Sign in to use this feature.

Years

Between: -

Subjects

remove_circle_outline
remove_circle_outline
remove_circle_outline
remove_circle_outline
remove_circle_outline
remove_circle_outline

Journals

Article Types

Countries / Regions

Search Results (12)

Search Parameters:
Keywords = 15-minute Global Solar Radiation

Order results
Result details
Results per page
Select all
Export citation of selected articles as:
19 pages, 6940 KB  
Article
Evaluation of Two Satellite Surface Solar Radiation Products in the Urban Region in Beijing, China
by Lin Xu and Yuna Mao
Remote Sens. 2024, 16(11), 2030; https://doi.org/10.3390/rs16112030 - 5 Jun 2024
Cited by 3 | Viewed by 3105
Abstract
Surface solar radiation, as a primary energy source, plays a pivotal role in governing land–atmosphere interactions, thereby influencing radiative, hydrological, and land surface dynamics. Ground-based instrumentation and satellite-based observations represent two fundamental methodologies for acquiring solar radiation information. While ground-based measurements are often [...] Read more.
Surface solar radiation, as a primary energy source, plays a pivotal role in governing land–atmosphere interactions, thereby influencing radiative, hydrological, and land surface dynamics. Ground-based instrumentation and satellite-based observations represent two fundamental methodologies for acquiring solar radiation information. While ground-based measurements are often limited in availability, high-temporal- and spatial-resolution, gridded satellite-retrieved solar radiation products have been extensively utilized in solar radiation-related studies, despite their inherent uncertainties in accuracy. In this study, we conducted an evaluation of the accuracy of two high-resolution satellite products, namely Himawari-8 (H8) and Moderate Resolution Imaging Spectroradiometer (MODIS), utilizing data from a newly established solar radiation observation system at the Beijing Normal University (BNU) station in Beijing since 2017. The newly acquired measurements facilitated the generation of a firsthand solar radiation dataset comprising three components: Global Horizontal Irradiance (GHI), Direct Normal Irradiance (DNI), and Diffuse Horizontal Irradiance (DHI). Rigorous quality control procedures were applied to the raw minute-level observation data, including tests for missing data, the determination of possible physical limits, the identification of solar tracker malfunctions, and comparison tests (GHI should be equivalent to the sum of DHI and the vertical component of the DNI). Subsequently, accurate minute-level solar radiation observations were obtained spanning from 1 January 2020 to 22 March 2022. The evaluation of H8 and MODIS satellite products against ground-based GHI observations revealed strong correlations with R-squared (R2) values of 0.89 and 0.81, respectively. However, both satellite products exhibited a tendency to overestimate solar radiation, with H8 overestimating by approximately 21.05% and MODIS products by 7.11%. Additionally, solar zenith angles emerged as a factor influencing the accuracy of satellite products. This dataset serves as crucial support for investigations of surface solar radiation variation mechanisms, future energy utilization prospects, environmental conservation efforts, and related studies in urban areas such as Beijing. Full article
(This article belongs to the Section Atmospheric Remote Sensing)
Show Figures

Graphical abstract

14 pages, 1524 KB  
Article
Minute-Scale Models for the Diffuse Fraction of Global Solar Radiation Balanced between Accuracy and Accessibility
by Eugenia Paulescu and Marius Paulescu
Appl. Sci. 2023, 13(11), 6558; https://doi.org/10.3390/app13116558 - 28 May 2023
Cited by 7 | Viewed by 3188
Abstract
The separation models are tools used in solar engineering to estimate direct normal (DNI) and diffuse horizontal (DHI) solar irradiances from measurements of global solar irradiance (GHI). This paper proposes two empirical separation models that stand out owing to their simple mathematical formulation: [...] Read more.
The separation models are tools used in solar engineering to estimate direct normal (DNI) and diffuse horizontal (DHI) solar irradiances from measurements of global solar irradiance (GHI). This paper proposes two empirical separation models that stand out owing to their simple mathematical formulation: a rational polynomial equation. Validation of the new models was carried out against data from 36 locations, covering the four major climatic zones. Five current top minute-scale separation models were considered references. The tests were performed on the final products of the estimation: DNI and DHI. The first model (M1) operates with eight predictors (evaluated from GHI post-processed measurements and clear-sky counterpart estimates) and constantly outperforms the already established models. The second model (M2) operates with three predictors based only on GHI measurements, which gives it a high degree of accessibility. Based on a statistical linear ranking method according to the models’ performance at every station, M1 leads the hierarchy, ranking first in both DNI and DHI estimation. The high accessibility of the M2 does not compromise accuracy; it is proving to be a real competitor in the race with the best-performing current models. Full article
Show Figures

