Precision Grinding Technology of Silicon Carbide (SiC) Ceramics by Longitudinal Torsional Ultrasonic Vibrations
Abstract
1. Introduction
- (1)
- High requirements for surface integrity of the processed material. With regular milling and wheel milling, there are often fine surface cracks, broken material edges and poor surface roughness.
- (2)
- Low processing efficiency. SiC has a Mohs hardness of 9.25–9.5; with the traditional chemical mechanical polishing (CMP) to remove material to a 1–2 μm depth, it takes tens of hours to complete.
- (3)
- Hard and brittle material process performance is poor. SiC is increasingly in demand as a hard and brittle material in new energy vehicles, optics, smart grid and other applications. These materials have excellent mechanical properties but also imply difficulties in processing, and the current processing process for hard and brittle materials is not yet mature.
2. Cutting Force Modeling
2.1. Study on Material Removal Mechanism of Ceramic Materials
2.2. Analysis of the Cutting Force Model
- (1)
- The diamond abrasive particles on the surface of the grinding head are evenly distributed; the size is the same, and the exposed height of the abrasive particles is equal; and the diamond abrasive particles are approximately seen as a rigid regular octahedron.
- (2)
- The diamond abrasive particles on the surface of the grinding head are involved in the grinding process.
- (3)
- The SiC ceramic material is removed in accordance with the brittle fracture mode.
2.3. Establishment of the Cutting Force Model
