Survival Outcomes with Regorafenib and/or Trifluridine/Tipiracil Sequencing to Rechallenge with Third-Line Regimens in Metastatic Colorectal Cancer: A Multicenter Retrospective Real-World Subgroup Comparison from the ReTrITA Study
Abstract
1. Introduction
2. Patients and Methods
2.1. Study Design
2.2. Outcomes Parameters
2.3. Drugs Administration
2.4. Statistical Analysis
3. Results
3.1. Patient Characteristics
3.2. Survival Outcomes in the Rechallenge Cohort
3.3. Survival in the No-Rechallenge Cohort
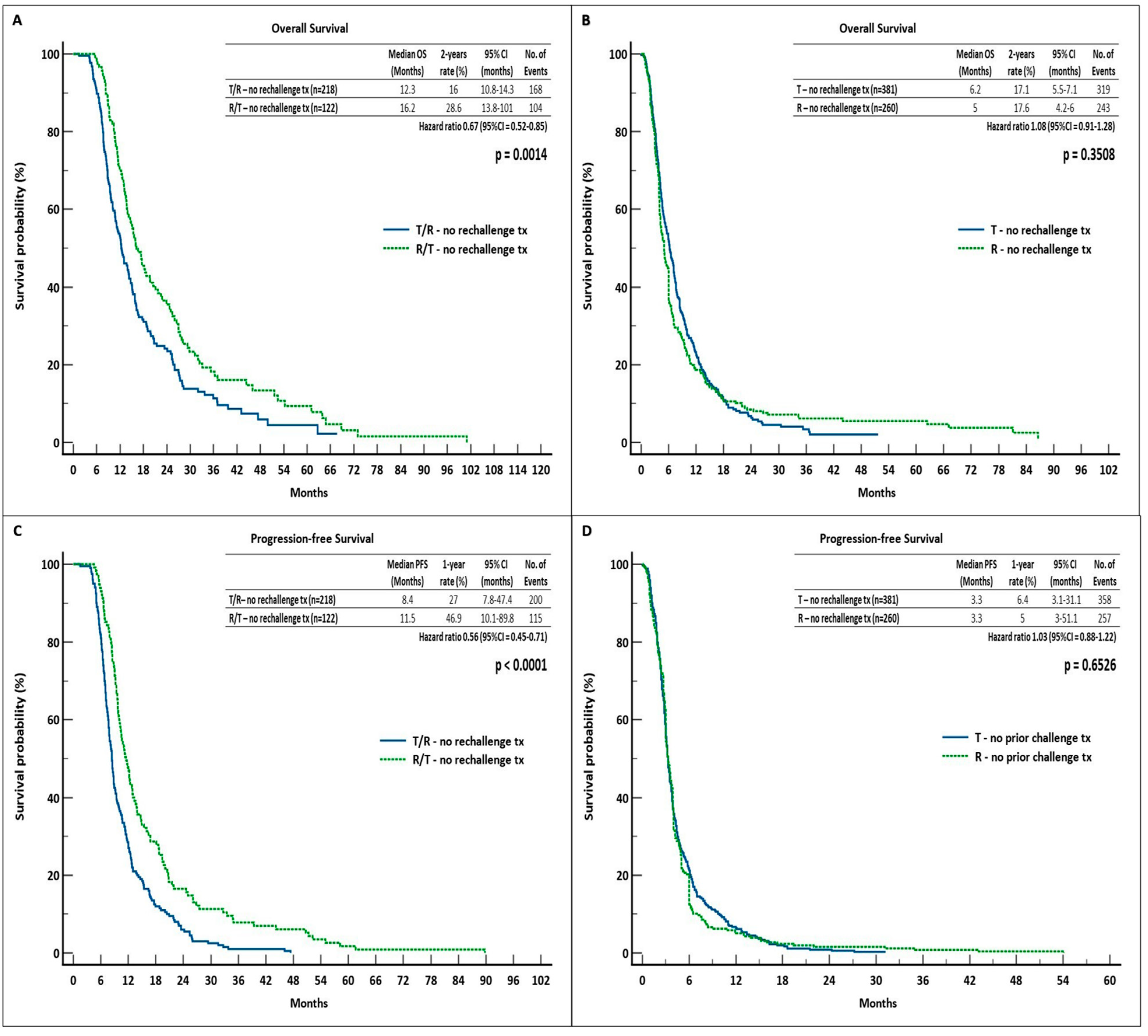
