Sign in to use this feature.

Years

Between: -

Article Types

Countries / Regions

remove_circle_outline
remove_circle_outline
remove_circle_outline
remove_circle_outline
remove_circle_outline
remove_circle_outline
remove_circle_outline
remove_circle_outline
remove_circle_outline
remove_circle_outline
remove_circle_outline

Search Results (23,078)

Search Parameters:
Journal = Animals

Order results
Result details
Results per page
Select all
Export citation of selected articles as:
19 pages, 4043 KB  
Article
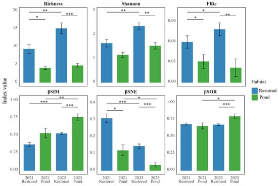
Ecological Trade-Offs Between Mangrove Expansion and Waterbird Diversity: Guild-Specific Responses to Pond-to-Mangrove Restoration
by Cheng Cheng, Miaomiao He, Cairong Zhong, Xiaobo Lv, Haijie Yang and Wenqing Wang
Animals 2026, 16(2), 299; https://doi.org/10.3390/ani16020299 - 19 Jan 2026
Abstract
Coastal pond-to-mangrove restoration has become a prominent Nature-based Solution, yet its short-term ecological effects on waterbird communities remain unclear. We assessed taxonomic, functional, and compositional responses of waterbirds to large-scale restoration in Bamen Bay, Hainan Island, using BACI-style comparisons between restored and unrestored [...] Read more.
Coastal pond-to-mangrove restoration has become a prominent Nature-based Solution, yet its short-term ecological effects on waterbird communities remain unclear. We assessed taxonomic, functional, and compositional responses of waterbirds to large-scale restoration in Bamen Bay, Hainan Island, using BACI-style comparisons between restored and unrestored aquaculture ponds in 2021 and 2023. Restored areas exhibited higher taxonomic α diversity and functional richness (p < 0.001), coinciding with rapid habitat diversification following hydrological reconnection. Species richness (p < 0.001), Shannon diversity (p < 0.01), and functional richness (p < 0.01) were consistently higher in restored areas than in aquaculture ponds. In contrast, β diversity patterns diverged between habitats: restored areas remained relatively stable, whereas aquaculture ponds showed greater between-year compositional change (p < 0.05). Guild-specific responses revealed contrasting patterns: herons showed higher diversity in restored habitats (p < 0.05), whereas shorebirds exhibited no significant changes (p > 0.05), consistent with their dependence on open mudflats that were only partially retained. Although no significant declines were detected, functional richness tended to be lower in 2023 (p > 0.05), and ongoing mudflat loss suggests potential long-term risks for mudflat specialists, warranting extended monitoring. Taken together, our findings suggest that effective pond-to-mangrove restoration in Bamen Bay should balance mangrove expansion with the retention of tidal flats and managed shallow-water habitats to support diverse waterbird assemblages. Full article
(This article belongs to the Special Issue Advances in Migratory Shorebird Ecology and Conservation)
Show Figures

Figure 1

9 pages, 577 KB  
Article
Evaluation of the Prevalence of Genetic Variants at the Nebulette Locus in Cavalier King Charles Spaniels
by Caroline Melis, Claire Wade, Claudia Rozendom, Frank G. van Steenbeek and Niek J. Beijerink
Animals 2026, 16(2), 298; https://doi.org/10.3390/ani16020298 - 19 Jan 2026
Abstract
The Cavalier King Charles Spaniel (CKCS) exhibits an unusually high prevalence of myxomatous mitral valve disease (MMVD). A potential link to MMVD for risk allele variants near the heart-specific nebulette (NEBL) gene has been identified. Although these risk allele variants seemed fixed in [...] Read more.
The Cavalier King Charles Spaniel (CKCS) exhibits an unusually high prevalence of myxomatous mitral valve disease (MMVD). A potential link to MMVD for risk allele variants near the heart-specific nebulette (NEBL) gene has been identified. Although these risk allele variants seemed fixed in the CKCS, wild-type (i.e., healthy) allele variants at NEBL1-3 have likewise been found in a larger cohort, in which it was associated with less severe heart enlargement. The frequency of the wild-type allele variants in the asymptomatic breeding population is unknown. Therefore, the aim of this study was to investigate the wild-type allele variants frequency through prospective genetic testing in a large sample of CKCS that were intended for breeding in both the Netherlands and Australia. Blood samples of 370 CKCS with an unknown genetic status were collected, of which 175 from the Netherlands, and 195 from Australia. Deoxyribonucleic acid (DNA) was extracted for the genotyping of NEBL allele variants. No dog was homozygous for the wild-type allele variants. Only one dog from the Netherlands was heterozygous, while nine dogs from Australia were heterozygous. The prevalence of heterozygous dogs in the Australian breeding population was low (4.6%), but significantly higher compared to the prevalence in the Dutch breeding population (0.57%). In conclusion, selective breeding for the wild-type allele variants on its own would significantly reduce the number of breeding individuals and would add to the existing genetic bottleneck. The selective breeding of CKCS for wild-type allele variants should not be undertaken on its own due to the low prevalence in this breed and the polygenic character of the disease. Full article
(This article belongs to the Section Veterinary Clinical Studies)
Show Figures