2.4. Determination of the Cut Force Model Coefficient K
3. Experimental Details
3.1. Experiment Setup
3.2. Experiment Design
3.2.1. Longitudinal Torsion Compound Ultrasonic Vibration Scratch Experiment
3.2.2. Longitudinal Torsion Compound Ultrasonic Vibration Grinding Experiment
4. Results and Discussion
4.1. Scratch Experimental Results and Analysis
4.1.1. Analysis of the Effect of the Ultrasound Amplitude on The Scratching Force
4.1.2. Analysis of the Effect of Ultrasonic Amplitude on the Quality of Scratched Surfaces
4.1.3. Analysis of the Effect of Ultrasonic Amplitude on the Depth of Cut of Brittle–Plastic Transformation
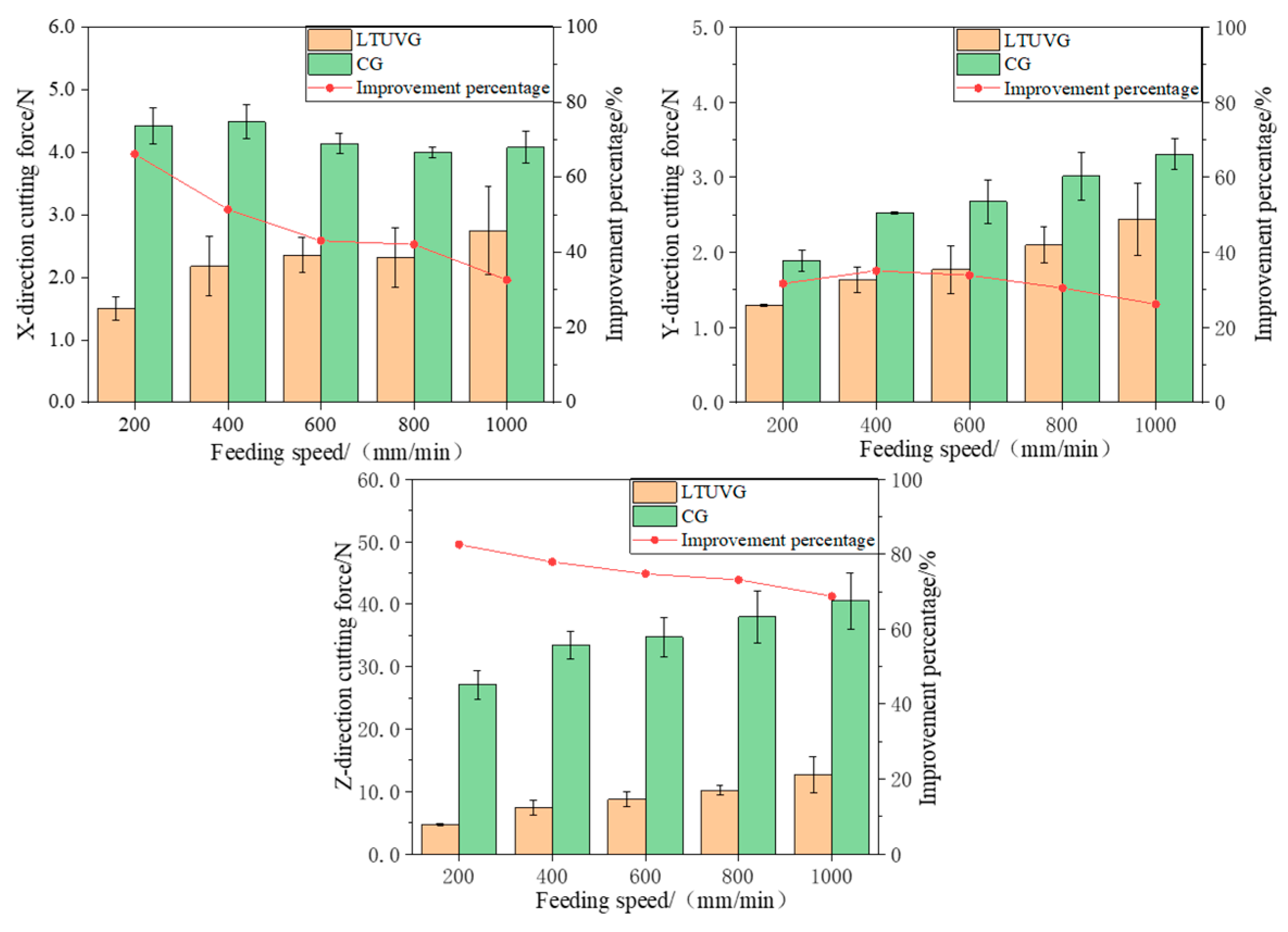
4.2. Cutting Force
4.2.1. Effect of Spindle Speed on Cutting Force
4.2.2. Effect of Feed Rate on Cutting Force
4.2.3. Effect of Depth of Cut on Cutting Force
4.3. Surface Roughness
4.3.1. Effect of Spindle Speed on Surface Roughness
4.3.2. Effect of Feed Rate on Surface Roughness
4.3.3. Effect of Depth of Cut on Surface Roughness
4.4. Subsurface Crack28
4.4.1. Effect of Spindle Speed on Subsurface Cracking
4.4.2. Effect of Feed Rate on Subsurface Cracking
4.4.3. Effect of Depth of Cut on Subsurface Cracking
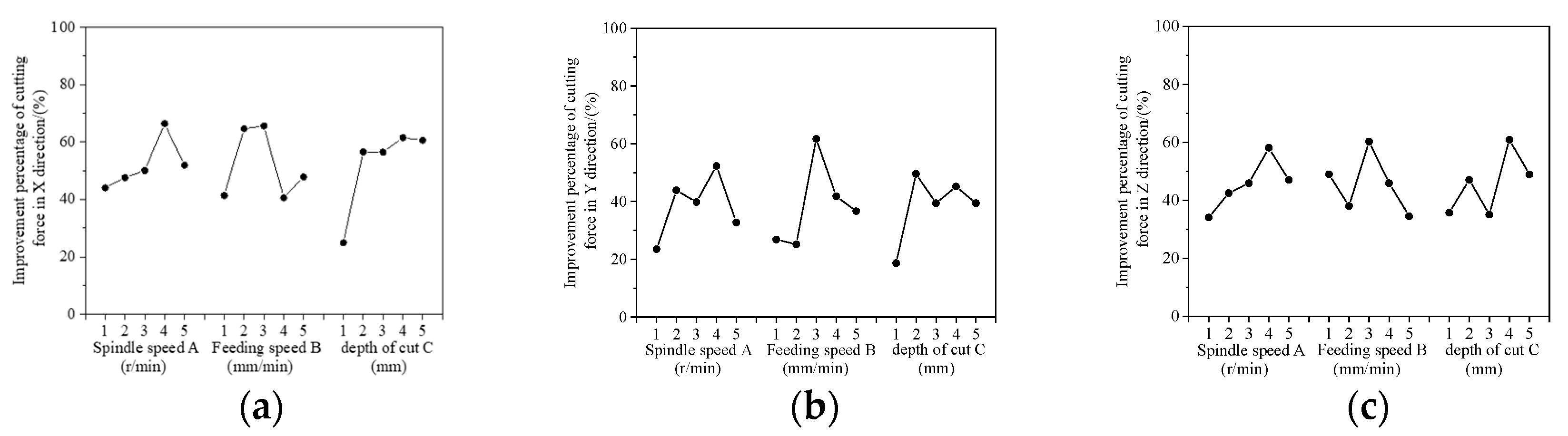
4.5. Results and Analysis of Multi-Factor Experiments
4.5.1. Orthogonal Experimental Protocol
4.5.2. Orthogonal Experiment Results
5. Conclusions
- (1)
- The cutting force of longitudinal torsional ultrasonic scratching was reduced by a maximum of 62.26% compared to that of common scribing, and the depth of brittle–plastic transformation of SiC ceramics was increased by 35.29%.