3.4. Comparison of Survival Results Between the 2 Cohorts
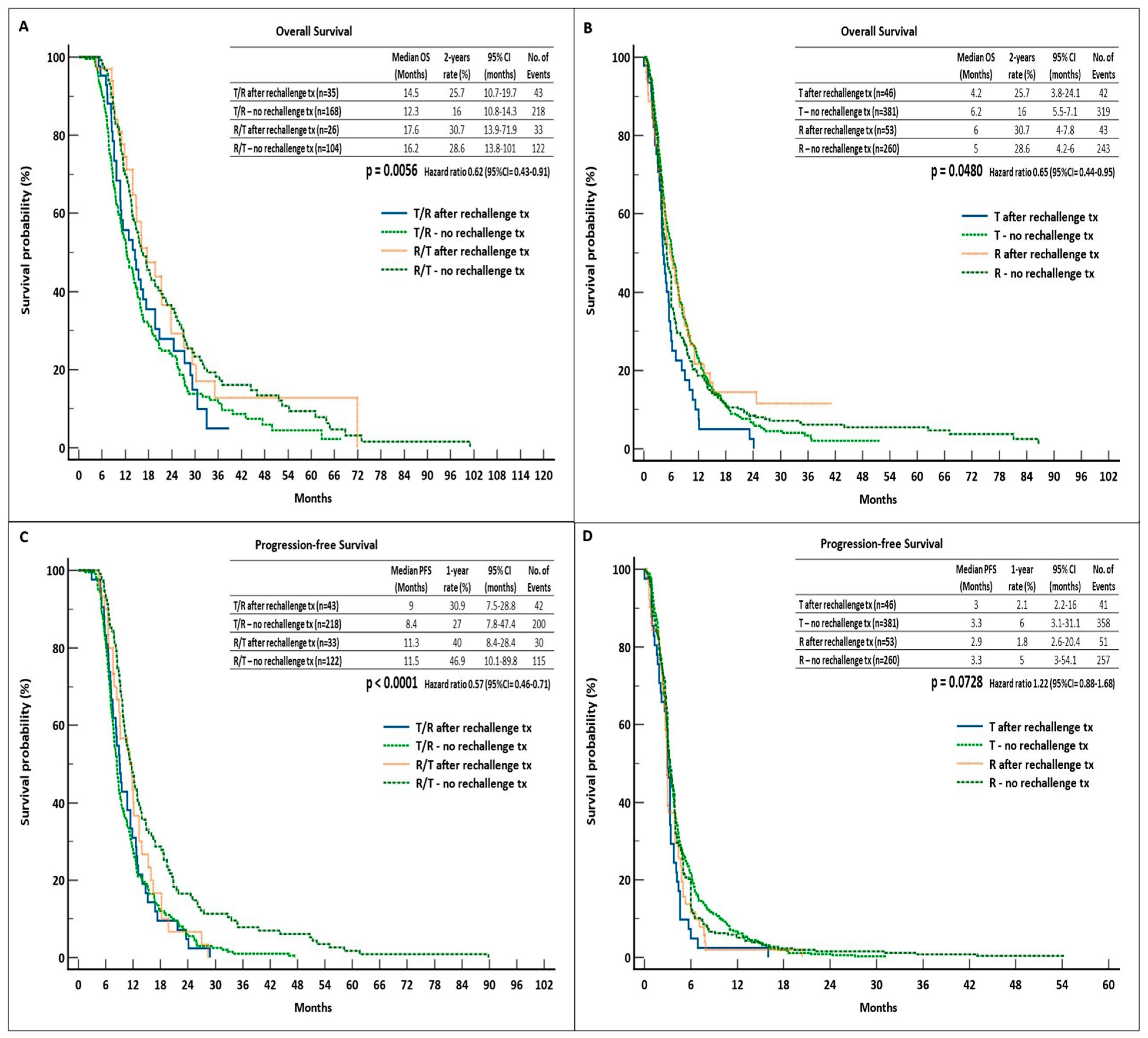
3.5. Subgroups Survival Comparative Analysis
4. Discussion
5. Conclusions
Author Contributions
Funding
Institutional Review Board Statement
Informed Consent Statement
Data Availability Statement
Conflicts of Interest
References
- NCCN Clinical Practice Guidelines in Oncology (NCCN Guidelines®) Colon Cancer Version 5.2024—August 22, 2024. Available online: www.nccn.org/professionals/physician_gls/pdf/colon.pdf (accessed on 18 September 2024).
