Sign in to use this feature.

Years

Between: -

Subjects

remove_circle_outline
remove_circle_outline
remove_circle_outline
remove_circle_outline
remove_circle_outline
remove_circle_outline
remove_circle_outline
remove_circle_outline
remove_circle_outline

Journals

remove_circle_outline
remove_circle_outline
remove_circle_outline
remove_circle_outline

Article Types

Countries / Regions

Search Results (374)

Search Parameters:
Keywords = AGV

Order results
Result details
Results per page
Select all
Export citation of selected articles as:
32 pages, 11052 KB  
Article
Genome Wide Association Studies with Different Weighting Approaches Reveals Genomic Windows Associated with Meat Quality Traits in Beef Cattle
by Hugo Borges Dos Reis, Amanda Marchi Maiorano, Elisângela Oliveira, Filippi Tonetto, Fernando Baldi, Breno de Oliveira Fragomeni and José Bento Sterman Ferraz
Genes 2026, 17(4), 385; https://doi.org/10.3390/genes17040385 - 28 Mar 2026
Viewed by 261
Abstract
Background/Objectives: Genome-wide association studies (GWAS) based on single-step genomic BLUP (ssGBLUP) commonly assume equal single nucleotide polymorphism (SNP) variances, which may not reflect the biological architecture of complex traits. Alternative weighting strategies can increase detection power but may affect stability. This study evaluated [...] Read more.
Background/Objectives: Genome-wide association studies (GWAS) based on single-step genomic BLUP (ssGBLUP) commonly assume equal single nucleotide polymorphism (SNP) variances, which may not reflect the biological architecture of complex traits. Alternative weighting strategies can increase detection power but may affect stability. This study evaluated how different SNP weighting approaches influence genomic region detection and biological interpretation of ribeye area (REA) and subcutaneous fat thickness (SFT) in Guzerá cattle. Methods: Phenotypic records from 2729 animals and genotypes from 1405 individuals (43,039 SNPs after quality control) were analyzed. Heritabilities were estimated using Restricted Maximum Likelihood (REML), and GWAS were conducted under five approaches: unweighted method (UM), quadratic method (QM), and three Non-Linear A strategies with weighting constants (1.125, 1.2, and 1.5). Genomic windows of 20 adjacent SNPs explaining ≥0.5% of the additive genetic variance (AGV) were considered significant. Recurrent regions were prioritized, and functional enrichment analyses (KEGG, GO, and MeSH) were performed. Results: Heritability estimates were moderate for REA (0.26 ± 0.05) and SFT (0.22 ± 0.04). Weighted approaches increased detection sensitivity. For REA, UM identified 10 windows, whereas QM and A_1.5 detected 24 and 31 windows. For SFT, UM identified 8 windows, while QM and A_1.5 detected 30 and 23 windows. Recurrent chromosomes included 2, 4, 6, 12, 16, 19, and 22 for REA, and 2, 3, 5, 7, 11, 17, and 22 for SFT. Key genes included AKT3, NOS2, and MSTN. Enrichment highlighted pathways related to muscle growth and lipid metabolism. Conclusions: SNP-weighted GWAS increased detection sensitivity but involved trade-offs between signal amplification and stability. Integrating weighting strategies improves biological interpretation and supports robust candidate gene identification for genomic selection. Full article
Show Figures