- (2)
- A cutting force model of the longitudinal torsional ultrasonic vibrations for grinding SiC ceramics was developed. The predicted results were in good agreement with the experimental results, and the maximum error was less than 15%.
- (3)
- The maximum percentage improvement of cutting force was 82.59%, the maximum percentage improvement of surface roughness was 22.78% and the maximum percentage improvement of maximum crushing depth of subsurface cracks was 30.75% after the application of longitudinal torsional ultrasonic vibration.
- (4)
- The cutting force was improved sequentially with cutting depth, feed rate and spindle speed. The optimum process parameters for cutting force improvement were a spindle speed of 22,000 rpm, a feed rate of 600 mm/min and a cutting depth of 0.011 mm.
Author Contributions
Funding
Institutional Review Board Statement
Informed Consent Statement
Data Availability Statement
Acknowledgments
Conflicts of Interest
References
- Dai, C.; Yin, Z.; Wang, P.; Miao, Q.; Chen, J. Analysis on Ground Surface in Ultrasonic Face Grinding of Silicon Carbide (SiC) Ceramic with Minor Vibration Amplitude. Ceram. Int. 2021, 47, 21959–21968. [Google Scholar] [CrossRef]
- Zhang, D.Y.; Xin, W.L.; Jiang, X.G. Research Trends of Ultrasonic Machining Technology. J. Electr. Process. Mold 2016, S1, 11–13. [Google Scholar]
- Ahn, B.W.; Lee, S.H. Characterization and acoustic emission monitoring of AFM nanomachining. J. Micromech. Microeng. 2009, 19, 45028. [Google Scholar] [CrossRef]
- Goel, S.; Luo, X.; Comley, P. Brittle–ductile transition during diamond turning of single crystal silicon carbide. Int. J. Mach. Tools Manuf. 2013, 65, 15–21. [Google Scholar] [CrossRef]
- Zhang, K.; Yin, Z.; Dai, C.; Miao, Q.; Zhang, P.; Cao, Z. Material Removal Mechanism of SiC Ceramics by Elliptic Ultrasonic Vibration-Assisted Grinding (EUVAG) Using Single Grain. Ceram. Int. 2023, 49, 10041–10055. [Google Scholar] [CrossRef]
- Li, L.; Wan, L.; Zhou, Q. Crack propagation during Vickers indentation of zirconia ceramics. Ceram. Int. 2020, 46, 21311–21318. [Google Scholar] [CrossRef]
- Wang, D.; Liang, Q.; Xu, D. Research on Damage Characteristics of Ultrasonic Vibration-Assisted Grinding of a C/SIC Composite Material. Sensors 2023, 23, 224. [Google Scholar] [CrossRef]
- Wang, D.; Fan, H.; Xu, D.; Zhang, Y. Research on Grinding Force of Ultrasonic Vibration-Assisted Grinding of C/SiC Composite Materials. Appl. Sci. 2022, 12, 352. [Google Scholar] [CrossRef]
- Dai, J.; Su, H.; Hu, H.; Yu, T.; Zhou, W.; Ding, W.; Ji, S.; Zheng, Y. The Influence of Grain Geometry and Wear Conditions on the Material Removal Mechanism in Silicon Carbide Grinding with Single Grain. Ceram. Int. 2017, 43, 11973–11980. [Google Scholar] [CrossRef]