Figure 1

15 pages, 6161 KB  
Article
Differential Expression and Analysis of TBX3 Gene in Skin Tissues of Dun Mongolian Horses with and Without Bider Markings
by Tana An and Manglai Dugarjaviin
Animals 2026, 16(2), 297; https://doi.org/10.3390/ani16020297 - 18 Jan 2026
Abstract
(1) Background: The dun coat color, a wild-type phenotype in horses characterized by pigment dilution and primitive markings, is regulated by TBX3. This study explored the expression and localization of TBX3 in the Bider marking (a primitive mark unique to the shoulder [...] Read more.
(1) Background: The dun coat color, a wild-type phenotype in horses characterized by pigment dilution and primitive markings, is regulated by TBX3. This study explored the expression and localization of TBX3 in the Bider marking (a primitive mark unique to the shoulder of horses); (2) Methods: We compared skin tissues from Bider-marked and non-Bider dun Mongolian horses. Samples were collected from the Bider area (dark-colored/light-colored shoulder), dorsal midline, and croup. Histological staining, qRT-PCR, and Western blotting were used to analyze pigment distribution and TBX3 expression at mRNA and protein levels; (3) Results: Histology revealed asymmetric pigment deposition in hair shafts from light-colored areas of both Bider and non-Bider horses, whereas dark areas showed symmetric distribution. qRT-PCR and Western blotting showed TBX3 expression was significantly higher in the shoulder of non-Bider horses compared to Bider horses. Conversely, Bider horses exhibited higher TBX3 levels in all other sampled areas. Immunohistochemistry localized TBX3 protein to the epidermis and hair follicle bulbs in both groups; (4) Conclusions: In dun Mongolian horses, TBX3 expression differences between dark and light skin areas correlate with Bider markings. TBX3 is implicated in this specific pigment marking, though its upstream regulation requires further study. These findings provide key insights into the mechanism behind Bider marking formation. Full article
(This article belongs to the Special Issue Advances in Genetic Variability and Selection of Equines)
Show Figures

Figure 1

14 pages, 1505 KB  
Article
DOG1 Immunohistochemical Expression in Normal and Neoplastic Canine Tissues: Is It Only a Marker for GISTs?
by Maria Morini, Francesca Gobbo, Luciana Mandrioli and Giuliano Bettini
Animals 2026, 16(2), 295; https://doi.org/10.3390/ani16020295 - 18 Jan 2026
Abstract
DOG1 is a transmembrane protein highly expressed in human GISTs. In dogs, DOG1 has been studied to a limited extent in GISTs, where its diagnostic value is considered comparable to KIT, while its expression in other canine tissues remains uncharacterized. The aim of [...] Read more.
DOG1 is a transmembrane protein highly expressed in human GISTs. In dogs, DOG1 has been studied to a limited extent in GISTs, where its diagnostic value is considered comparable to KIT, while its expression in other canine tissues remains uncharacterized. The aim of this study is to assess the expression of DOG1 in canine normal and neoplastic tissues, with particular emphasis on a large cohort of GISTs to verify their diagnostic role in comparison with KIT. To achieve this, we analyzed a total of 143 FFPE samples of normal (n = 55) and neoplastic canine tissues (n = 88) by immunohistochemistry. DOG1 was strongly expressed in several cell types, with distribution and intensity patterns that partially overlap those reported in humans. In canine GISTs, DOG1 showed strong and widespread reactivity with a sensitivity slightly inferior to KIT (92% vs. 96%); however, one intestinal mesenchymal tumor KIT-negative/DOG1-positive highlights the importance of combining both markers to maximize the correct diagnosis. Moderate to strong immunohistochemistry for DOG1 has been found in several other tumors, sometimes comparable to that of GISTs. This suggests that DOG1 should not be associated exclusively with GISTs and may provide a basis for further investigation into the role of DOG1 in canine malignancy. Full article
(This article belongs to the Section Veterinary Clinical Studies)
Show Figures

