Ecological Trade-Offs Between Mangrove Expansion and Waterbird Diversity: Guild-Specific Responses to Pond-to-Mangrove Restoration
Simple Summary
Abstract
1. Introduction
2. Materials and Methods
2.1. Study Area
2.2. Pond-to-Mangrove Restoration in the Study Area
2.3. Bird Surveys
2.4. Data Analysis
2.4.1. Alpha and Beta Diversity
2.4.2. Functional Diversity
2.4.3. Trend Analysis and Statistical Tests
3. Results
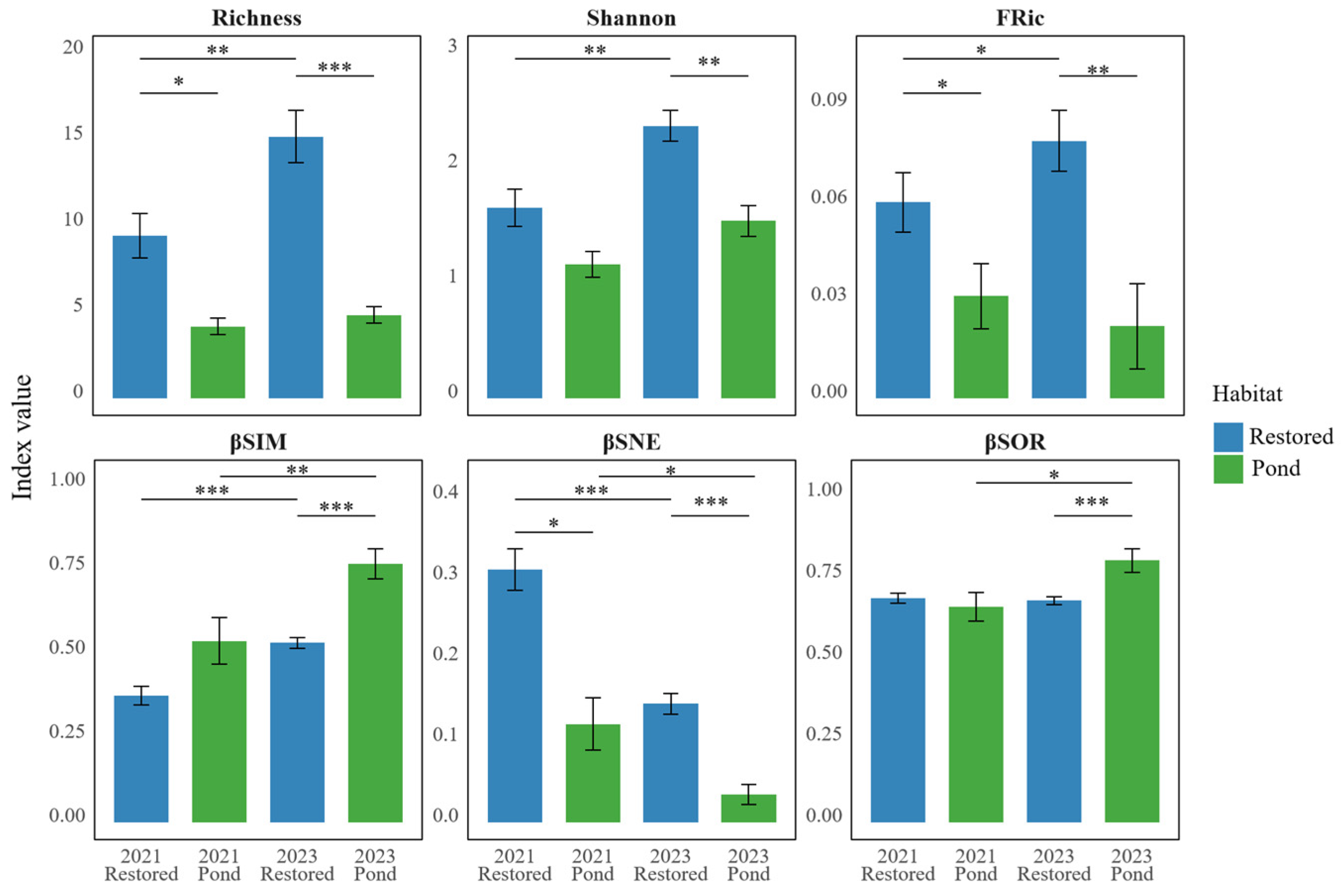
3.1. Responses of Taxonomic and Functional Diversity to Pond-to-Mangrove Restoration
3.2. Comparative Responses of Egrets and Shorebirds to Pond-to-Mangrove Restoration
4. Discussion
4.1. Early Ecological Responses to Pond-to-Mangrove Restoration
4.2. Guild-Specific Responses to Pond-to-Mangrove Restoration
4.3. Implications for Ecological Restoration and Management
4.4. Research Limitations and Future Directions
5. Conclusions
Supplementary Materials
Author Contributions
Funding
Institutional Review Board Statement
Informed Consent Statement
Data Availability Statement
Acknowledgments
Conflicts of Interest
References
- Alongi, D.M. The Energetics of Mangrove Forests; Springer: Dordrecht, The Netherlands, 2009; ISBN 978-1-4020-4270-6. [Google Scholar]
- Mitsch, W.J.; Bernal, B.; Hernandez, M.E. Ecosystem Services of Wetlands. Int. J. Biodivers. Sci. Ecosyst. Serv. Manag. 2015, 11, 1006250. [Google Scholar] [CrossRef]
- Feller, I.C.; Lovelock, C.E.; Berger, U.; McKee, K.L.; Joye, S.B.; Ball, M.C. Biocomplexity in Mangrove Ecosystems. Annu. Rev. Mar. Sci. 2010, 2, 395–417. [Google Scholar] [CrossRef] [PubMed]
- Buelow, C.; Sheaves, M. A Birds-Eye View of Biological Connectivity in Mangrove Systems. Estuar. Coast. Shelf Sci. 2015, 152, 33–43. [Google Scholar] [CrossRef]
- Yong, D.L.; Kee, J.Y.; Aung, P.P.; Jain, A.; Yeap, C.-A.; Au, N.J.; Jearwattanakanok, A.; Lim, K.K.; Yu, Y.-T.; Fu, V.W.K.; et al. Conserving Migratory Waterbirds and the Coastal Zone: The Future of South-East Asia’s Intertidal Wetlands. Oryx 2022, 56, 176–183. [Google Scholar] [CrossRef]
- Studds, C.E.; Kendall, B.E.; Murray, N.J.; Wilson, H.B.; Rogers, D.I.; Clemens, R.S.; Gosbell, K.; Hassell, C.J.; Jessop, R.; Melville, D.S.; et al. Rapid Population Decline in Migratory Shorebirds Relying on Yellow Sea Tidal Mudflats as Stopover Sites. Nat. Commun. 2017, 8, 14895. [Google Scholar] [CrossRef]
- Goldberg, L.; Lagomasino, D.; Thomas, N.; Fatoyinbo, T. Global Declines in Human-driven Mangrove Loss. Glob. Chang. Biol. 2020, 26, 5844–5855. [Google Scholar] [CrossRef]
- Jackson, M.V.; Choi, C.-Y.; Amano, T.; Estrella, S.M.; Lei, W.; Moores, N.; Mundkur, T.; Rogers, D.I.; Fuller, R.A. Navigating Coasts of Concrete: Pervasive Use of Artificial Habitats by Shorebirds in the Asia-Pacific. Biol. Conserv. 2020, 247, 108591. [Google Scholar] [CrossRef]
