledge, the validated flavonoids robinetin and norwogonin were for the first time identified in the Lemna minor extracts. Full article
(This article belongs to the Section Plant Metabolism)
Show Figures

Graphical abstract

19 pages, 7280 KB  
Article
A Short-Time Approach for Fatigue Life Evaluation of AISI 347 Steel for Nuclear Power Energy Applications
by Tobias Bill, Ruth Acosta, Christian Boller, Kai Donnerbauer, Lukas Lücker, Frank Walther, Klaus Heckmann, Jürgen Sievers, Tim Schopf, Stefan Weihe and Peter Starke
Appl. Sci. 2021, 11(23), 11405; https://doi.org/10.3390/app112311405 - 2 Dec 2021
Cited by 6 | Viewed by 2607
Abstract
AISI 347 austenitic steel is, as an example, used in nuclear energy piping systems. Piping filled with superheated steam or cooled water is particularly exposed to high stresses, whereupon local material properties in the pipes can change significantly, especially in the case of [...] Read more.
AISI 347 austenitic steel is, as an example, used in nuclear energy piping systems. Piping filled with superheated steam or cooled water is particularly exposed to high stresses, whereupon local material properties in the pipes can change significantly, especially in the case of additional corrosive influences, leading to aging of the material. In the absence of appropriate information, such local material property variations are currently covered rather blanketly by safety factors set during the design of those components. An increase in qualified information could improve the assessment of the condition of such aged components. As part of the collaborative project “Microstructure-based assessment of the maximum service life of core materials and components subjected to corrosion and fatigue (MiBaLeB)”, the short-time procedure, StrainLife, was developed and validated by several fatigue tests. With this procedure, a complete S–N curve of a material can be determined on the basis of three fatigue tests only, which reduces the effort compared to a conventional approach significantly and is thus ideal for assessing the condition of aged material, where the material is often rare, and a cost-effective answer is often very needed. The procedure described is not just limited to traditional parameters, such as stress and strain, considered in destructive testing but rather extends into parameters derived from non-destructive testing, which may allow further insight into what may be happening within a material’s microstructure. To evaluate the non-destructive quantities measured within the StrainLife procedure and to correlate them with the aging process in a material, several fatigue tests were performed on unnotched and notched specimens under cyclic loading at room and elevated temperatures, as well as under various media conditions, such as distilled water and reactor pressure vessel boiling water (BWR) conditions. Full article
Show Figures

Figure 1

18 pages, 1922 KB  
Article
Pyrrolizidine Alkaloids in the Food Chain: Is Horizontal Transfer of Natural Products of Relevance?
by Mohammad Said Chmit, Gerd Horn, Arne Dübecke and Till Beuerle
Foods 2021, 10(8), 1827; https://doi.org/10.3390/foods10081827 - 7 Aug 2021
Cited by 13 | Viewed by 4023
Abstract
Recent studies have raised the question whether there is a potential threat by a horizontal transfer of toxic plant constituents such as pyrrolizidine alkaloids (PAs) between donor-PA-plants and acceptor non-PA-plants. This topic raised concerns about food and feed safety in the recent years. [...] Read more.
Recent studies have raised the question whether there is a potential threat by a horizontal transfer of toxic plant constituents such as pyrrolizidine alkaloids (PAs) between donor-PA-plants and acceptor non-PA-plants. This topic raised concerns about food and feed safety in the recent years. The purpose of the study described here was to investigate and evaluate horizontal transfer of PAs between donor and acceptor-plants by conducting a series of field trials using the PA-plant Lappula squarrosa as model and realistic agricultural conditions. Additionally, the effect of PA-plant residues recycling in the form of composts or press-cakes were investigated. The PA-transfer and the PA-content of soil, plants, and plant waste products was determined in form of a single sum parameter method using high-performance liquid chromatography mass spectroscopy (HPLC-ESI-MS/MS). PA-transfer from PA-donor to acceptor-plants was frequently observed at low rates during the vegetative growing phase especially in cases of close spatial proximity. However, at the time of harvest no PAs were detected in the relevant field products (grains). For all investigated agricultural scenarios, horizontal transfer of PAs is of no concern with regard to food or feed safety. Full article
(This article belongs to the Special Issue Natural Compounds in Plant-Based Food)
Show Figures

Graphical abstract

17 pages, 1359 KB  
Article
Effects of a Prenatal Lifestyle Intervention in Routine Care on Maternal Health Behaviour in the First Year Postpartum—Secondary Findings of the Cluster-Randomised GeliS Trial
by Kristina Geyer, Monika Spies, Julia Günther, Julia Hoffmann, Roxana Raab, Dorothy Meyer, Kathrin Rauh and Hans Hauner
Nutrients 2021, 13(4), 1310; https://doi.org/10.3390/nu13041310 - 15 Apr 2021
Cited by 9 | Viewed by 4009
Abstract
Lifestyle interventions during pregnancy were shown to beneficially influence maternal dietary behaviour and physical activity, but their effect on health behaviour after delivery is unclear. The objective of this secondary analysis was to investigate the sustained effect of a lifestyle intervention in routine [...] Read more.
Lifestyle interventions during pregnancy were shown to beneficially influence maternal dietary behaviour and physical activity, but their effect on health behaviour after delivery is unclear. The objective of this secondary analysis was to investigate the sustained effect of a lifestyle intervention in routine care on maternal health behaviour during the first year postpartum. The cluster-randomised controlled “Healthy living in pregnancy” (GeliS) study included 2286 pregnant women. Data on maternal health behaviour were collected at 6–8 weeks (T1pp) and one year postpartum (T2pp) using validated questionnaires. The intervention group showed a lower mean intake of fast food (T1pp: p = 0.016; T2pp: p < 0.001) and soft drinks (T1pp: p < 0.001), a higher mean intake of vegetables (T2pp: p = 0.015) and was more likely to use healthy oils for meal preparation than the control group. Dietary quality rated by a healthy eating index was higher in the intervention group (T1pp: p = 0.093; T2pp: p = 0.043). There were minor trends towards an intervention effect on physical activity behaviour. The proportion of smokers was lower in the intervention group (p < 0.001, both time points). The lifestyle intervention within routine care modestly improved maternal postpartum dietary and smoking behaviours. Full article
(This article belongs to the Special Issue Maternal Obesity and Nutrients)
Show Figures