Figure 1

10 pages, 1301 KB  
Brief Report
The Seasonal Spatial Distribution Pattern and Migration of Kishi Velvet Shrimp Metapenaeopsis dalei in the Southern Yellow and East China Seas
by Min Xu, Xiaojing Song, Yang Xu, Jianzhong Ling and Huiyu Li
Animals 2026, 16(2), 296; https://doi.org/10.3390/ani16020296 - 18 Jan 2026
Abstract
It is important to understand the ecological information of Metapenaeopsis dalei to better conserve and manage the stocks in Asia. In this study, we employed research vessels to collect the field data including biomass and number of M. dalei in each survey stations [...] Read more.
It is important to understand the ecological information of Metapenaeopsis dalei to better conserve and manage the stocks in Asia. In this study, we employed research vessels to collect the field data including biomass and number of M. dalei in each survey stations along with environmental data including depth, water temperature, and salinity from November 2018 to September 2019 in the region of 26.50–35.00° N and 120.00–127.00° E in the southern Yellow and East China Seas of China. We found that the annual mean catch per unit effort of weight and number (CPUEw and CPUEn) was 15,235.89 g∙h−1 and 17,319.13 ind∙h−1, respectively. Metapenaeopsis dalei was found in 10–130 m. The greatest biomass occurred at 10–20 m in spring, 30–40 m in summer, 10–100 m in autumn, and 10–40 m in winter. The greatest abundance occurred at sea bottom temperature (SBT) 14–15 °C in spring, 19 °C in summer, 15–20 °C in autumn, and 10–12 °C in winter. The greatest abundance occurred at sea bottom salinity (SBS) 32–33 in spring, 32 in summer, 32–35 in autumn, and 31–32 in winter. We found the lowest SBT of M. dalei at 10–11 °C in spring and summer. The juveniles were found at SBT 21 °C and SBS 34 in autumn. The total CPUEw and CPUEn rankings were winter > spring > autumn > summer, and the mean average individual weight (AIW) ranking was summer > spring > winter > autumn. Fishing grounds of Haizhou Bay–Lvsi and Zhoushan–Yushan may be the spawning grounds for M. dalei. These findings can benefit fishery management action and planning in the future. Full article
(This article belongs to the Section Aquatic Animals)
Show Figures

Figure 1

19 pages, 1174 KB  
Article
Modelling Nitrogen Excretion in Dairy Cows: An Application to Farms in the Po Valley (Italy)
by Valentina Caprarulo, Elena Scaglia, Anna Simonetto, Giulia Ferronato, Valeria Sergi, Laura Giagnoni and Gianni Gilioli
Animals 2026, 16(2), 294; https://doi.org/10.3390/ani16020294 - 17 Jan 2026
Viewed by 68
Abstract
Effective nitrogen management in dairy cow diets is essential for optimising milk production and minimising environmental nitrogen emissions. This study develops a simplified model to estimate nitrogen excretion in dairy farms, distinguishing excretion by animal category (lactating cows, heifers, calves) and organic matrix [...] Read more.
Effective nitrogen management in dairy cow diets is essential for optimising milk production and minimising environmental nitrogen emissions. This study develops a simplified model to estimate nitrogen excretion in dairy farms, distinguishing excretion by animal category (lactating cows, heifers, calves) and organic matrix (faeces, urine), with nitrogen intake as a key input. A comprehensive literature review guided the selection of equations for estimating nitrogen excretion based on dietary nitrogen content, dry matter intake and milk yield. The model was specifically calibrated for Holstein dairy herd in the Po Valley (Italy) context using data collected from ten Lombardy dairy farms over 30 months, focusing on diet composition and nitrogen excretion via faeces, urine, and milk. Validation against established the literature and the Nitrates Directive (91/676/EEC) excretion factors demonstrated the model’s alignment in estimating nitrogen excretion. Within this context, the proposed framework may support nitrogen management at farm level by providing a practical, descriptive tool to explore nitrogen flows and to identify potential areas for improving nutrient efficiency and reducing environmental impacts. Full article
(This article belongs to the Topic The Environmental Footprint of Animal Production)
Show Figures