- Cao, J.; Zhang, Q. Material Removal Behavior in Ultrasonic Assisted Grinding of SiC Ceramics. Jixie Gongcheng Xuebao/J. Mech. Eng. 2019, 55, 205–211. [Google Scholar] [CrossRef]
- Ding, K.; Li, Q.; Zhang, C. Experimental Studies on Material Removal Mechanisms in Ultrasonic Assisted Grinding of SiC Ceramics with a Defined Grain Distribution Brazed Grinding Wheel. Int. J. Adv. Manuf. Technol. 2021, 116, 3663–3676. [Google Scholar] [CrossRef]
- Zhou, M.; Zhao, P. Prediction of Critical Cutting Depth for Ductile-Brittle Transition in Ultrasonic Vibration Assisted Grinding of Optical Glasses. Int. J. Adv. Manuf. Technol. 2016, 86, 1775–1784. [Google Scholar] [CrossRef]
- Zhang, Z.; Tong, J.; Zhao, J.; Jiao, F.; Zai, P.; Liu, Z. Experimental Study on Surface Residual Stress of Titanium Alloy Curved Thin-Walled Parts by Ultrasonic Longitudinal-Torsional Composite Milling. Int. J. Adv. Manuf. Technol. 2021, 115, 1021–1035. [Google Scholar] [CrossRef]
- Xu, L. Study on Surface Quality of Ultrasonic Vibration Grinding of Sic Ceramic; Suzhou University of Science and Technology: Suzhou, China, 2019. [Google Scholar]
- Agarwal, S.; Rao, P.V. Experimental Investigation of Surface/Subsurface Damage Formation and Material Removal Mechanisms in SiC Grinding. Int. J. Mach. Tools Manuf. 2008, 48, 698–710. [Google Scholar] [CrossRef]
- Cao, J.; Wu, Y.; Lu, D.; Fujimoto, M.; Nomura, M. Fundamental Machining Characteristics of Ultrasonic Assisted Internal Grinding of SiC Ceramics. Mater. Manuf. Process. 2014, 29, 557–563. [Google Scholar] [CrossRef]
- Zeng, W.M.; Li, Z.C.; Pei, Z.J.; Treadwell, C. Experimental Observation of Tool Wear in Rotary Ultrasonic Machining of Advanced Ceramics. Int. J. Mach. Tools Manuf. 2005, 45, 1468–1473. [Google Scholar] [CrossRef]
- Zeng, W.; Xu, X.; Pei, Z. Experimental Investigation of Tool Wear in Rotary Ultrasonic Machining of Alumina. Key Eng. Mater. 2009, 416, 182–186. [Google Scholar] [CrossRef]
- Ding, K.; Fu, Y.; Su, H.; Gong, X.; Wu, K. Wear of Diamond Grinding Wheel in Ultrasonic Vibration-Assisted Grinding of Silicon Carbide. Int. J. Adv. Manuf. Technol. 2014, 71, 1929–1938. [Google Scholar] [CrossRef]
- Dong, G.; Lang, C.; Li, C. Formation mechanism and modelling of exit edge-chipping during ultrasonic vibration grinding of deep-small holes of microcrystalline-mica ceramics. Ceram. Int. 2020, 46, 12458–12469. [Google Scholar] [CrossRef]
- Sun, G.; Shi, F.; Ma, Z. Effects of axial ultrasonic vibration on grinding quality in peripheral grinding and end grinding of ULE. Int. J. Adv. Manuf. Technol. 2020, 109, 2285–2298. [Google Scholar] [CrossRef]
- Marshall, D.B.; Lawn, B.R.; Evans, A.G. Elastic/Plastic Indentation Damage in Ceramics: The Lateral Crack System. J. Am. Ceram. Soc. 1982, 65, 561–566. [Google Scholar] [CrossRef]