- Friess, D.; Rogers, K.; Lovelock, C.; Krauss, K.; Hamilton, S.; Lee, S.; Lucas, R.; Primavera, J.; Rajkaran, A.; Shi, S. The State of the World’s Mangrove Forests: Past, Present, and Future. Annu. Rev. Environ. Resour. 2019, 44, 89–115. [Google Scholar] [CrossRef]
- Peng, Y.; Li, X.; Wu, K.; Peng, Y.; Chen, G. Effect of an Integrated Mangrove-Aquaculture System on Aquacultural Health. Front. Biol. China 2009, 4, 579–584. [Google Scholar] [CrossRef]
- Zhengyun, Z.; Zhixian, S.; Qiaoying, Z.; Aiying, S. The Current Status of World Protection for Mangrove Forest. Chin. J. Oceanol. Limnol. 2003, 21, 261–269. [Google Scholar] [CrossRef]
- Clemens, R.; Rogers, D.; Hansen, B.; Gosbell, K.; Minton, C.; Straw, P.; Bamford, M.; Woehler, E.; Milton, D.; Weston, M.; et al. Continental-Scale Decreases in Shorebird Populations in Australia. Emu Off. Organ Australas. Ornithol. Union 2016, 116, 119–135. [Google Scholar] [CrossRef]
- Lovelock, C.E.; Bennion, V.; de Oliveira, M.; Hagger, V.; Hill, J.W.; Kwan, V.; Pearse, A.L.; Rossini, R.A.; Twomey, A.J. Mangrove Ecology Guiding the Use of Mangroves as Nature-Based Solutions. J. Ecol. 2024, 112, 2510–2521. [Google Scholar] [CrossRef]
- Seddon, N.; Chausson, A.; Berry, P.; Girardin, C.A.J.; Smith, A.; Turner, B. Understanding the Value and Limits of Nature-Based Solutions to Climate Change and Other Global Challenges. Philos. Trans. R. Soc. Lond. B Biol. Sci. 2020, 375, 20190120. [Google Scholar] [CrossRef]
- Friess, D.A.; Yando, E.S.; Abuchahla, G.M.O.; Adams, J.B.; Cannicci, S.; Canty, S.W.J.; Cavanaugh, K.C.; Connolly, R.M.; Cormier, N.; Dahdouh-Guebas, F.; et al. Mangroves Give Cause for Conservation Optimism, for Now. Curr. Biol. 2020, 30, R153–R154. [Google Scholar] [CrossRef] [PubMed]
- Lee, S.Y.; Hamilton, S.; Barbier, E.B.; Primavera, J.; Lewis, R.R. Better Restoration Policies Are Needed to Conserve Mangrove Ecosystems. Nat. Ecol. Evol. 2019, 3, 870–872. [Google Scholar] [CrossRef] [PubMed]
- Zou, F.; Zhang, H.; Dahmer, T.; Yang, Q.; Cai, J.; Zhang, W.; Liang, C. The effects of benthos and wetland area on shorebird abundance and species richness in coastal mangrove wetlands of Leizhou Peninsula, China. For. Ecol. Manag. 2008, 255, 3813–3818. [Google Scholar] [CrossRef]
- Primavera, J.H. Mangroves, Fishponds, and the Quest for Sustainability. Science 2005, 310, 57–59. [Google Scholar] [CrossRef] [PubMed]
- Luan, B.; Liu, Y.; Che, D.; Zhou, W.; Hu, L.; Lin, Y. Exploring Nature-Based Solutions on Refined Waterbird Habitats Restoration in High-Density Urban Area: A Case Study of the Futian Mangrove National Important Wetland in Shenzhen, China. Landsc. Archit. Front. 2024, 12, 36. [Google Scholar] [CrossRef]
- Choi, C.; Xiao, H.; Jia, M.; Jackson, M.V.; Lai, Y.; Murray, N.J.; Gibson, L.; Fuller, R.A. An Emerging Coastal Wetland Management Dilemma between Mangrove Expansion and Shorebird Conservation. Conserv. Biol. 2022, 36, e13905. [Google Scholar] [CrossRef]