Figure 1

24 pages, 9941 KB  
Article
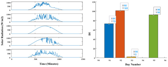
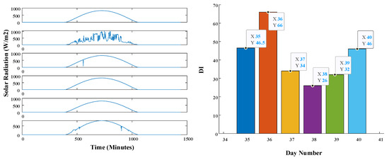
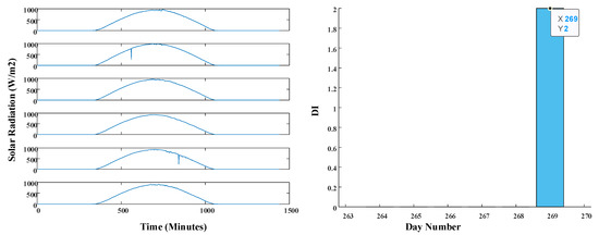
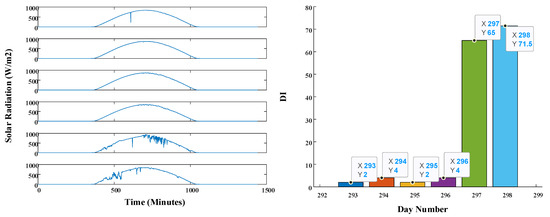
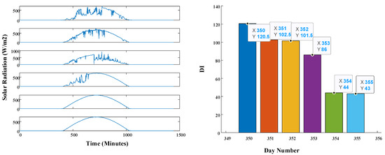
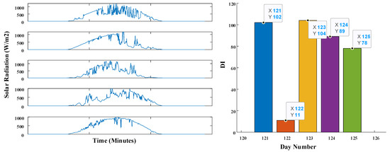
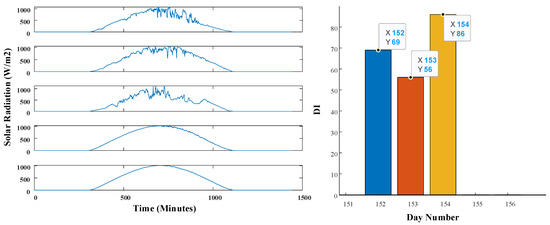
Forecasting the Distortion in Solar Radiation during Midday Hours by Analyzing Solar Radiation during Early Morning Hours
by Abdullah M. Noman, Zeyad A. Haidar, Ali S. Aljumah, Sulaiman Z. Almutairi and Mohammed H. Alqahtani
Appl. Sci. 2023, 13(10), 6049; https://doi.org/10.3390/app13106049 - 15 May 2023
Cited by 4 | Viewed by 1879
Abstract
Knowing the fluctuation of solar radiation is essential for reliable and safe operation of power systems with a high share of solar PV power plants. This paper introduces a novel method for forecasting the distortion in global solar radiation during the midday time [...] Read more.
Knowing the fluctuation of solar radiation is essential for reliable and safe operation of power systems with a high share of solar PV power plants. This paper introduces a novel method for forecasting the distortion in global solar radiation during the midday time (during the peak of solar radiation at which the generation of the PV plants is maximum), by analyzing the solar radiation during the very early hours. This paper shows that there is a strong relation between the condition of the solar radiation during the very early minutes of the day (when the generation of the PV plants is low) and the condition of the solar radiation during the midday hours (when the output of the PV plants is enormous). This relation can be utilized to help power systems operators in determining the safe share of PV plants that can be fed to power systems. We analyzed real data of one complete year for two sites in Saudi Arabia to approve this approach. The difference between each two readings was calculated for the hours 7 a.m. and 8 a.m. Then, the negative, zero, and amplitude of the difference was used to formulate a distortion index (DI) that predicts the distortion/fluctuation in the global radiation. It was concluded that the DI could classify the days into three categories: clean, distorted, and medium level according to the value of the DI. The accuracy of this approach was 85.2% and the error was 14.8%. Full article
Show Figures