Figure 1

20 pages, 890 KB  
Article
Identifying the Genetic Basis of Fetal Loss in Cows and Heifers Through a Genome-Wide Association Analysis
by Ousseini Issaka Salia, Emaly M. Suarez, Brenda M. Murdoch, Victoria C. Kelson, Allison L. Herrick, Jennifer N. Kiser and Holly L. Neibergs
Animals 2026, 16(2), 293; https://doi.org/10.3390/ani16020293 - 17 Jan 2026
Viewed by 72
Abstract
Fetal loss, the spontaneous termination of pregnancy between day 42 and 260 of gestation, is poorly understood. Impacts of fetal loss include loss of production, increased health risk, and economic loss. The aims of this study were to identify loci associated with fetal [...] Read more.
Fetal loss, the spontaneous termination of pregnancy between day 42 and 260 of gestation, is poorly understood. Impacts of fetal loss include loss of production, increased health risk, and economic loss. The aims of this study were to identify loci associated with fetal loss in Holstein heifers and primiparous cows to facilitate the selection of reproductively efficient cattle and identify the genetic causes of fetal loss. A genome-wide association analysis (GWAA) compared 5714 heifers that calved at term (controls) to 416 heifers that experienced fetal loss (cases), and for primiparous cows, 2519 controls were compared to 273 cases. The efficient mixed-model association eXpedited approach in the SNP and Variation Suite (v 9.1) statistical software was used with additive, dominant, and recessive inheritance models for the GWAA. In heifers, 16 loci were associated (FDR < 0.05) with fetal loss in the recessive model. In primiparous cows, there were 44 loci associated (FDR < 0.05) with fetal loss in the recessive model. No loci associated with fetal loss were shared between cows and heifers or in the additive and dominant models. These results improve the characterization of genetic factors contributing to fetal loss in Holstein heifers and primiparous cows and provide targets for genomic selection. Full article
(This article belongs to the Section Animal Genetics and Genomics)
Show Figures

Figure 1

11 pages, 2412 KB  
Article
Accuracy of Plain Digital Radiography for the Detection of Gastrointestinal Masses in Dogs and Cats
by Keaton Cortez, Agustina Anson, Leslie Schwarz, Nathan Biedak, Tatiana Noel and Adam South
Animals 2026, 16(2), 292; https://doi.org/10.3390/ani16020292 - 17 Jan 2026
Viewed by 52
Abstract
Abdominal radiography is commonly used as an initial diagnostic tool in dogs and cats with gastrointestinal (GI) signs. Historically, abdominal radiographs were considered unreliable for detecting GI masses, with detection rates below 50%. The purpose of this retrospective, case–control study was to determine [...] Read more.
Abdominal radiography is commonly used as an initial diagnostic tool in dogs and cats with gastrointestinal (GI) signs. Historically, abdominal radiographs were considered unreliable for detecting GI masses, with detection rates below 50%. The purpose of this retrospective, case–control study was to determine the accuracy of abdominal radiographs in identifying the presence and location of GI masses and to assess the influence of the reviewer experience. Radiographs from 114 dogs and 111 cats were reviewed by two board-certified radiologists, one first year radiology resident, and one rotating intern. Patients were categorized into three groups: animals with a GI mass greater than 2 cm (dogs n = 44; cats n = 41), animals with a normal abdomen (both n = 50), and animals with abdominal disease but no GI mass (both n = 20). Reviewers demonstrated high specificity but low sensitivity for both detection and localization of GI masses. Sensitivity for detecting a mass ranged from 34 to 64% in dogs and 36 to 71% in cats; specificity exceeded 87% in dogs and 92% in cats. Sensitivity for location identification ranged from 9 to 58% in dogs and 21 to 68% in cats; specificity exceeded 76% in dogs and 81% in cats. No statistically significant differences in detection rates were found among reviewers. The accuracy of plain digital radiography for the detection of gastrointestinal masses in dogs (75%) and cats (81%) is better than previously reported film radiography but remains inferior to other imaging modalities. However, its high specificity supports its clinical utility in ruling out gastrointestinal masses. Full article
(This article belongs to the Special Issue Abdominal Imaging in Small Animals: New Insights)
Show Figures

