Sign in to use this feature.

Years

Between: -

Article Types

Countries / Regions

remove_circle_outline
remove_circle_outline
remove_circle_outline
remove_circle_outline
remove_circle_outline

Search Results (1,552)

Search Parameters:
Journal = Polymers
Section = Polymer Physics and Theory

Order results
Result details
Results per page
Select all
Export citation of selected articles as:
19 pages, 11499 KB  
Article
A Novel Plasticization Mechanism in Poly(Lactic Acid)/PolyEthyleneGlycol Blends: From Tg Depression to a Structured Melt State
by Nawel Mechernene, Lina Benkraled, Assia Zennaki, Khadidja Arabeche, Abdelkader Berrayah, Lahcene Mechernene, Amina Bouriche, Sid Ahmed Benabdellah, Zohra Bouberka, Ana Barrera and Ulrich Maschke
Polymers 2026, 18(3), 317; https://doi.org/10.3390/polym18030317 (registering DOI) - 24 Jan 2026
Abstract
Polylactic acid (PLA) is a promising biodegradable polymer whose widespread application is hindered by inherent brittleness. Polyethylene glycol (PEG) is a common plasticizer, but the effects of intermediate molecular weights, such as 4000 g/mol, on the coupled thermal, mechanical, and rheological properties of [...] Read more.
Polylactic acid (PLA) is a promising biodegradable polymer whose widespread application is hindered by inherent brittleness. Polyethylene glycol (PEG) is a common plasticizer, but the effects of intermediate molecular weights, such as 4000 g/mol, on the coupled thermal, mechanical, and rheological properties of PLA remain insufficiently understood. This study presents a comprehensive analysis of PLA plasticized with 0–20 wt% PEG 4000, employing differential scanning calorimetry (DSC), dynamic mechanical analysis (DMA), and rheology. DSC confirmed excellent miscibility and a significant glass transition temperature (Tg) depression exceeding 19 °C for the highest concentration. A complex, non-monotonic evolution of crystallinity was observed, associated with the formation of different crystalline forms (α′ and α). Critically, DMA revealed that the material’s thermo-mechanical response is dominated by its thermal history: while the plasticizing effect is masked in highly crystalline, as-cast films, it is unequivocally demonstrated in quenched amorphous samples. The core finding emerges from a targeted rheological investigation. An anomalous increase in melt viscosity and elasticity at intermediate PEG concentrations (5–15 wt%), observed at 180 °C, was systematically shown to vanish at 190 °C and in amorphous samples. This proves that the anomaly stems from residual crystalline domains (α′ precursors) persisting near the melting point, not from a transient molecular network. These results establish that PEG 4000 is a highly effective PLA plasticizer whose impact is profoundly mediated by processing-induced crystallinity. This work provides essential guidelines for tailoring PLA properties by controlling thermal history to optimize flexibility and processability for advanced applications, specifically in melt-processing for flexible packaging. Full article
(This article belongs to the Section Polymer Physics and Theory)
Show Figures

Figure 1

19 pages, 5944 KB  
Article
Sustainable Hybrid Laminated Composites Reinforced with Bamboo, Flex Banner, and Glass Fibers: Impact of CaCO3 Filler on Mechanical Properties
by Rahmat Doni Widodo, Muhammad Irfan Nuryanta, Prima Astuti Handayani, Rizky Ichwan, Edi Syams Zainudin and Muhammad Akhsin Muflikhun
Polymers 2026, 18(2), 275; https://doi.org/10.3390/polym18020275 - 20 Jan 2026
Viewed by 183
Abstract
The increasing demand for sustainable polymer composites has driven the development of hybrid laminates that combine natural, recycled, and synthetic reinforcements while maintaining adequate mechanical performance. However, the combined influence of stacking sequence and mineral filler addition on the mechanical behavior of such [...] Read more.
The increasing demand for sustainable polymer composites has driven the development of hybrid laminates that combine natural, recycled, and synthetic reinforcements while maintaining adequate mechanical performance. However, the combined influence of stacking sequence and mineral filler addition on the mechanical behavior of such sustainable hybrid systems remains insufficiently understood. In this study, sustainable hybrid laminated composites based on epoxy reinforced with glass fiber (G), bamboo fiber (B), and flex banner (F) were fabricated with varying stacking sequences and calcium carbonate (CaCO3) filler contents (0 and 1 wt.%). A total of nine laminate configurations were produced and evaluated through flexural and impact testing. The results demonstrate that mechanical performance is strongly governed by laminate architecture and filler addition. The bamboo-dominant G/B/B/B/G laminate containing 1 wt.% CaCO3 exhibited the highest flexural strength (191 MPa) and impact resistance (0.766 J/mm2), indicating a synergistic effect between reinforcement arrangement and CaCO3-induced matrix strengthening. In contrast, the lowest performance was observed for the G/F/B/F/G configuration without filler. Overall, all hybrid composites outperformed neat epoxy, highlighting the potential of bamboo–flex banner hybrid laminates with CaCO3 filler for sustainable composite applications requiring balanced mechanical properties. This work aligns with SDG 12 by promoting resource-efficient circular-economy practices through the utilization of flex banner material and natural fibers as reinforcements in epoxy-based hybrid composites. Full article
(This article belongs to the Special Issue Mechanical Properties of Polymer Materials, 2nd Edition)
Show Figures