- Siegel, R.L.; Giaquinto, A.N.; Jemal, A. Cancer statistics, 2024. CA Cancer J. Clin. 2024, 74, 12–49, Erratum in CA Cancer J. Clin. 2024, 74, 203. [Google Scholar] [CrossRef] [PubMed]
- Cheng, L.M.; Eng, C.; Nieman, L.Z.; Kapadia, A.S.; Du, X.L. Trends in colorectal cancer incidence by anatomic site and disease stage in the United States from 1976 to 2005. Am. J. Clin. Oncol. 2011, 34, 573–580. [Google Scholar] [CrossRef] [PubMed]
- Van Cutsem, E.; Nordlinger, B.; Adam, R.; Köhne, C.-H.; Pozzo, C.; Poston, G.; Ychou, M.; Rougier, P.; European Colorectal Metastases Treatment Group. Towards a pan-European consensus on the treatment of patients with colorectal liver metastases. Eur. J. Cancer 2006, 42, 2212–2221. [Google Scholar] [CrossRef] [PubMed]
- Kemeny, N. Management of liver metastases from colorectal cancer. Oncology 2006, 20, 1161–1186. [Google Scholar] [PubMed]
- Muratore, A.; Zorzi, D.; Bouzari, H.; Amisano, M.; Massucco, P.; Sperti, E.; Capussotti, L. Asymptomatic colorectal cancer with un-resectable liver metastases: Immediate colorectal resection or up-front systemic chemotherapy? Ann. Surg. Oncol. 2007, 14, 766–770. [Google Scholar] [CrossRef] [PubMed]
- Hayashi, M.; Inoue, Y.; Komeda, K.; Shimizu, T.; Asakuma, M.; Hirokawa, F.; Miyamoto, Y.; Okuda, J.; Takeshita, A.; Shibayama, Y.; et al. Clinicopathological analysis of recurrence patterns and prognostic factors for survival after hepatectomy for colorectal liver metastasis. BMC Surg. 2010, 10, 27. [Google Scholar] [CrossRef] [PubMed] [PubMed Central]
- Prager, G.W.; Taieb, J.; Fakih, M.; Ciardiello, F.; Van Cutsem, E.; Elez, E.; Cruz, F.M.; Wyrwicz, L.; Stroyakovskiy, D.; Pápai, Z.; et al. Trifluridine–Tipiracil and Bevacizumab in Refractory Metastatic Colorectal Cancer. N. Engl. J. Med. 2023, 388, 1657–1667. [Google Scholar] [CrossRef] [PubMed]
- Cervantes, A.; Adam, R.; Roselló, S.; Arnold, D.; Normanno, N.; Taïeb, J.; Seligmann, J.; De Baere, T.; Osterlund, P.; Yoshino, T.; et al. Metastatic colorectal cancer: ESMO Clinical Practice Guideline for diagnosis, treatment and follow-up. Ann. Oncol. 2023, 34, 10–32. [Google Scholar] [CrossRef] [PubMed]
- Mayer, R.J.; Van Cutsem, E.; Falcone, A.; Yoshino, T.; Garcia-Carbonero, R.; Mizunuma, N.; Yamazaki, K.; Shimada, Y.; Tabernero, J.; Komatsu, Y.; et al. Randomized trial of TAS-102 for refractory metastatic colorectal cancer. N. Engl. J. Med. 2015, 372, 1909–1919. [Google Scholar] [CrossRef] [PubMed]
- Grothey, A.; Van Cutsem, E.; Sobrero, A.; Siena, S.; Falcone, A.; Ychou, M.; Humblet, Y.; Bouché, O.; Mineur, L.; Barone, C.; et al. Regorafenib monotherapy for previously treated metastatic colorectal cancer (CORRECT): An international, multicentre, randomised, placebo-controlled, phase 3 trial. Lancet 2013, 381, 303–312. [Google Scholar] [CrossRef] [PubMed]
- Li, J.; Qin, S.; Xu, R.; Yau, T.C.C.; Ma, B.; Pan, H.; Xu, J.; Bai, Y.; Chi, Y.; Wang, L.; et al. Regorafenib plus best supportive care versus placebo plus best supportive care in Asian patients with previously treated metastatic colorectal cancer (CONCUR): A randomised, double-blind, placebo-controlled, phase 3 trial. Lancet Oncol. 2015, 16, 619–629. [Google Scholar] [CrossRef] [PubMed]
- Dasari, A.; Lonardi, S.; Garcia-Carbonero, R.; Elez, E.; Yoshino, T.; Sobrero, A.; Yao, J.; García-Alfonso, P.; Kocsis, J.; Gracian, A.C.; et al. Fruquintinib versus placebo in patients with refractory metastatic colorectal cancer (FRESCO-2): An international, multicentre, randomised, double-blind, phase 3 study. Lancet 2023, 402, 41–53. [Google Scholar] [CrossRef] [PubMed]