Figure 1

32 pages, 29580 KB  
Article
A Unified Parameter-Adaptive MPC Framework for Motion Control of Heterogeneous AGVs with Different Actuation Topologies
by Shengyu Zhou, Yixin Su, Huawei Zhang and Zhaoqi Kang
Actuators 2026, 15(4), 188; https://doi.org/10.3390/act15040188 - 28 Mar 2026
Viewed by 91
Abstract
The deployment of heterogeneous Automated Guided Vehicles (AGVs) in smart manufacturing requires control strategies that can accommodate distinct actuation characteristics and constraints. This paper proposes a Multi-Factor Coupled Parameter-Adaptive Model Predictive Control (MFCP-AMPC) framework. Unlike conventional approaches requiring vehicle-specific tuning, this framework unifies [...] Read more.
The deployment of heterogeneous Automated Guided Vehicles (AGVs) in smart manufacturing requires control strategies that can accommodate distinct actuation characteristics and constraints. This paper proposes a Multi-Factor Coupled Parameter-Adaptive Model Predictive Control (MFCP-AMPC) framework. Unlike conventional approaches requiring vehicle-specific tuning, this framework unifies differential-drive, dual-steer, and mecanum-wheel platforms under a single parameter-varying state-space model that respects the specific actuation limits of each topology. A key contribution is the multi-factor coupling mechanism that dynamically adjusts the prediction horizon and weighting matrices based on path curvature, vehicle speed, and tracking error. Experiments on industrial AGV prototypes demonstrate that the framework achieves robust tracking precision under varying payloads. Crucially, by acknowledging physical limits, the framework achieves strict millimeter-level accuracy (RMSE < 7 mm) in quasi-static low-speed complex maneuvers (v0.3 m/s), and maintains highly competitive industrial precision (RMSE ≈ 15∼25 mm) under aggressive high-speed tracking (v1.0 m/s). Crucially, the proposed method significantly improves the control input smoothness (Smoothness Index > 0.75), thereby reducing mechanical wear and preventing actuator saturation. Real-time validation (12 ms average solve time on an Intel i7 IPC) confirms its suitability for resource-constrained industrial controllers. Full article
(This article belongs to the Section Control Systems)
24 pages, 4256 KB  
Article
Real-Time Obstacle Avoidance Path Planning Method for AGVs Integrating Improved A* Algorithm, DWA and Key Point Extraction
by Kaiyu Su, Yi Lu and Yiming Fang
Electronics 2026, 15(6), 1336; https://doi.org/10.3390/electronics15061336 - 23 Mar 2026
Viewed by 186
Abstract
The A* algorithm is widely used in path planning for Automated Guided Vehicles (AGVs), but the path it generates is prone to collision with random obstacles. To address this issue, this paper proposes a hybrid path planning algorithm integrating the improved A* algorithm [...] Read more.
The A* algorithm is widely used in path planning for Automated Guided Vehicles (AGVs), but the path it generates is prone to collision with random obstacles. To address this issue, this paper proposes a hybrid path planning algorithm integrating the improved A* algorithm with Dynamic Window Approach (DWA). Firstly, a global key point extraction strategy is adopted, and Bresenham’s line algorithm is used to eliminate redundant path points and turning inflection points, optimizing the conciseness and continuity of the path while redefining the child nodes of the current position. Secondly, in complex environments, the inflection points of the global path are taken as the target points of DWA to segment the path, and local dynamic planning is combined to achieve real-time obstacle avoidance. Simulation results show that compared with the traditional A* algorithm, the improved algorithm reduces the planning time by 24.19%, decreases the number of inflection points by 40.00%, and shortens the path length by 1.49%. In environments with random obstacles, the path generated by the hybrid algorithm is smoother, which can effectively enhance the local obstacle avoidance capability and improve the safety of path planning. Furthermore, physical experiments on an AGV platform with a distributed master-slave control architecture (STM32 microcontroller and Jetson embedded processor) verify the algorithm’s hardware compatibility and real-time computing performance, validating its engineering applicability in practical industrial scenarios. Full article
(This article belongs to the Special Issue AI for Real-Time Industrial Automation and Control Systems)
Show Figures

Figure 1

26 pages, 1907 KB  
Article
Energy-Aware Spatio-Temporal Multi-Agent Route Planning for AGVs
by Olena Pavliuk and Myroslav Mishchuk
Appl. Sci. 2026, 16(6), 3060; https://doi.org/10.3390/app16063060 - 22 Mar 2026
Viewed by 155
Abstract
This article addresses the problem of finding the shortest route for Automated Guided Vehicles (AGVs) in a production environment with constrained battery state-of-charge (SoC) and time-dependent operating conditions. The route map is divided into a uniform grid containing stationary obstacles and two types [...] Read more.
This article addresses the problem of finding the shortest route for Automated Guided Vehicles (AGVs) in a production environment with constrained battery state-of-charge (SoC) and time-dependent operating conditions. The route map is divided into a uniform grid containing stationary obstacles and two types of dynamic obstacles: human, for which AGV transportation is prohibited, and inanimate (moving objects), which impose a penalty function. A key contribution of the proposed methodology is the introduction of a battery residual charge matrix, which embeds cell-level energy feasibility directly into the grid-based environment representation by determining minimum admissible SoC constraints and accounting for transition-dependent energy costs. This matrix restricts the set of traversable cells under low-energy conditions, enabling energy-aware route feasibility evaluation during both initial planning and adaptive replanning. The proposed approach is based on the A* and D* Lite algorithms, providing shortest-path construction that explicitly integrates battery SoC into the spatio-temporal cost function. To avoid collisions in a multi-agent environment during routing, a simplified hybrid scheme with M* elements performs local coordination and adaptive trajectory replanning. The effectiveness of the proposed methodology was assessed using travel time, temporal complexity, and spatial complexity metrics. Simulation results on a 10×10 grid showed that agents with sufficient battery completed routes of 8 and 11 cells with travel times of 7.2 to 10.7 conventional units. A critically low-energy agent was initially unable to move, but after adjusting the minimum SoC constraint, all agents completed their routes with travel times up to 11.4 conventional units, demonstrating the direct impact of energy constraints on system performance. Additional experiments with varying agent counts and SoC thresholds confirmed reliable balancing of route feasibility and energy constraints across configurations. Full article
(This article belongs to the Special Issue Autonomous Vehicles and Robotics—2nd Edition)
Show Figures