Figure 1

14 pages, 720 KB  
Article
Both Season and Equid Type Affect Endogenous Adrenocorticotropic Hormone Concentrations in Healthy Donkeys, Mules and Hinnies in the United States
by Erin L. Goodrich, Sebastián Gonzalo Llanos-Soto, Renata Ivanek, Toby Pinn-Woodcock, Elisha Frye, Amy Wells, Stephen R. Purdy, Emily Berryhill and Ned J. Place
Animals 2026, 16(2), 290; https://doi.org/10.3390/ani16020290 - 16 Jan 2026
Viewed by 85
Abstract
Baseline plasma ACTH concentrations are frequently utilized as part of the diagnostic evaluation of equids when PPID is suspected. Baseline ACTH can be impacted by many factors including time of year, i.e., ACTH has generally been found to be elevated during late summer [...] Read more.
Baseline plasma ACTH concentrations are frequently utilized as part of the diagnostic evaluation of equids when PPID is suspected. Baseline ACTH can be impacted by many factors including time of year, i.e., ACTH has generally been found to be elevated during late summer through early autumn in the northern hemisphere. An understanding of ACTH concentrations in healthy equids over the course of a year is useful for the proper interpretation of concentrations in PPID-suspect animals. Previous studies assessing ACTH concentrations in healthy donkeys (Equus asinus) and hybrids (E. asinus x E. caballus) are limited, often utilizing very small numbers, equids from specific and limited geographical regions, limited timeframes or unspecified donkey types (miniature, standard, or mammoth). We aimed to characterize the seasonal variation in baseline ACTH concentrations in healthy miniature donkeys, standard donkeys and hybrids in the United States (US) and to compare those concentrations across these groups. Following outlier removal, 19 standard donkeys (from California (CA), Massachusetts (MA), New York (NY)), 14 miniature donkeys (CA and NY), and 28 hybrids (Texas (TX) and NY) were utilized for analysis. Samples were collected from each equid twice per month from June to November 2019 and once per month from December 2019 through May 2020. The mean ACTH concentration of all equids was higher from mid-August through the end of October compared to the rest of the year (being the highest in the second half of September with the mean (standard deviation) values of 109.6 (52.6), 134.6 (67.4), and 100.8 (189.6) in standard donkeys, miniature donkeys, and hybrids, respectively). Additionally, ACTH concentrations in hybrids were 23% (95% Confidence Interval (CI): 4–38%) and 51% (95% CI: 36–63%) lower than in standard and miniature donkeys, respectively, from mid-August through October. During the rest of the year, hybrids similarly showed 31% (95% CI: 16–43%) and 30% (95% CI: 15–42%) lower ACTH concentrations compared with standard and miniature donkeys, respectively. Full article
(This article belongs to the Special Issue Current Research on Donkeys and Mules: Second Edition)
30 pages, 751 KB  
Hypothesis
Bonded Green Exercise: A One Health Framework for Shared Nature-Based Physical Activity in the Human–Dog Dyad
by Krista B. Halling, Mark Bowden, Jules Pretty and Jennifer Ogeer
Animals 2026, 16(2), 291; https://doi.org/10.3390/ani16020291 - 16 Jan 2026
Viewed by 109
Abstract
Modern lifestyles are increasingly plagued by physical inactivity, social disconnection, digital addiction, and excessive time indoors—factors that negatively impact the health and well-being of both humans and their companion dogs (Canis familiaris). Evidence shows that nature exposure, physical activity, and human–animal [...] Read more.