- Siena, S.; Di Bartolomeo, M.; Raghav, K.; Masuishi, T.; Loupakis, F.; Kawakami, H.; Yamaguchi, K.; Nishina, T.; Fakih, M.; Elez, E.; et al. Trastuzumab deruxtecan (DS-8201) in patients with HER2-expressing metastatic colorectal cancer (DESTINY-CRC01): A multicentre, open-label, phase 2 trial. Lancet Oncol. 2021, 22, 779–789. [Google Scholar] [CrossRef] [PubMed]
- Cercek, A.; Siena, S.; André, T.; Ng, K.; Van Cutsem, E.; Wu, C.; Fountzilas, C.; Kardosh, A.; Lenz, H.-J.; Elez, E.; et al. Tucatinib plus trastuzumab for chemotherapy-refractory, HER2-positive, RAS wild-type unresectable or metastatic colorectal cancer (MOUNTAINEER): A multicentre, open-label, phase 2 study. Lancet Oncol. 2023, 24, 496–508. [Google Scholar] [CrossRef] [PubMed]
- Sartore-Bianchi, A.; Trusolino, L.; Martino, C.; Bencardino, K.; Lonardi, S.; Bergamo, F.; Zagonel, V.; Leone, F.; Depetris, I.; Martinelli, E.; et al. Dual-targeted therapy with trastuzumab and lapatinib in treatment-refractory, KRAS codon 12/13 wild-type, HER2-positive metastatic colorectal cancer (HERACLES): A proof-of-concept, multicentre, open-label, phase 2 trial. Lancet Oncol. 2016, 17, 738–746, Erratum in Lancet Oncol. 2016, 17, e420. [Google Scholar] [CrossRef] [PubMed]
- Meric-Bernstam, F.; Hurwitz, H.; Raghav, K.P.S.; McWilliams, R.R.; Fakih, M.; VanderWalde, A.; Swanton, C.; Kurzrock, R.; Burris, H.; Sweeney, C.; et al. Pertuzumab plus trastuzumab for HER2-amplified metastatic colorectal cancer (MyPathway): An updated report from a multicentre, open-label, phase 2a, multiple basket study. Lancet Oncol. 2019, 20, 518–530. [Google Scholar] [CrossRef] [PubMed] [PubMed Central]
- Mauri, G.; Pizzutilo, E.G.; Amatu, A.; Bencardino, K.; Palmeri, L.; Bonazzina, E.F.; Tosi, F.; Stella, G.C.; Burrafato, G.; Scaglione, F.; et al. Retreatment with anti-EGFR monoclonal antibodies in metastatic colorectal cancer: Systematic review of different strategies. Cancer Treat. Rev. 2019, 73, 41–53. [Google Scholar] [CrossRef] [PubMed]
- Cremolini, C.; Rossini, D.; Dell’aquila, E.; Lonardi, S.; Conca, E.; Del Re, M.; Busico, A.; Pietrantonio, F.; Danesi, R.; Aprile, G.; et al. Rechallenge for Patients With RAS and BRAF Wild-Type Metastatic Colorectal Cancer With Acquired Resistance to First-line Cetuximab and Irinotecan: A Phase 2 Single-Arm Clinical Trial. JAMA Oncol. 2019, 5, 343–350. [Google Scholar] [CrossRef] [PubMed] [PubMed Central]
- Napolitano, S.; Martini, G.; Ciardiello, D.; Di Maio, M.; Normanno, N.; Avallone, A.; Martinelli, E.; Maiello, E.; Troiani, T.; Ciardiello, F. CAVE-2 (Cetuximab-AVElumab) mCRC: A Phase II Randomized Clinical Study of the Combination of Avelumab Plus Cetuximab as a Rechallenge Strategy in Pre-Treated RAS/BRAF Wild-Type mCRC Patients. Front. Oncol. 2022, 12, 940523. [Google Scholar] [CrossRef] [PubMed] [PubMed Central]
- Napolitano, S.; Ciardiello, D.; De Falco, V.; Martini, G.; Martinelli, E.; Della Corte, C.M.; Esposito, L.; Famiglietti, V.; Di Liello, A.; Avallone, A.; et al. Panitumumab plus trifluridine/tipiracil as anti-EGFR rechallenge therapy in patients with refractory RAS wild-type metastatic colorectal cancer: Overall survival and subgroup analysis of the randomized phase II VELO trial. Int. J. Cancer 2023, 153, 1520–1528. [Google Scholar] [CrossRef] [PubMed]
- García-Alfonso, P.; Lièvre, A.; Loupakis, F.; Tadmouri, A.; Khan, S.; Barcena, L.; Stintzing, S. Systematic review of randomised clinical trials and observational studies for patients with RAS wild-type or BRAFV600E-mutant metastatic and/or unresectable colorectal cancer. Crit. Rev. Oncol. Hematol. 2022, 173, 103646. [Google Scholar] [CrossRef] [PubMed]
- Kang, B.W.; Kim, T.W.; Lee, J.-L.; Ryu, M.-H.; Chang, H.M.; Yu, C.S.; Kim, J.C.; Kim, J.H.; Kang, Y.-K.; Lee, J.S. Bevacizumab plus FOLFIRI or FOLFOX as third-line or later treatment in patients with metastatic colorectal cancer after failure of 5-fluorouracil, irinotecan, and oxaliplatin: A retrospective analysis. Med. Oncol. 2009, 26, 32–37. [Google Scholar] [CrossRef] [PubMed]