- Zielonka, N.B.; Shutt, J.D.; Butler, S.J.; Dicks, L.V. Management Practices, and Not Surrounding Habitats, Drive Bird and Arthropod Biodiversity within Vineyards. Agric. Ecosyst. Environ. 2024, 367, 108982. [Google Scholar] [CrossRef]
- Villaseñor, N.R.; Muñoz-Pacheco, C.B.; Escobar, M.A.H.; Villaseñor, N.R.; Muñoz-Pacheco, C.B.; Escobar, M.A.H. Opposite Responses of Native and Nonnative Birds to Socioeconomics in a Latin American City. Animals 2024, 14, 299. [Google Scholar] [CrossRef] [PubMed]
- Santos, A.A.d.; Nunes-Freitas, A.F.; Tompson, C.M.; Barbosa, G.; Takahashi, D.; Suyama, Y.; Lira, C.F. Multidisciplinary Assessment of a Restored Mangrove Ecosystem in Guanabara Bay, Brazil: Linking Science and Conservation. Wetl. Ecol. Manag. 2024, 32, 1003–1025. [Google Scholar] [CrossRef]
- Whittaker, R.H. Evolution and Measurement of Species Diversity. Taxon 1972, 21, 213–251. [Google Scholar] [CrossRef]
- Socolar, J.B.; Gilroy, J.J.; Kunin, W.E.; Edwards, D.P. How Should Beta-Diversity Inform Biodiversity Conservation? Trends Ecol. Evol. 2016, 31, 67–80. [Google Scholar] [CrossRef]
- Chase, J.M.; Kraft, N.J.B.; Smith, K.G.; Vellend, M.; Inouye, B.D. Using Null Models to Disentangle Variation in Community Dissimilarity from Variation in α-Diversity. Ecosphere 2011, 2, 2. [Google Scholar] [CrossRef]
- Baselga, A. Partitioning the Turnover and Nestedness Components of Beta Diversity. Glob. Ecol. Biogeogr. 2010, 19, 134–143. [Google Scholar] [CrossRef]
- Legendre, P.; De Cáceres, M. Beta Diversity as the Variance of Community Data: Dissimilarity Coefficients and Partitioning. Ecol. Lett. 2013, 16, 951–963. [Google Scholar] [CrossRef]
- Guo, P.; Lin, Y.; Sheng, Y.; Gu, X.; Deng, Y.; Zhang, Y.; Wang, W.; Wang, M. Comparison of the Coexistence Pattern of Mangrove Macrobenthos between Natural and Artificial Reforestation. Ecol. Evol. 2024, 14, e70069. [Google Scholar] [CrossRef]
- Zhang, Y.; Zhang, L.; Kang, Y.; Li, Y.; Chen, Z.; Li, R.; Tian, C.; Wang, W.; Wang, M. Biotic Homogenization Increases with Human Intervention: Implications for Mangrove Wetland Restoration. Ecography 2022, 2022, e05835. [Google Scholar] [CrossRef]
- Xue, Z.; Tian, Z.; Zhu, Z.H.; Zhao, Y. Monitoring of Inter-Annual Variations in Mangrove Forests in the Bamen Bay Area Based on Google Earth Engine. Remote Sens. Nat. Resour. 2024, 36, 279–286. [Google Scholar] [CrossRef]
- Chen, H.; Li, D.; Chen, Y.; Zhao, Z.; Chen, H.; Li, D.; Chen, Y.; Zhao, Z. Spatial–Temporal Evolution Monitoring and Ecological Risk Assessment of Coastal Wetlands on Hainan Island, China. Remote Sens. 2023, 15, 1035. [Google Scholar] [CrossRef]
- Mo, Y.; Geng, Z.; Wang, C. Current Situation and Protection of Mangrove Resources in Hainan Island. Trop. For. 2002, 30, 46–50. [Google Scholar]