Modern lifestyles are increasingly plagued by physical inactivity, social disconnection, digital addiction, and excessive time indoors—factors that negatively impact the health and well-being of both humans and their companion dogs (Canis familiaris). Evidence shows that nature exposure, physical activity, and human–animal bond (HAB) each enhance physical, mental, and social well-being, yet these domains have rarely been examined together as an integrated therapeutic triad. We introduce a new conceptual framework of bonded green exercise, defined as shared physical activity between a bonded human and dog in natural environments. Synthesizing existing evidence across human and canine sciences into a testable conceptual integration, we posit that bonded green exercise may plausibly activate evolutionarily conserved, synergistic mechanisms of physiological, behavioural, and affective co-regulation. Four testable hypotheses are proposed: (H1) triadic synergy: combined domains produce greater benefits than additive effects; (H2) heterospecific benefit: parallel health gains occur in both species; (H3) behavioural amplification: dogs acts as catalysts to drive human participation in nature-based activity; and (H4) scalable health promotion: bonded green exercise represents a low-cost, accessible, One Health approach with population-level potential. This framework highlights how intentional, shared physical activity in nature may potentially offer a novel low-cost and accessible model for enhancing health, lifespan, welfare, and ecological stewardship across species. Full article
(This article belongs to the Special Issue Second Edition: Research on the Human–Companion Animal Relationship)
12 pages, 331 KB  
Article
Environmental Variables in the Mexican Tropics and Their Relationship to Management and Welfare in Crossbreed Zebu Cattle
by Miguel A. Damián Valdez, Virginio Aguirre, Saul Rojas Hernández, Jaime Olivares Pérez, Mariana Pedernera, Abel Villa Mancera, Lucero Sarabia Salgado, Agustín Olmedo-Juárez, Fredy Quiroz Cardoso and Moises Cipriano Salazar
Animals 2026, 16(2), 288; https://doi.org/10.3390/ani16020288 - 16 Jan 2026
Viewed by 86
Abstract
Most animal welfare (AW) assessment protocols have been developed for intensive production systems and European cattle, raising concerns about their applicability in the tropics. To compare the results obtained by using the welfare quality (WQ) assessment for fattening cattle in the dry tropics, [...] Read more.
Most animal welfare (AW) assessment protocols have been developed for intensive production systems and European cattle, raising concerns about their applicability in the tropics. To compare the results obtained by using the welfare quality (WQ) assessment for fattening cattle in the dry tropics, relevant modifications were implemented in 20 cattle production units (PUs) during the dry (DS) and rainy (RS) seasons. Regarding the principle of good feeding, only during the RS, between 20% and 25% of the farms maintained their animals in the acceptable and good categories, compared to the DS, where all PUs were classified as unacceptable (p < 0.04). Under the “Appropriate Behavior” principle, only 15% and 60% of the PUs maintained their animals at good and acceptable levels, respectively, in the RS, but not in the DS (p < 0.001). Conversely, during the DS, better scores were obtained for the measures and criteria in the Good housing group, with 45%, 50%, and 5% of PU classified as acceptable, good, and excellent, respectively, while for the RS, only 15%, 30%, and 5% reached these levels (p < 0.01). Meanwhile, under the “Good Health” principle, better animal health scores were observed during the RS, with 20%, 30%, and 50% of farms classified as acceptable, good, and excellent, compared to the DS, where only 70% and 10% of farms maintained their animals at good and excellent levels (p < 0.01). It is concluded that better animal welfare (AW) indicators were recorded during the RS, and the adjustments we applied to the conventional WQ protocol comprised a modification for the criterion that included the prolonged absence of thirst as well as adding six new indicators (measures) to the principles of housing, health, and behavior, which are considered essential for evaluating AW in cattle that are managed under extensive conditions by season. Full article
(This article belongs to the Special Issue Methodological Advancements in Predicting Gas Emissions of Livestock)
Show Figures