Figure 1

33 pages, 21083 KB  
Article
Numerical Analysis of Energy Dissipation and Frictional Effects in Aramid-Based Polymeric Fabrics Under Dynamic Loading
by Larisa Titire, Cristian Munteniță and Valentin Tiberiu Amorțilă
Polymers 2026, 18(2), 259; https://doi.org/10.3390/polym18020259 - 18 Jan 2026
Viewed by 179
Abstract
Aramid-based polymeric fabrics are increasingly employed in lightweight protective and structural applications where high strength, flexibility, and impact resistance are required. Their response under high-velocity impact is governed by complex interactions among fiber properties, inter-yarn friction, and the mechanical behavior of the impacting [...] Read more.
Aramid-based polymeric fabrics are increasingly employed in lightweight protective and structural applications where high strength, flexibility, and impact resistance are required. Their response under high-velocity impact is governed by complex interactions among fiber properties, inter-yarn friction, and the mechanical behavior of the impacting body. In this work, three-dimensional finite element simulations were conducted in ANSYS Explicit Dynamics to investigate the coupled effects of the interfacial friction coefficient (μ = coefficient of friction = 0.0–0.5) and impactor material on the dynamic response of 24-layer plain-weave aramid panels. The numerical results reveal that low friction facilitates yarn mobility and localized penetration, whereas moderate friction enhances stress-wave dispersion and enables a more uniform activation of multiple fabric layers. At higher friction levels, penetration is further reduced, but localized stress concentrations may emerge due to constrained yarn movement. The constitutive properties of the impactor strongly influenced deformation modes and the efficiency of kinetic energy transfer to the composite structure. The simulated results are consistent with experimental data reported in the literature, confirming the predictive capability of the model. The study provides quantitative insight into the role of frictional interactions and impactor characteristics in optimizing the energy absorption and structural integrity of aramid-based polymeric fabrics subjected to high-velocity loading, contributing to the development of advanced lightweight protective materials. Full article
(This article belongs to the Section Polymer Physics and Theory)
Show Figures