Figure 1

22 pages, 18777 KB  
Article
LSOD-YOLO: A Visual Object Detection Method for AGV Perception Systems Based on a Lightweight Backbone and Detection Head
by Sijing Cai, Zhanzheng Wu, Kang Liu, Tianbai Zhang, Wei Weng and Xiaoyi Zheng
Technologies 2026, 14(3), 173; https://doi.org/10.3390/technologies14030173 - 12 Mar 2026
Viewed by 384
Abstract
In smart logistics and intelligent manufacturing scenarios, the deployment of Autonomous Guided Vehicles (AGVs) necessitates vision systems that balance stringent real-time constraints with high detection accuracy. However, contemporary lightweight models often struggle with multi-scale feature representation and precision degradation. To address these challenges, [...] Read more.
In smart logistics and intelligent manufacturing scenarios, the deployment of Autonomous Guided Vehicles (AGVs) necessitates vision systems that balance stringent real-time constraints with high detection accuracy. However, contemporary lightweight models often struggle with multi-scale feature representation and precision degradation. To address these challenges, this study presents LSOD-YOLO, a tailored evolution of YOLO11n designed for embedded AGV systems. Our methodology focuses on three architectural innovations: (1) we propose a Lightweight Shared Convolution Detection (LSCD) head integrated with Group Normalization (GN) and a scale-adaptive mechanism to harmonize multi-scale feature responses; (2) we re-engineer the backbone using a Star-Net architecture enhanced by Gated MLPs and Depthwise Attention to refine local spatial modeling; and (3) we integrate multi-branch residuals and Channel Attention (CAA) into the C3k2-Star-CAA module to enhance robustness against occlusions and complex backgrounds. The experimental validation on a self-built AGV industrial dataset and COCO128 reveals a compelling performance leap: a 30 FPS increase in throughput and a 1.5% gain in precision, all achieved with 32.8% fewer parameters. These findings confirm that LSOD-YOLO achieves a superior trade-off between computational efficiency and reliability, showing great potential for seamless deployment in resource-constrained AGV visual tasks. Full article
Show Figures

Figure 1

64 pages, 9863 KB  
Review
Drone-Enabled Practices in Modern Warehouse Management: A Comprehensive Review
by Eknath Pore, Bhumeshwar K. Patle, Sandeep Thorat and Brijesh Patel
Drones 2026, 10(3), 189; https://doi.org/10.3390/drones10030189 - 9 Mar 2026
Viewed by 823
Abstract
The advent of drone technology has led to groundbreaking advancements across various industries, including warehousing operations. In recent years, warehouse drones have garnered significant attention due to their potential to revolutionize traditional inventory management and order fulfillment processes. This paper presents a comprehensive [...] Read more.
The advent of drone technology has led to groundbreaking advancements across various industries, including warehousing operations. In recent years, warehouse drones have garnered significant attention due to their potential to revolutionize traditional inventory management and order fulfillment processes. This paper presents a comprehensive review that synthesizes findings from more than 120 research papers on drone-enabled practices in warehouses. The review systematically considers multiple parameters, including drone function (inventory counting, mapping, surveillance, inspection, and intralogistics support), robot platforms used (UAV, UAV-AGV), deployment architecture (single and multi-drone system), validation approach (real-time and simulation), technology and methodology used (modern electronic devices, AI, and IOT), and environmental context (dynamic and static). Furthermore, the paper explores the diverse applications of warehouse drones in inventory management, maintenance and inspection, picking and packaging, goods transportation, security and surveillance, and warehouse layout optimization. The review highlights that most studies still rely on single-UAV systems tested mainly in simulations, with only a few real-time demonstrations of fully autonomous performance inside real warehouses. Although multi-drone approaches are emerging to improve scalability, they continue to struggle with coordination and safety. Research remains largely focused on static environments, with dynamic warehouse conditions receiving far less attention despite their practical importance. The findings of the review are presented with the tabulated results and a comparative table to provide a better understanding of the review work, which helps to identify the existing literature gap. The review presents its findings through clear tables and comparisons, making it easier to understand existing studies and pinpoint the gaps in the current literature. Full article
Show Figures