- Bi, Z.; Tokura, H.; Yoshikawa, M. Study on surface cracking of alumina scratched by single-point diamonds. J. Mater. Sci. 1988, 23, 3214–3224. [Google Scholar] [CrossRef]































| Elastic Modulus [GPa] | Poisson’s Ratio | Fracture Toughness [MPa·m1/2] | Hardness [GPa] |
|---|---|---|---|
| 410 | 0.14 | 3.9 | 33 |
| Spindle Speed [rpm] | Feeding Speed [mm/min] | ap [mm] | ae [mm] | Ultrasonic Amplitude[μm] |
|---|---|---|---|---|
| 16,000/18,000/20,000/ 22,000/24,000 | 400 | 0.005 | 6 | A1 = 3.85, A2 = 7.65 |
| 24,000 | 200/400/600/ 800/1000 | 0.005 | 6 | 0 |
| 16,000/18,000/20,000/ 22,000/24,000 | 400 | 0.005 | 6 | A1 = 8.07, A2 = 5.07 |
| 24,000 | 200/400/600/ 800/1000 | 0.005 | 6 | A1 = 8.07, A2 = 5.07 |
| Scribing Speed [mm/min] | Scribing Depth [mm] | Ultrasonic Amplitude [μm] |
|---|---|---|
| 50 | 0–0.030 | 5.07 |
| 50 | 0–0.030 | 8.07 |
| 50 | 0–0.030 | 0 |
| Spindle Speed [rpm] | Feeding Speed [mm/min] | Ap [mm] | Ae [mm] | Ultrasonic Amplitude |
|---|---|---|---|---|
| 16,000/18,000/20,000/ 22,000/24,000 | 400 | 0.005 | 4 | /0 |
| 24,000 | 200/400/600/800/1000 | 0.005 | 4 | /0 |
| 24,000 | 400 | 0.005/0.007/0.009/ 0.011/0.013 | 4 | /0 |
| Factors | Spindle Speed A [rpm] | Feeding Speed B [mm/min] | ap C [mm] | |
|---|---|---|---|---|
| Level | ||||
| 1 | 16,000 | 200 | 0.005 | |
| 2 | 18,000 | 400 | 0.007 | |
| 3 | 20,000 | 600 | 0.009 | |
| 4 | 22,000 | 800 | 0.011 | |
| 5 | 24,000 | 1000 | 0.013 | |
| Experiment Number | Spindle Speed A [rpm] | Feeding Speed B [mm/min] | ap C [mm] |
|---|---|---|---|
| 1 | 16,000 | 200 | 0.005 |
| 2 | 16,000 | 400 | 0.009 |
| 3 | 16,000 | 600 | 0.013 |
| 4 | 16,000 | 800 | 0.007 |
| 5 | 16,000 | 1000 | 0.011 |
| 6 | 18,000 | 200 | 0.013 |
| 7 | 18,000 | 400 | 0.007 |
| 8 | 18,000 | 600 | 0.011 |
| 9 | 18,000 | 800 | 0.005 |
| 10 | 18,000 | 1000 | 0.009 |
| 11 | 20,000 | 200 | 0.011 |
| 12 | 20,000 | 400 | 0.005 |
| 13 | 20,000 | 600 | 0.009 |
| 14 | 20,000 | 800 | 0.013 |
| 15 | 20,000 | 1000 | 0.007 |
| 16 | 22,000 | 200 | 0.009 |
| 17 | 22,000 | 400 | 0.013 |
| 18 | 22,000 | 600 | 0.007 |
| 19 | 22,000 | 800 | 0.011 |
| 20 | 22,000 | 1000 | 0.005 |
| 21 | 24,000 | 200 | 0.007 |
| 22 | 24,000 | 400 | 0.011 |
| 23 | 24,000 | 600 | 0.005 |
| 24 | 24,000 | 800 | 0.009 |
| 25 | 24,000 | 1000 | 0.013 |
| Factors | Spindle Speed A [rpm] | Feeding Speed B [mm/min] | ap C [mm] | |
|---|---|---|---|---|
| Levels | ||||
| Average value 1 | 44.07% | 41.39% | 24.86% | |
| Average value 2 | 47.64% | 64.65% | 56.57% | |
| Average value 3 | 50.05% | 65.63% | 56.48% | |
| Average value 4 | 66.45% | 40.57% | 61.55% | |
| Average value 5 | 51.92% | 47.89% | 60.67% | |
| Maximum value | 66.45% | 65.63% | 61.55% | |