Figure 1

21 pages, 5571 KB  
Article
Molecular Dynamics Simulation and Experimental Study on the Mechanical Properties of Functionalized Graphene-Enhanced PEEK/PTFE
by Yan Wang, Jingjing Chen, Henan Tang, Bin Yang, Shijie Wang and Ning Wang
Polymers 2026, 18(1), 125; https://doi.org/10.3390/polym18010125 - 31 Dec 2025
Viewed by 387
Abstract
The reinforcement mechanism of functionalized graphene nanosheets (GNS) on the mechanical properties of polyetheretherketone (PEEK)/polytetrafluoroethylene (PTFE) composites was investigated. Composite specimens were fabricated using PGNS, as well as GNS grafted with hydroxyl, carboxyl (-COOH) and amino functional groups, and mechanical characterizations were conducted [...] Read more.
The reinforcement mechanism of functionalized graphene nanosheets (GNS) on the mechanical properties of polyetheretherketone (PEEK)/polytetrafluoroethylene (PTFE) composites was investigated. Composite specimens were fabricated using PGNS, as well as GNS grafted with hydroxyl, carboxyl (-COOH) and amino functional groups, and mechanical characterizations were conducted on the prepared specimens. The results demonstrated that carboxyl-functionalized GNS (COOH-GNS) exhibited the most remarkable reinforcing effect on PEEK/PTFE composites, with its elastic modulus, tensile strength, yield strength and compressive modulus increased by 47.09%, 31.1%, 45.16% and 20.91%, respectively, compared with PGNS-reinforced composites. Combined with experimental measurements and molecular dynamics simulations, the reinforcement mechanism of this composite system was elucidated. The functional groups on the surface of GNS can induce interfacial interactions with the PEEK/PTFE matrix, by which the mobility of polymer molecular chains is restricted, the deformation and slippage of molecular chains are suppressed, and the interfacial bonding between GNS and the polymer matrix is simultaneously strengthened. The enhancement of interfacial binding energy, the reduction in free volume in the composite system, and the restriction of polymer molecular chain mobility were identified as the critical atomic-scale mechanisms responsible for the improvement of the macroscopic mechanical properties of the composites. Full article
(This article belongs to the Section Polymer Physics and Theory)
Show Figures

Figure 1

17 pages, 2031 KB  
Article
Physics-Informed Neural-Network-Based Generation of Composite Representative Volume Elements with Non-Uniform Distribution and High-Volume Fractions
by Tianlu Zheng, Chaocan Cai, Fan Yang, Rongguo Wang and Wenbo Liu
Polymers 2026, 18(1), 97; https://doi.org/10.3390/polym18010097 - 29 Dec 2025
Viewed by 334
Abstract
To reduce the reliance on large training sets for representative volume element (RVE) generation using machine learning, this work presents a novel approach based on physics-informed neural network (PINN) to generate RVEs for unidirectional fiber-reinforced composites with non-uniform fiber distributions and high-volume fractions. [...] Read more.
To reduce the reliance on large training sets for representative volume element (RVE) generation using machine learning, this work presents a novel approach based on physics-informed neural network (PINN) to generate RVEs for unidirectional fiber-reinforced composites with non-uniform fiber distributions and high-volume fractions. The method embeds physical constraints including fiber non-overlap, volume fraction, and boundary conditions directly into the neural network’s loss function. This integration eliminates the need for large training datasets, which is typically required by traditional machine learning methods. Moreover, it achieves volume fractions exceeding 0.8, surpassing the jamming limit of conventional generation techniques. Exhaustive statistical measurements taken at different scales confirm that the proposed method could accurately reproduce local fiber distribution patterns in realistic microstructures while maintaining complete randomness at larger scales. Finite element analysis was employed on the generated RVEs to predict the elastic properties and damage behavior that taking into account the interfacial debonding and nonlinear damage in matrix. The predictions of both macroscopic mechanical properties (elastic properties and strength) and microscopic damage patterns show good agreement with experimental results. The proposed PINN-based framework provides an efficient and reliable tool for computational micromechanics of polymer matrix composites. Full article
(This article belongs to the Section Polymer Physics and Theory)
Show Figures

Figure 1

15 pages, 4796 KB  
Article
Atomistic Simulations of Individual Amphiphilic Carbosilane Dendrimers with –(OCH2CH2)n–OCH3 Terminal Groups in Hydrophilic and Hydrophobic Environments and at Interfaces
by Andrey O. Kurbatov, Kirill A. Litvin, Iurii Iu. Grishin, Nikolay K. Balabaev and Elena Yu. Kramarenko
Polymers 2026, 18(1), 92; https://doi.org/10.3390/polym18010092 - 28 Dec 2025
Viewed by 365
Abstract
Amphiphilic dendrimers represent a promising class of nanoscale building blocks for functional materials, yet their conformational behavior, solvation, and interfacial activity remain incompletely understood. In this work, we employ atomistic molecular dynamics simulations to investigate G2–G4 carbosilane dendrimers functionalized with ethylene glycol terminal [...] Read more.
Amphiphilic dendrimers represent a promising class of nanoscale building blocks for functional materials, yet their conformational behavior, solvation, and interfacial activity remain incompletely understood. In this work, we employ atomistic molecular dynamics simulations to investigate G2–G4 carbosilane dendrimers functionalized with ethylene glycol terminal groups of two lengths—R1 (one ethylene glycol unit) and R3 (three units)—in water, toluene, and at fluid interfaces (water–toluene and water–air). Both types of dendrimers adopt compact, nearly spherical conformations in water but swell significantly (~83% in volume for G4) in toluene, a good solvent for the hydrophobic core. At the water–toluene interface, the dendrimers remain fully solvated in the toluene phase and show no surface activity. In contrast, at the water–air interface, they adsorb and adopt a mildly anisotropic, biconvex conformation, with a modest deformation. The total number of hydrogen bonds is reduced by ~50% compared to bulk water. Notably, the R3 dendrimers form more hydrogen bonds overall due to their higher oxygen content, which may contribute to the enhanced stability of their monolayers observed experimentally. These results demonstrate how dendrimer generation as well as terminal group length and hydrophilicity finely tune dendrimer conformation, hydration, and interfacial behavior, which are key factors for applications in nanocarriers, interfacial engineering, and self-assembled materials. The validated simulation protocol provides a robust foundation for future studies of multi-dendrimer systems and monolayer formation. Full article
(This article belongs to the Section Polymer Physics and Theory)
Show Figures