Figure 1

23 pages, 1041 KB  
Article
Dietary Green-Algae Chaetomorpha linum Extract Supplementation on Growth, Digestive Enzymes, Antioxidant Defenses, Immunity, Immune-Related Gene Expression, and Resistance to Aeromonas hydrophila in Adult Freshwater Snail, Bellamya bengalensis
by Hairui Yu, Govindharajan Sattanathan, Mansour Torfi Mozanzadeh, Pitchai Ruba Glory, Swaminathan Padmapriya, Thillainathan Natarajan, Ramasamy Rajesh and Sournamanikam Venkatalakshmi
Animals 2026, 16(2), 289; https://doi.org/10.3390/ani16020289 - 16 Jan 2026
Viewed by 91
Abstract
Macroalgae plays a significant role in the formulation of innovative and environmentally sustainable approaches to address food challenges. Specifically, green macroalgae serve as dietary supplements aimed at improving the health, growth, and feeding efficiency of various species of marine and freshwater fishes, as [...] Read more.
Macroalgae plays a significant role in the formulation of innovative and environmentally sustainable approaches to address food challenges. Specifically, green macroalgae serve as dietary supplements aimed at improving the health, growth, and feeding efficiency of various species of marine and freshwater fishes, as well as mollusks. The effects of Chaetomorpha linum extract (CLE) on growth performance, physiological responses, and disease resistance are studied in Bellamya bengalensis against Aeromonas hydrophila. In this experiment, adult B. bengalensis (4412 ± 165.25 mg) were randomly divided into 15 rectangular glass aquariums (35 snail/aquaria; 45 L capacity) and their basal diet was supplemented with different levels of CLE, including 0 (CLE0), 1 (CLE1), 2 (CLE2), 3 (CLE3), and 4 (CLE4) g/kg for 60 days. The growth performance in the CLE3 dietary group was significantly higher that of the CLE0 group, exhibiting both linear and quadratic trends in relation to dietary CLE levels (p < 0.05). The activities of pepsin, amylase, and lipase were found to be highest in CLE3 and lowest in CLE0. Both linear and quadratic responses to dietary CLE levels in digestive enzymes were observed (p < 0.05). The activities of superoxide dismutase and catalase in the hepatopancreas were found to be elevated in snails due to the synergistic effect of the supplemented CLE diet. Among different levels of diet given, CLE2-supplemented snails showed an increase in their enzyme activity (p < 0.05). Interestingly, all the CLE-treated snails expressed elevated levels of mucus lysozyme and mucus protein when compared to control (p < 0.05). Additionally, hepatopancreatic acid phosphatase and alkaline phosphatase activity were elevated in snails consuming CLE3 (p < 0.05). The transcription levels of immune-related genes, including mucin-5ac and cytochrome, were significantly elevated in snails that were fed a diet supplemented with 2–4 g of CLE/kg. Furthermore, the transcription level of the acid phosphatase-like 7 protein gene also increased in snails receiving CLE-supplemented diets. After a 14-day period of infection, snails that consumed a diet supplemented with 3–4 g/kg of CLE exhibited a notable increase in survival rates against virulent A. hydrophila. Based on the above findings, it is suggested that a diet supplemented with 3 g/kg of CLE may enhance growth, antioxidant and immune defense, and disease resistance in the freshwater snail B. bengalensis. Full article
Show Figures

Figure 1

18 pages, 3059 KB  
Article
Heavy Metal Bioaccumulation in European Eels (Anguilla anguilla) from the Odra and Vistula River Basins (Poland): Implications for Environmental and Food Safety
by Joanna Nowosad, Tomasz K. Czarkowski, Andrzej Kapusta, Natalia Mariańska, Piotr Chmieliński, Bartosz Czarnecki, Jakub Pyka, Michał K. Łuczyński, Gulmira Ablaisanova and Dariusz Kucharczyk
Animals 2026, 16(2), 287; https://doi.org/10.3390/ani16020287 - 16 Jan 2026
Viewed by 68
Abstract
The accumulation of heavy metals in fish tissues is widely recognized as an indicator of aquatic environmental pollution, and the analysis of their content provides a basis for assessing ecological risk and the safety of aquatic food. The European eel (Anguilla anguilla [...] Read more.
The accumulation of heavy metals in fish tissues is widely recognized as an indicator of aquatic environmental pollution, and the analysis of their content provides a basis for assessing ecological risk and the safety of aquatic food. The European eel (Anguilla anguilla) is a species frequently used as a bioindicator in environmental studies due to its wide geographic distribution, long life cycle, and high capacity for bioaccumulation of heavy metals in various tissues. The aim of this study was to assess the variation in the accumulation of heavy metals, i.e., mercury (Hg), lead (Pb), arsenic (As), and cadmium (Cd), in the tissues (muscle, liver, gonads, and gills) of European eels caught in two locations in Polish inland waters. The obtained results showed significant differences both in the concentration levels of individual elements and in their co-occurrence in the examined tissues. The statistical methods used, including correlation analysis, heat maps, and principal component analysis (PCA), allowed for a comprehensive assessment of the relationships between metals and the identification of factors differentiating the studied populations. The obtained results clearly indicate that fish residing in similar environments for long periods exhibit significant differences in heavy metal content in various fish tissues. Fish obtained from environments with potentially higher levels of heavy metal inputs, such as the Oder River EMU compared with the Vistula River EMU, showed higher levels of heavy metal accumulation in tissues. This study also found that the concentration of heavy metals tested did not exceed the safe standards for human fish consumption. Full article
(This article belongs to the Section Aquatic Animals)
11 pages, 3186 KB  
Article
Whole-Genome Sequencing Reveals Genetic Diversity and Structure of Taiwan Commercial Red-Feathered Country Chickens
by Ya-Wen Hsiao, Kang-Yi Su and Chi-Sheng Chang
Animals 2026, 16(2), 286; https://doi.org/10.3390/ani16020286 - 16 Jan 2026
Viewed by 76
Abstract
Whole-genome sequencing is a powerful approach for exploring genomic diversity in livestock species. Chickens (Gallus gallus) are an important food source worldwide, and in Taiwan, poultry production contributes substantially to the livestock industry. Taiwan’s commercial red- and black-feathered country chickens dominate [...] Read more.
Whole-genome sequencing is a powerful approach for exploring genomic diversity in livestock species. Chickens (Gallus gallus) are an important food source worldwide, and in Taiwan, poultry production contributes substantially to the livestock industry. Taiwan’s commercial red- and black-feathered country chickens dominate this category and play a crucial role in local poultry production. However, fundamental genomic information on their population structure remains limited. To address this gap, this study generated whole-genome sequencing data from red-feathered country chickens originating from four major breeding farms. Genetic diversity analyses revealed uniformly low genetic diversity across all farms. Runs of homozygosity (ROH) analyses indicated predominantly historical inbreeding, with farm-specific differences in recent inbreeding patterns. Population structure analyses revealed clear clustering of individuals according to farm origin, indicating distinct line structures among breeding farms. These results provide the first comprehensive genomic overview of Taiwan’s commercial red-feather country chickens and offer valuable reference information for future breeding strategies and the development of new lines. Full article
(This article belongs to the Section Poultry)
Show Figures