Figure 1

25 pages, 11407 KB  
Article
Comparative Analysis of Photosynthetically Active Radiation Models Based on Radiometric Attributes in Mainland Spain
by Ousmane Wane, Julián A. Ramírez Ceballos, Francisco Ferrera-Cobos, Ana A. Navarro, Rita X. Valenzuela and Luis F. Zarzalejo
Land 2022, 11(10), 1868; https://doi.org/10.3390/land11101868 - 21 Oct 2022
Cited by 7 | Viewed by 3023
Abstract
The aims of this work are to present an analysis of quality solar radiation data and develop several hourly models of photosynthetically active radiation (PAR) using combinations of radiometric variables such as global horizontal irradiance (GHI), diffuse horizontal irradiance (DHI), and direct normal [...] Read more.
The aims of this work are to present an analysis of quality solar radiation data and develop several hourly models of photosynthetically active radiation (PAR) using combinations of radiometric variables such as global horizontal irradiance (GHI), diffuse horizontal irradiance (DHI), and direct normal irradiance (DNI) from their dimensionless indices atmospheric clearness index (kt), horizontal diffuse fraction (kd), and normal direct fraction (kb) together with solar elevation angle (α). GHI, DHI, and DNI data with 1-minute frequencies in the period from 2016 to 2021 from CEDER-CIEMAT, in a northern plateau, and PSA-CIEMAT in the southeast of the Iberian Peninsula, were used to compare two locations with very different climates according to the Köppen—Geiger classification. A total of 15 multilinear models were fitted and validated (with independent training and validation data) using first the whole dataset and then by kt intervals. In most cases, models including the clearness index showed better performance, and among them, models that also use the solar elevation angle as a variable obtained remarkable results. Additionally, according to the statistical validation, these models presented good results when they were compared with models in the bibliography. Finally, the model validation statistics indicate a better performance of the interval models than the complete models. Full article
Show Figures

Figure 1

17 pages, 3890 KB  
Article
Solar Ultraviolet Irradiance Characterization under All Sky Conditions in Burgos, Spain
by Sol García-Rodríguez, Ignacio García, Ana García-Rodríguez, Montserrat Díez-Mediavilla and Cristina Alonso-Tristán
Appl. Sci. 2022, 12(20), 10407; https://doi.org/10.3390/app122010407 - 15 Oct 2022
Cited by 5 | Viewed by 3217
Abstract
Solar Ultraviolet Radiation (UVR), which is identified as a major environmental health hazard, is responsible for a variety of photochemical reactions with direct effects on urban and aquatic ecosystems, human health, plant growth, and the deterioration of industrial systems. Ground measurements of total [...] Read more.
Solar Ultraviolet Radiation (UVR), which is identified as a major environmental health hazard, is responsible for a variety of photochemical reactions with direct effects on urban and aquatic ecosystems, human health, plant growth, and the deterioration of industrial systems. Ground measurements of total solar UVR are scarce, with low spatial and temporal coverage around the world, which is mainly due to measurement equipment maintenance costs and the complexities of equipment calibration routines; however, models designed to estimate ultraviolet rays from global radiation measurements are frequently used alternatives. In an experimental campaign in Burgos, Spain, between September 2020 and June 2022, average values of the ratio between horizontal global ultraviolet irradiance (GHUV) and global horizontal irradiance (GHI) were determined, based on measurements at ten-minute intervals. Sky cloudiness was the most influential factor in the ratio, more so than any daily, monthly, or seasonal pattern. Both the CIE standard sky classification and the clearness index were used to characterize the cloudiness conditions of homogeneous skies. Overcast sky types presented the highest values of the ratio, whereas the clear sky categories presented the lowest and most dispersed values, regardless of the criteria used for sky classification. The main conclusion, for practical purposes, was that the ratio between GHUV and GHI can be used to model GHUV. Full article
Show Figures