Figure 1

19 pages, 1561 KB  
Article
A Design of Experiment (DoE) Approach to Evaluate the Recyclability of a Polypropylene Copolymer in Medical Technology Under the Aspect of Additive Composition
by Nele Espelage, Markus Lothar Susoff, Cathrin Schröder, Peter Blömer and Svea Petersen
Polymers 2026, 18(1), 83; https://doi.org/10.3390/polym18010083 - 27 Dec 2025
Viewed by 377
Abstract
This study evaluates the influence of repeated processing, γ-irradiation (25 kGy), and additive formulation including Irgafos 168 (I168), Tinuvin 622 (T622), and Calcium Stearate (CaSt) on a polypropylene copolymer (PP-C). Motivated by medical technology applications, the study assessed effects on optical properties, yellowing, [...] Read more.
This study evaluates the influence of repeated processing, γ-irradiation (25 kGy), and additive formulation including Irgafos 168 (I168), Tinuvin 622 (T622), and Calcium Stearate (CaSt) on a polypropylene copolymer (PP-C). Motivated by medical technology applications, the study assessed effects on optical properties, yellowing, crystallization, mechanical performance, and viscosity using a full factorial design of experiments (DoE). Results showed γ-irradiation had the most significant impact, especially on zero-shear viscosity, which decreased by 84% after the first irradiation. The Yellowness Index (YI) changed measurably, but discoloration remained imperceptible. Crystallization temperature was influenced mainly by additive interactions, while specific enthalpy was affected by processing and γ-irradiation. Elongation at break and tensile strength were predominantly influenced by γ-irradiation, with elongation at break being a sensitive indicator of degradation. Zero-shear viscosity, correlating with molecular weight, was mainly controlled by γ-irradiation, indicating chain scission without critical embrittlement. Overall, γ-irradiation exerted a stronger effect than processing or additive formulation. Zero-shear viscosity proved a reliable measure of degradation, while elongation at break offered complementary insights. Despite significant viscosity reduction, mechanical properties remained high, confirming the material’s suitability for its intended applications. Full article
Show Figures