Figure 1

23 pages, 1174 KB  
Article
Size-Dependent Tissue Translocation and Physiological Responses to Dietary Polystyrene Microplastics in Salmo trutta
by Buumba Hampuwo, Anna Duenser, Elias Lahnsteiner, Thomas Friedrich and Franz Lahnsteiner
Animals 2026, 16(2), 285; https://doi.org/10.3390/ani16020285 - 16 Jan 2026
Viewed by 78
Abstract
Microplastics (MPs) are prevalent in freshwater systems; consequently, fish ingest them either accidentally or intentionally. Once ingested, MPs can translocate to various organs and cause physiological effects. Most studies have focused on tropical and marine fishes, and many have used mass-based methods that [...] Read more.
Microplastics (MPs) are prevalent in freshwater systems; consequently, fish ingest them either accidentally or intentionally. Once ingested, MPs can translocate to various organs and cause physiological effects. Most studies have focused on tropical and marine fishes, and many have used mass-based methods that measure exposure only by the total mass of microplastics, ignoring particle number and size. These studies have also rarely examined MP effects or fate after a depuration period, limiting our understanding of MP impacts on temperate fishes, hindering the harmonisation of toxicological studies, and complicating assessments of food safety for cultured and wild fish. This study investigated the physiological impacts of dietary exposure to polystyrene microplastics (PS-MPs; 1–10 µm) in Salmo trutta fed a diet with ~5.4 × 106 PS-MPs g−1 feed for 21 days, followed by a 90-day depuration period. PS-MPs translocation from the intestine to the liver and muscle was investigated. Enzymatic biomarkers of oxidative stress and metabolism were analysed in the liver, digestive enzyme activity was assessed in the intestine, and inflammatory enzyme responses were evaluated in both liver and intestinal tissues. In addition, malondialdehyde (MDA) concentration, an indicator of lipid peroxidation, was quantified in blood, muscle, and liver samples. Results show that 1–5 µm PS-MPs translocated to the liver and muscle, while 10 µm particles largely remained in the intestine, with a small fraction detected in muscle tissue but not in the liver. Most biochemical markers were unaffected; however, both trypsin and peroxidase activities significantly decreased after 21 days, and lipid peroxidation increased in blood following 90 days of depuration. PS-MPs persisted in muscle following 90 days of depuration. These findings demonstrate that dietary exposure to PS-MPs in the size range 1–10 µm leads to selective physiological alterations in S. trutta and results in persistent accumulation of MPs in organs, especially muscle tissue consumed by humans, highlighting a clear concern for food safety. Full article
(This article belongs to the Section Aquatic Animals)
Back to TopTop