- Strickfaden, K.M.; Fagre, D.A.; Golding, J.D.; Harrington, A.H.; Reintsma, K.M.; Tack, J.D.; Dreitz, V.J. Dependent Double-Observer Method Reduces False-Positive Errors in Auditory Avian Survey Data. Ecol. Appl. 2020, 30, e02026. [Google Scholar] [CrossRef] [PubMed]
- Mortelliti, A.; Westgate, M.; Stein, J.; Wood, J.; Lindenmayer, D.B. Ecological and spatial drivers of population synchrony in bird assemblages. Basic Appl. Ecol. 2015, 16, 269–278. [Google Scholar] [CrossRef]
- Dias, M.P.; Granadeiro, J.P.; Martins, R.C.; Palmeirim, J.M. Estimating the Use of Tidal Flats by Waders: Inaccuracies Due to the Response of Birds to the Tidal Cycle. Bird Study 2006, 53, 32–38. [Google Scholar] [CrossRef]
- McConkey, K.R.; Bell, B.D. Activity and Habitat Use of Waders Are Influenced by Tide, Time and Weather. Emu Austral Ornithol. 2005, 105, 331–340. [Google Scholar] [CrossRef]
- Zheng, G. A Checklist on the Classification and Distribution of the Birds of China, 4th ed.; Science Press: Beijing, China, 2023. [Google Scholar]
- IUCN. The IUCN Red List of Threatened Species; IUCN: Gland, Switzerland, 2024. [Google Scholar]
- Baselga, A.; Orme, C.D.L. Betapart: An R Package for the Study of Beta Diversity. Methods Ecol. Evol. 2012, 3, 808–812. [Google Scholar] [CrossRef]
- Dixon, P. VEGAN, a Package of R Functions for Community Ecology. J. Veg. Sci. 2003, 14, 927–930. [Google Scholar] [CrossRef]
- Tobias, J.A.; Sheard, C.; Pigot, A.L.; Devenish, A.J.M.; Yang, J.; Sayol, F.; Neate-Clegg, M.H.C.; Alioravainen, N.; Weeks, T.L.; Barber, R.A.; et al. AVONET: Morphological, Ecological and Geographical Data for All Birds. Ecol. Lett. 2022, 25, 581–597. [Google Scholar] [CrossRef]
- Wilman, H.; Belmaker, J.; Simpson, J.; De La Rosa, C.; Rivadeneira, M.M.; Jetz, W. EltonTraits 1.0: Species-level Foraging Attributes of the World’s Birds and Mammals: Ecological Archives E095-178. Ecology 2014, 95, 2027. [Google Scholar] [CrossRef]
- Pavoine, S.; Vallet, J.; Dufour, A.-B.; Gachet, S.; Daniel, H. On the Challenge of Treating Various Types of Variables: Application for Improving the Measurement of Functional Diversity. Oikos 2009, 118, 391–402. [Google Scholar] [CrossRef]
- Laliberté, E.; Legendre, P. A Distance-Based Framework for Measuring Functional Diversity from Multiple Traits. Ecology 2010, 91, 299–305. [Google Scholar] [CrossRef] [PubMed]
- Ma, Z.; Cai, Y.; Li, B.; Chen, J. Managing Wetland Habitats for Waterbirds: An International Perspective. Wetlands 2010, 30, 15–27. [Google Scholar] [CrossRef]
- Delany, S.; Scott, D.; Helmink, A.T.F. Waterbird Population Estimates, 4th ed.; Wetlands International: Wageningen, The Netherlands, 2006; ISBN 978-90-5882-031-0. [Google Scholar]
- R Core Team. R: A Language and Environment for Statistical Computing; R Foundation: Vienna, Austria, 2024. [Google Scholar]