- Costa, T.; Nuñez, J.; Felismino, T.; Boente, L.; Mello, C. REOX: Evaluation of the Efficacy of Retreatment with an Oxaliplatin-containing Regimen in Metastatic Colorectal Cancer: A Retrospective Single-center Study. Clin. Color. Cancer 2017, 16, 316–323. [Google Scholar] [CrossRef] [PubMed]
- Chambers, A.E.; Frick, J.; Tanner, N.; Gerkin, R.; Kundranda, M.; Dragovich, T. Chemotherapy re-challenge response rate in metastatic colorectal cancer. J. Gastrointest. Oncol. 2018, 9, 679–686. [Google Scholar] [CrossRef] [PubMed] [PubMed Central]
- Chen, J.; Wang, J.; Lin, H.; Peng, Y. Comparison of Regorafenib, Fruquintinib, and TAS-102 in Previously Treated Patients with Metastatic Colorectal Cancer: A Systematic Review and Network Meta-Analysis of Five Clinical Trials. Med. Sci. Monit. 2019, 25, 9179–9191. [Google Scholar] [CrossRef] [PubMed] [PubMed Central]
- Voutsadakis, I.A. A Systematic Review and Meta-Analysis of Trifluridine/Tipiracil plus Bevacizumab for the Treatment of Metastatic Colorectal Cancer: Evidence from Real-World Series. Curr. Oncol. 2023, 30, 5227–5239. [Google Scholar] [CrossRef] [PubMed] [PubMed Central]
- Bando, H.; Ohtsu, A.; Yoshino, T. Therapeutic landscape and future direction of metastatic colorectal cancer. Nat. Rev. Gastroenterol. Hepatol. 2023, 20, 306–322. [Google Scholar] [CrossRef] [PubMed]
- Signorelli, C.; Calegari, M.A.; Basso, M.; Anghelone, A.; Lucchetti, J.; Minelli, A.; Angotti, L.; Zurlo, I.V.; Schirripa, M.; Chilelli, M.G.; et al. Treatment Settings and Outcomes with Regorafenib and Trifluridine/Tipiracil at Third-Line Treatment and beyond in Metastatic Colorectal Cancer: A Real-World Multicenter Retrospective Study. Curr. Oncol. 2023, 30, 5456–5469. [Google Scholar] [CrossRef] [PubMed] [PubMed Central]
- Bazarbashi, S.; Alkhatib, R.; Aseafan, M.; Tuleimat, Y.; Abdel-Aziz, N.; Mahrous, M.; Elsamany, S.; Elhassan, T.; Alghamdi, M. Efficacy of Chemotherapy Rechallenge Versus Regorafenib or Trifluridine/Tipiracil in Third-Line Setting of Metastatic Colorectal Cancer: A Multicenter Retrospective Comparative Study. JCO Glob. Oncol. 2024, 10, e2300461. [Google Scholar] [CrossRef] [PubMed] [PubMed Central]
- Calegari, M.; Zurlo, I.; Dell’Aquila, E.; Basso, M.; Orlandi, A.; Bensi, M.; Camarda, F.; Anghelone, A.; Pozzo, C.; Sperduti, I.; et al. Chemotherapy Rechallenge or Reintroduction Compared to Regorafenib or Trifluridine/Tipiracil for Pretreated Metastatic Colorectal Cancer Patients: A Propensity Score Analysis of Treatment Beyond Second Line (Proserpyna Study). Clin. Color. Cancer 2024. [Google Scholar] [CrossRef] [PubMed]
- Fakih, M.G.; Salvatore, L.; Esaki, T.; Modest, D.P.; Lopez-Bravo, D.P.; Taieb, J.; Karamouzis, M.V.; Ruiz-Garcia, E.; Kim, T.-W.; Kuboki, Y.; et al. Sotorasib plus Panitumumab in Refractory Colorectal Cancer with Mutated KRAS G12C. N. Engl. J. Med. 2023, 389, 2125–2139. [Google Scholar] [CrossRef] [PubMed]
- Tabernero, J.; Grothey, A.; Van Cutsem, E.; Yaeger, R.; Wasan, H.; Yoshino, T.; Desai, J.; Ciardiello, F.; Loupakis, F.; Hong, Y.S.; et al. Encorafenib Plus Cetuximab as a New Standard of Care for Previously Treated BRAF V600E–Mutant Metastatic Colorectal Cancer: Updated Survival Results and Subgroup Analyses from the BEACON Study. J. Clin. Oncol. 2021, 39, 273–284. [Google Scholar] [CrossRef] [PubMed] [PubMed Central]
- Lonardi, S.; Pietrantonio, F. New options for late-line treatment of metastatic colorectal cancer. Nat. Rev. Gastroenterol. Hepatol. 2024, 21, 76–77. [Google Scholar] [CrossRef] [PubMed]