Figure 1

27 pages, 3460 KB  
Article
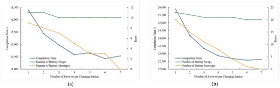
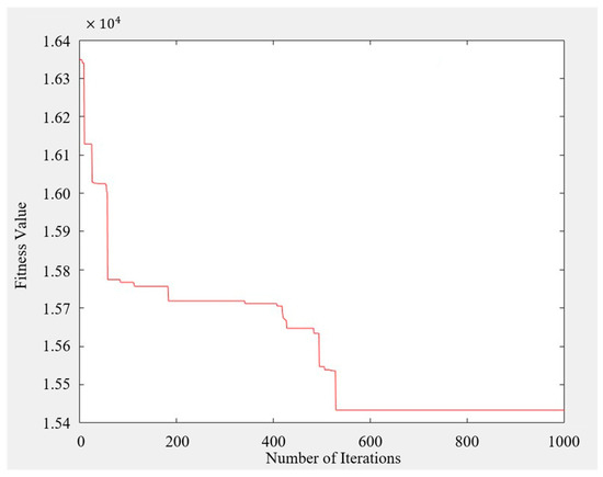
Joint Quay Crane and Automated Guided Vehicle Scheduling Optimization in Automated Container Terminals Considering Spare Battery Constraints
by Zhen Yang, Rui Zhao, Yifan Shen and Xiong Zhong
J. Mar. Sci. Eng. 2026, 14(5), 497; https://doi.org/10.3390/jmse14050497 - 5 Mar 2026
Viewed by 287
Abstract
With the expansion of automated container terminals (ACTs), joint scheduling among multiple types of equipment has become a critical factor affecting operational efficiency. This study investigates a joint scheduling optimization problem of quay cranes (QCs) and automated guided vehicles (AGVs) by considering AGV [...] Read more.
With the expansion of automated container terminals (ACTs), joint scheduling among multiple types of equipment has become a critical factor affecting operational efficiency. This study investigates a joint scheduling optimization problem of quay cranes (QCs) and automated guided vehicles (AGVs) by considering AGV battery swapping strategies under spare battery constraints. With the objective of minimizing the final task completion time of AGVs, a mixed-integer programming model is formulated that simultaneously accounts for task assignment, operation sequencing, battery swapping thresholds, spare battery quantity, and mutual waiting times between AGVs and QCs. To solve this problem efficiently, a hill-climbing genetic algorithm (HC-GA) is proposed. Numerical experiments under different task scales show that HC-GA outperforms the genetic algorithm (GA), simulated annealing (SA), Q-learning, and the Q-learning-based genetic algorithm (Q-GA) in key indicators. In addition, the experimental results show that a proper configuration of AGVs can improve scheduling coordination and enhance the energy utilization efficiency of AGVs. The number of spare batteries and the threshold have significant impacts on overall system performance. When both operational efficiency and equipment utilization are considered, appropriately configuring the number of spare batteries and the threshold can effectively enhance the operational efficiency of ACTs. Full article
(This article belongs to the Section Coastal Engineering)
Show Figures