- Acevedo, M.A.; Aide, T.M. Bird Community Dynamics and Habitat Associations in Karst, Mangrove and Pterocarpus Forest Fragments in an Urban Zone in Puerto Rico. Caribb. J. Sci. 2008, 44, 402–416. [Google Scholar] [CrossRef]
- Lin, Y.; Luo, Z.; Gu, X.; Deng, Y.; Guo, P.; Chen, G.; Wang, W.; Wang, M. Optimizing Mangrove Afforestation: Mollusc Biodiversity Comparisons Reveal Optimal Mudflat–Mangrove Area Ratio. Ecol. Evol. 2024, 14, e70330. [Google Scholar] [CrossRef]
- Jones, M.J.; Marsden, S.J.; Linsley, M.D. Effects of Habitat Change and Geographical Variation on the Bird Communities of Two Indonesian Islands. Biodivers. Conserv. 2003, 12, 1013–1032. [Google Scholar] [CrossRef]
- Kathiresan, K.; Bingham, B.L. Biology of Mangroves and Mangrove Ecosystems. Adv. Mar. Biol. 2001, 40, 81–251. [Google Scholar]
- Akram, H.; Hussain, S.; Mazumdar, P.; Chua, K.O.; Butt, T.E.; Harikrishna, J.A. Mangrove Health: A Review of Functions, Threats, and Challenges Associated with Mangrove Management Practices. Forests 2023, 14, 1698. [Google Scholar] [CrossRef]
- Leung, J.Y.S. Habitat Heterogeneity Affects Ecological Functions of Macrobenthic Communities in a Mangrove: Implication for the Impact of Restoration and Afforestation. Glob. Ecol. Conserv. 2015, 4, 423–433. [Google Scholar] [CrossRef]
- Canales-Delgadillo, J.C.; Perez-Ceballos, R.; Zaldivar-Jimenez, M.A.; Merino-Ibarra, M.; Cardoza, G.; Cardoso-Mohedano, J.G. The Effect of Mangrove Restoration on Avian Assemblages of a Coastal Lagoon in Southern Mexico. PeerJ 2019, 7, e7493. [Google Scholar] [CrossRef]
- Mohd-Taib, F.S.; Mohd-Saleh, W.; Asyikha, R.; Mansor, M.S.; Ahmad-Mustapha, M.; Mustafa-Bakray, N.A.; Mod-Husin, S.; Md-Shukor, A.; Amat-Darbis, N.D.; Sulaiman, N. Effects of anthropogenic disturbance on the species assemblages of birds in the back mangrove forests. Wetl. Ecol. Manag. 2020, 28, 479–494. [Google Scholar] [CrossRef]
- Holguin, G.; Vazquez, P.; Bashan, Y. The Role of Sediment Microorganisms in the Productivity, Conservation, and Rehabilitation of Mangrove Ecosystems: An Overview. Biol. Fertil. Soils 2001, 33, 265–278. [Google Scholar] [CrossRef]
- Sandilyan, S.; Kathiresan, K. Density of Waterbirds in Relation to Habitats of Pichavaram Mangroves, Southern India. J. Coast. Conserv. 2015, 19, 131–139. [Google Scholar] [CrossRef]
- Teng, J.; Zhu, Y.; Duan, H.; Yu, X.; Xia, S.; Wang, R.; Yang, H. Linking hydrological connectivity and waterbirds habitat suitability in floodplain Wetlands: Implications for wetland management. Ecol. Indic. 2025, 176, 113663. [Google Scholar] [CrossRef]
- Kelly, J.P.; Stralberg, D.; Etienne, K.; McCaustland, M. Landscape Influence on the Quality of Heron and Egret Colony Sites. Wetlands 2008, 28, 257–275. [Google Scholar] [CrossRef]