Graphical abstract

27 pages, 2038 KB  
Article
Enhanced Numerical Modeling of Non-Newtonian Particle-Laden Flows: Insights from the Carreau–Yasuda Model in Circular Tubes
by Medeu Amangeldi, Dongming Wei, Asma Perveen and Dichuan Zhang
Polymers 2026, 18(1), 43; https://doi.org/10.3390/polym18010043 - 23 Dec 2025
Viewed by 427
Abstract
Particle-laden flows in non-Newtonian fluids are encountered in a variety of industrial applications, such as concrete pumping and battery electrode slurry processing, where accurate prediction of particle migration is essential for performance and product quality. This work investigates fully developed suspension flows in [...] Read more.
Particle-laden flows in non-Newtonian fluids are encountered in a variety of industrial applications, such as concrete pumping and battery electrode slurry processing, where accurate prediction of particle migration is essential for performance and product quality. This work investigates fully developed suspension flows in circular tubes, combining the shear-induced diffusion framework of Phillips et al. with the Krieger–Dougherty relative viscosity and the Carreau–Yasuda constitutive model. Unlike previous studies that generally rely on Newtonian or simple non-Newtonian rheology models, we employ the Carreau–Yasuda model, a more sophisticated constitutive relation that captures both shear-thinning behavior and Newtonian plateau regimes. By applying nondimensionalization and variable transformations, we reduce the governing coupled differential equations to a system of nonlinear algebraic equations, which allows for efficient computation of both particle concentration and velocity profiles. A systematic parametric study was conducted to evaluate the influence of several factors, including the pressure gradient, average particle concentration, and the five parameters of the Carreau–Yasuda model. Additionally, the migration parameter α=Kc/Kη was considered. The results reveal how the increased rheological complexity of the Carreau–Yasuda model significantly alters the migration dynamics when compared to simpler models. These novel findings have direct implications for optimizing industrial processes involving highly loaded suspensions, offering more accurate predictions of particle behavior under varying flow conditions. For the validation of our findings, experimental data in the literature was used. Full article
(This article belongs to the Section Polymer Physics and Theory)
Show Figures

Figure 1

36 pages, 4597 KB  
Article
Local Relaxation Phenomena in Epoxy Resins in the Temperature Range from −150 °C to +150 °C
by Viktor A. Lomovskoy, Dmitry A. Trofimov, Svetlana A. Shatokhina, Nadezhda Yu. Lomovskaya and Igor D. Simonov-Emelyanov
Polymers 2025, 17(24), 3318; https://doi.org/10.3390/polym17243318 - 16 Dec 2025
Viewed by 365
Abstract
This study and theoretical analysis of local relaxation processes and their physicomechanical and physicochemical characteristics in uncured epoxy oligomers DER-330, ED-20, ED-16 and ED-8 were carried out in the dynamic mode of freely damped torsional oscillations excited in specimens of the investigated systems. [...] Read more.
This study and theoretical analysis of local relaxation processes and their physicomechanical and physicochemical characteristics in uncured epoxy oligomers DER-330, ED-20, ED-16 and ED-8 were carried out in the dynamic mode of freely damped torsional oscillations excited in specimens of the investigated systems. Internal friction spectra and temperature dependences of the frequency of free damped oscillations were obtained within the temperature range covering both the solid and liquid states of the epoxy oligomers. Based on the phenomenological models of a standard linear solid and the Maxwell model, the energetic and relaxation characteristics for each local dissipative process, as well as the temperature changes in strength properties (considering the defects of the shear modulus of the relaxation process) of the system as a whole, were calculated. Full article
(This article belongs to the Section Polymer Physics and Theory)
Show Figures

Graphical abstract

14 pages, 1858 KB  
Article
A Simple Approach to Characterize Sorption and Release Kinetics in Polymeric Materials with Planar, Cylindrical or Spherical Geometries
by Sara Exojo-Trujillo, Laura Higueras-Contreras, Carol López-de-Dicastillo, Pilar Hernández-Muñoz and Rafael Gavara
Polymers 2025, 17(24), 3298; https://doi.org/10.3390/polym17243298 - 12 Dec 2025
Viewed by 442
Abstract
This study presents a theoretical framework for modeling sorption and release kinetics of substances in polymeric materials with planar, cylindrical, and spherical geometries. Fick’s second law was expressed in dimensionless variables and solved numerically using a finite-difference approach to generate universal profiles for [...] Read more.
This study presents a theoretical framework for modeling sorption and release kinetics of substances in polymeric materials with planar, cylindrical, and spherical geometries. Fick’s second law was expressed in dimensionless variables and solved numerically using a finite-difference approach to generate universal profiles for mass transfer. These profiles were fitted with double-exponential equations, yielding explicit expressions that allow for straightforward estimation of diffusion coefficients from experimental data. The method was validated using literature data for films, fibers, and microspheres, showing excellent agreement with reported values. Unlike classical analytical solutions, which are limited to planar systems under ideal conditions, the proposed approach is applicable to diverse geometries commonly employed in packaging, biomedical devices, controlled-release formulations, and environmental technologies. Full article
(This article belongs to the Section Polymer Physics and Theory)
Show Figures