Figure 1

28 pages, 5515 KB  
Article
Automated Guided Vehicle (AGV) Transport System for Hospital Logistics: Analysis and Optimization of Routes Through BIM and IFC Models
by Beatrice Maria Toldo, Giulia De Cet and Carlo Zanchetta
Buildings 2026, 16(5), 900; https://doi.org/10.3390/buildings16050900 - 25 Feb 2026
Viewed by 390
Abstract
Internal hospital logistics are inherently complex, characterized by the critical need to move essential materials with high efficiency, precision, and safety. The adoption of automated guided vehicles (AGVs) is essential for automating these flows, but designing and optimizing their routes represents a significant [...] Read more.
Internal hospital logistics are inherently complex, characterized by the critical need to move essential materials with high efficiency, precision, and safety. The adoption of automated guided vehicles (AGVs) is essential for automating these flows, but designing and optimizing their routes represents a significant challenge. This study presents a methodology for analyzing and optimizing AGV paths within healthcare facilities, effectively managing three-dimensional spatial complexity. The methodology leverages BIM and the open IFC standard to obtain an accurate geometric and semantic representation of the building. These data are then converted into a graph model using graph theory. Pathfinding algorithms, such as A*, are applied to this graph to calculate and optimize AGV trajectories, considering operational and collision constraints. The approach provides distance-optimized AGV paths. The integration of BIM, IFC, and graph theory proves to be an effective tool for logistical planning, simulation, and proactive management of AGVs in multi-level environments. This research contributes to the digital transformation of the construction sector by demonstrating how the integration of open standards and advanced algorithms can optimize the operational performance of complex buildings. By bridging the gap between architectural modeling and robotic logistics, the proposed approach supports the development of “smart buildings” and promotes more sustainable and technologically advanced management of healthcare facilities. Full article
Show Figures

Figure 1

14 pages, 6020 KB  
Article
Molecular Characterization of Emerging Gyrovirus galga 1 from Poultry Markets of Guangxi, China
by Yanfang Zhang, Zhixun Xie, Zhiqin Xie, Liji Xie, Meng Li, Ming Yan, Aiqiong Wu, Minxiu Zhang, Qing Fan, Tingting Zeng, Jiaoling Huang, Sheng Wang, Lijun Wan, Xiaofeng Li, You Wei and Sisi Luo
Int. J. Mol. Sci. 2026, 27(4), 1674; https://doi.org/10.3390/ijms27041674 - 9 Feb 2026
Viewed by 411
Abstract
Gyrovirus galga 1 (GyG1) can infect a variety of animals and humans, but prevention and control strategies are limited, which endangers the healthy development of the poultry breeding industry and has a potential impact on public health safety. The live poultry market (LPM) [...] Read more.
Gyrovirus galga 1 (GyG1) can infect a variety of animals and humans, but prevention and control strategies are limited, which endangers the healthy development of the poultry breeding industry and has a potential impact on public health safety. The live poultry market (LPM) connects the production and consumption ends, and the pathogen may spread across regions through transportation and personnel flow. To understand the prevalence of GyG1 in Guangxi, 3482 samples from LPMs, namely, 2693 chicken throat and cloacal swabs and 789 environmental samples collected in Guangxi from December 2019 to December 2024, were assayed by PCR. The results revealed that GyG1 was present in chicken and environmental samples from LPMs in Guangxi, China, with positivity rates of 17.08% and 13.31%, respectively. Eight GyG1-positive samples were randomly selected, including 5 chicken swab samples and 3 environmental samples for whole-genome amplification. The amino acids encoded by the three ORFs were analysed, and some mutation sites unique to these 8 variants were found. The homology between the 8 GyG1 genomes and 36 reference sequences was 96.8–99.8%. The homology of the VP1 gene sequence was 96.5–99.9%, and the homology of the amino acid sequence was 99.4–100%. A phylogenetic tree was constructed on the basis of the 8 GyG1 genomes and 36 GyG1 reference genome sequences from 14 different species (8 from zoos) in this study. The 44 sequences were divided into three branches constituting groups A, B and C, with the 8 novel strains classified into group A2. Recombination analysis predicted that two recombination events in the GyG1 sequence were associated with the emergence of Guangxi strain GX-AGV2-202109-5. This study clarified the prevalence and molecular characteristics of GyG1 in LPMs in Guangxi, China, were clarified for the first time, providing important data supporting the prevention and control of GyG1 infection and providing a reference for further understanding the epidemiology and genetic diversity of GyG1. Full article
(This article belongs to the Section Molecular Genetics and Genomics)
Show Figures