- Cardarelli, E.; Fasola, M.; Martinoli, A.; Pellitteri-Rosa, D. Long-Term Changes in Food Intake by Grey Herons (Ardea cinerea), Black-Crowned Night-Herons (Nycticorax nycticorax) and Little Egrets (Egretta garzetta) Foraging in Rice Fields in Italy. Waterbirds 2017, 40, 344–352. [Google Scholar] [CrossRef]
- Barnagaud, J.Y.; Devictor, V.; Jiguet, F.; Archaux, F. When Species Become Generalists: On-Going Large-Scale Changes in Bird Habitat Specialization: Temporal Trends in Bird Specialization. Glob. Ecol. Biogeogr. 2011, 20, 630–640. [Google Scholar] [CrossRef]
- Yang, X.; Duan, Z.; Hu, Y.; Liu, J.; Xu, Y.; Hu, H.; Hua, G.; Liu, X.; Gan, J.; Zeng, X.; et al. Mangrove Planting Strategies Should Consider the Optimal Ratio between the Area of Tidal Flats and the Area of Mangroves. Ocean Coast. Manag. 2021, 213, 105875. [Google Scholar] [CrossRef]
- Huang, S.-C.; Shih, S.-S.; Ho, Y.-S.; Chen, C.-P.; Hsieh, H.-L. Restoration of Shorebird-Roosting Mudflats by Partial Removal of Estuarine Mangroves in Northern Taiwan. Restor. Ecol. 2012, 20, 76–84. [Google Scholar] [CrossRef]
- Choi, C.; Shi, X.; Shi, J.; Gan, X.; Wen, C.; Zhang, J.; Jackson, M.V.; Fuller, R.A.; Gibson, L. China’s Ecological Conservation Redline Policy Is a New Opportunity to Meet Post-2020 Protected Area Targets. Conserv. Lett. 2022, 15, e12853. [Google Scholar] [CrossRef]
- Renzi, J.J.; He, Q.; Silliman, B.R. Harnessing Positive Species Interactions to Enhance Coastal Wetland Restoration. Front. Ecol. Evol. 2019, 7, 131. [Google Scholar] [CrossRef]
- Li, C.; Chen, J.; Liao, X.; Ramus, A.P.; Angelini, C.; Liu, L.; Silliman, B.R.; Bertness, M.D.; He, Q. Shorebirds-Driven Trophic Cascade Helps Restore Coastal Wetland Multifunctionality. Nat. Commun. 2023, 14, 8076. [Google Scholar] [CrossRef]
- Li, X.; Bellerby, R.; Craft, C.; Widney, S.E. Coastal Wetland Loss, Consequences, and Challenges for Restoration. Anthr. Coasts 2018, 1, 1–15. [Google Scholar] [CrossRef]
- Xu, L.; Guan, Q.; Lu, K.; Liu, J.; Ming, X.; Liu, M.; Wu, H. Food Web Restoration Lags behind Biological Communities: A Case Study from a Floodplain Wetland. Hydrobiologia 2024, 851, 2609–2626. [Google Scholar] [CrossRef]
- Taddeo, S.; Dronova, I. Indicators of Vegetation Development in Restored Wetlands. Ecol. Indic. 2018, 94, 454–467. [Google Scholar] [CrossRef]
- Yang, W.; Tanner, C.C.; Holland, P.; Qu, Z. Dynamic Economic Valuation of Coastal Wetland Restoration: A Nature-Based Solution for Climate and Biodiversity. Environ. Chall. 2025, 20, 101182. [Google Scholar] [CrossRef]
- Stralberg, D.; Applegate, D.L.; Phillips, S.J.; Herzog, M.P.; Nur, N.; Warnock, N. Optimizing Wetland Restoration and Management for Avian Communities Using a Mixed Integer Programming Approach. Biol. Conserv. 2009, 142, 94–109. [Google Scholar] [CrossRef]
- Lewis, R.R. Ecological Engineering for Successful Management and Restoration of Mangrove Forests. Ecol. Eng. 2005, 24, 403–418. [Google Scholar] [CrossRef]