- Miguel, C.A.-D.; Jiménez-Castro, J.; Sánchez-Vegas, A.; Díaz-López, S.; Chaves-Conde, M. Third-line treatment and beyond in metastatic colorectal cancer: What do we have and what can we expect? Crit. Rev. Oncol. Hematol. 2024, 202, 104454. [Google Scholar] [CrossRef] [PubMed]
- Signorelli, C.; Calegari, M.; Basso, M.; Passardi, A.; Lucchetti, J.; Zurlo, I.; Morelli, C.; Dell’Aquila, E.; Gemma, D.; Emiliani, A.; et al. Efficacy outcomes in ≥70-year-old or younger patients receiving regorafenib-to-trifluridine/tipiracil sequence or vice versa for refractory metastatic colorectal cancer: Findings from the multicenter retrospective “ReTrITA” study. Ann. Oncol. 2024, 35, S35. [Google Scholar] [CrossRef]
- Signorelli, C.; Calegari, M.A.; Anghelone, A.; Basso, M.; Passardi, A.; Frassineti, G.L.; Zurlo, I.V.; Angotti, L.; Chilelli, M.G.; Morelli, C.; et al. Evaluating metastatic disease sites as a prognostic marker in patients receiving sequential treatment with regorafenib and trifluridine/tipiracil for refractory colorectal cancer: Survival outcomes from the multicenter retrospective “ReTrITA” study. Ann. Oncol. 2024, 35 (Suppl. S2), S428–S481. [Google Scholar] [CrossRef]
- Bekaii-Saab, T.S.; Ou, F.S.; Ahn, D.H.; Boland, P.M.; Ciombor, K.K.; Heying, E.N.; Dockter, T.J.; Jacobs, N.L.; Pasche, B.C.; Cleary, J.M.; et al. Regorafenib dose-optimization in pts with refractory metastatic colorectal cancer (ReDOS): A randomized, multicentre, open-label, phase 2 study. Lancet Oncol. 2019, 20, 1070–1082. [Google Scholar] [CrossRef]
- Xu, J.; Kim, T.W.; Shen, L.; Sriuranpong, V.; Pan, H.; Xu, R.; Guo, W.; Han, S.-W.; Liu, T.; Park, Y.S.; et al. Results of a randomized, double-blind, placebo-controlled, phase III trial of trifluridine/tipiracil (TAS-102) monotherapy in Asian patients with previously treated metastatic colorectal cancer: The TERRA study. J. Clin. Oncol. 2018, 36, 350–358. [Google Scholar] [CrossRef]
- Ducreux, M.; Ben Abdelghani, M.; Tougeron, D.; Bouche, O.; Viaud, J.; Akouz, F.K.; Martin-Babau, J.; Bachet, J.-B.; Coutzac, C.; Castanie, H.; et al. 3O PRODIGE 68—UCGI 38—SOREGATT: A randomized phase II study comparing the sequences of regorafenib (reg) and trifluridine/tipiracil (t/t) after failure of standard therapies in patients (pts) with metastatic colorectal cancer (mCRC). Ann. Oncol. 2024, 35 (Suppl. S1), S1–S74. [Google Scholar] [CrossRef]
- Chida, A.; Kawakami, T.; Hamano, T.; Masuishi, T.; Mitani, S.; Yasui, H.; Ishiguro, A.; Ando, T.; Sawada, K.; Harada, K.; et al. Prospective observational study investigating the impact of treatment sequence using regorafenib and FTD/TPI for metastatic colorectal cancer on overall survival (OSERO study). J. Clin. Oncol. 2024, 42 (Suppl. S3), 103. [Google Scholar] [CrossRef]
- Bekaii-Saab, T.; Ahn, D.; Yuan, C.; Jiao, X.; Kurtinecz, M.; Pan, X.; Vassilev, Z.; Ostojic, H. Sequential treatment with regorafenib (REG) and trifluridine/tipiracil (TAS) +/− bevacizumab (Bev) in refractory metastatic colorectal cancer (mCRC) in community clinical practice in the USA. Ann. Oncol. 2023, 34 (Suppl. S2), S442. [Google Scholar] [CrossRef]






| Variables | Rechallenge Therapy Group | No-Rechallenge Therapy Group | ||||||||
|---|---|---|---|---|---|---|---|---|---|---|
| T/R | R/T | T | R | p-Value | T/R | R/T | T | R | p-Value | |
| No. (%) | No. (%) | No. (%) | No. (%) | No. (%) | No. (%) | No. (%) | No. (%) | |||
| No. of patients | 43 (100) | 33 (100) | 46 (100) | 53 (100) | 0.19 | 218 (100) | 122 (100) | 381 (100) | 260 (100) | <0.0001 |
| 1°line therapy | ||||||||||
| Single agent | 2 (4.7) | - | 4 (8.7) | 1 (1.9) | 0.21 | 16 (7.6) | 6 (5.0) | 33 (8.8) | 8 (3.1) | <0.0001 |
| Doublet CT | 37 (86.0) | 27 (81.8) | 36 (78.3) | 49 (92.5) | 178 (84.8) | 101 (83.5) | 307 (82.3) | 119 (45.8) | ||