Graphical abstract

19 pages, 9529 KB  
Article
Comparative Analysis and Predictive Modeling of Wear Performance of Glass- and Bamboo Fiber-Reinforced Nanoclay–Epoxy Composites Using RSM and ANN
by Syed Mansoor Ahmad, Gowrishankar Mandya Channegowda, Manjunath Shettar and Ashwini Bhat
Polymers 2025, 17(24), 3286; https://doi.org/10.3390/polym17243286 - 11 Dec 2025
Viewed by 396
Abstract
This research contributes to the field of materials engineering through an analysis of the wear performance of both glass fiber-reinforced epoxy composites (GFEC) and bamboo fiber-reinforced epoxy composites (BFEC). This study aims to assess the wear performance, defined by mass loss, of the [...] Read more.
This research contributes to the field of materials engineering through an analysis of the wear performance of both glass fiber-reinforced epoxy composites (GFEC) and bamboo fiber-reinforced epoxy composites (BFEC). This study aims to assess the wear performance, defined by mass loss, of the composites under various factors: load, speed, time, nanoclay content, and composite type. Specimens are subjected to wear tests by a pin-on-disc tribometer. Composite wear performance is studied through Response Surface Methodology (RSM) and Artificial Neural Networks (ANN) as predictive models. Experimental runs are planned based on the Box–Behnken design of RSM to present a regression model that is then checked with an ANOVA analysis; afterwards, training and testing are performed using an ANN model to improve predictive accuracy. As per the results, GFEC exhibits lower mass loss compared to BFEC. For both of the composites, the mass loss is drastically reduced by the addition of nanoclay. The addition of nanoclay has more pronounced effects on BFECs than on GFECs. ANN predictions are found to be better in agreement with the experimental values compared to those derived from the RSM model. Scanning Electron Microscopy (SEM) analysis provides insight into wear mechanisms. This study demonstrates the effectiveness of a statistical and machine learning approach in optimizing wear performance in composite materials. Full article
(This article belongs to the Special Issue Modeling of Polymer Composites and Nanocomposites (2nd Edition))
Show Figures

Figure 1

11 pages, 1717 KB  
Article
The Transition State of PBLG Studied by Deuterium NMR
by Fabian M. Hoffmann and Burkhard Luy
Polymers 2025, 17(24), 3280; https://doi.org/10.3390/polym17243280 - 10 Dec 2025
Viewed by 425
Abstract
The liquid crystal (LC) poly-γ-benzyl-L-glutamate (PBLG) is known to possess a narrow biphasic range at the phase transition from an isotropic liquid to an anisotropic liquid crystal. We have characterized the biphasic region via deuterium nuclear magnetic resonance (NMR) of the deuterated solvent [...] Read more.
The liquid crystal (LC) poly-γ-benzyl-L-glutamate (PBLG) is known to possess a narrow biphasic range at the phase transition from an isotropic liquid to an anisotropic liquid crystal. We have characterized the biphasic region via deuterium nuclear magnetic resonance (NMR) of the deuterated solvent CDCl3, with which isotropic and anisotropic populations can unambiguously be identified and quantified due to the quadrupolar coupling induced by partial alignment. In addition to a dilution series, we measured the kinetics of the alignment inside the magnet for each dilution step and were able to follow the kinetic buildup of partial alignment. Beginning with the dynamic line broadening indicative of slow fluctuations, to microheterogeneous patches of isotropic and anisotropic islands, with increasing island size being consistent with sharpened spectra, ending in fully separated isotropic and anisotropic phases on top of each other after two weeks. In addition, we studied the influence of the two example guest molecules borneol and camphor—which essentially differ in their capability to act as hydrogen bond donors or acceptors—on the biphasic region of PBLG. Full article
Show Figures