Figure 1

33 pages, 2435 KB  
Article
Optimal Planning of Routes, Schedules, and Charging Times of Automated Guided Electric Vehicles
by Botond Bertok, Márton Frits, Károly Kalauz and Petar Sabev Varbanov
Energies 2026, 19(3), 813; https://doi.org/10.3390/en19030813 - 4 Feb 2026
Viewed by 354
Abstract
In traditional industry setups, Automated Guided Vehicles (AGVs) follow trajectories planned together with the layout of the storage or production facility and supported by fixed markers on the floor or on the walls. Traffic rules manage the avoidance of multiple vehicles, while fleet [...] Read more.
In traditional industry setups, Automated Guided Vehicles (AGVs) follow trajectories planned together with the layout of the storage or production facility and supported by fixed markers on the floor or on the walls. Traffic rules manage the avoidance of multiple vehicles, while fleet management gets movement and transportation commands completed as soon as possible. In contrast, recent developments in navigation and advanced computing, sensor, and communication capabilities make their free movement safe and manageable. Detailed route planning and scheduling can guarantee that the vehicles keep a safe distance in time and space. A recent challenge of electric AGVs is that their charging may take several hours, which must be factored into their schedule. This has made minimal energy demand a key objective alongside earliest delivery and strictly meeting the deadlines. This paper presents a method for detailed routing and scheduling of AGV fleets to minimize energy consumption while considering battery levels and charging times. The optimization method is illustrated by a case study where multiple delivery tasks are performed by synchronized movement of vehicles on a complex warehouse layout. In the optimal solution, the scheduled waiting times for collision avoidance are utilized by the vehicles to pre-charge their batteries. Full article
(This article belongs to the Section E: Electric Vehicles)
Show Figures