| Triplet CT | 4 (9.3) | 6 (18.2) | 6 (13.0) | 3 (5.7) | 16 (7.6) | 7 (5.8) | 32 (8.6) | 14 (5.4) | ||
| Unknown | - | - | - | - | - | 7 (5.8) | 1 (0.3) | 119 (45.8) | ||
| Anti-EGFR use | 21 (56.8) | 12 (46.2) | 13 (37.1) | 22 (45.8) | 0.42 | 55 (30.9) | 32 (35.2) | 85 (32.1) | 40 (39.6) | 0.46 |
| Anti-VEGF use | 16 (43.2) | 14 (53.8) | 22 (62.9) | 26 (54.2) | 123 (69.1) | 59 (64.8) | 180 (67.9) | 61 (60.4) | ||
| 2°line therapy | ||||||||||
| Single agent | 7 (16.3) | 4 (12.1) | 4 (8.7) | 6 (11.3) | 0.84 | 16 (7.7) | 7 (5.8) | 44 (12.0) | 11 (4.3) | <0.0001 |
| Doublet CT | 34 (79.1) | 27 (81.8) | 39 (84.8) | 46 (86.8) | 167 (80.7) | 97 (80.2) | 284 (77.6) | 105 (41.2) | ||
| Triplet CT | 2 (4.7) | 2 (6.1) | 3 (6.5) | 1 (1.9) | 4 (1.9) | 2 (1.7) | 5 (1.4) | 6 (2.4) | ||
| Unknown | - | - | - | - | 20 (9.7) | 15 (12.4) | 33 (9.0) | 133 (52.2) | ||
| Anti-EGFR use | 2 (6.1) | 5 (16.1) | 9 (26.5) | 6 (15.8) | 0.16 | 14 (9.6) | 5 (5.5) | 18 (7.3) | 8 (8.3) | 0.68 |
| Anti-VEGF use | 31 (93.9) | 26 (83.9) | 25 (73.5) | 32 (84.2) | 132 (90.4) | 86 (94.5) | 230 (92.7) | 88 (91.7) | ||
| 3°line regimen | ||||||||||
| Trifluridine/tipiracil | - | - | - | - | 0.43 | 218 (100) | - | 381 (100) | - | <0.0001 |
| Regorafenib | - | - | - | - | - | 122 (100) | - | 260 (100) | ||
| Mono CT | 5 (11.6) | 2 (6.1) | 3 (6.5) | 8 (15.1) | - | - | - | - | ||
| Mono CT + anti-EGFR | 11 (25.6) | 2 (6.1) | 7 (15.2) | 10 (18.9) | - | - | - | - | ||
| Mono CT + anti-VEGF | 1 (2.3) | 3 (9.1) | 2 (4.3) | 1 (1.9) | - | - | - | - | ||
| Doublet CT | 13 (30.2) | 9 (27.3) | 14 (30.4) | 13 (24.5) | - | - | - | - | ||
| Doublet CT + anti-EGFR | 5 (11.6) | 5 (15.2) | 4 (8.7) | 6 (11.3) | - | - | - | - | ||
| Doublet CT + anti-VEGF | 3 (7.0) | 5 (15.2) | 11 (23.9) | 8 (15.1) | - | - | - | - | ||
| Triplet CT | - | - | - | - | - | - | - | - | ||
| Triplet CT + anti-EGFR | 1 (2.3) | - | - | - | - | - | - | - | ||
| Triplet CT + anti-VEGF | 1 (2.3) | - | - | - | - | - | - | - | ||
| Anti-EGFR alone | 3 (7.0) | 7 (21.2) | 5 (10.9) | 7 (13.2) | - | - | - | - | ||
| Age Median (min–max) | 69 (30-83) | 66 (47-86) | 70 (47-87) | 66 (45-86) | 0.97 | 69 (40-86) | 67 (43-85) | 71 (42-88) | 64 (34-86) | 0.94 |
| Age | ||||||||||
| ≥70 yrs | 20 (46.5) | 13 (39.4) | 24 (52.2) | 18 (34.0) | 0.29 | 102 (46.8) | 46 (37.7) | 212 (55.6) | 95 (36.5) | <0.0001 |
| <70 yrs | 23 (53.5) | 20 (60.6) | 22 (47.8) | 35 (66.0) | 116 (53.2) | 76 (62.3) | 169 (44.4) | 165 (63.5) | ||
| Sex | ||||||||||
| Female | 19 (44.2) | 10 (30.3) | 20 (43.5) | 21 (39.6) | 0.6 | 91 (41.7) | 50 (41.0) | 164 (43.0) | 107 (41.2) | 0.95 |
| Male | 24 (55.8) | 23 (69.7) | 26 (56.5) | 32 (60.4) | 127 (58.3) | 72 (59.0) | 217 (57.0) | 153 (58.8) | ||
| RAS status | ||||||||||
| Wild type | 25 (58.1) | 21 (63.6) | 26 (56.5) | 39 (73.6) | 0.48 | 66 (30.3) | 39 (32.0) | 118 (31.0) | 96 (36.9) | 0.09 |
| Mutant type | 16 (37.2) | 11 (33.3) | 19 (41.3) | 14 (26.4) | 141 (64.7) | 75 (61.5) | 252 (66.1) | 160 (61.5) | ||
| Unknown | 2 (4.7) | 1 (3.0) | 1 (2.2) | - | 11 (5.0) | 8 (6.6) | 11 (2.9) | 4 (1.5) | ||
| Primary tumor location | ||||||||||
| Right side | 13 (30.2) | 7 (21.2) | 14 30.4) | 12 (22.6) | 0.36 | 81 (37.2) | 41 (33.6) | 125 (32.8) | 88 (33.8) | <0.0001 |
| Left side | 21 (48.8) | 15 (45.5) | 17 (37.0) | 31 (58.5) | 84 (38.5) | 52 (42.6) | 162 (42.5) | 149 (57.3) | ||
| Rectum | 9 (20.9) | 11 (33.3) | 15 (32.6) | 10 (18.9) | 53 (24.3) | 29 (23.8) | 94 (24.7) | 23 (8.8) | ||
| MSI | ||||||||||
| Yes | 4 (9.3) | 2 (6.1) | - | - | 0.0007 | 4 (1.8) | 6 (4.9) | 6 (1.6) | 2 (0.8) | <0.0001 |
| No | 29 (67.4) | 19 (57.6) | 16 (34.8) | 25 47.2) | 155 (71.1) | 77 (63.1) | 257 (67.5) | 102 (39.2) | ||
| Unknown | 10 (23.3) | 12 (36.4) | 30 (65.2) | 28 (52.8) | 59 (27.1) | 39 (32.0) | 118 (31.0) | 156 (60.0) | ||