Figure 1

26 pages, 4223 KB  
Review
Nanostructures in Hydrogen Peroxide Sensing
by Ricardo Matias Trujillo, Daniela Estefanía Barraza, Martin Lucas Zamora, Anna Cattani-Scholz and Rossana Elena Madrid
Sensors 2021, 21(6), 2204; https://doi.org/10.3390/s21062204 - 21 Mar 2021
Cited by 54 | Viewed by 7224
Abstract
In recent years, several devices have been developed for the direct measurement of hydrogen peroxide (H2O2), a key compound in biological processes and an important chemical reagent in industrial applications. Classical enzymatic biosensors for H2O2 have [...] Read more.
In recent years, several devices have been developed for the direct measurement of hydrogen peroxide (H2O2), a key compound in biological processes and an important chemical reagent in industrial applications. Classical enzymatic biosensors for H2O2 have been recently outclassed by electrochemical sensors that take advantage of material properties in the nano range. Electrodes with metal nanoparticles (NPs) such as Pt, Au, Pd and Ag have been widely used, often in combination with organic and inorganic molecules to improve the sensing capabilities. In this review, we present an overview of nanomaterials, molecules, polymers, and transduction methods used in the optimization of electrochemical sensors for H2O2 sensing. The different devices are compared on the basis of the sensitivity values, the limit of detection (LOD) and the linear range of application reported in the literature. The review aims to provide an overview of the advantages associated with different nanostructures to assess which one best suits a target application. Full article
(This article belongs to the Section Nanosensors)
Show Figures

Figure 1

11 pages, 788 KB  
Article
Long-Term Trends of Hazel Grouse (Tetrastes bonasia) in the Bohemian Forest (Šumava), Czech Republic, 1972–2019
by Siegfried Klaus and Tobias Ludwig
Birds 2021, 2(1), 127-137; https://doi.org/10.3390/birds2010009 - 17 Mar 2021
Cited by 2 | Viewed by 4510
Abstract
The population dynamics of Hazel Grouse were studied by presence/absence recording at stationary sites along fixed routes (110 km) in the central part of Šumava (Bohemian Forest, Czech Republic) from 1972 to 2019. The 100 km2 study area covered altitudes between 600 [...] Read more.
The population dynamics of Hazel Grouse were studied by presence/absence recording at stationary sites along fixed routes (110 km) in the central part of Šumava (Bohemian Forest, Czech Republic) from 1972 to 2019. The 100 km2 study area covered altitudes between 600 m (Rejštejn) and 1253 m above sea level (Mt. Sokol). Our database contained indices of Hazel Grouse occupancy: positive sites/visited sites for a yearly increasing number of Hazel Grouse occurrence sites (n = 134) for 48 years. We used a loglinear Poisson regression method to analyze the long-term population trend for Hazel Grouse in the study area. In the period from 1972 to 2006 we found a stable Hazel Grouse population (p = 0.83). From 2006–2007 to 2019, the population index dropped (−3.8% per year, p < 0.05). This decline is assumed to be influenced by habitat loss due to succession, resulting in older, more open forest stands, by strongly increasing forestry and windstorm “Kyrill”, followed by clear cutting, bark beetle damage, and the removal of pioneer trees in spruce plantations, which diminished buds and catkins, the dominant winter food of Hazel Grouse. The influence of disturbance by increasing tourist activities and/or predation is also discussed. Our results could help to optimize the conservation efforts for Hazel Grouse in the Bohemian Forest. Full article
(This article belongs to the Special Issue Feature Papers of Birds 2021)
Show Figures

Figure 1

17 pages, 5832 KB  
Article
SteBLife, a New Approach for the Accelerated Generation of Metallic Materials’ Fatigue Data
by Ruth Acosta, Haoran Wu, Ramanan Sridaran Venkat, Fabian Weber, Jochen Tenkamp, Frank Walther and Peter Starke
Metals 2020, 10(6), 798; https://doi.org/10.3390/met10060798 - 16 Jun 2020
Cited by 10 | Viewed by 3609
Abstract
The service life of materials and components exposed to repeated mechanical loads is limited, which is why the understanding of the damage evolution and estimating its fatigue life is of high importance for its technical application. This paper shows how temperature and magnetic [...] Read more.
The service life of materials and components exposed to repeated mechanical loads is limited, which is why the understanding of the damage evolution and estimating its fatigue life is of high importance for its technical application. This paper shows how temperature and magnetic field measurement methods can be used to describe the cyclic deformation behaviour of metallic materials and to derive parameters from this, which are used in short-term methods to calculate the fatigue life. Within the SteBLife (stepped-bar fatigue life) approach, only three to five fatigue tests with a stepped fatigue specimen are required to determine a complete S–N or Woehler curve with scatter bands for different failure probabilities. If only a trend S–N curve is required, the number of tests can be reduced to a single fatigue test only. In the framework of this paper, these approaches will be presented for normalised SAE 1045 (C45E) and quenched and tempered SAE 4140 (42CrMo4) steels. Full article
(This article belongs to the Special Issue Fatigue Life Calculation Approaches for Metallic Materials)
Show Figures

Figure 1

Back to TopTop