Figure 1

24 pages, 6458 KB  
Article
The Performance Assessment of Six Global Horizontal Irradiance Clear Sky Models in Six Climatological Regions in South Africa
by Brighton Mabasa, Meena D. Lysko, Henerica Tazvinga, Nosipho Zwane and Sabata J. Moloi
Energies 2021, 14(9), 2583; https://doi.org/10.3390/en14092583 - 30 Apr 2021
Cited by 18 | Viewed by 7469
Abstract
This study assesses the performance of six global horizontal irradiance (GHI) clear sky models, namely: Bird, Simple Solis, McClear, Ineichen–Perez, Haurwitz and Berger–Duffie. The assessment is performed by comparing 1-min model outputs to corresponding clear sky reference 1-min Baseline Surface Radiation Network quality [...] Read more.
This study assesses the performance of six global horizontal irradiance (GHI) clear sky models, namely: Bird, Simple Solis, McClear, Ineichen–Perez, Haurwitz and Berger–Duffie. The assessment is performed by comparing 1-min model outputs to corresponding clear sky reference 1-min Baseline Surface Radiation Network quality controlled GHI data from 13 South African Weather Services radiometric stations. The data used in the study range from 2013 to 2019. The 13 reference stations are across the six macro climatological regions of South Africa. The aim of the study is to identify the overall best performing clear sky model for estimating minute GHI in South Africa. Clear sky days are detected using ERA5 reanalysis hourly data and the application of an additional 1-min automated detection algorithm. Metadata for the models’ inputs were sourced from station measurements, satellite platform observations, reanalysis and some were modelled. Statistical metrics relative Mean Bias Error (rMBE), relative Root Mean Square Error (rRMSE) and the coefficient of determination (R2) are used to categorize model performance. The results show that each of the models performed differently across the 13 stations and in different climatic regions. The Bird model was overall the best in all regions, with an rMBE of 1.87%, rRMSE of 4.11% and R2 of 0.998. The Bird model can therefore be used with quantitative confidence as a basis for solar energy applications when all the required model inputs are available. Full article
Show Figures

Figure 1

15 pages, 946 KB  
Article
Characterising Seasonality of Solar Radiation and Solar Farm Output
by John Boland
Energies 2020, 13(2), 471; https://doi.org/10.3390/en13020471 - 18 Jan 2020
Cited by 12 | Viewed by 4773
Abstract
With the recent rapid increase in the use of roof top photovoltaic solar systems worldwide, and also, more recently, the dramatic escalation in building grid connected solar farms, especially in Australia, the need for more accurate methods of very short-term forecasting has become [...] Read more.
With the recent rapid increase in the use of roof top photovoltaic solar systems worldwide, and also, more recently, the dramatic escalation in building grid connected solar farms, especially in Australia, the need for more accurate methods of very short-term forecasting has become a focus of research. The International Energy Agency Tasks 46 and 16 have brought together groups of experts to further this research. In Australia, the Australian Renewable Energy Agency is funding consortia to improve the five minute forecasting of solar farm output, as this is the time scale of the electricity market. The first step in forecasting of either solar radiation or output from solar farms requires the representation of the inherent seasonality. One can characterise the seasonality in climate variables by using either a multiplicative or additive modelling approach. The multiplicative approach with respect to solar radiation can be done by calculating the clearness index, or alternatively estimating the clear sky index. The clearness index is defined as the division of the global solar radiation by the extraterrestrial radiation, a quantity determined only via astronomical formulae. To form the clear sky index one divides the global radiation by a clear sky model. For additive de-seasoning, one subtracts some form of a mean function from the solar radiation. That function could be simply the long term average at the time steps involved, or more formally the addition of terms involving a basis of the function space. An appropriate way to perform this operation is by using a Fourier series set of basis functions. This article will show that for various reasons the additive approach is superior. Also, the differences between the representation for solar energy versus solar farm output will be demonstrated. Finally, there is a short description of the subsequent steps in short-term forecasting. Full article
(This article belongs to the Special Issue Ensemble Forecasting Applied to Power Systems)
Show Figures