- Cheng, C.; Liu, J.; Ma, Z. Effects of Aquaculture on the Maintenance of Waterbird Populations. Conserv. Biol. 2022, 36, e13913. [Google Scholar] [CrossRef]
- Guo, P.; Lin, Y.; Du, L.; Gu, X.; Deng, Y.; Wang, W.; Wang, M. Long-Term Vegetation Succession Increases Aquatic Animal Structural Stability and Functional Vulnerability Following Pond-to-Mangrove Restoration. Glob. Ecol. Conserv. 2025, 62, e03838. [Google Scholar] [CrossRef]
- McClure, P.W. Evaluating Research When “No Significant Differences Were Found”: The Issue of Statistical Power. J. Hand Ther. 1998, 11, 212–213. [Google Scholar] [CrossRef]
- Mc New, L.B.; Handel, C.M. Evaluating Species Richness: Biased Ecological Inference Results from Spatial Heterogeneity in Detection Probabilities. Ecol. Appl. 2015, 25, 1669–1680. [Google Scholar] [CrossRef] [PubMed]
- Noble, C.D.; Peres, C.A.; Gilroy, J.J. Accounting for Imperfect Detection When Estimating Species-Area Relationships and Beta-Diversity. Ecol. Evol. 2024, 14, e70017. [Google Scholar] [CrossRef] [PubMed]
- Anderson, M.J.; Crist, T.O.; Chase, J.M.; Vellend, M.; Inouye, B.D.; Freestone, A.L.; Sanders, N.J.; Cornell, H.V.; Comita, L.S.; Davies, K.F.; et al. Navigating the Multiple Meanings of β Diversity: A Roadmap for the Practicing Ecologist. Ecol. Lett. 2011, 14, 19–28. [Google Scholar] [CrossRef] [PubMed]
- White, E.P.; Ernest, S.K.M.; Adler, P.B.; Hurlbert, A.H.; Lyons, S.K. Integrating Spatial and Temporal Approaches to Understanding Species Richness. Philos. Trans. R. Soc. Lond. B Biol. Sci. 2010, 365, 3633–3643. [Google Scholar] [CrossRef]
- Sebastián-González, E.; Green, A.J. Habitat Use by Waterbirds in Relation to Pond Size, Water Depth, and Isolation: Lessons from a Restoration in Southern Spain. Restor. Ecol. 2014, 22, 311–318. [Google Scholar] [CrossRef]
- Li, S.; Cui, B.; Xie, T.; Zhang, K. Diversity Pattern of Macrobenthos Associated with Different Stages of Wetland Restoration in the Yellow River Delta. Wetlands 2016, 36, 57–67. [Google Scholar] [CrossRef]
- Ram, M.; Sheaves, M.; Waltham, N.J. Mangrove Restoration Reinstates Similar Macrobenthos Communities to Natural Mangroves in Guyana, South America. ICES J. Mar. Sci. 2025, 82, fsae172. [Google Scholar] [CrossRef]
- Zhen, W.; Kwan, K.Y.; Wang, C.-C.; Wu, X.; Guo, G.; Deng, Q.; Huang, X.; Wang, X.; Zhu, J.; Xu, P. Community Structure of Benthic Macroinvertebrates in Native and Introduced Mangroves of Northern Beibu Gulf, China: Implication for Restoring Mangrove Ecosystems. Mar. Pollut. Bull. 2022, 180, 113796. [Google Scholar] [CrossRef]




| Waterbird Groups | Scientific Name | Year 2021 | Year 2023 | ||
|---|---|---|---|---|---|
| Restoration Zone | Aquaculture Ponds | Restoration Zone | Aquaculture Ponds | ||