Figure 1

12 pages, 2452 KB  
Article
Sodium Dodecylbenzene Sulfonate-Mediated Self-Assembly of Silk Particles from Formic Acid Solutions into Robust Films
by Rocco Malaspina, Martina Alunni Cardinali, Valeria Libera, Lucia Comez, Caterina Petrillo, Alessandro Paciaroni, Paola Sassi and Luca Valentini
Polymers 2025, 17(24), 3277; https://doi.org/10.3390/polym17243277 - 10 Dec 2025
Viewed by 461
Abstract
Silk proteins are versatile biopolymers well-suited to act as foundational components of a wide range of biomaterials. Rapidly gelling, self-assembling systems are especially valuable for drug delivery and biomedical applications. In this study, we present a way to induce the solid coaggregation of [...] Read more.
Silk proteins are versatile biopolymers well-suited to act as foundational components of a wide range of biomaterials. Rapidly gelling, self-assembling systems are especially valuable for drug delivery and biomedical applications. In this study, we present a way to induce the solid coaggregation of silk fibroin (SF) by adding the anionic surfactant sodium dodecylbenzene sulfonate (SDBS) into an SF solution prepared in formic acid (FA). SF films prepared by dissolving silk in CaCl2–FA and subsequently rinsing in water to remove CaCl2 were re-solubilized in FA with different content of SDBS. It was found that SF aggregation time is strongly modulated by the presence of SDBS. At increasing surfactant content, hydrophobic interactions between the SF chains and SDBS promote the formation of spherical coaggregates, whose size increases with surfactant concentration. FTIR analysis reveals that this process is accompanied by the formation of β-sheet structures, likely driven by hydrophobic interactions. This spontaneous liquid-to-solid phase transition promotes the formation of mechanically robust SF films with tunable electrical properties. Full article
(This article belongs to the Section Polymer Physics and Theory)
Show Figures

Figure 1

17 pages, 2001 KB  
Article
Advancing Thermoset Technology: 4R Materials with Unchanged Mechanical Properties and Enhanced Sustainability Through Repellency, Recyclability, Reprocessability, and Repairability
by Aratz Genua, Nagore Indakoetxea, Edurne Elorza, Jagoba Iturri, Paula Fanlo, Elena Jubete, Hans-J. Grande and Ignacio Garcia
Polymers 2025, 17(23), 3147; https://doi.org/10.3390/polym17233147 - 26 Nov 2025
Viewed by 651
Abstract
In this work, we present the development of a novel thermoset epoxy network that combines highly dynamic characteristics (reprocessability, reparability, and recyclability, 3R) with enhanced surface repellency. The conventional dynamic hardener of a 3R epoxy network was partially substituted with two different polydimethylsiloxane [...] Read more.
In this work, we present the development of a novel thermoset epoxy network that combines highly dynamic characteristics (reprocessability, reparability, and recyclability, 3R) with enhanced surface repellency. The conventional dynamic hardener of a 3R epoxy network was partially substituted with two different polydimethylsiloxane (PDMS) compounds at varying weight percentages and molecular weights, allowing us to systematically evaluate their influence on the material’s properties. Mechanical, thermal, and dynamic characteristics were retained, confirming that the substitution does not compromise the functional integrity of the network. Importantly, the surface properties were significantly improved, demonstrating enhanced repellency without affecting the core 3R functionality. A comparative analysis of the two PDMS variants revealed the influence of chemical structure and molecular weight on surface performance, providing insights into the design of multifunctional, sustainable epoxy networks. Full article
Show Figures