Figure 1

18 pages, 4757 KB  
Article
Comparison of Modelled and Measured Tilted Solar Irradiance for Photovoltaic Applications
by Riyad Mubarak, Martin Hofmann, Stefan Riechelmann and Gunther Seckmeyer
Energies 2017, 10(11), 1688; https://doi.org/10.3390/en10111688 - 25 Oct 2017
Cited by 46 | Viewed by 8175
Abstract
This work assesses the performance of five transposition models that estimate the global and diffuse solar irradiance on tilted planes based on the global horizontal irradiance. The modelled tilted irradiance values are compared to measured one-minute values from pyranometers and silicon sensors tilted [...] Read more.
This work assesses the performance of five transposition models that estimate the global and diffuse solar irradiance on tilted planes based on the global horizontal irradiance. The modelled tilted irradiance values are compared to measured one-minute values from pyranometers and silicon sensors tilted at different angles at Hannover (Germany) and NREL (Golden, CO, USA). It can be recognized that the deviations of the model of Liu and Jordan, Klucher and Perez from the measurements increases as the tilt angle increases and as the sensors are oriented away from the south direction, where they receive lower direct radiation than south-oriented surfaces. Accordingly, the vertical E, W and N planes show the highest deviation. Best results are found by the models from Hay and Davies and Reindl, when horizontal pyranometer measurements and a constant albedo value of 0.2 are used. The relative root mean squared difference (rRMSD) of the anisotropic models does not exceed 11% for south orientation and low inclination angles (β = 10–60°), but reaches up to 28.9% at vertical planes. For sunny locations such as Golden, the Perez model provides the best estimates of global tilted irradiance for south-facing surfaces. The relative mean absolute difference (rMAD) of the Perez model at NREL ranges from 4.2% for 40° tilt to 8.7% for 90° tilt angle, when horizontal pyranometer measurements and a measured albedo value are used; the use of measured albedo values instead of a constant value of 0.2 leads to a reduction of the deviation to 3.9% and 6.0%, respectively. The use of higher albedo values leads to a significant increase of rMAD. We also investigated the uncertainty resulting from using horizontal pyranometer measurements, in combination with constant albedo values, to estimate the incident irradiance on tilted photovoltaic (PV) modules. We found that these uncertainties are small or negligible. Full article
(This article belongs to the Section L: Energy Sources)
Show Figures