Figure 1

9 pages, 218 KB  
Article
Fetal Adrenal Gland Biometry and Middle Adrenal Artery Doppler in Pregnancies Presenting with Preterm Labor: A Prospective Case–Control Study
by Belgin Savran Üçok, Özgür Volkan Akbulut, Sadun Sucu, Mustafa Bağcı, İbrahim Buğra Bahadır and Kadriye Yakut Yücel
J. Clin. Med. 2026, 15(3), 1192; https://doi.org/10.3390/jcm15031192 - 3 Feb 2026
Viewed by 310
Abstract
Objective: This study aimed to compare fetal adrenal gland volume (AGV), fetal zone (FZ) depth, and middle adrenal artery pulsatility index (MAA-PI) between pregnancies presenting with preterm labor and gestational age-matched asymptomatic controls, and to evaluate size-adjusted adrenal metrics (corrected AGV [cAGV] [...] Read more.
Objective: This study aimed to compare fetal adrenal gland volume (AGV), fetal zone (FZ) depth, and middle adrenal artery pulsatility index (MAA-PI) between pregnancies presenting with preterm labor and gestational age-matched asymptomatic controls, and to evaluate size-adjusted adrenal metrics (corrected AGV [cAGV] and fetal zone–total gland depth ratio) in relation to gestational age at delivery and neonatal outcomes. Methods: This prospective analytical cross-sectional (case–control) study included 60 singleton pregnancies (30 with preterm labor and 30 asymptomatic controls) evaluated at a tertiary perinatology unit between 24 + 0 and 36 + 6 weeks’ gestation. Transvaginal cervical length and transabdominal fetal adrenal measurements (AGV, FZ depth, and MAA-PI) were obtained at enrollment. Estimated fetal weight (EFW) at the index scan was retrieved, and corrected AGV (cAGV = AGV/EFW) and fetal zone–total gland depth ratio were calculated. Outcomes were gestational age at delivery, birthweight, Apgar scores, and neonatal intensive care unit (NICU) admission. Nonparametric group comparisons and Spearman correlations were used. Results: Gestational age at ultrasound was identical between groups (median 31 + 6 weeks). Compared with controls, the preterm labor group had shorter cervical length (12.5 vs. 33.5 mm, p < 0.001), higher AGV (1.53 vs. 1.08 cm3, p < 0.001) and FZ depth (7.45 vs. 5.30 mm, p < 0.001), and lower MAA-PI (1.11 vs. 1.46, p < 0.001). EFW at the index scan did not differ between groups (p = 0.900). Corrected AGV (cAGV) was higher in the preterm labor group (0.87 (0.76–1.06) vs. 0.59 (0.51–0.70), p < 0.001), and the fetal zone–total gland depth ratio was higher (0.328 (0.312–0.346) vs. 0.263 (0.241–0.278), p < 0.001). The preterm labor group delivered earlier (33 + 0 vs. 36 + 2 weeks, p < 0.001), had lower birthweight (1875 vs. 3188 g, p < 0.001), and more frequent NICU admission (50.0% vs. 6.7%; odds ratio 14.0, 95% CI 2.82–69.56; p < 0.001). Within the preterm labor group, gestational age at delivery correlated positively with cervical length (ρ = 0.900) and MAA-PI (ρ = 0.770) and negatively with AGV (ρ = −0.770) and FZ depth (ρ = −0.733), all p < 0.001; correlations were stronger for cAGV (ρ = −0.953, p < 0.001). Conclusions: Enlarged fetal adrenal gland volume and fetal zone depth together with reduced middle adrenal artery pulsatility index are associated with preterm labor and earlier delivery. Size-adjusted adrenal metrics (cAGV and fetal zone–total gland depth ratio) remained significantly different between groups, supporting these measures as potential adjuncts for risk stratification at presentation. Full article
(This article belongs to the Section Obstetrics & Gynecology)
26 pages, 1117 KB  
Perspective
Use of Lithium-Ion Batteries from Electric Vehicles for Second-Life Applications: Technical, Legal, and Economic Perspectives
by Jörg Moser, Werner Rom, Gregor Aichinger, Viktoria Kron, Pradeep Anandrao Tuljapure, Florian Ratz and Emanuele Michelini
World Electr. Veh. J. 2026, 17(2), 66; https://doi.org/10.3390/wevj17020066 - 30 Jan 2026
Cited by 1 | Viewed by 704
Abstract
This perspective provides a multidisciplinary assessment of the use of lithium-ion batteries from electric vehicles (EVs) for second-life applications, motivated by the need to improve resource efficiency, reduce environmental impacts, and support a circular battery economy. Second-life deployment requires the integrated consideration of [...] Read more.
This perspective provides a multidisciplinary assessment of the use of lithium-ion batteries from electric vehicles (EVs) for second-life applications, motivated by the need to improve resource efficiency, reduce environmental impacts, and support a circular battery economy. Second-life deployment requires the integrated consideration of technical performance, legal compliance, and economic viability. The analysis combines a technical evaluation of battery aging mechanisms, operational load effects, and qualification strategies with a legal assessment of the EU Batteries Regulation (EU) 2023/1542 and an economic analysis of market potential and business models (BM). From a technical perspective, the limitations of State of Health (SOH) as a standalone indicator are demonstrated, highlighting the need for multiple health indicators and degradation-aware qualification. A scalable two-step qualification approach, combining qualitative inspection with a standardized quantitative measurement protocol, is discussed. From a legal perspective, regulatory requirements and barriers related to repurposing, waste classification, and conformity assessment are analyzed. From an economic perspective, business model patterns and market dynamics are evaluated, identifying Automated Guided Vehicles (AGVs) and industrial Energy Storage Systems (ESSs) for renewable firming as particularly promising applications. The paper concludes with recommendations for action and key research needs to enable safe, economically viable, and legally compliant second-life deployment. Full article
(This article belongs to the Section Storage Systems)
Show Figures

Graphical abstract

24 pages, 2304 KB  
Article
Energy-Efficient Collaborative Scheduling of Dual-Trolley Quay Cranes and Automated Guided Vehicles in Automated Container Terminals
by Shichang Xiao, Shuaishuai Deng, Shaohua Yu, Peng Zheng and Zigao Wu
J. Mar. Sci. Eng. 2026, 14(3), 280; https://doi.org/10.3390/jmse14030280 - 29 Jan 2026
Viewed by 401
Abstract
This paper investigates the energy-efficient collaborative scheduling of dual-trolley quay cranes (DTQCs) and automated guided vehicles (AGVs) in automated container terminals (ACTs). Considering operational constraints such as mixed bidirectional flows, limited buffers, precedence constraints, and deadlocks, this complex logistical system is formally characterized [...] Read more.
This paper investigates the energy-efficient collaborative scheduling of dual-trolley quay cranes (DTQCs) and automated guided vehicles (AGVs) in automated container terminals (ACTs). Considering operational constraints such as mixed bidirectional flows, limited buffers, precedence constraints, and deadlocks, this complex logistical system is formally characterized as a blocking hybrid flow shop scheduling problem (BHFSSP-BFLB). To systematically minimize the total energy consumption, a mathematical framework grounded in a mixed-integer programming model is developed. To solve the model efficiently, an improved genetic algorithm (IGA) is proposed featuring a two-layer encoding approach to respect precedence and mitigate deadlocks. Furthermore, an active scheduling strategy based on machine idle time insertion is incorporated during decoding to shorten the makespan without increasing energy consumption. Numerical experiments demonstrate that the IGA can significantly decrease the makespan while reducing total energy consumption: compared with a standard genetic algorithm (GA) without active scheduling, the proposed IGA reduces the makespan by 32.35% on average. In addition, the makespan under energy minimization is within 1.5% of that under makespan minimization, indicating that energy optimization yields an almost minimal makespan. Sensitivity analysis further evaluates the effects of DTQC-AGV configurations and buffer capacities, offering practical insights for decision-makers. Full article
(This article belongs to the Section Ocean Engineering)
Show Figures