Graphical abstract

21 pages, 4064 KB  
Article
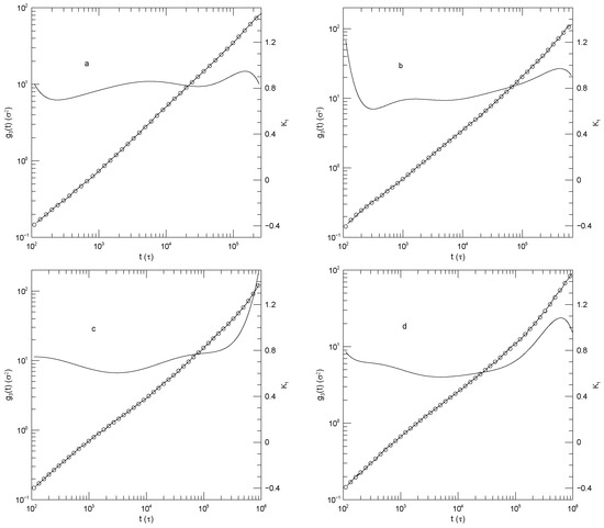
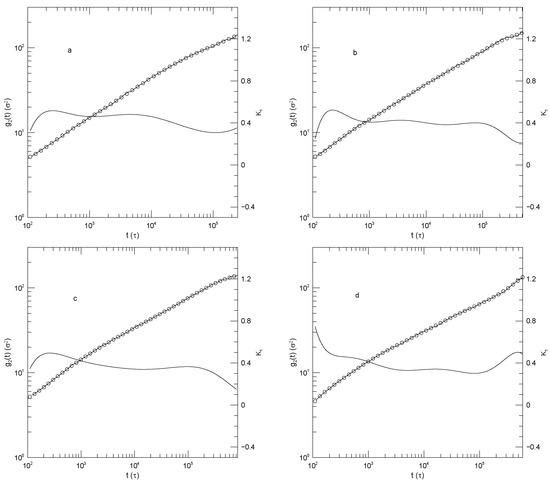
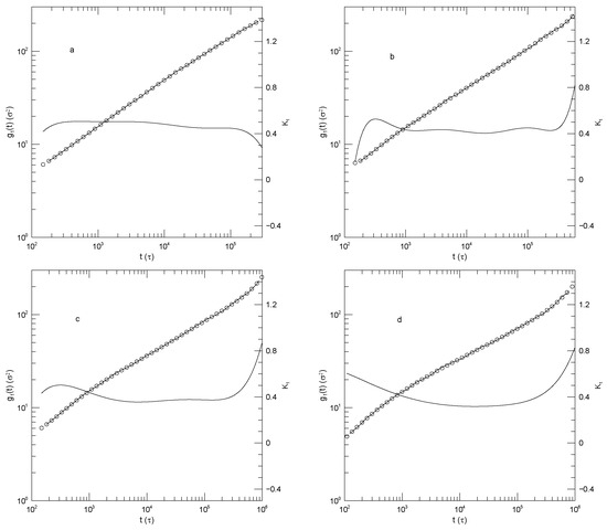
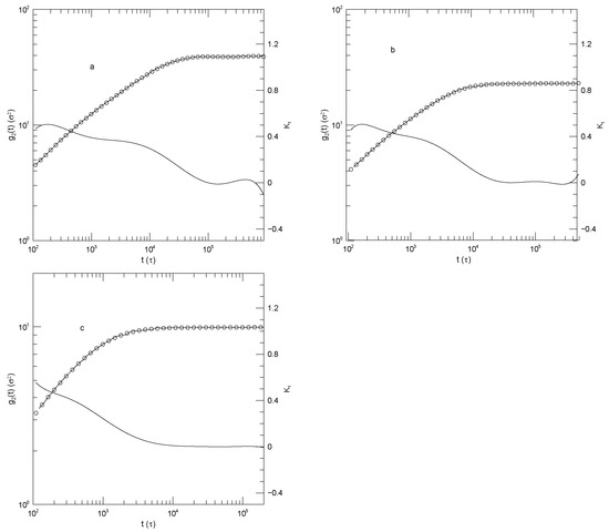
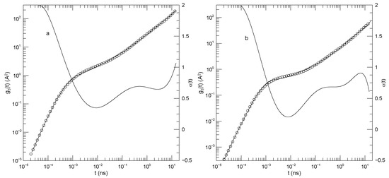
Mean-Square Displacements of Polymers in Simulated Blend Melts
by George D. J. Phillies
Polymers 2025, 17(23), 3140; https://doi.org/10.3390/polym17233140 - 26 Nov 2025
Viewed by 334
Abstract
We apply numerical analysis to interpret reported simulations of polymer blend melts, in particular simulational determinations of mean-square displacements g(t) of polymer beads and polymer centers of mass. Our interest is a quantitative comparison of g(t) with [...] Read more.
We apply numerical analysis to interpret reported simulations of polymer blend melts, in particular simulational determinations of mean-square displacements g(t) of polymer beads and polymer centers of mass. Our interest is a quantitative comparison of g(t) with theoretical models that predict g(t). Many models predict that g(t) can be described as a sequence of power-law regimes g(t)tα. In each regime, α has a model-predicted value. We find that these models are not consistent with simulations of blend melts. Instead, g(t) generally has a single power-law regime and (when those times are reached) a long-time diffusive (α1) regime. Outside these two regions, if one writes g(t)tα, then α is a smoothly-changing function of time. Full article
(This article belongs to the Section Polymer Physics and Theory)
Show Figures

Graphical abstract

Back to TopTop