Figure 1

21 pages, 5788 KB  
Article
A New Model for Estimating the Diffuse Fraction of Solar Irradiance for Photovoltaic System Simulations
by Martin Hofmann and Gunther Seckmeyer
Energies 2017, 10(2), 248; https://doi.org/10.3390/en10020248 - 18 Feb 2017
Cited by 44 | Viewed by 12509
Abstract
We present a new model for the calculation of the diffuse fraction of the global solar irradiance for solar system simulations. The importance of an accurate estimation of the horizontal diffuse irradiance is highlighted by findings that an inaccurately calculated diffuse irradiance can [...] Read more.
We present a new model for the calculation of the diffuse fraction of the global solar irradiance for solar system simulations. The importance of an accurate estimation of the horizontal diffuse irradiance is highlighted by findings that an inaccurately calculated diffuse irradiance can lead to significant over- or underestimations in the annual energy yield of a photovoltaic (PV) system by as much as 8%. Our model utilizes a time series of global irradiance in one-minute resolution and geographical information as input. The model is validated by measurement data of 28 geographically and climatologically diverse locations worldwide with one year of one-minute data each, taken from the Baseline Surface Radiation Network (BSRN). We show that on average the mean absolute deviation of the modelled and the measured diffuse irradiance is reduced from about 12% to about 6% compared to three reference models. The maximum deviation is less than 20%. In more than 80% of the test cases, the deviation is smaller 10%. The root mean squared error (RMSE) of the calculated diffuse fractions is reduced by about 18%. Full article
Show Figures

Figure 1

27 pages, 4229 KB  
Article
Emulation of Leaf, Canopy and Atmosphere Radiative Transfer Models for Fast Global Sensitivity Analysis
by Jochem Verrelst, Neus Sabater, Juan Pablo Rivera, Jordi Muñoz-Marí, Jorge Vicent, Gustau Camps-Valls and José Moreno
Remote Sens. 2016, 8(8), 673; https://doi.org/10.3390/rs8080673 - 19 Aug 2016
Cited by 88 | Viewed by 11498
Abstract
Physically-based radiative transfer models (RTMs) help understand the interactions of radiation with vegetation and atmosphere. However, advanced RTMs can be computationally burdensome, which makes them impractical in many real applications, especially when many state conditions and model couplings need to be studied. To [...] Read more.
Physically-based radiative transfer models (RTMs) help understand the interactions of radiation with vegetation and atmosphere. However, advanced RTMs can be computationally burdensome, which makes them impractical in many real applications, especially when many state conditions and model couplings need to be studied. To overcome this problem, it is proposed to substitute RTMs through surrogate meta-models also named emulators. Emulators approximate the functioning of RTMs through statistical learning regression methods, and can open many new applications because of their computational efficiency and outstanding accuracy. Emulators allow fast global sensitivity analysis (GSA) studies on advanced, computationally expensive RTMs. As a proof-of-concept, three machine learning regression algorithms (MLRAs) were tested to function as emulators for the leaf RTM PROSPECT-4, the canopy RTM PROSAIL, and the computationally expensive atmospheric RTM MODTRAN5. Selected MLRAs were: kernel ridge regression (KRR), neural networks (NN) and Gaussian processes regression (GPR). For each RTM, 500 simulations were generated for training and validation. The majority of MLRAs were excellently validated to function as emulators with relative errors well below 0.2%. The emulators were then put into a GSA scheme and compared against GSA results as generated by original PROSPECT-4 and PROSAIL runs. NN and GPR emulators delivered identical GSA results, while processing speed compared to the original RTMs doubled for PROSPECT-4 and tripled for PROSAIL. Having the emulator-GSA concept successfully tested, for six MODTRAN5 atmospheric transfer functions (outputs), i.e., direct and diffuse at-surface solar irradiance ( E d i f , E d i r ), direct and diffuse upward transmittance ( T d i r , T d i f ), spherical albedo (S) and path radiance ( L 0 ), the most accurate MLRA’s were subsequently applied as emulator into the GSA scheme. The sensitivity analysis along the 400–2500 nm spectral range took no more than a few minutes on a contemporary computer—in comparison, the same analysis in the original MODTRAN5 would have taken over a month. Key atmospheric drivers were identified, which are on the one hand aerosol optical properties, i.e., aerosol optical thickness (AOT), Angstrom coefficient (AMS) and scattering asymmetry variable (G), mostly driving diffuse atmospheric components, E d i f and T d i f ; and those affected by atmospheric scattering, L 0 and S. On the other hand, as expected, AOT, AMS and columnar water vapor (CWV) in the absorption regions mostly drive E d i r and T d i r atmospheric functions. The presented emulation schemes showed very promising results in replacing costly RTMs, and we think they can contribute to the adoption of machine learning techniques in remote sensing and environmental applications. Full article
Show Figures