Figure 1

24 pages, 3801 KB  
Review
Review of High-Misalignment Tolerance Techniques in Wireless Power Transfer Systems
by Cheng Wang, Wei Ren, Yang Chen and Xiaofei Li
Energies 2026, 19(3), 713; https://doi.org/10.3390/en19030713 - 29 Jan 2026
Viewed by 552
Abstract
Wireless power transfer (WPT) technology, leveraging the unique advantage of contactless power supply, has been recognized as a core power supply solution for mobile devices such as automated guided vehicles (AGVs) and electric vehicles (EVs). However, its transmission performance is highly susceptible to [...] Read more.
Wireless power transfer (WPT) technology, leveraging the unique advantage of contactless power supply, has been recognized as a core power supply solution for mobile devices such as automated guided vehicles (AGVs) and electric vehicles (EVs). However, its transmission performance is highly susceptible to lateral offset, longitudinal misalignment, and angular deflection of the coils, resulting in a sharp decline in efficiency and unstable output. This has become a key bottleneck restricting the engineering application of the technology. This paper presents a comprehensive review focusing on the misalignment tolerance technologies for WPT systems. First, taking the LCC-S/LCC topology as an example, the influence of coil misalignment on the system output performance is analyzed, and various misalignment tolerance methods are enumerated. Subsequently, the basic principles and main research achievements of four categories of misalignment tolerance technologies, namely coupling structure optimization, compensation topology optimization, control strategies, and alignment guidance technology, are systematically summarized, with their limitations identified. Finally, the future research directions of misalignment tolerance technologies are discussed. Full article
Show Figures

Figure 1

23 pages, 5835 KB  
Article
Stable and Smooth Trajectory Optimization for Autonomous Ground Vehicles via Halton-Sampling-Based MPPI
by Kang Xu, Lei Ye, Xiaohui Li, Zhenping Sun and Yafeng Bu
Drones 2026, 10(2), 96; https://doi.org/10.3390/drones10020096 - 29 Jan 2026
Viewed by 524
Abstract
Achieving safe and stable navigation for autonomous ground vehicles (AGVs) in complex environments remains a key challenge in intelligent robotics. Conventional Model Predictive Path Integral (MPPI) control relies on pseudo-random Gaussian sampling, which often results in non-uniform sample distributions and jitter-prone control sequences, [...] Read more.
Achieving safe and stable navigation for autonomous ground vehicles (AGVs) in complex environments remains a key challenge in intelligent robotics. Conventional Model Predictive Path Integral (MPPI) control relies on pseudo-random Gaussian sampling, which often results in non-uniform sample distributions and jitter-prone control sequences, thereby limiting both convergence efficiency and control stability. This paper proposes a trajectory optimization method: Halton-MPPI, which improves MPPI by employing low-discrepancy sampling and modeling temporally correlated perturbations. Specifically, it utilizes the Halton sequence as the sampling basis for control disturbances to enhance spatial coverage, while the Ornstein–Uhlenbeck (OU) process is introduced to impose temporal correlation on control perturbations. This time-consistent noise propagation allows perturbation effects to accumulate over time, thereby expanding trajectory coverage. Large-scale simulations on the BARN dataset demonstrate that the method significantly enhances both trajectory smoothness (MSCX) and control smoothness (MSCU) while maintaining high success rates. Moreover, field tests in outdoor environments validate the effectiveness and robustness of Halton-MPPI, underscoring its practical value for autonomous navigation in complex environments. Full article
(This article belongs to the Topic Advances in Autonomous Vehicles, Automation, and Robotics)
Show Figures

Figure 1

Back to TopTop