| Shorebirds | Actitis hypoleucos | √ | √ | √ | √ |
| Calidris ruficollis | √ | - | - | - | |
| Calidris subminuta | - | - | √ | - | |
| Calidris temminckii | √ | - | - | - | |
| Calidris tenuirostris | √ | - | - | - | |
| Charadrius alexandrinus | √ | - | - | - | |
| Charadrius dubius | √ | - | √ | - | |
| Charadrius leschenaultii | - | - | √ | - | |
| Charadrius mongolus | √ | √ | √ | - | |
| Gallinago gallinago | √ | - | - | - | |
| Gallinago stenura | √ | - | - | - | |
| Himantopus himantopus | √ | - | √ | - | |
| Limosa limosa | √ | - | - | - | |
| Pluvialis fulva | √ | √ | √ | - | |
| Tringa glareola | √ | - | √ | - | |
| Tringa nebularia | √ | √ | √ | √ | |
| Tringa ochropus | √ | - | - | - | |
| Tringa stagnatilis | √ | √ | √ | - | |
| Tringa totanus | √ | - | √ | - | |
| Xenus cinereus | - | - | √ | - | |
| Egrets | Ardea alba | √ | √ | √ | √ |
| Ardea cinerea | - | - | √ | - | |
| Ardea intermedia | √ | - | √ | - | |
| Ardea purpurea | - | - | √ | - | |
| Ardeola bacchus | √ | √ | √ | √ | |
| Bubulcus ibis | √ | - | √ | - | |
| Butorides striata | √ | - | - | √ | |
| Egretta garzetta | √ | √ | √ | √ | |
| Ixobrychus cinnamomeus | - | - | √ | - | |
| Nycticorax nycticorax | - | - | √ | - | |
Disclaimer/Publisher’s Note: The statements, opinions and data contained in all publications are solely those of the individual author(s) and contributor(s) and not of MDPI and/or the editor(s). MDPI and/or the editor(s) disclaim responsibility for any injury to people or property resulting from any ideas, methods, instructions or products referred to in the content. |
© 2026 by the authors. Licensee MDPI, Basel, Switzerland. This article is an open access article distributed under the terms and conditions of the Creative Commons Attribution (CC BY) license.
Share and Cite
Cheng, C.; He, M.; Zhong, C.; Lv, X.; Yang, H.; Wang, W. Ecological Trade-Offs Between Mangrove Expansion and Waterbird Diversity: Guild-Specific Responses to Pond-to-Mangrove Restoration. Animals 2026, 16, 299. https://doi.org/10.3390/ani16020299
Cheng C, He M, Zhong C, Lv X, Yang H, Wang W. Ecological Trade-Offs Between Mangrove Expansion and Waterbird Diversity: Guild-Specific Responses to Pond-to-Mangrove Restoration. Animals. 2026; 16(2):299. https://doi.org/10.3390/ani16020299
Chicago/Turabian StyleCheng, Cheng, Miaomiao He, Cairong Zhong, Xiaobo Lv, Haijie Yang, and Wenqing Wang. 2026. "Ecological Trade-Offs Between Mangrove Expansion and Waterbird Diversity: Guild-Specific Responses to Pond-to-Mangrove Restoration" Animals 16, no. 2: 299. https://doi.org/10.3390/ani16020299
APA StyleCheng, C., He, M., Zhong, C., Lv, X., Yang, H., & Wang, W. (2026). Ecological Trade-Offs Between Mangrove Expansion and Waterbird Diversity: Guild-Specific Responses to Pond-to-Mangrove Restoration. Animals, 16(2), 299. https://doi.org/10.3390/ani16020299