| PS ECOG | ||||||||||
| 0 | 20 (46.5) | 14 (42.4) | 6 (13.0) | 15 (28.3) | 0.0015 | 73 (33.5) | 43 (35.2) | 77 (20.2) | 67 (25.8) | 0.0001 |
| 1 | 21 (48.8) | 16 (48.5) | 26 (56.5) | 31 (58.5) | 125 (57.3) | 75 (61.5) | 245 (64.3) | 158 (60.8) | ||
| 2 | 2 (4.7) | 3 (9.1) | 14 (30.4) | 7 (13.2) | 20 (9.2) | 4 (3.3) | 59 (15.5) | 35 (13.5) | ||
| Prior adjuvant therapy | ||||||||||
| Yes | 9 (20.9) | 7 (21.2) | 13 (28.3) | 16 (30.2) | 0.66 | 71 (32.6) | 49 (40.2) | 102 (26.8) | 46 (17.7) | <0.0001 |
| No | 34 (79.1) | 26 (78.8) | 33 (71.7) | 37 (69.8) | 147 (67.4) | 73 (59.8) | 279 (73.2) | 214 (82.3) | ||
| Metastatic disease sites | ||||||||||
| Liver only | 7 (16.3) | 6 (18.2) | 5 (10.9) | 7 (13.2) | 0.63 | 34 (15.6) | 12 (9.8) | 61 (16.0) | 28 (10.8) | 0.16 |
| Liver + other | 23 (53.5) | 17 (51.5) | 26 (56.5) | 36 (67.9) | 109 (50.0) | 57 (46.7) | 184 (48.3) | 144 (55.4) | ||
| Others | 13 (30.2) | 10 (30.3) | 15 (32.6) | 10 (18.9) | 75 (34.4) | 53 (43.4) | 136 (35.7) | 88 (33.8) | ||
Disclaimer/Publisher’s Note: The statements, opinions and data contained in all publications are solely those of the individual author(s) and contributor(s) and not of MDPI and/or the editor(s). MDPI and/or the editor(s) disclaim responsibility for any injury to people or property resulting from any ideas, methods, instructions or products referred to in the content. |
© 2024 by the authors. Licensee MDPI, Basel, Switzerland. This article is an open access article distributed under the terms and conditions of the Creative Commons Attribution (CC BY) license (https://creativecommons.org/licenses/by/4.0/).
Share and Cite
Signorelli, C.; Calegari, M.A.; Anghelone, A.; Passardi, A.; Frassineti, G.L.; Bittoni, A.; Lucchetti, J.; Angotti, L.; Di Giacomo, E.; Zurlo, I.V.; et al. Survival Outcomes with Regorafenib and/or Trifluridine/Tipiracil Sequencing to Rechallenge with Third-Line Regimens in Metastatic Colorectal Cancer: A Multicenter Retrospective Real-World Subgroup Comparison from the ReTrITA Study. Curr. Oncol. 2024, 31, 7793-7808. https://doi.org/10.3390/curroncol31120574
Signorelli C, Calegari MA, Anghelone A, Passardi A, Frassineti GL, Bittoni A, Lucchetti J, Angotti L, Di Giacomo E, Zurlo IV, et al. Survival Outcomes with Regorafenib and/or Trifluridine/Tipiracil Sequencing to Rechallenge with Third-Line Regimens in Metastatic Colorectal Cancer: A Multicenter Retrospective Real-World Subgroup Comparison from the ReTrITA Study. Current Oncology. 2024; 31(12):7793-7808. https://doi.org/10.3390/curroncol31120574
Chicago/Turabian StyleSignorelli, Carlo, Maria Alessandra Calegari, Annunziato Anghelone, Alessandro Passardi, Giovanni Luca Frassineti, Alessandro Bittoni, Jessica Lucchetti, Lorenzo Angotti, Emanuela Di Giacomo, Ina Valeria Zurlo, and et al. 2024. "Survival Outcomes with Regorafenib and/or Trifluridine/Tipiracil Sequencing to Rechallenge with Third-Line Regimens in Metastatic Colorectal Cancer: A Multicenter Retrospective Real-World Subgroup Comparison from the ReTrITA Study" Current Oncology 31, no. 12: 7793-7808. https://doi.org/10.3390/curroncol31120574
APA StyleSignorelli, C., Calegari, M. A., Anghelone, A., Passardi, A., Frassineti, G. L., Bittoni, A., Lucchetti, J., Angotti, L., Di Giacomo, E., Zurlo, I. V., Morelli, C., Dell’Aquila, E., Artemi, A., Gemma, D., Corsi, D. C., Emiliani, A., Ribelli, M., Mazzuca, F., Arrivi, G., ... Basso, M. (2024). Survival Outcomes with Regorafenib and/or Trifluridine/Tipiracil Sequencing to Rechallenge with Third-Line Regimens in Metastatic Colorectal Cancer: A Multicenter Retrospective Real-World Subgroup Comparison from the ReTrITA Study. Current Oncology, 31(12), 7793-7808. https://doi.org/10.3390/curroncol31120574