Graphical abstract

18 pages, 668 KB  
Article
Missing Data Imputation of Solar Radiation Data under Different Atmospheric Conditions
by Concepción Crespo Turrado, María Del Carmen Meizoso López, Fernando Sánchez Lasheras, Benigno Antonio Rodríguez Gómez, José Luis Calvo Rollé and Francisco Javier de Cos Juez
Sensors 2014, 14(11), 20382-20399; https://doi.org/10.3390/s141120382 - 29 Oct 2014
Cited by 77 | Viewed by 8207
Abstract
Global solar broadband irradiance on a planar surface is measured at weather stations by pyranometers. In the case of the present research, solar radiation values from nine meteorological stations of the MeteoGalicia real-time observational network, captured and stored every ten minutes, are considered. [...] Read more.
Global solar broadband irradiance on a planar surface is measured at weather stations by pyranometers. In the case of the present research, solar radiation values from nine meteorological stations of the MeteoGalicia real-time observational network, captured and stored every ten minutes, are considered. In this kind of record, the lack of data and/or the presence of wrong values adversely affects any time series study. Consequently, when this occurs, a data imputation process must be performed in order to replace missing data with estimated values. This paper aims to evaluate the multivariate imputation of ten-minute scale data by means of the chained equations method (MICE). This method allows the network itself to impute the missing or wrong data of a solar radiation sensor, by using either all or just a group of the measurements of the remaining sensors. Very good results have been obtained with the MICE method in comparison with other methods employed in this field such as Inverse Distance Weighting (IDW) and Multiple Linear Regression (MLR). The average RMSE value of the predictions for the MICE algorithm was 13.37% while that for the MLR it was 28.19%, and 31.68% for the IDW. Full article
(This article belongs to the Section Physical Sensors)
Show Figures

30 pages, 1623 KB  
Article
Spatial Estimation of Sub-Hour Global Horizontal Irradiance Based on Official Observations and Remote Sensors
by Federico-Vladimir Gutierrez-Corea, Miguel-Angel Manso-Callejo, María-Pilar Moreno-Regidor and Jesús Velasco-Gómez
Sensors 2014, 14(4), 6758-6787; https://doi.org/10.3390/s140406758 - 11 Apr 2014
Cited by 14 | Viewed by 8475
Abstract
This study was motivated by the need to improve densification of Global Horizontal Irradiance (GHI) observations, increasing the number of surface weather stations that observe it, using sensors with a sub-hour periodicity and examining the methods of spatial GHI estimation (by interpolation) with [...] Read more.
This study was motivated by the need to improve densification of Global Horizontal Irradiance (GHI) observations, increasing the number of surface weather stations that observe it, using sensors with a sub-hour periodicity and examining the methods of spatial GHI estimation (by interpolation) with that periodicity in other locations. The aim of the present research project is to analyze the goodness of 15-minute GHI spatial estimations for five methods in the territory of Spain (three geo-statistical interpolation methods, one deterministic method and the HelioSat2 method, which is based on satellite images). The research concludes that, when the work area has adequate station density, the best method for estimating GHI every 15 min is Regression Kriging interpolation using GHI estimated from satellite images as one of the input variables. On the contrary, when station density is low, the best method is estimating GHI directly from satellite images. A comparison between the GHI observed by volunteer stations and the estimation model applied concludes that 67% of the volunteer stations analyzed present values within the margin of error (average of ±2 standard deviations). Full article
(This article belongs to the Section Remote Sensors)
Show Figures

Graphical abstract

Back to TopTop