| Minimum value | 44.07% | 40.57% | 24.86% | |
| Range | 22.38% | 25.06% | 36.68% | |
| Factors | Spindle Speed A [rpm] | Feeding Speed B [mm/min] | ap C [mm] | |
|---|---|---|---|---|
| Levels | ||||
| Average value 1 | 23.55% | 26.88% | 18.67% | |
| Average value 2 | 43.92% | 25.23% | 49.54% | |
| Average value 3 | 39.84% | 61.71% | 39.47% | |
| Average value 4 | 52.29% | 41.84% | 45.20% | |
| Average value 5 | 32.77% | 36.69% | 39.48% | |
| Maximum value | 52.29% | 61.71% | 49.54% | |
| Minimum value | 23.55% | 25.23% | 18.67% | |
| Range | 28.73% | 36.48% | 30.87% | |
| Factor | Spindle Speed A [rpm] | Feeding Speed B [mm/min] | ap C [mm] | |
|---|---|---|---|---|
| Levels | ||||
| Average value 1 | 34.14% | 49.04% | 35.77% | |
| Average value 2 | 42.54% | 38.05% | 47.14% | |
| Average value 3 | 45.97% | 60.30% | 35.13% | |
| Average value 4 | 58.16% | 45.92% | 60.91% | |
| Average value 5 | 47.08% | 34.58% | 48.95% | |
| Maximum value | 58.16% | 60.30% | 60.91% | |
| Minimum value | 34.14% | 34.58% | 35.13% | |
| Range | 24.02% | 25.72% | 25.78% | |
Disclaimer/Publisher’s Note: The statements, opinions and data contained in all publications are solely those of the individual author(s) and contributor(s) and not of MDPI and/or the editor(s). MDPI and/or the editor(s) disclaim responsibility for any injury to people or property resulting from any ideas, methods, instructions or products referred to in the content. |
© 2023 by the authors. Licensee MDPI, Basel, Switzerland. This article is an open access article distributed under the terms and conditions of the Creative Commons Attribution (CC BY) license (https://creativecommons.org/licenses/by/4.0/).
Share and Cite
Ye, Z.; Wen, X.; Wan, W.; Liu, F.; Bai, W.; Xu, C.; Chen, H.; Gong, P.; Han, G. Precision Grinding Technology of Silicon Carbide (SiC) Ceramics by Longitudinal Torsional Ultrasonic Vibrations. Materials 2023, 16, 5572. https://doi.org/10.3390/ma16165572
Ye Z, Wen X, Wan W, Liu F, Bai W, Xu C, Chen H, Gong P, Han G. Precision Grinding Technology of Silicon Carbide (SiC) Ceramics by Longitudinal Torsional Ultrasonic Vibrations. Materials. 2023; 16(16):5572. https://doi.org/10.3390/ma16165572
Chicago/Turabian StyleYe, Zejiu, Xu Wen, Weiqiang Wan, Fuchu Liu, Wei Bai, Chao Xu, Hui Chen, Pan Gong, and Guangchao Han. 2023. "Precision Grinding Technology of Silicon Carbide (SiC) Ceramics by Longitudinal Torsional Ultrasonic Vibrations" Materials 16, no. 16: 5572. https://doi.org/10.3390/ma16165572
APA StyleYe, Z., Wen, X., Wan, W., Liu, F., Bai, W., Xu, C., Chen, H., Gong, P., & Han, G. (2023). Precision Grinding Technology of Silicon Carbide (SiC) Ceramics by Longitudinal Torsional Ultrasonic Vibrations. Materials, 16(16), 5572. https://doi.org/10.3390/ma16165572

